Abstract
To rapidly rehabilitate mangrove forests, exotic mangrove species characterized by high growth rates have been introduced in China, which would undoubtedly affect the nutrient status, nutrient acquisition and utilization strategies of mangrove plants, but the mechanism remains unclear. Qi’ao Island (a suburb of Zhuhai City) has the largest continuous exotic mangrove forests in China, where a mass collection of mangrove soils, plant tissues and tidewater was conducted. Ecological stoichiometric ratios and isotopic compositions were then analyzed to evaluate the ecosystem-scale nutrient status and compare the nutrient acquisition and utilization strategies of native Kandelia obovata (KO) and exotic Sonneratia apetala (SA) species. Soil and foliar C:N:P stoichiometries indicated that there is high P availability but N limitations, while further isotopic evidence indicated that native KO and exotic SA responded differently to the N limitation status. First, native KO seemed to prefer NO3−, while exotic SA preferred NH4+, according to the Δ15Nleaf–root (leaf–root δ15N difference) as well as the relationships between foliar δ15N and soil-extracted NH4+ δ15N, and between N and heavy metal contents. This suggested possible inter-specific competition between native KO and exotic SA, leading to different N species’ preferences to maximize resource utilization. Next, native KO likely adopted the “conservative” strategy to ensure survival with reduced investment in N-rich growth components but root systems leading to lower growth rates and higher N use efficiency (NUE) and intrinsic water use efficiency (iWUE), while exotic SA adopted the “aggressive” strategy to ensure fast growth with heavy investment in N-rich growth components, leading to rapid growth and lower NUE and iWUE, and showing signs of invasiveness. Further, native KO is more responsive to aggravated N limitation by enhancing NUE. This study will provide insights into the adaptation of different mangrove species to nutrient limitations and the risks associated with large-scale plantations of exotic mangrove species.
1. Introduction
Mangrove forests are known as “blue carbon (C)” ecosystems due to their high productivity, enhanced organic C burial rates and suitable C storage conditions [1,2], where nutrients are the key drivers of C cycling processes [3,4,5]. Mangroves often grow in coastal intertidal zones of tropical–subtropical bays or river delta areas, where they receive significant amounts of nutrient supplied by oceanic inputs and terrestrial discharge [6]. However, mangroves are usually found to be limited by nitrogen (N) or phosphorus (P) or co-limited by both, though there are complex spatial and within-stand differences in nutrient dynamics [7,8,9]. Diminishing mangrove forests have been a global concern since last century, caused by intense human activities such as aquiculture or urbanization. To rehabilitate mangrove forests, mangrove species characterized by high growth rates, such as Sonneratia apetala (SA) and Laguncularia racemosa, have been introduced in China [10,11]. However, fast-growing exotic mangrove species may result in unexpected influences on nutrient limitations, under which different mangrove species may have a series of self-adaptive strategies such as nutrient acquisition and investment.
Field fertilization experiments, often adopted to assess the nutrient status, are time- and cost-consuming as well as being associated with considerable disturbances, while the ecological stoichiometry of soil and plants has proven valuable in understanding the nutrient status of various ecosystems [12,13]. For example, the soil C:P ratio could be an indicator of P availability, while the soil N:P ratio is informative of the relative nutrient constraints of N and P [12,14]. Koerselman and Meuleman (1996) [15] once proposed a simple, cost-effective and widely accepted tool for predicting wetland plant nutrient status based on a review of 40 fertilization experiments to show that foliar N:P > 16 indicates P limitations, while foliar N:P < 14 indicates N limitations. However, there are also complex plant–soil interactions, which may impact the foliar stoichiometric ratios differently. Insofar, soil and foliar ecological stoichiometries have not been extensively studied in mangrove forests compared with other ecosystems [9,16]. Especially, few have studied both the soil and foliar ecological stoichiometries in mangrove ecosystems [17], which would be insightful for unraveling the nutrient status and even the plants’ adaptive strategy through cautious assessments.
Since nutrients are essential but commonly limiting, mangrove plants may possess a wide array of strategies to adapt to nutrient limitations, such as efficient nutrient acquisition and special resource investment [18,19]. Both N and P have various sources, and source preference would be an important aspect of N acquisition related to nutrient availabilities and plant metabolism [20]. However, the nutrient source preferences of mangrove plants have rarely been investigated; in particular, whether there is a significant inter-specific competition for nutrients between native and exotic mangrove species remains unknown. Stable isotopes have been widely used to identify N sources (e.g., ammonium, nitrate) [21,22,23], which may also be valuable in understanding N acquisition in mangrove plants. The investment strategy of nutrients for C assimilation in plant growth or defense systems is a central question related to the growth and ecological safety of plants. The nutrient use efficiency, i.e., the rate of net C assimilation per unit of nutrient invested, can be a measure of how plants mediate nutrient investments and therefore, is necessary to constrain [24,25]. Native and exotic mangrove plants could completely differ in their nutrient use efficiency and investment strategies [5]. Nevertheless, the nutrient investment strategies of mangrove plants and their connections to water restrictions have not been well studied, which would be informative and desirable for predicting the productivity and ecological risks of native and exotic species.
Qi’ao Island in a suburb of Zhuhai City has the largest continuous exotic SA mangrove forest patches in China (~2 km2), but relatively few studies have systematically evaluated the nutrient status after the large-scale plantation of fast-growing exotic SA [26]. In particular, how native and exotic mangrove species adapt to the nutrient status is not well understood [27], which, however, can be pivotal for determining the productivity and ecological safety. The objectives of this work were: (1) to analyze the soil and foliar stoichiometries for assessing the ecosystem-scale nutrient status in the Qi’ao mangrove ecosystem; (2) to compare the adaptive strategies regarding nutrient acquisition and utilization between native Kandelia obovata (KO) and exotic SA. This will provide insights into the responses of mangrove plants to nutrient status and the ecological risks associated with the introduction of exotic mangrove species.
2. Materials and Methods
2.1. Study Area and Sampling Sites
The Qi’ao mangrove area, part of the Qi’ao–Dangan Island provincial-level Natural Reserve, is located in a suburb of Zhuhai City (south China) (Figure 1). Qi’ao Island has a subtropical maritime monsoon climate characterized by 90% of the total annual rainfall occurring in the typhoon season (April–October) and an average air temperature ranging from 15 °C to 28.5 °C over the year. The Qi’ao mangrove soil is mostly clayed silt and silty clay [28]. Qi’ao Island is located in the Pearl River Estuary, and the surrounding coastal waters are suffering from severe eutrophication [29]. Since 1998, SA of Bangladeshi origin has been introduced to control the invasion of Spartina alterniflora, forming the largest continuous exotic mangrove forests in China (~2 km2) [30]. KO is the major native mangrove species, with contributing 4.2% of the area on Qi’ao Island.
Figure 1.
Study area and sampling sites in the Qi’ao mangrove ecosystem, south China.
One native KO forest patch and five exotic SA forest patches characterized by different stand ages and different tidal zones were selected for sampling (Figure 1). In the low tide (LT) zone, one 15-year-old SA forest patch was selected (i.e., LT15); in the medium tide (MT) zone, three SA forest patches were selected with stand ages of 11, 15, and 22 years, recorded as MT11, MT15 and MT22, respectively; in the high tide (HT) zone, a 20-year-old SA forest patch (i.e., HT20) and a 60-year-old KO forest patch (i.e., KO) were selected. In each forest patch, three standard sampling plots (10 m × 10 m) were randomly established away from the forest fringes. The sampling sites were the same as those in our earlier study and analysis related to biomass and soil carbon dynamics, which can be found in Zhang et al. (2022) [31].
2.2. Plant, Soil and Tidewater Collection
Three representative trees of the dominant species in each sampling plot were selected to collect their fresh sun leaves and roots. About 20 sun leaves from each tree were randomly sampled using tall shears and combined as a composite leaf sample, and about 20 g of lateral roots was collected with a soil auger for each tree in January 2021. Simultaneously, with the surface litter layer and debris removed, surface soil samples (0–10 cm) were collected from three points around each tree stand and then pooled to achieve a final surface soil sample. Surface tidewater was collected using a sampling bottle at different tidal zone creeks near the sampling plots (Figure 1).
2.3. Laboratory Analysis
A portion of the soil was oven-dried to measure the mass difference for the soil moisture content. The remaining soil samples were cleaned of obvious plant and shell debris, air-dried and stored at room temperature. The leaf and root samples were completely washed with distilled water and freeze-dried. All dried samples were then sieved with a 0.3 mm mesh before further analysis.
The sieved soil samples were first mixed with distilled water at a soil:water mass ratio of 1:2.5 and 1:5 to measure the soil pH and salinity using a portable pH meter (S210K, Mettler-Toledo GmbH, Greifensee, Switzerland) and salinity meter (HQ14d, Hach Company, Loveland, CO, USA), respectively. The C and total N contents as well as the δ13C and δ15N in acidified soil (treated with excessive 1.0 M HCl to remove carbonates), and leaf and root samples were measured using an elementary analyzer (Vario El cube, Elementar Analysensysteme GmbH, Langenselbold, Germany) and an isotopic ratio mass spectrometer (EA-IRMS) (IsoPrime100, IsoPrime Ltd., Cheadle, UK) in State Key Laboratory of Isotope Geochemistry, Chinese Academy of Sciences, Guangzhou Institute of Geochemistry, Chinese Academy of Sciences. Soil P contents were determined according to the alkali fusion–Mo-Sb anti spectrophotometric method [32]: in brief, the soil sample was fused with sodium hydroxide (NaOH), then mixed with a Mo-Sb reagent under acidic conditions and measured with an ultraviolet spectrophotometer (UV-2700i, Shimadzu Corporation, Kawaguchi, Japan). Foliar P, Cu and Zn concentrations were determined after digestion with a mixture of HNO3 and HClO4 using inductively coupled plasma–atomic emission spectrometer (ICP-AES) (Optima 5300DV, Perkin Elmer Inc., Naperville, IL, USA). Ammonium (NH4+), nitrite (NO2−) and nitrate (NO3−) concentrations in the 1 M KCl extract of soil and tidewater were analyzed using a continuous flow analyzer (San++, SKALAR Analytical B.V., Breda, The Netherlands). Tidewater NH4+ δ15N and NO3− δ15N, as well as soil KCl extracts of NH4+ δ15N were determined by converting NH4+ or NO3− ultimately to N2O, which was then measured using continuous-flow isotope ratio mass spectrometry (IRMS) (MAT 253, Thermo Fisher, Agawam, MA, USA). NH4+ was oxidized to NO2− by hypobromite (BrO−) and then converted to N2O by hydroxylamine (NH2OH) [33]. Nitrate was reduced to NO2− using Cd powder and then converted to N2O by sodium azide (NaN3) [34]. There was no sufficient NO3− in the soil KCl extracts for isotopic analysis. All the δ13C values were reported versus the Vienna Pee Dee Belemnite (VPDB) standard, while the δ15N values were reported versus air N2. The levels of precision were ±0.2‰ for δ13C, ±0.3‰ for δ15N, ±1% for C content and ±0.02% for total N content based on replicate analysis of the working standards (tropical soil and sugarcane leaves).
2.4. Calculations
Foliar δ13C (δ13C) can provide an estimate of the integrated long-term water use efficiency (iWUE), owing to the strong relationship between Δ13C and the ratio between intercellular CO2 concentration and atmospheric CO2 concentration (Ci/Ca) [35]:
where δ13Ca (−8‰) is the 13C abundance of the atmosphere; a (4.4‰) and b (30‰) represent the isotope discrimination during CO2 diffusion and carboxylation, respectively.
Δ13C (‰) = δ13Ca − δ13C = a + (b − a) (Ci/Ca)
Given that net photosynthesis (A) is related to the leaf conductance of CO2 (gCO2), as stated by Fick’s law (A = gCO2 (Ca − Ci)), and the leaf conductance of water vapor (gH2O) is 1.6 times gCO2, A/gH2O, which is the ratio of carbon fixed via photosynthesis to water lost through transpiration, termed the intrinsic water use efficiency (iWUE) [24], can be determined as:
iWUE = A/gH2O = (b − Δ13C) Ca/(1.6(b − a))
2.5. Data Analysis
All the stochiometric ratios are mass ratios. The Kolmogorov–Smirnov test was conducted to check whether the distribution was normal or not. A one-way analysis of variance (ANOVA) or Bonferroni’s multiple comparison test was performed to compare the soil and foliar stoichiometries between sites, while three-way ANOVAs were used to test the effects of plant species, stand age and tide level on the stoichiometries. Pearson’s (large sample sizes, n > 40) or Spearman’s (small sample sizes, n < 40) correlation analysis was conducted to investigate the relationships among environmental factors, nutrient stoichiometries and isotopic data in mangrove soils and plants. All statistical analyses were performed using SPSS software (Version 20, SPSS Inc., Chicago, IL, USA). All the data are presented as means ± SE.
3. Results
3.1. Tidewater Chemistry
Variations existed in Ph value, salinity, and NH4+-N and NO3−-N concentrations, as well as NH4+ δ15N and NO3− δ15N from the high tide to the low tide zone. The tidewater was slightly alkaline, with Ph values of 8.6–9.4, and with relatively consistent salinities from 5.6‰ to 8.8‰. Tidewater NH4+-N concentrations were relatively consistent, ranging from 0.17 ± 0.03 mg/L in the high tide zone to 0.14 ± 0.02 mg/L in the low tide zones, and tidewater NH4+ δ15N ranged from 31.3‰ to 52.0‰. The NO3−-N concentration varied from 0.55 ± 0.10 mg/L in the low tide zone to 0.10 ± 0.09 mg/L in the high tide zones, and tidewater NO3− δ15N varied from 11.9‰ to 20.7‰.
3.2. Soil Nutrient Stoichiometries
The soil was slightly acidic (Ph: 6.8 ± 0.2) and slightly saline (salinity: 1.9–5.4‰). Soil C concentrations varied from 1.22% to 4.28%, soil N concentrations ranged from 0.13% to 0.32%, and soil P concentrations were relatively uniform, varying from 0.04% to 0.10% (Figure 2a–c). Significantly higher C and N concentrations were observed at the high tide sites (KO and HT20) (p < 0.001). However, no significant differences were observed between the other sites.
Figure 2.
Soil concentrations of (a) C, (b) N and (c) P, stoichiometric ratios of (d) C:N, (e) C:P and (f) N:P, as well assoil-extracted (g) NH4+-N and (h) NO3−-N concentrations in the Qi’ao mangrove forest.
Soil C:N ratios ranged from 8.5 to 14.5, soil C:P ratios varied from 15.1 to 44.6, and soil N:P ratios varied from 1.6 to 4.2 (Figure 2d–f). Soil C:N ratios were only affected by stand age (p < 0.05). However, soil C:P and N:P ratios were significantly higher at the high tide sites (p < 0.05). Plant species had no significant effects on soil C:N:P stoichiometry (SI Table S1).
Soil-extracted NH4+-N concentrations varied from 0.22 μg/(g dry soil) to 12.53 μg/(g dry soil), while soil-extracted NO3−-N concentrations varied from 0.04 μg/(g dry soil) to 0.17 μg/(g dry soil) (Figure 2g,h). The soil-extracted NO3−-N concentrations of KO were significantly higher than those of SA (p < 0.001).
3.3. Plant Nutrient Stoichiometries
Foliar C concentrations were within the range of 37.17% to 49.27%, foliar N concentrations varied from 1.17% to 2.00%, and foliar P concentrations ranged from 0.10% to 0.25% (Figure 3a–c). The foliar C concentrations of native KO were significantly higher than those of exotic SA (p < 0.001). However, the foliar N concentrations of native KO were significantly lower than those of exotic SA (p < 0.01).
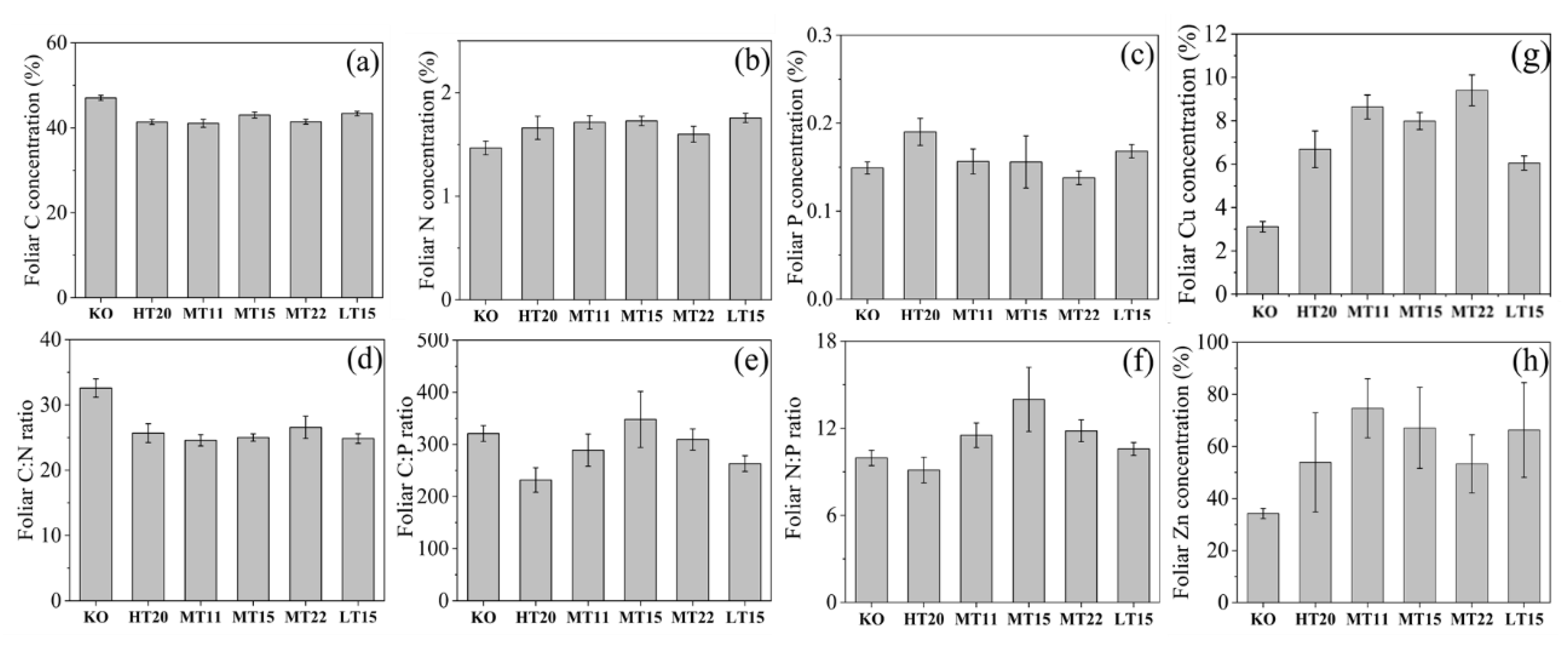
Figure 3.
Foliar concentrations of (a) C, (b) N, (c) P, (g) Cu and (h) Zn and stoichiometric ratios of (d) C:N, (e) C:P and (f) N:P in the Qi’ao mangrove forest.
Foliar C:N ratios were related to mangrove species, with those of KO (32.6 ± 1.4) being significantly higher than those of exotic SA (27.5 ± 6.3) (Figure 3d) (p < 0.001). Foliar C:P ratios ranged from 121.8 to 578.2, while foliar N:P ratios ranged from 7.1 to 16.8 (Figure 3e,f). Foliar C:P and N:P ratios were species-independent and were not related to tide level or stand age (p > 0.05). The foliar Cu and Zn concentrations of SA (Cu: 0.42–1.27%; Zn: 2.35–19.4%) were significantly higher than those of KO (Cu: 0.19–0.40%; Zn: 2.68–4.38%) (Figure 3g,h).
3.4. Isotopic Results
Isotopic results were shown in Figure 4. Soil δ15N values ranged from 3.9‰ to 7.1‰ and were lower than foliar δ15N values across all sampling sites (p < 0.05). KO and SA groups showed significant differences in soil δ15N (p < 0.05). Soil-extracted NH4+ δ15N was significantly lower in the high tide zone, i.e., −1.18‰ ± 1.02‰ for KO and −1.43‰ ± 1.61‰ for HT20, while the highest value of 8.45‰ ± 2.50‰ occurred in the low tide zone of SA (LT15).
Figure 4.
Comparisons of foliar, root and soil δ15N and soil-extracted NH4+ δ15N among different sampling sites.
The highest foliar δ15N was observed for SA (8.9‰), while the lowest foliar δ15N occurred for KO (4.0‰), and there were significant differences in foliar δ15N between the SA and KO groups (p < 0.05). Root δ15N was significantly lower than foliar δ15N for KO (p < 0.05), while there were no significant differences between root and foliar δ15N for SA. The root δ15N of SA (7.0‰ ± 0.2‰) was significantly higher than that of KO (3.7‰ ± 0.5‰, p < 0.05). The iWUE ranged from 2.9 to 84.78 μmol mmol−1.
4. Discussion
4.1. Ecosystem-Scale Nutrient Status
The soil C:N ratio of 8.5 to 14.5 in this study was significantly lower than that of northeast China’s wetlands and most mangrove forests in China (Table 1). The low soil C:N ratios in this study are most likely due to the N-rich oceanic materials imported during tidal exchange, such as phytoplankton (C:N = 5–10) and microphytobenthos (C:N = 7–9), in contrast to the C:N > 20 seen for terrestrial vascular plants [36,37]. The surface soil P concentration in this study was significantly higher than that in most mangrove forests in China (Table 1). Meanwhile, the soil C:P values in the Qi’ao mangrove forest, i.e., 15.1 to 44.6, were far lower than those of most mangrove forests of China, which is likely due to the high P availability. On Qi’ao Island, the soil N:P value was 2.4 ± 0.1, which is lower than that of most mangrove forests in China, indicating a relative deficiency in N. These findings suggest that P may not be limiting but N is relatively deficient in Qi’ao’s soils.
Table 1.
Comparison of soil and foliar C, N and P concentrations and ratios between this study and previous investigations.
The foliar C concentrations (37.2–49.4%) in this study were comparable with those of most mangrove forests in China but were higher than that of global wetlands (Table 1). The foliar N concentrations of 1.2% to 2.4% in this study were comparable with those of most mangrove forests in China but were significantly lower than those of China’s wetlands, suggesting the high demand for N in mangrove plants. Instead, the foliar P concentrations of 0.07% to 0.36% were similar to those of global wetlands but were higher than those in most mangrove forests in China (Table 1). If we compare the foliar N and P concentrations and N:P ratios with the critical values (N < 1.3% and N:P < 14 for N limitation; P < 0.7% and N:P > 16 for P limitation) defined by Koerselman and Meuleman (1996) [15] and Wassen et al. (1995) [44], the majority of mangrove plants in Qi’ao were N-limited (relative to P), while five SA plants with foliar N:P ratios between 14 and 16 were suffering co-limitation or no limitation. The foliar N:P ratios of the Qi’ao mangrove forest were similar to those of most Chinese mangrove forests [9] but were far lower than the global mean of 16.7 for mangrove forests [7].
The positive correlation between foliar C concentrations and soil N concentrations (Pearson’s correlation coefficient: 0.40, p < 0.001, n = 54, SI Figure S1) further suggest that N is likely the limiting factor for mangrove productivity. Foliar N:P ratios were negatively correlated with soil P concentrations (Pearson’s correlation coefficient: 0.40, p < 0.001, SI Figure S1), indicating that plant N limitations may be caused or at least exaggerated by soil P accumulation [45].
4.2. N Acquisition Strategies
First, plant δ15N can potentially be used as a tracer of plant N sources. There was a significant positive relationship between foliar δ15N and soil δ15N for both KO (Spearman correlation coefficient: 0.60, p < 0.05) and SA (Spearman correlation coefficient: 0.27, p < 0.05), suggesting the important contribution of soil to N acquisition by mangrove plants [46]. However, foliar δ15N is typically depleted compared with soil δ15N for that isotope fractionation against 15N during plant N uptake, especially with the presence of arbuscular mycorrhizal associations. Arbuscular mycorrhizal associations are widespread for both KO and SA [47], which have been known to deplete plant δ15N by ~2‰ [48]. Instead, we found a significant enrichment in leaf δ15N relative to soil δ15N. This was partly due to decreasing N availability and increasing N limitation [49,50]. More likely, this reflects not only the soil’s contribution but also tidewater inputs to the plant N pool. However, though the δ15N of NH4+ and NO3− in tidewater was high (tidewater δ15NNH4+: 42.2‰ ± 5.2‰, δ15NNO3−: 17.5‰ ± 1.4‰) due to agricultural fertilizer applications and urban wastewater [51], we did not observe high leaf δ15N or an increase in foliar δ15N from the high tide zones to the low tide zones. This indicated that the contribution from tidewater was not substantial. This is consistent with a previous study showing that river water was not the dominant N source (~13% contribution) for wetland plants [46].
Further, foliar δ15N is an indicator of available N sources (e.g., NH4+, NO3−, organic N) that vary in their amounts and δ15N. Leaf–root differences in δ15N (Δ15Nleaf–root) could potentially give a hint of the different N source preferences between NH4+ and NO3− [23], two major forms of N that can be utilized by plants, due to differences in the tissue-specific location of primary N assimilation [52,53]. The assimilation of NH4+ usually occurs immediately in the roots, so there is little intra-plant variation in δ15N as a result of a single root-assimilation event [23,54]. On the contrary, NO3− can be assimilated in both roots and shoots [23,55]. Considering the fractionation against the heavier isotope during root NO3− assimilation, the remainder of the unassimilated root NO3− should be enriched in δ15N. Once the enriched NO3− pool is transported to the leaf for assimilation, the leaf would become enriched in δ15N relative to root [56], leading to a significant Δ15Nleaf–root. The KO plants had relatively higher values of Δ15Nleaf–root of 2.11‰ ± 0.50‰ (n = 9), suggesting that KO preferred NO3−, while the relatively low Δ15Nleaf–root for SA of 0.12‰ ± 0.25‰ suggested a preference for NH4+ in SA (Figure 5a). Despite the low NO3−-N concentrations in the soil extracts (NO3−: 0.66 ± 0.08 μmol/L), KO could still mainly uptake soil NO3−, since low NO3−-N concentrations up to 0.3–9 μmol/L can induce the uptake of NO3− [50].
Figure 5.
(a) Δ15Nleaf–root values of the Qi’ao mangrove forest. (b) The relationship between foliar δ15N and soil-extracted NH4+ δ15N. (c,d) Relationship between foliar N and foliar Cu (or Zn) concentrations. KO: Kandelia obovate; SA: Sonneratia apetala; *** means p < 0.001; * means p < 0.05.
In addition, the preference of NO3− to NH4+ in KO can also be seen by the negative correlation between foliar δ15N and soil-extracted NH4+ δ15N (Figure 5b). Moreover, the relationship between foliar N and heavy metal concentrations provided another line of evidence of the inter-specific differences in N source preferences between KO and SA. Since specific NO3− transport proteins and NO3− reductase enzymes could both be interfered with by excess zinc (Zn) and copper (Cu) [57,58], the significantly higher Zn and Cu concentrations, as well as the positive correlations of foliar N and Cu (or Zn) concentrations in SA (p < 0.05) (Figure 5c,d), also suggested the preference for NH4+ by A. However, no positive correlation was observed between foliar δ15N and soil-extracted NH4+ δ15N for SA, likely due to uncertainties associated with the N uptake at depths beyond 10 cm and the contribution of tidewater NH4+. In anoxic mangrove sediments, nitrification rates are low and NH4+ is the dominant inorganic N species throughout the year. The preference for NO3− by KO, as well as inter-specific competition and specific preferences for different N sources, can be an ecosystem-scale strategy to maximize resource use efficiencies and ensure N acquisition by different mangrove plants in N-limited environments [59,60].
4.3. N Utilization Strategy
The foliar C:N ratio is a proxy of N use efficiency (NUE) or the rate of net C assimilation per unit of N invested in the leaves [25,61]. In this study, KO had a significantly higher NUE, with foliar C:N ratios of 33.1 ± 4.4 (n = 9), compared with SA, which had foliar C:N ratios of 25.4 ± 2.8 (n = 45) (Figure 3). Moreover, there was a positive correlation between NUE and iWUE (Figure 6a), contrary to the general trade-off between NUE and iWUE [25,62,63]. It was previously argued that plants cannot optimally use water and N simultaneously because the increased NUE caused by higher photosynthetic capacity would likely increase transpiration and decrease iWUE. The positive correlation between NUE and iWUE indicated the possible investment of N by mangrove plants to overcome hydraulic limitations, compared with other plants without water or N stress [64]. One possible mechanism for both the higher NUE and iWUE of KO compared with SA is that KO tends to invest more N to synthesize osmotically compatible solutes for improving the water status of tissues or for root development for facilitating water uptake from the soil [65,66].
Figure 6.
The relationships between NUE and iWUE (a), and NUE and AGBp (b) in two dominant mangrove species of the Qi’ao mangrove forest. KO: Kandelia obovate; SA: Sonneratia apetala; *** means p < 0.001; AGBp was derived from the published data in [31].
Meanwhile, SA had a lower NUE and iWUE and considerably significantly higher productivities (Figure 6). In particular, the diameters at breast height of SA on Qi’ao Island (23.87–42.65 cm, 32.66 cm ± 0.63 cm) were likely larger than those in the places of origin (mainly Bangladesh) (20–30 cm at maturity with a mean diameter increment rate of 0.6 cm yr−1) [67], showing signs of invasiveness [10,68]. These finding suggest that SA likely prioritizes fast growth and adopts an “aggressive” strategy to ensure fast growth with heavy investments in N-rich growth components (e.g., the photosynthetic system), at the cost of NUE and iWUE. This further suggests that KO likely adopts a “conservative” strategy to enhance survival with reduced N investments in N-rich growth components but not root systems, accounting for the higher NUE and iWUE [69]. The negative correlation observed between NUE and aboveground biomass per plant (AGBp) for KO (Spearman’s correlation coefficient: −0.78, p < 0.05) (Figure 6b) further showed the trade-off between NUE and productivity for KO [70,71].
In addition, some have proposed that NUE could increase in strong N-limited environments to ensure survival, while NUE decreases in weakened N-limited conditions [71]. NUE was negatively correlated with foliar N:P ratios (N limitation index) for KO (Pearson’s correlation coefficient: −0.59, p < 0.05), but no correlation was found between NUE and foliar N:P ratios for SA. These findings suggest that KO is more resilient to fluctuations in N limitations, in that they are likely to elevate NUE in response to aggravated N limitations.
In the context of the ecosystem-scale N limitation status, exotic SA has a high chance of acquiring more N and winning the inter-specific competition with native KO. This may be detrimental to native KO communities, which is true, as we can see the substitution of KO forest patches by SA forest patches in the seaward marginal area after establishment of the SA plantation on Qi’ao Island [30]. Nevertheless, the predominance of exotic SA with low NUE, low iWUE and low investment in roots may worsen the ecosystem-level N limitation and reduce the ecosystem’s sustainability, leading to vulnerabilities to nutrient deficiencies or other adverse environmental conditions [72].
5. Conclusions
This study investigated the nutrient status of the Qi’ao mangrove ecosystem and compared the nutrient acquisition and utilization strategies of native KO and exotic SA mangrove species. In general, the Qi’ao mangrove ecosystem exhibits high P availability and a relative N limitation based on the C:N:P stoichiometries in both the soil and plant leaves. Both native KO and exotic SA mangrove species could mainly take up N from the soil, but exotic SA preferred NH4+ while KO preferred NO3−, as shown by the leaf–root difference in δ15N (Δ15Nleaf–root), the relationship between foliar δ15N and soil-extracted NH4+ δ15N, and the relationship between foliar δ15N and Cu (or Zn) concentrations. In addition, native KO is superior to exotic SA in NUE and iWUE; exotic SA adopts an “aggressive” strategy to ensure fast growth with heavy investment into N-rich growth components (a critical invasiveness trait), while native KO tends to adopt a “conservative” strategy to ensure survival with less investment in N-rich metabolic processes for growth but not root systems; native KO is more resilient to aggravated N limitations by elevating its NUE. Therefore, the large-scale plantation of exotic SA may require a massive amount of nutrients and may increase the ecological risks. This study demonstrated a simple way to assess the ecosystem-scale nutrient status by taking advantage of soil and plant ecological stoichiometries, and revealed the distinct adaptive strategies of native and exotic mangrove species. The dataset may also provide supplementary information on the ecological stoichiometries and isotopes in global mangrove ecosystems, as well as highlighting the invasive risks of Sonneratia apetala.
Supplementary Materials
The following supporting information can be downloaded at: https://www.mdpi.com/article/10.3390/f13050804/s1. Figure S1: Relationships between C, N and P concentrations and their stoichiometric ratios in soil and plants, foliar, δ15N of soil and plants, environmental factors, aboveground biomass and underground biomass of per plant; Table S1: Results of a three-way ANOVA analyzing the effects of plant species, stand age and tide level on the soil and foliar stoichiometries.
Author Contributions
Conceptualization, F.W.; data curation, F.W.; formal analysis, Y.W.; funding acquisition, Z.Q. and F.W.; investigation, Y.W., Z.Z., K.H., Y.L. (Yihan Liu) and Y.L. (Yaobei Lin); methodology, L.X. and F.W.; resources, K.H.; supervision, F.W.; writing—original draft, Y.W.; writing—review and editing, Z.Q., L.X., J.W. and F.W. All authors have read and agreed to the published version of the manuscript.
Funding
This research was funded by National Natural Science Foundation of China (U21A6001), the Guangdong Major Project of Basic and Applied Basic Research (2020B0301030004), the Guangzhou Basic and Applied Basic Research Grant (202102021231), the special fund of the State Key Joint Laboratory of Environment Simulation and Pollution Control (20K02ESPCW) and the Guangdong Provincial Special Fund for Modern Agriculture Industry Technology Innovation Teams (2019KJ125).
Institutional Review Board Statement
Not applicable.
Informed Consent Statement
Not applicable.
Data Availability Statement
Not applicable. All data generated or analyzed during this study are included in this manuscript.
Acknowledgments
The authors are grateful to members of the Environmental Ecology laboratory at Sun Yat-sen University and the staff at the Qi’ao–Dangan Island Provincial Level Mangrove Natural Reserve for helping with field and lab experiments.
Conflicts of Interest
The authors declare no conflict of interest.
References
- Donato, D.C.; Kauffman, J.B.; Murdiyarso, D. Mangroves among the most carbon-rich forests in the tropics. Nat. Geosci. 2011, 4, 293–297. [Google Scholar] [CrossRef]
- Sasmito, S.D.; Kuzyakov, Y.; Lubis, A.A. Organic carbon burial and sources in soils of coastal mudflat and mangrove ecosystems. Catena 2020, 187, 104414. [Google Scholar] [CrossRef]
- Feller, I.C.; Whigham, D.F.; McKee, K.L. Nitrogen limitation of growth and nutrient dynamics in a disturbed mangrove forest, Indian River Lagoon, Florida. Oecologia 2003, 134, 405–414. [Google Scholar] [CrossRef] [PubMed]
- Alongi, D.M. Cycling and global fluxes of nitrogen in mangroves. Glob. Environ. Chang. 2013, 17, 173–182. [Google Scholar]
- Alongi, D.M. Impact of global change on nutrient dynamics in mangrove forests. Forests 2018, 9, 596. [Google Scholar] [CrossRef] [Green Version]
- Kathiresan, K.; Bingham, B.L. Biology of mangroves and mangrove ecosystems. Adv. Mar. Biol. 2001, 4, 81–251. [Google Scholar]
- Lovelock, C.E.; Feller, I.C.; Ball, M.C. Testing the growth rate vs. geochemical hypothesis for latitudinal variation in plant nutrients. Ecol. Lett. 2007, 10, 1154–1163. [Google Scholar] [CrossRef]
- Reef, R.; Feller, I.C.; Lovelock, C.E. Nutrition of mangroves. Tree Physiol. 2010, 30, 1148–1160. [Google Scholar] [CrossRef] [Green Version]
- Jiang, Z.; Liao, B.; Xin, K. Species-specific spatial and temporal variation in foliar nitrogen and phosphorus in mangrove plants. Mar. Ecol. Prog. Ser. 2021, 667, 15–24. [Google Scholar] [CrossRef]
- Ren, H.; Lu, H.; Shen, W. Sonneratia apetala Buch. Ham in the mangrove ecosystems of China: An invasive species or restoration species? Ecol. Eng. 2009, 35, 1243–1248. [Google Scholar] [CrossRef]
- Feng, J.; Zhou, J.; Wang, L. Effects of short-term invasion of Spartina alterniflora and the subsequent restoration of native mangroves on the soil organic carbon, nitrogen and phosphorus stock. Chemosphere 2017, 184, 774–783. [Google Scholar] [CrossRef] [PubMed]
- Bui, E.N.; Henderson, B.L. C:N:P stoichiometry in Australian soils with respect to vegetation and environmental factors. Plant Soil 2013, 373, 553–568. [Google Scholar] [CrossRef]
- Yue, K.; Fornara, D.A.; Yang, W. Effects of three global change drivers on terrestrial C:N:P stoichiometry: A global synthesis. Glob. Chang. Biol. 2017, 23, 2450–2463. [Google Scholar] [CrossRef] [PubMed]
- Tian, H.; Chen, G.; Zhang, C. Pattern and variation of C:N:P ratios in China’s soils: A synthesis of observational data. Biogeochemistry 2010, 98, 139–151. [Google Scholar] [CrossRef]
- Koerselman, W.; Meuleman, A.F. The vegetation N: P ratio: A new tool to detect the nature of nutrient limitation. J. Appl. Ecol. 1996, 33, 1441–1450. [Google Scholar] [CrossRef]
- Zhou, L.L.; Li, S.B.; Wang, W.P. Leaf C, N, P stoichiometry and nutrient resorption characteristics among four mangrove tree species in the Zhangjiangkou wetland, Fujian Province. Chin. J. Appl. Environ. Bio. 2020, 26, 674–680. [Google Scholar]
- Zhou, Y.H.; Zhang, Z.H.; Li, J. Ecological stoichiometry of carbon, nitrogen and phosphorus in leaves and soil of mangrove plants in Beilun Estuary, Guangxi. Earth Environ. 2020, 48, 58–65. [Google Scholar]
- Lambers, H.; Chapin, F.S.; Pons, T.L. Plant Physiological Ecology; Springer Press: New York, NY, USA, 2008. [Google Scholar]
- Sardans, J.; Rivas-Ubach, A.; Peñuelas, J. The C:N:P stoichiometry of organisms and ecosystems in a changing world: A review and perspectives. Perspect. Plant Ecol. J. Syst. Evol. 2012, 14, 33–47. [Google Scholar] [CrossRef]
- Britto, D.T.; Kronzucker, H.J. Ecological significance and complexity of N-source preference in plants. Ann. Bot. 2013, 112, 957–963. [Google Scholar] [CrossRef] [Green Version]
- Pascual, M.; Lordan, J.; Villar, J.M. Stable carbon and nitrogen isotope ratios as indicators of water status and nitrogen effects on peach trees. Sci. Hortic-Amst. 2013, 157, 99–107. [Google Scholar] [CrossRef]
- Kalcsits, L.A.; Buschhaus, H.A.; Guy, R.D. Nitrogen isotope discrimination as an integrated measure of nitrogen fluxes, assimilation and allocation in plants. Physiol. Plant 2014, 151, 293–304. [Google Scholar] [CrossRef] [PubMed]
- Kalcsits, L.A.; Min, X.; Guy, R.D. Interspecific variation in leaf–root differences in δ 15 N among three tree species grown with either nitrate or ammonium. Trees 2015, 29, 1069–1078. [Google Scholar] [CrossRef]
- Farquhar, G.D.; Hubick, K.T.; Condon, A.G. Carbon Isotope Fractionation and Plant Water-Use Efficiency. In Stable Isotopes in Ecological Research; Springer Press: New York, NY, USA, 1989. [Google Scholar]
- Livingston, N.J.; Guy, R.D.; Sun, Z.J. The effects of nitrogen stress on the stable carbon isotope composition, productivity and water use efficiency of white spruce (Picea glauca (Moench) Voss) seedlings. Plant Cell Environ. 1999, 22, 281–289. [Google Scholar] [CrossRef]
- Li, R.; Chai, M.; Li, R. Influence of introduced Sonneratia apetala on nutrients and heavy metals in intertidal sediments, south China. Environ. Sci. Pollut. 2016, 24, 2914–2927. [Google Scholar] [CrossRef] [PubMed]
- Wu, F.; Liao, B.; Chen, Y. Niches of nine mangrove species in a Sonneratia apetala-colonized area of Dongzhai Harbor, Hainan Island, China. Ecol. Evol. 2020, 12, 1. [Google Scholar] [CrossRef] [PubMed]
- Wu, Z.; Zhou, H.; Ren, D. Processes controlling the seasonal and spatial variations in sulfate profiles in the pore water of the sediments surrounding Qi’ao island, Pearl River Estuary, Southern China. Cont. Shelf Res. 2015, 98, 26–35. [Google Scholar] [CrossRef]
- Xie, Q.; Shi, Y.Z.; Zhang, J.J. Eutrophication status and the influence of Pearl River Estuary in Spring. J. Oceanogr. 2017, 36, 356–364. [Google Scholar]
- Qiu, N.; Xu, S.J.; Qiu, P.H. Community Distribution and Landscape Pattern of the Mangrove on the Qi’ao Island, Zhuhai. Sci. Silvae Sin. 2019, 55, 1–10. [Google Scholar]
- Zhang, Z.M.; Wang, Y.; Zhu, Y.K. Non-native mangroves can accelerate carbon sequestration in both soil and biomass. Plant Soil 2022, in press. [Google Scholar] [CrossRef]
- China Environmental Protection Agency. Soil-Determination of Total Phosphorus by Alkali Fusion-Mo-Sb Anti Spectrophotometric Method; China Environmental Science Press: Beijing, China, 2012. [Google Scholar]
- Liu, D.; Fang, Y.; Tu, Y. Chemical method for nitrogen isotopic analysis of ammonium at natural abundance. Anal. Chem. 2014, 86, 3787–3792. [Google Scholar] [CrossRef]
- Tu, Y.; Fang, Y.; Liu, D. Modifications to the azide method for nitrate isotope analysis. Rapid Commun. Mass Spectrom. 2016, 30, 1213–1222. [Google Scholar] [CrossRef] [PubMed]
- Farquhar, G.D.; O’Leary, M.H.; Berry, J.A. On the relationship between carbon isotope discrimination and the intercellular carbon dioxide concentration in leaves. Funct. Plant Biol. 1982, 9, 121–137. [Google Scholar] [CrossRef]
- Hedges, J.I.; Clark, W.A.; Quay, P.D. Compositions and fluxes of particulate organic material in the Amazon River 1. Limnol. Oceanogr. 1986, 31, 717–738. [Google Scholar] [CrossRef] [Green Version]
- Baird, M.E.; Middleton, J.H. On relating physical limits to the carbon: Nitrogen ratio of unicellular algae and benthic plants. J. Mar. Syst. 2004, 49, 169–175. [Google Scholar] [CrossRef]
- Chen, Y.C.; Wang, Z.Y.; Xu, F.H. Comparison of soil nutrients and ecological stoichiometry characteristics among different types of mangroves. Sci. Tech. Eucalyptus 2016, 33, 32–37. [Google Scholar]
- Ye, Y.; Lu, C.Y. Study on soil CH4 dynamics of Tonghuashu mangrove forest in Changning Estuary, Hainan. Trop. Oceanogr. 2001, 4, 35–42. [Google Scholar]
- Chen, Y.; Zhang, Y.; Lou, D. Carbon density difference of mangrove-shoal system at different tidal levels in Yingluo Bay, Guangdong. Ecol. Environ. Sci. 2019, 28, 1134–1140. (In Chinese) [Google Scholar]
- Wang, H.; Liao, G.; D’Souza, M. Temporal and spatial variations of greenhouse gas fluxes from a tidal mangrove wetland in Southeast China. Environ. Sci. Pollut. 2016, 23, 1873–1885. [Google Scholar] [CrossRef]
- Hu, Y.K.; Liu, X.Y.; He, N.P. Global patterns in leaf stoichiometry across coastal wetlands. Glob. Ecol. Biogeogr. 2021, 30, 852–869. [Google Scholar] [CrossRef]
- Zhu, D.; Hui, D.; Wang, M. Light and competition alter leaf stoichiometry of introduced species and native mangrove species. Sci. Total Environ. 2020, 738, 140301. [Google Scholar] [CrossRef]
- Wassen, M.J.; Venterink, H.O.; Swart, E.O. Nutrient concentrations in mire vegetation as a measure of nutrient limitation in mire ecosystems. J. Veg. Sci. 1995, 6, 5–16. [Google Scholar] [CrossRef]
- Vitousek, P.M.; Howarth, R.W. Nitrogen limitation on land and in the sea: How can it occur? Biogeochemistry 1991, 13, 87–115. [Google Scholar] [CrossRef]
- Qian, J.; Jin, W.; Hu, J. Stable isotope analyses of nitrogen source and preference for ammonium versus nitrate of riparian plants during the plant growing season in Taihu Lake Basin. Sci. Total Environ. 2021, 763, 143029. [Google Scholar] [CrossRef] [PubMed]
- Wirsel, S.G. Homogenous stands of a wetland grass harbour diverse consortia of arbuscular mycorrhizal fungi. FEMS Microbiol. Ecol. 2004, 48, 129–138. [Google Scholar] [CrossRef]
- Hobbie, E.A.; Högberg, P. Nitrogen isotopes link mycorrhizal fungi and plants to nitrogen dynamics. New Phytol. 2012, 196, 367–382. [Google Scholar] [CrossRef]
- Sorrell, B.K.; Chagué-Goff, C.; Basher, L.M. N:P ratios, δ15N fractionation and nutrient resorption along a nitrogen to phosphorus limitation gradient in an oligotrophic wetland complex. Aquat. Bot. 2011, 94, 93–101. [Google Scholar] [CrossRef]
- Craine, J.M.; Brookshire, E.N.J.; Cramer, M.D. Ecological interpretations of nitrogen isotope ratios of terrestrial plants and soils. Plant Soil 2015, 396, 1–26. [Google Scholar] [CrossRef] [Green Version]
- Ye, H.; Tang, C.; Cao, Y. Sources and transformation mechanisms of inorganic nitrogen: Evidence from multi-isotopes in a rural-urban river area. Sci. Total Environ. 2021, 794, 148615. [Google Scholar] [CrossRef]
- Evans, R.D.; Bloom, A.J.; Sukrapanna, S.S. Nitrogen isotope composition of tomato (Lycopersicon esculentum Mill. cv. T-5) grown under ammonium or nitrate nutrition. Plant Cell Environ. 1996, 19, 1317–1323. [Google Scholar] [CrossRef]
- Piao, H.; Li, S.; Yan, Z. The partitioning patterns of nutrients between pods and seeds of Zanthoxylum fruits impacted by environmental factors. Acta Geochim. 2018, 37, 676–683. [Google Scholar] [CrossRef]
- Piao, H.C.; Liu, C.Q.; Wang, S.J. Isotopic evaluation of the role of arbuscular mycorrhizae in the nitrogen preference in Chinese fir seedlings. Pedobiologia 2012, 55, 167–174. [Google Scholar] [CrossRef]
- Evans, A.W. Assessing competence in surgical dentistry. Br. Dent. J. 2001, 190, 343–346. [Google Scholar] [CrossRef] [PubMed]
- Kolb, K.J.; Evans, R.D. Implications of leaf nitrogen recycling on the nitrogen isotope composition of deciduous plant tissues. New Phytol. 2002, 156, 57–64. [Google Scholar] [CrossRef]
- Hippler, F.W.; Mattos, D., Jr.; Boaretto, R.M. Copper excess reduces nitrate uptake by Arabidopsis roots with specific effects on gene expression. J. Plant. Physiol. 2018, 228, 158–165. [Google Scholar] [CrossRef] [PubMed]
- Jain, R.; Srivastava, S.; Solomon, S. Impact of excess zinc on growth parameters, cell division, nutrient accumulation, photosynthetic pigments and oxidative stress of sugarcane (Saccharum spp.). Acta Physiol. Plant 2010, 32, 979–986. [Google Scholar] [CrossRef]
- Kahmen, S.; Poschlod, P. Effects of grassland management on plant functional trait composition. Agric. Ecosyst. Environ. 2008, 128, 137–145. [Google Scholar] [CrossRef]
- Imbert, E.; Youssef, S.; Carbonell, D. Do endemic species always have a low competitive ability? A test for two Mediterranean plant species under controlled conditions. Plant Ecol. 2012, 5, 305–312. [Google Scholar] [CrossRef] [Green Version]
- Ågren, G.I. The C:N:P stoichiometry of autotrophs–theory and observations. Ecol. Lett. 2004, 7, 185–191. [Google Scholar] [CrossRef]
- Field, C.; Merino, J.; Mooney, H.A. Compromises between water-use efficiency and nitrogen-use efficiency in five species of California evergreens. Oecologia 1983, 60, 384–389. [Google Scholar] [CrossRef]
- Dijkstra, F.A.; Carrillo, Y.; Aspinwall, M.J. Water, nitrogen and phosphorus use efficiencies of four tree species in response to variable water and nutrient supply. Plant Soil 2016, 406, 187–199. [Google Scholar] [CrossRef]
- Liu, Y.; Xiao, J.; Ju, W. Water use efficiency of China’s terrestrial ecosystems and responses to drought. Sci. Rep. 2015, 5, 13799. [Google Scholar] [CrossRef] [PubMed]
- Bobich, E.G.; Barron-Gafford, G.A.; Rascher, K.G. Effects of drought and changes in vapour pressure deficit on water relations of Populus d eltoides growing in ambient and elevated CO2. Tree Physiol. 2010, 30, 866–875. [Google Scholar] [CrossRef] [PubMed] [Green Version]
- Rahman, M.; Islam, M.; Gebrekirstos, A. Trends in tree growth and intrinsic water-use efficiency in the tropics under elevated CO2 and climate change. Trees 2019, 33, 623–640. [Google Scholar] [CrossRef]
- Nasrin, S.; Hossain, M.; Alam, M.R. A Monograph on Sonneratia Apetala Buch.-Ham; LAP LAMBER Academic Publishing: Saarbrücken, Germany, 2017. [Google Scholar]
- Martin, P.H.; Canham, C.D.; Kobe, R.K. Divergence from the growth-survival trade-off and extreme high growth rates drive patterns of exotic tree invasions in closed-canopy forests. J. Ecol. 2010, 98, 778–789. [Google Scholar] [CrossRef]
- Xu, G.; Fan, X.; Miller, A.J. Plant nitrogen assimilation and use efficiency. Annu. Rev. Plant Biol. 2012, 63, 153–182. [Google Scholar] [CrossRef] [Green Version]
- Elser, J.J.; Acharya, K.; Kyle, M. Growth rate-stoichiometry couplings in diverse biota. Ecol. Lett. 2003, 6, 936–943. [Google Scholar] [CrossRef] [Green Version]
- Zhang, J.; He, N.; Liu, C. Variation and evolution of C:N ratio among different organs enable plants to adapt to N-limited environments. Glob. Chang. Biol. 2019, 26, 2534–2543. [Google Scholar] [CrossRef]
- Sampaio, J.A.G.; Reis, C.R.G.; Cunha-Lignon, M. Plant invasion affects vegetation structure and sediment nitrogen stocks in subtropical mangroves. Mar. Environ. Res. 2021, 172, 105506. [Google Scholar] [CrossRef]
Publisher’s Note: MDPI stays neutral with regard to jurisdictional claims in published maps and institutional affiliations. |
© 2022 by the authors. Licensee MDPI, Basel, Switzerland. This article is an open access article distributed under the terms and conditions of the Creative Commons Attribution (CC BY) license (https://creativecommons.org/licenses/by/4.0/).





