Changes in Soil Properties and Scots Pine Tree Growth Induced by Different Soil Ploughing Prior to Afforestation: A Case Study
Abstract
:1. Introduction
2. Material and Methods
2.1. Study Area
2.2. Soil Sampling and Chemical Analyses
2.3. Assessment of Tree Growth Indices
2.4. Calculations and Statistical Analyses
3. Results
3.1. Changes in Forest Floor Mass and Chemical Properties
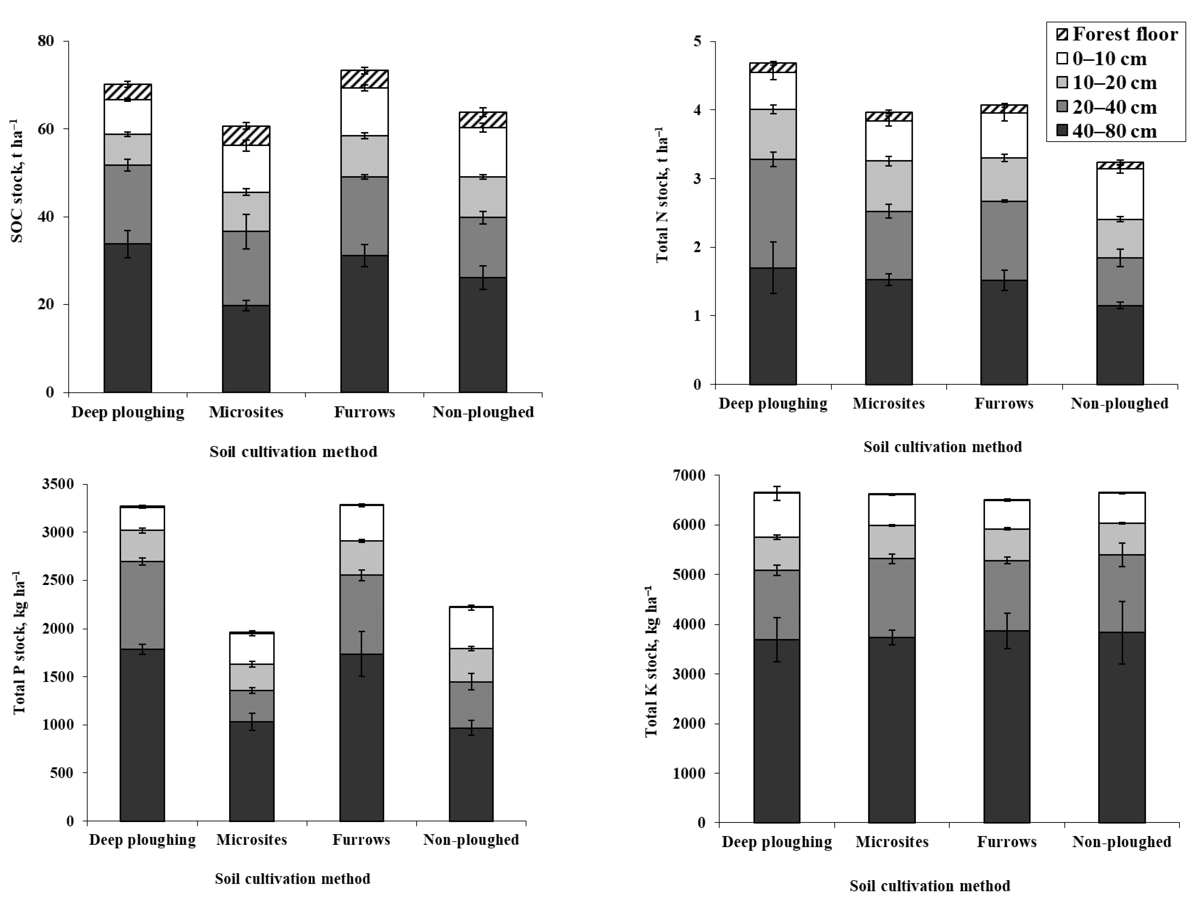
3.2. Changes in Physical and Chemical Properties of Soil
3.3. Changes of Tree Growth Parameters
4. Discussion
5. Conclusions
Author Contributions
Funding
Institutional Review Board Statement
Informed Consent Statement
Data Availability Statement
Acknowledgments
Conflicts of Interest
References
- Post, W.; Kwon, K. Soil carbon sequestration and land-use change: Processes and potential. Glob. Chang. Biol. 2000, 6, 317–327. [Google Scholar] [CrossRef] [Green Version]
- Guo, L.B.; Gifford, R.M. Soil carbon stocks and land use change: A meta-analysis. Glob. Chang. Biol. 2002, 8, 345–360. [Google Scholar] [CrossRef]
- Paquette, A.; Messier, C. The role of plantations in managing the world’s forests in the Anthropocene. Front. Ecol. Environ. 2010, 8, 27–34. [Google Scholar] [CrossRef] [Green Version]
- Pawson, S.M.; Brin, A.; Brockerhoff, E.G.; Lamb, D.; Payn, T.W.; Paquette, A.; Parrotta, J.A. Plantation forests, climate change and biodiversity. Biodivers. Conserv. 2013, 22, 1203–1227. [Google Scholar] [CrossRef]
- Jandl, R.; Lindner, M.; Vesterdal, L.; Bauwens, B.; Baritz, R.; Hagedorn, F.; Johnson, D.W.; Minkkinen, K.; Byrne, K.A. How strongly can forest management influence soil carbon sequestration? Geoderma 2007, 137, 253–268. [Google Scholar] [CrossRef]
- Pan, Y.; Birdsey, R.A.; Phillips, O.L.; Jackson, R.B. The structure, distribution, and biomass of the world’s forests. Annu. Rev. Ecol. Evol. Syst. 2013, 44, 593–622. [Google Scholar] [CrossRef] [Green Version]
- Vesterdal, L.; Rosenqvist, L.; van der Salm, C.; Hansen, K.; Groenenberg, B.J.; Johansson, M.B. Carbon sequestration in soil and biomass following afforestation: Experiences from oak and Norway spruce chronosequences in Denmark, Sweden, and the Netherlands. In Environmental Effects of Afforestation in North-Western Europe; Heil, G.W., Muys, B., Hansen, K., Eds.; Plant and Vegetation; Springer: Dordrecht, The Netherlands, 2007. [Google Scholar]
- Varnagirytė-Kabašinskienė, I.; Žemaitis, P.; Armolaitis, K.; Stakėnas, V.; Urbaitis, G. Soil organic carbon stocks in afforested agricultural land in Lithuanian hemiboreal forest zone. Forests 2021, 12, 1562. [Google Scholar] [CrossRef]
- Jobbágy, E.G.; Jackson, R.B. The vertical distribution of soil organic carbon and its relation to climate and vegetation. Ecol. Appl. 2000, 10, 423–436. [Google Scholar] [CrossRef]
- Rumpel, C.; Kögel-Knabner, I. Deep soil organic matter—A key but poorly understood component of terrestrial C cycle. Plant Soil 2011, 338, 143–158. [Google Scholar] [CrossRef]
- Chaopricha, N.T.; Marín-Spiotta, E. Soil burial contributes to deep soil organic carbon storage. Soil Biol. Biochem. 2014, 69, 251–264. [Google Scholar] [CrossRef]
- Batjes, N.H. Total carbon and nitrogen in the soils of the world. Eur. J. Soil Sci. 2014, 65, 10–21. [Google Scholar] [CrossRef]
- Vesterdal, L.; Ritter, E.; Gundersen, P. Change in soil organic carbon following afforestation of former arable land. For. Ecol. Manag. 2002, 169, 137–147. [Google Scholar] [CrossRef]
- Bárcena, T.G.; Kiær, L.P.; Vesterdal, L.; Stefánsdóttir, H.M.; Gundersen, P.; Sigurdsson, B.D. Soil carbon stock change following afforestation in Northern Europe: A meta-analysis. Glob. Chang. Biol. 2014, 20, 2393–2405. [Google Scholar] [CrossRef] [PubMed]
- Leth, S.; Breuning-Madsen, H. Changes in soil profile development and nutrient status due to afforestation of agricultural land. Geogr. Tidsskr. 1992, 92, 70–74. [Google Scholar] [CrossRef]
- Matthesen, P.; Damgaard, C. Reolpløjning (Deep ploughing). Videnblade Park-Og Landsabsserien 1997, 4, 1–3. (In Danish) [Google Scholar]
- Hansen, K.; Vesterdal, L.; Muys, B.; Gilliams, S.; Rosenqvist, L.; Van Der Salm, C.; Elemans, M.; Denier Van Der Gon, H.; Gundersen, P.; Johansson, M.-B.; et al. Guidelines for planning afforestation of former arable land. In Environmental Effects of Afforestation in North-Western Europe: From Field Observations to Decision Support; Heil, G.W., Muys, B., Hansen, K., Eds.; Science & Business Media: New York, NY, USA, 2007; pp. 249–291. [Google Scholar]
- Alcántara, V.; Don, A.; Vesterdal, L.; Well, R.; Nieder, R. Stability of buried carbon in deep-ploughed forest and cropland soils—Implications for carbon stocks. Sci. Rep. 2017, 7, 5511. [Google Scholar] [CrossRef] [Green Version]
- Schneider, F.; Don, A.; Hennings, I.; Schmittmann, O.; Seidel, S.J. The effect of deep tillage on crop yield—What do we really know? Soil Tillage Res. 2017, 174, 193–204. [Google Scholar] [CrossRef]
- Russell, E.W. The effects of very deep ploughing and of subsoiling on crop yields. J. Agric. Sci. 2009, 48, 129. [Google Scholar] [CrossRef]
- Hussein, M.A.; Muche, H.; Schmitter, P.; Nakawuka, P.; Tilahun, S.A.; Langan, S.; Barron, J.; Steenhuis, T.S. Deep tillage improves degraded soils in the (sub) humid Ethiopian highlands. Land 2019, 8, 159. [Google Scholar] [CrossRef] [Green Version]
- Survila, G.; Varnagirytė-Kabašinskienė, I.; Armolaitis, K. Deep soil ploughing for afforestation: A review of potential impacts on soil and vegetation. Balt. For. 2021, 27, 590. [Google Scholar]
- Malinauskas, A.; Urbaitis, G. Effect of soil preparation on the growth of Scots pine (Pinus sylvestris L.), Norway spruce (Picea abies (L.) K. Karst.) and silver birch (Betula pendula Roth) saplings on former farmland with a ploughpan layer. Žemės Ūkio Moksl. 2008, 15, 76–81, (In Lithuanian with English summary). [Google Scholar]
- Piao, S.; Ciais, P.; Friedlingstein, P.; Peylin, P.; Reichstein, M.; Luyssaert, S.; Margolis, H.; Fang, J.; Barr, A.; Chen, A.; et al. Net carbon dioxide losses of northern ecosystems in response to autumn warming. Nature 2008, 451, 49–52. [Google Scholar] [CrossRef] [PubMed]
- Conant, R.T.; Ryan, M.G.; Ågren, G.I.; Birge, H.E.; Davidson, E.A.; Eliasson, P.E.; Evans, S.E.; Frey, S.D.; Giardina, C.P.; Hopkins, F.M.; et al. Temperature and soil organic matter decomposition rates—Synthesis of current knowledge and a way forward. Glob. Chang. Biol. 2011, 17, 3392–3404. [Google Scholar] [CrossRef]
- Hübertz, H.; Nielsen, F.; Survila, G. Demonstration Areas for Afforestation on Abandoned Agricultural Land in Lithuania. Balt. For. 2002, 8, 103–107. [Google Scholar]
- Vaičys, M.; Karazija, S.; Kuliešis, A.; Rutkauskas, A. Miškų Augavietės [Forest Sites]; Lutute: Kaunas, Lithuania, 2006; p. 95. (In Lithuanian) [Google Scholar]
- IUSS Working Group WRB. World Reference Base for Soil Resources 2014; International Soil Classification System for Naming Soils and Creating Legends for Soil Maps; World Soil Resources Reports No. 106; FAO: Rome, Italy, 2015; p. 192. [Google Scholar]
- Vesterdal, L.; Schmidt, I.K.; Callesen, I.; Nilsson, L.O.; Gundersen, P. Carbon and nitrogen in forest floor and mineral soil under six common European tree species. For. Ecol. Manag. 2008, 255, 35–48. [Google Scholar] [CrossRef]
- Alcántara, V.; Don, A.; Well, R.; Nieder, R. Deep ploughing increases agricultural soil organic matter stocks. Glob. Chang. Biol. 2016, 22, 2939–2956. [Google Scholar] [CrossRef] [PubMed]
- Nordborg, F.; Nilsson, U.; Gemmel, P.; Örlander, G. Carbon and nitrogen stocks in soil, trees and field vegetation in conifer plantations 10 years after deep soil cultivation and patch scarification. Scand. J. For. Res. 2006, 21, 356–363. [Google Scholar] [CrossRef]
- Baumhardt, R.L.; Jones, O.R.; Schwartz, R.C. Long-term effects of profile-modifying deep plowing on soil properties and crop yield. Soil Sci. Soc. Am. J. 2008, 72, 677–682. [Google Scholar] [CrossRef] [Green Version]
- Madeira, M.V.A.; Melo, M.G.; Alexandre, C.A.; Steen, E. Effects of deep ploughing and superficial disc harrowing on physical and chemical soil properties and biomass in a new plantation of Eucalyptus globulus. Soil Tillage Res. 1989, 14, 163–175. [Google Scholar] [CrossRef]
- Pywell, R.F.; Bullock, J.M.; Hopkins, A.; Walker, K.J.; Sparks, T.H.; Burke, M.J.W.; Peel, S. Restoration of species-rich grassland on arable land: Assessing the limiting processes using a multi-site experiment. J. Appl. Ecol. 2002, 39, 294–309. [Google Scholar] [CrossRef]
- Randall, G.W.; Iragavarapu, T.K. Impact of long-term tillage systems for continuous corn on nitrate leaching to tile drainage. J. Environ. Qual. 1995, 24, 360–366. [Google Scholar] [CrossRef]
- Callesen, I.; Raulund-Rasmussen, K.; Westman, C.J.; Tau-Strand, L. Nitrogen pools and C:N ratios in well-drained Nordic forest soils related to climate and soil texture. Boreal Environ. Res. 2007, 12, 681–692. [Google Scholar]
- Marty, C.; Houle, D.; Gagnon, C.; Courchesne, F. The relationships of soil total nitrogen concentrations, pools and C:N ratios with climate, vegetation types and nitrate deposition in temperate and boreal forests of eastern Canada. Catena 2017, 152, 163–172. [Google Scholar] [CrossRef]
- Watson, C.A.; Atkinson, D.L.; Gosling, P.; Jackson, L.; Rayns, F. Managing soil fertility in organic farming systems. Soil Use Manag. 2002, 18, 239–247. [Google Scholar] [CrossRef] [Green Version]
- Hornung, M.; Newson, M.D. Upland afforestation; influences on stream hydrology and chemistry. Soil Use Manag. 1986, 2, 61–65. [Google Scholar] [CrossRef]
- Armolaitis, K.; Aleinikovienė, J.; Baniūnienė, A.; Lubytė, J.; Žėkaitė, V. Carbon sequestration and nitrogen status in Arenosols following afforestation or following abandonment of arable land. Balt. For. 2007, 1, 169–178. [Google Scholar]
- Jensen, K.H.; Zwieniecki, M.A. Physical limits to leaf size in tall trees. Phys. Rev. Lett. 2013, 110, 018104. [Google Scholar] [CrossRef] [Green Version]
- Sikström, U.; Hjelm, K.; Holt Hanssen, K.; Saksa, T.; Wallertz, K. Influence of mechanical site preparation on regeneration success of planted conifers in clearcuts in Fennoscandia—A review. Silva Fennica 2020, 54, 1–35. [Google Scholar] [CrossRef] [Green Version]
- Parresol, B.R. Assessing tree and stand biomass: A review with examples and critical comparisons. For. Sci. 1999, 45, 573–593. [Google Scholar]
- Pommerening, A. Approaches to quantifying forest structures. Forestry 2002, 75, 305–324. [Google Scholar] [CrossRef]






| Site Code | Soil Cultivation Method | Size (ha) | Species Composition (Percent) | Planting Density | Stand Densityat Assessment | Number of Assessed Trees |
|---|---|---|---|---|---|---|
| (Trees·ha−1) | ||||||
| 1-Afforested | Deep ploughing, up to 60 cm depth | 1.2 | 90 P ** + 10 B | 3200 P + 680 B | 2300 | 183 |
| 2-Afforested | Microsites, 40 cm × 40 cm | 1.1 | 90 P + 10 B | 2700 P + 560 B | 1900 | 142 |
| 3-Afforested | Furrows, up to 20 cm in depth | 2.4 | 100 P | 3700 P + 780 B | 1500 | 186 |
| 4-Regenerated * | Non-ploughed | 1.5 | 100 P | No planting | 1400 | 120 |
| Soil Cultivation | pHCaCl2 | Concentration (g·kg–1) | |||
|---|---|---|---|---|---|
| OC | Total N | Total P | Total K | ||
| Deep ploughing | 4.6 ± 0.2 ab | 227.7 ± 24.0 ab | 7.8 ± 0.7 ab | 0.8 ± 0.1 b | 0.9 ± 0.1 a |
| Microsites | 4.7 ± 0.2 b | 214.3 ± 12.5 a | 6.1 ± 0.5 a | 0.6 ± 0.0 a | 0.9 ± 0.0 a |
| Furrows | 4.5 ± 0.2 a | 271.8 ± 17.6 b | 7.8 ± 0.5 b | 0.7 ± 0.0 b | 0.9 ± 0.1 a |
| Non-ploughed | 4.6 ± 0.1 ab | 220.1 ± 31.4 ab | 6.1 ± 0.5 a | 0.7 ± 0.0 b | 0.9 ± 0.1 a |
| Soil Cultivation | Forest Floor Mass (t·ha–1) | OC | Total N | Total P | Total K |
|---|---|---|---|---|---|
| (t·ha–1) | (kg·ha–1) | ||||
| Deep ploughing | 15.8 ± 2.7 | 3.6 ± 0.7 | 131.6 ± 29.0 | 13.0 ± 3.1 | 14.4 ± 3.1 |
| Microsites | 21.3 ± 2.8 | 4.5 ± 0.7 | 133.2 ± 23.9 | 12.3 ± 1.3 | 18.5 ± 2.5 |
| Furrows | 14.6 ± 2.6 | 3.9 ± 0.8 | 117.0 ± 24.9 | 10.6 ± 2.3 | 13.9 ± 3.1 |
| Non-ploughed | 15.6 ± 3.6 | 3.6 ± 1.0 | 101.3 ± 29.9 | 11.2 ± 3.1 | 14.4 ± 3.2 |
| Soil Cultivation Method | Mineral Soil Layer | |||
|---|---|---|---|---|
| 0–10 cm | 10–20 cm | 20–40 cm | 40–80 cm | |
| pHCaCl2 | ||||
| Deep ploughing | 4.5 ± 0.2 a | 4.6 ± 0.3 a | 6.0 ± 0.9 a | 6.9 ± 0.5 a |
| Microsites | 5.0 ± 0.2 b | 5.9 ± 0.1 b | 6.1 ± 0.5 a | 6.5 ± 0.5 a |
| Furrows | 5.0 ± 0.3 b | 6.0 ± 0.4 b | 6.5 ± 0.4 a | 7.0 ± 0.3 a |
| Non-ploughed | 4.8 ± 0.7 ab | 5.5 ± 0.6 ab | 5.9 ± 0.3 a | 6.4 ± 0.7 a |
| Mineral N concentration (mg·kg–1) | ||||
| Deep ploughing | 1.23 ± 0.20 b | 0.74 ± 0.05 ab | 1.04 ± 0.05 b | 0.69 ± 0.11 a |
| Microsites | 0.62 ± 0.13 a | 0.40 ± 0.21 a | 0.54 ± 0.20 a | 0.46 ± 0.14 a |
| Furrows | 2.22 ± 0.16 c | 1.79 ± 0.02 b | 1.90 ± 0.05 c | 1.70 ± 0.11 b |
| Non-ploughed | 1.41 ± 0.45 b | 1.34 ± 0.21 b | 0.89 ± 0.41 ab | 0.74 ± 0.37 a |
| Total P concentration (mg·kg–1) | ||||
| Deep ploughing | 192.0 ± 6.0 a | 253.7 ± 19.3 b | 340.3 ± 13.3 b | 326.0 ± 9.6 b |
| Microsites | 251.0 ± 20.2 b | 193.5 ± 21.3 a | 115.8 ± 10.0 a | 290.3 ± 78.7 b |
| Furrows | 330.5 ± 15.5 c | 314.8 ± 15.1 c | 318.5 ± 22.2 b | 360.0 ± 52.6 c |
| Non-ploughed | 345.3 ± 19.6 c | 260.0 ± 15.5 b | 177.5 ± 31.4 ab | 174.8 ± 14.0 a |
| P2O5 concentration (mg·kg–1) | ||||
| Deep ploughing | 48.7 ± 2.0 a | 49.0 ± 4.2 a | 100.3 ± 7.1 b | 108.0 ± 11.5 b |
| Microsites | 106.3 ± 12.3 b | 71.3 ± 15.1 b | 58.3 ± 22.9 a | 102.0 ± 35.0 b |
| Furrows | 56.5 ± 1.7 a | 34.5 ± 5.4 a | 51.8 ± 7.3 a | 61.0 ± 4.5 a |
| Non-ploughed | 135.0 ± 12.8 c | 80.5 ± 14.6 b | 48.8 ± 18.3 a | 68.8 ± 8.3 a |
| Total K concentration (mg·kg−1) | ||||
| Deep ploughing | 705.3 ± 114.2 b | 519.3 ± 31.9 ab | 525.0 ± 38.7 a | 672.3 ± 81.4 a |
| Microsites | 496.0 ± 11.0 a | 472.8 ± 11.5 a | 557.3 ± 32.4 a | 770.8 ± 31.0 a |
| Furrows | 518.5 ± 16.3 a | 566.8 ± 18.6 b | 550.5 ± 26.1 a | 706.0 ± 64.3 a |
| Non-ploughed | 488.8 ± 7.5 a | 482.0 ± 11.1 a | 577.0 ± 88.4 a | 692.3 ± 113.8 a |
| K2O concentration (mg·kg–1) | ||||
| Deep ploughing | 49.3 ± 5.2 ab | 33.0 ± 3.6 ab | 29.7 ± 2.3 ab | 30.0 ± 3.0 b |
| Microsites | 51.5 ± 2.1 b | 37.3 ± 1.1 b | 38.3 ± 6.2 b | 30.8 ± 5.2 b |
| Furrows | 38.5 ± 1.0 a | 26.8 ± 0.6 a | 22.5 ± 1.0 a | 18.8 ± 1.1 a |
| Non-ploughed | 44.3 ± 6.9 ab | 30.5 ± 5.2 ab | 34.5 ± 9.1 b | 28.5 ± 5.5 b |
| Soil Cultivation Method | Tree Number | Mean DBH * (cm) | Mean Height (m) | Mean Stem Straightness (Score) |
|---|---|---|---|---|
| Deep ploughing | 183 | 14.0 ± 0.2 a | 12.4 ± 0.1 c | 1.15 ± 0.03 b |
| Microsites | 142 | 14.0 ± 0.3 a | 11.9 ± 0.2 c | 1.08 ± 0.03 ab |
| Furrows | 186 | 13.4 ± 0.2 a | 11.0 ± 0.1 b | 1.04 ± 0.01 a |
| Non-ploughed | 120 | 13.3 ± 0.6 a | 9.1 ± 0.3 a | 1.07 ± 0.03 a |
Publisher’s Note: MDPI stays neutral with regard to jurisdictional claims in published maps and institutional affiliations. |
© 2022 by the authors. Licensee MDPI, Basel, Switzerland. This article is an open access article distributed under the terms and conditions of the Creative Commons Attribution (CC BY) license (https://creativecommons.org/licenses/by/4.0/).
Share and Cite
Survila, G.; Varnagirytė-Kabašinskienė, I.; Armolaitis, K. Changes in Soil Properties and Scots Pine Tree Growth Induced by Different Soil Ploughing Prior to Afforestation: A Case Study. Forests 2022, 13, 900. https://doi.org/10.3390/f13060900
Survila G, Varnagirytė-Kabašinskienė I, Armolaitis K. Changes in Soil Properties and Scots Pine Tree Growth Induced by Different Soil Ploughing Prior to Afforestation: A Case Study. Forests. 2022; 13(6):900. https://doi.org/10.3390/f13060900
Chicago/Turabian StyleSurvila, Gediminas, Iveta Varnagirytė-Kabašinskienė, and Kęstutis Armolaitis. 2022. "Changes in Soil Properties and Scots Pine Tree Growth Induced by Different Soil Ploughing Prior to Afforestation: A Case Study" Forests 13, no. 6: 900. https://doi.org/10.3390/f13060900
APA StyleSurvila, G., Varnagirytė-Kabašinskienė, I., & Armolaitis, K. (2022). Changes in Soil Properties and Scots Pine Tree Growth Induced by Different Soil Ploughing Prior to Afforestation: A Case Study. Forests, 13(6), 900. https://doi.org/10.3390/f13060900

