Growth and Adaptive Capacity of Douglas Fir Genetic Resources from Western Romania under Climate Change
Abstract
1. Introduction
2. Materials and Methods
2.1. Study Sites
2.2. Field Measurements and Analyses
2.3. Climate Data
2.4. Determination of Drought Events and Drought Response Parameters
2.5. Data Analysis
3. Results
3.1. Variation in Growth and Wood Characteristics
3.2. Climate Variation and Identification of Drought Years
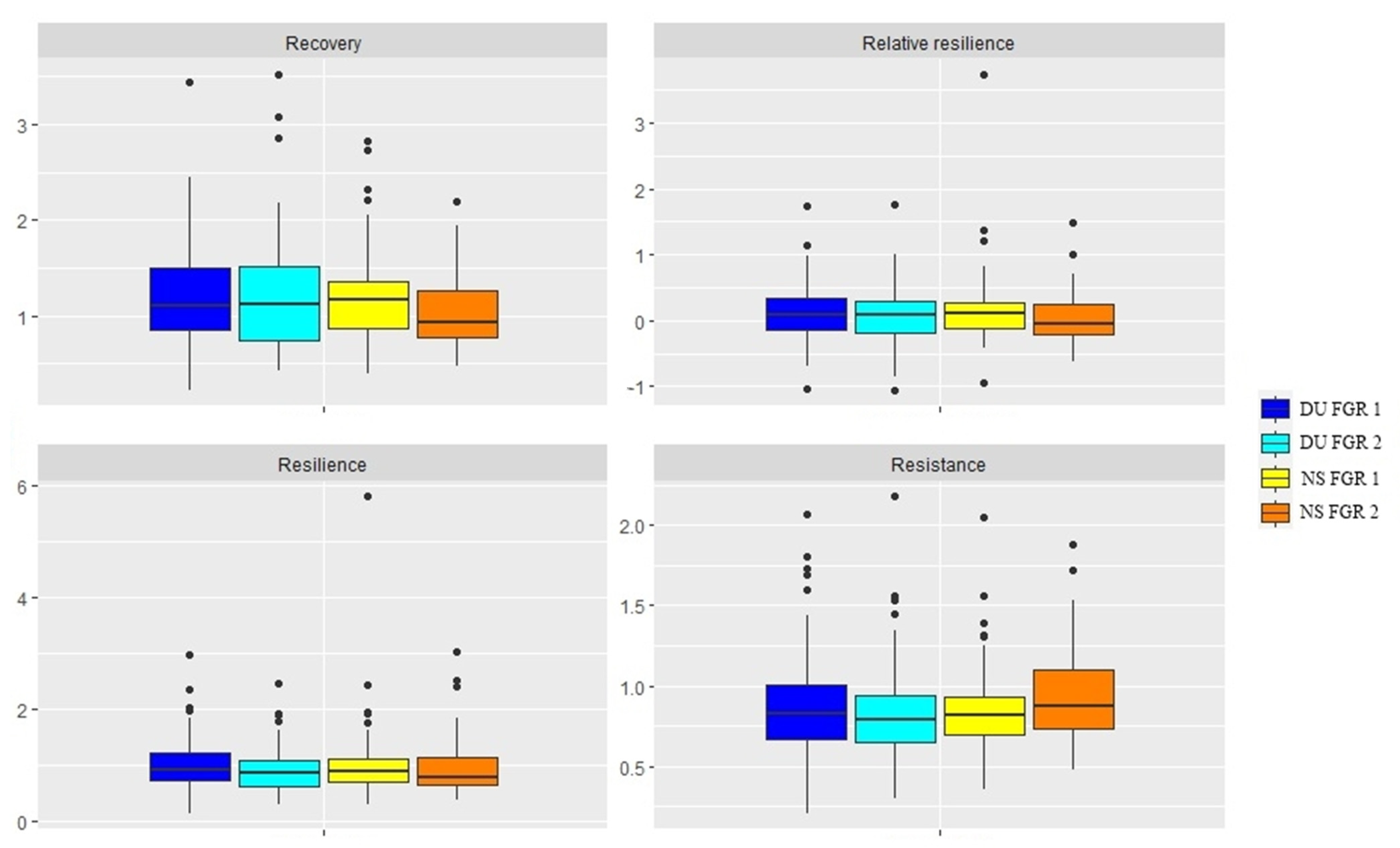
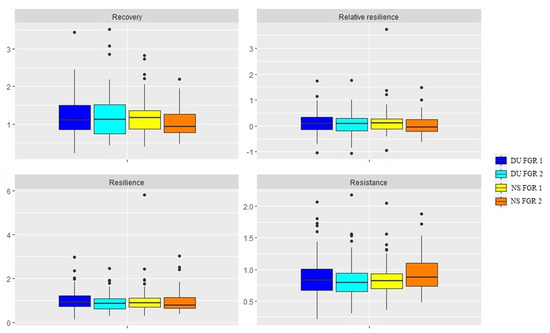
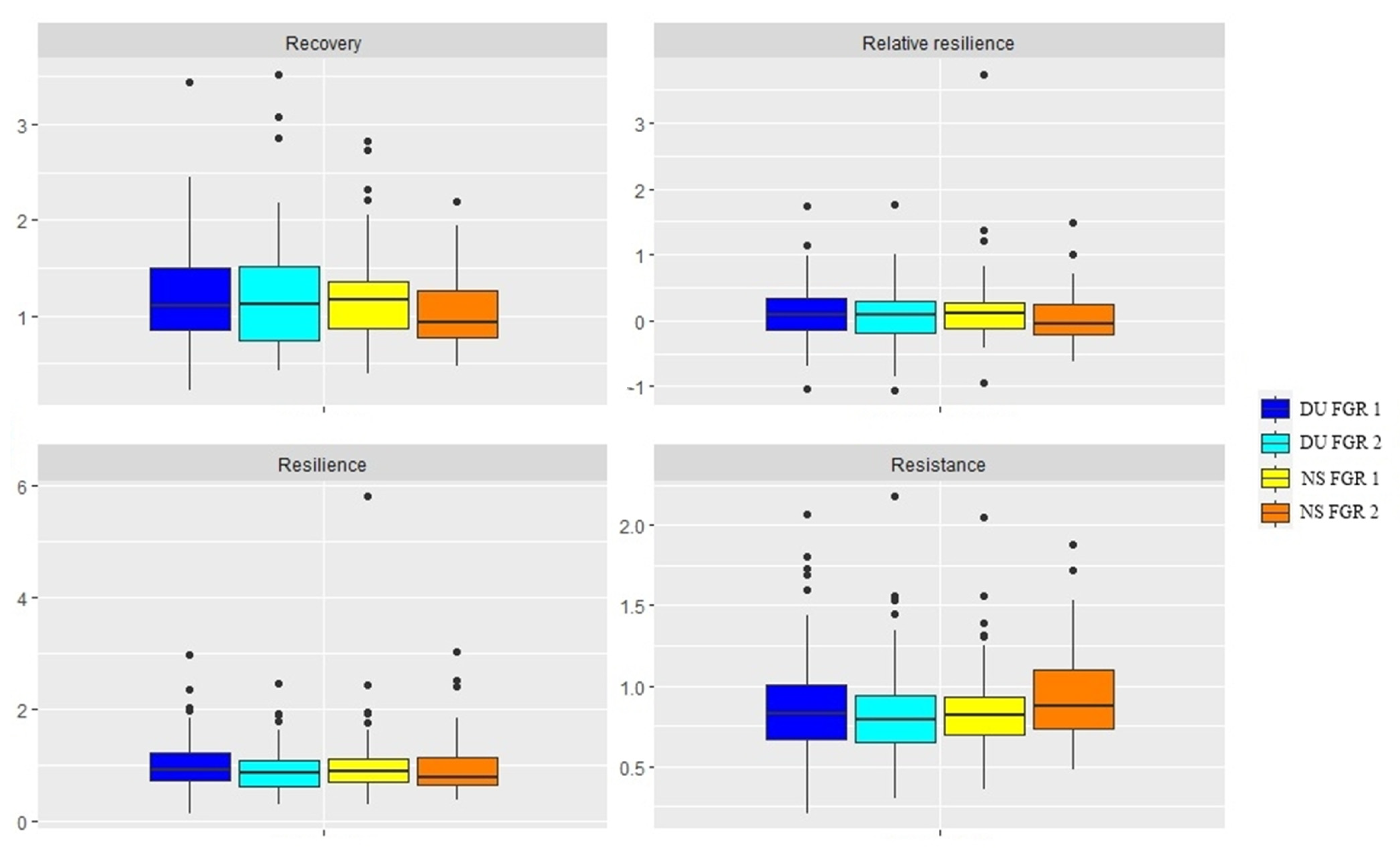
3.3. Species Response to Drought
3.4. Growth Response Functions
3.5. Potential Impact of Climate Change Projections
4. Discussion
5. Conclusions
Author Contributions
Funding
Data Availability Statement
Acknowledgments
Conflicts of Interest
References
- Lavender, D.P.; Hermann, R.K.; OSU Forest Research Laboratory. Douglas-Fir: The Genus Pseudotsuga; OSU College of Forestry: Corvallis, OR, USA, 2014; ISBN 9780615979953. [Google Scholar]
- Spiecker, H.; Lindner, M.; Schuler, J. Douglas Fir—An Option for Europe; European Forest Institute: Joensuu, Finland, 2019. [Google Scholar]
- Ivanovici, D.C. Relativ La Bradul Duglas (Regarding the Douglas Fir). Rev. Padur. 1952, 12, 73. [Google Scholar]
- Lazarescu, C.; Ionescu, C. Cultura Duglasului Verde Si a Pinului Strob (Culture of Douglas Fir and Weymouth Pine); Agrosilvica: Bucharest, Romania, 1964. [Google Scholar]
- Lacaze, J.F.; Tomassone, R. Contribution a l’etude de la Variabilite du Douglas (Pseudotsuga menziesii Mirb.). Ann. For. Sci. 1967, 24, 85–106. [Google Scholar] [CrossRef]
- Sorensen, F. Provenance Variation in Pseudotsuga menziesii Seedlings from the Var. menziesii—Var. glauca Transition Zone in Oregon. Silvae Genet. 1979, 28, 96–103. [Google Scholar]
- Campbell, R.K. Mapped Genetic Variation of Douglas-Fir to Guide Seed Transfer in Southwest Oregon. Silvae Genet. 1986, 35, 85–96. [Google Scholar]
- Rehfeldt, G.E. Ecological Adaptations in Douglas-Fir (Pseudotsuga menziesii Var. glauca): A Synthesis. For. Ecol. Manag. 1989, 28, 203–215. [Google Scholar] [CrossRef]
- Silen, R.; Mandel, N. Clinal Genetic Growth Variation within Two Douglas Fir Breeding Zones. J. For. 1993, 81, 216–220. [Google Scholar]
- Konnert, M.; Alizoti, P.; Bastien, J. European Provenance Recommendations for Selected Non-Native Species 1—Introduction. In Proceedings of the WG2 Technical Report; Institute of Silviculture, University of Natural Resources and Life Sciences Vienna: Vienna, Austria, 2019; pp. 1–50. [Google Scholar]
- Alizoti, P.; Bastien, J.C.; Chakraborty, D.; Klisz, M.M.; Kroon, J.; Neophytou, C.; Schueler, S.; van Loo, M.; Westergren, M.; Konnert, M.; et al. Non-Native Forest Tree Species in Europe: The Question of Seed Origin in Afforestation. Forests 2022, 13, 273. [Google Scholar] [CrossRef]
- St Clair, J.B.; Mandel, N.L.; Vance-Borland, K.W. Genecology of Douglas Fir in Western Oregon and Washington. Ann. Bot. 2005, 96, 1199–1214. [Google Scholar] [CrossRef]
- Nepveu, G.; Blachon, J. Growth Ring Width and Suitability for Use as Construction Timber of Conifers: Douglas Fir, Scots Pine, Maritime Pine, Sitka Spruce, Norway Spruce and Silver Fir. Rev. For. Français 1989, 41, 497–506. [Google Scholar] [CrossRef]
- Vargas-Hernandez, J.; Adams, W.T. Genetic Variation of Wood Density Components in Young Coastal Douglas-Fir: Implications for Tree Breeding. Can. J. For. Res. 1991, 21, 1801–1807. [Google Scholar] [CrossRef]
- Bastien, J.C.; Sanchez, L.; Michaud, D. Douglas Fir (Pseudotsuga menziesii (Mirb.) Franco). In Forest Tree Breeding in Europe: Current State-of-the-Art; Pâques, L.E., Ed.; Managing Forest Ecosystems; Springer: Dordrecht, The Netherlands, 2013; Volume 25, pp. 325–373. ISBN 9789400761452. [Google Scholar]
- Vejpustková, M.; Čihák, T. Climate Response of Douglas Fir Reveals Recently Increased Sensitivity to Drought Stress in Central Europe. Forests 2019, 10, 97. [Google Scholar] [CrossRef]
- Schober, R. Experiences with the Douglas Fir in Europa; FAO/FORGEN: Stockholm, Sweeden, 1963. [Google Scholar]
- Silen, R. Genetics of Douglas Fir; U.S. Department of Agriculture: Washington, DC, USA, 1978.
- Burzyński, G. Resistance to the Frost Damages and Breeding Value of Different Douglas Fir Provenances. Ph.D. Thesis, Instytut Badawczy Leśnictwa, Sękocin Stary, Poland, 1999. [Google Scholar]
- Braun, H.; Wolf, H. Untersuchungen Zum Wachstum und Zur Frosthärte von Douglasien-Populationen in Ostdeutschland. Beiträge Forstwirtsch. Landsch. 2001, 35, 211–214. [Google Scholar]
- Breidenstein, I.; Bastien, J.C.; Roman-Amat, B. Douglas Fir Range Wide Variation. Results from the IUFRO Database. In Proceedings of the Joint Meeting of Western Forest Genetics Association and IUFRO Working Parties, Olympia, Greece, 20–24 August 1990. [Google Scholar]
- Kleinschmit, J.; Bastien, J.C. IUFRO’s Role in Douglas-Fir (Pseudotsuga menziesii (Mirb.) Franco) Tree Improvement. Silvae Genet. 1992, 4, 161–173. [Google Scholar]
- Enescu, V. Cercetări de Provenienţă la Duglas Şi Larice. Teste Timpurii (Researches on Douglas Fir and Larch Provenances. Early Tests), 2nd ed.; Series I; Institutul de Cercetari si Amenajări Silvice: Bucharest, Romania, 1984. [Google Scholar]
- Enescu, V. Ameliorarea Arborilor (Breeding of the Tree Species); CERES: Bucharest, Romania, 1973. [Google Scholar]
- Enescu, V.; Chereches, D.; Bandiu, C. Conservation of Biodiversity and of Genetic Resources; Agris: Bucharest, Romania, 1998. [Google Scholar]
- Meinshausen, M.; Smith, S.J.; Calvin, K.; Thomson, A.; Daniel, J.S.; Kainuma, M.L.T.; Matsumoto, K.; Lamarque, J.; Raper, S.C.B.; Riahi, K.; et al. The RCP Greenhouse Gas Concentrations and Their Extensions from 1765 to 2300. Clim. Chang. 2011, 109, 213–241. [Google Scholar] [CrossRef]
- Birsan, M.-V.; Micu, D.-M.; Niţă, I.-A.; Mateescu, E.; Szép, R.; Keresztesi, Á. Spatio-Temporal Changes in Annual Temperature Extremes over Romania (1961–2013). Rom. J. Phys. 2019, 64, 816. [Google Scholar]
- Birsan, M.V.; Marin, L.; Dumitrescu, A. Seasonal Changes in Wind Speed in Romania. Rom. Rep. Phys. 2013, 65, 1479–1484. [Google Scholar]
- Birsan, M.V.; Nita, I.-A.; Craciun, A.; Sfica, L.; Keresztesi, Á.; Szep, R.; Micheu, M. Observed Changes in Mean and Maximum Monthly Wind Speed over Romania since AD 1961. Rom. Rep. Phys. 2020, 72, 702. [Google Scholar]
- Micu, D.M.; Dumitrescu, A.; Cheval, S.; Nita, I.A.; Birsan, M.V. Temperature Changes and Elevation-Warming Relationships in the Carpathian Mountains. Int. J. Climatol. 2021, 41, 2154–2172. [Google Scholar] [CrossRef]
- Manea, A.; Birsan, M.V.; Tudorache, G.; Cărbunaru, F. Changes in the Type of Precipitation and Associated Cloud Types in Eastern Romania (1961–2008). Atmos. Res. 2016, 169, 357–365. [Google Scholar] [CrossRef]
- Bojariu, R.; Bîrsan, M.-V.; Cică, R.; Velea, L.; Burcea, S.; Dumitrescu, A.; Dascălu, S.I.; Gothard, M.; Dobrinescu, A.; Cărbunaru, F.; et al. Schimbările Climatice—De la Bazele Fizice la Riscuri Și Adaptare; Bojariu, R., Ed.; Printech: Bucharest, Romania, 2015; ISBN 9786062303631. [Google Scholar]
- Dumitrescu, A.; Birsan, M.V. ROCADA: A Gridded Daily Climatic Dataset over Romania (1961–2013) for Nine Meteorological Variables. Nat. Hazards 2015, 78, 1045–1063. [Google Scholar] [CrossRef]
- Cheval, S.; Busuioc, A.; Dumitrescu, A.; Birsan, M.V. Spatiotemporal Variability of Meteorological Drought in Romania Using the Standardized Precipitation Index (SPI). Clim. Res. 2014, 60, 235–248. [Google Scholar] [CrossRef]
- Cheval, S.; Dumitrescu, A.; Birsan, M.V. Variability of the Aridity in the South-Eastern Europe over 1961–2050. Catena 2017, 151, 74–86. [Google Scholar] [CrossRef]
- Nita, I.-A.; Sfica, L.; Apostol, L.; Radu, C.; Keresztesi, Á.; Szep, R. Changes in Cyclone Intensity over Romania According to 12 Tracking Methods. Rom. Rep. Phys. 2020, 72, 706. [Google Scholar]
- Nita, I.-A.; Apostol, L.; Patriche, C.; Sfica, L.; Bojariu, R.; Birsan, M.-V. Frequency of Atmospheric Circulation Types over Romania According to Jenkinson-Collison Method Based on Two Long-Term Reanalysis Datasets. Rom. J. Phys. 2022. In press. [Google Scholar]
- Țîmpu, S.; Sfîcă, L.; Dobri, R.-V.; Cazacu, M.-M.; Nita, A.-I.; Birsan, M.-V. Tropospheric Dust and Associated Atmospheric Circulations over the Mediterranean Region with Focus on Romania’s Territory. Atmosphere 2020, 11, 349. [Google Scholar] [CrossRef]
- Sfîcă, L.; Beck, C.; Nita, A.I.; Voiculescu, M.; Birsan, M.V.; Philipp, A. Cloud Cover Changes Driven by Atmospheric Circulation in Europe during the Last Decades. Int. J. Climatol. 2021, 41, E2211–E2230. [Google Scholar] [CrossRef]
- Ciais, P.; Sabine, C.; Bala, G.; Bopp, L.; Brovkin, V.; Canadell, J.; Chhabra, A.; DeFries, R.; Galloway, J.; Heimann, M.; et al. Carbon and Other Biogeochemical Cycles. In Climate Change 2013: The Physical Science Basis. Contribution of Working Group I to the Fifth Assessment Report of the Intergovernmental Panel on Climate Change; Cambridge University Press: Cambridge, UK, 2014; pp. 465–570. [Google Scholar]
- Bolte, A.; Ammer, C.; Löf, M.; Madsen, P.; Nabuurs, G.J.; Schall, P.; Spathelf, P.; Rock, J. Adaptive Forest Management in Central Europe: Climate Change Impacts, Strategies and Integrative Concept. Scand. J. For. Res. 2009, 24, 473–482. [Google Scholar] [CrossRef]
- Lindner, M.; Maroschek, M.; Netherer, S.; Kremer, A.; Barbati, A.; Garcia-Gonzalo, J.; Seidl, R.; Delzon, S.; Corona, P.; Kolström, M.; et al. Climate Change Impacts, Adaptive Capacity, and Vulnerability of European Forest Ecosystems. For. Ecol. Manag. 2010, 259, 698–709. [Google Scholar] [CrossRef]
- Thom, D.; Seidl, R.; Steyrer, G.; Krehan, H.; Formayer, H. Slow and Fast Drivers of the Natural Disturbance Regime in Central European Forest Ecosystems. For. Ecol. Manag. 2013, 307, 293–302. [Google Scholar] [CrossRef]
- Cochard, H. Vulnerability of Several Conifers to Air Embolism. Tree Physiol. 1992, 11, 73–83. [Google Scholar] [CrossRef]
- Bouriaud, O.; Popa, I. Comparative Dendroclimatic Study of Scots Pine, Norway Spruce, and Silver Fir in the Vrancea Range, Eastern Carpathian Mountains. Trees—Struct. Funct. 2009, 23, 95–106. [Google Scholar] [CrossRef]
- Eilmann, B.; de Vries, S.M.G.; den Ouden, J.; Mohren, G.M.J.; Sauren, P.; Sass-Klaassen, U. Origin Matters! Difference in Drought Tolerance and Productivity of Coastal Douglas-Fir (Pseudotsuga menziesii (Mirb.)) Provenances. For. Ecol. Manag. 2013, 302, 133–143. [Google Scholar] [CrossRef]
- Podrázský, V. Potential of Douglas—Fir as a Partial Substitute for Norway Spruce—Review of the Newest Czech Literature. Beskydy 2015, 8, 55–58. [Google Scholar] [CrossRef][Green Version]
- Vitali, V.; Büntgen, U.; Bauhus, J. Silver Fir and Douglas Fir Are More Tolerant to Extreme Droughts than Norway Spruce in South-Western Germany. Glob. Chang. Biol. 2017, 23, 5108–5119. [Google Scholar] [CrossRef] [PubMed]
- Parnauta, G.; Stuparu, E.; Budeanu, M. Catalogul National Al Resurselor Genetice Forestiere (National Catalog of Forest Genetics Resources); Editura Silvica: Bucharest, Romania, 2011. [Google Scholar]
- Stokes, M.A.; Smiley, T.L. An Introduction to Tree-Ring Dating; University of Arizona Press: Tucson, AZ, USA, 1996; ISBN 0816516804. [Google Scholar]
- Grissino-Mayer, H. Evaluating Crossdating Accuracy: A Manual and Tutorial for the Computer Program COFECHA. Tree-Ring Res. 2001, 57, 205–221. [Google Scholar]
- Frits, H.C. Tree Rings and Climate; Academic Press: Cambridge, MA, USA, 1976; ISBN 978-0-12-268450-0. [Google Scholar]
- Briffa, K.R.; Jones, P.D. Basic Chronology Statistics and Assesment; Springer: Dordrecht, The Netherlands, 1990; ISBN 978-90-481-4060-2. [Google Scholar]
- Bunn, A. A Dendrochronology Program Library in R (DplR). Dendrochronologia 2008, 26, 115–124. [Google Scholar] [CrossRef]
- Harris, I.; Osborn, T.J.; Jones, P.; Lister, D. Version 4 of the CRU TS Monthly High-Resolution Gridded Multivariate Climate Dataset. Sci. Data 2020, 7, 109. [Google Scholar] [CrossRef]
- Dumitrescu, A.; Birsan, M.V.; Manea, A. Spatio-Temporal Interpolation of Sub-Daily (6 h) Precipitation over Romania for the Period 1975–2010. Int. J. Climatol. 2016, 36, 1331–1343. [Google Scholar] [CrossRef]
- Dumitrescu, A.; Birsan, M.-V.; Nita, I.-A. A Romanian Daily High-Resolution Gridded Dataset of Snow Depth (2005–2015). Geofizika 2017, 34, 2. [Google Scholar] [CrossRef]
- Dumitrescu, A.; Amihaesei, V.-A.; Cheval, S. RoCliB—bias-corrected CORDEX RCM dataset over Romania. Geosci. Data J. 2022. [Google Scholar] [CrossRef]
- Dumitrescu, A.; Amihaesei, V. RoCliB—Bias Corrected CORDEX RCM Dataset over Romania (2.0) [Data Set]. Available online: https://zenodo.org/record/6336837#.YoduUKhByUl (accessed on 1 April 2022).
- Kottek, M.; Grieser, J.; Beck, C.; Rudolf, B.; Rubel, F. World Map of the Köppen-Geiger Climate Classification Updated. Meteorol. Z. 2006, 15, 259–263. [Google Scholar] [CrossRef]
- Vicente-Serrano, S.M.; Beguería, S.; López-Moreno, J.I. A Multiscalar Drought Index Sensitive to Global Warming: The Standardized Precipitation Evapotranspiration Index. J. Clim. 2010, 23, 1696–1718. [Google Scholar] [CrossRef]
- Thornthwaite, C.W. An Approach toward a Rational Classification of Climate. Soil Sci. 1948, 66, 77. [Google Scholar] [CrossRef]
- Beguería, S.; Vicente-Serrano, S.M. Calculation of the Standardised Precipitation-Evapotranspiration Index. R-Package. CRAN. 2017. Available online: https://cran.r-project.org/web/packages/SPEI/index.html (accessed on 1 April 2022).
- Lloret, F.; Keeling, E.G.; Sala, A. Components of Tree Resilience: Effects of Successive Low-Growth Episodes in Old Ponderosa Pine Forests. Oikos 2011, 120, 1909–1920. [Google Scholar] [CrossRef]
- Wang, T.; O’Neill, G.; Aitken, S.N. Integrating Environmental and Genetic Effects to Predict Responses of Tree Populations to Climate. Ecol. Appl. 2010, 20, 153–163. [Google Scholar] [CrossRef] [PubMed]
- Mihai, G.; Birsan, M.V.; Dumitrescu, A.; Alexandru, A.; Mirancea, I.; Ivanov, P.; Stuparu, E.; Teodosiu, M.; Daia, M. Adaptive Genetic Potential of European Silver Fir in Romania in the Context of Climate Change. Ann. For. Res. 2018, 61, 95–108. [Google Scholar] [CrossRef]
- Sofletea, N.; Curtu, L. Dendrologie; Editura Pentru Viata: Brasov, Romania, 2001. [Google Scholar]
- González-Elizondo, M.; Jurado, E.; Návar, J.; González-Elizondo, M.S.; Villanueva, J.; Aguirre, O.; Jiménez, J. Tree-Rings and Climate Relationships for Douglas-Fir Chronologies from the Sierra Madre Occidental, Mexico: A 1681–2001 Rain Reconstruction. For. Ecol. Manag. 2005, 213, 39–53. [Google Scholar] [CrossRef]
- Littel, J.; Peterson, D.; Tjoelker, M. Douglas Fir Growth in Mountain Ecosystems: Water Limits Tree Growth from Stand to Region. Ecol. Monogr. 2008, 28, 349–368. [Google Scholar] [CrossRef]
- Chen, P.Y.; Welsh, C.; Hamann, A. Geographic Variation in Growth Response of Douglas-Fir to Interannual Climate Variability and Projected Climate Change. Glob. Chang. Biol. 2010, 16, 3374–3385. [Google Scholar] [CrossRef]
- St. Clair, J.B. Genetic Variation in Fall Cold Hardiness in Coastal Douglas-Fir in Western Oregon and Washington. Can. J. Bot. 2006, 84, 1110–1121. [Google Scholar] [CrossRef]
- Pretzsch, H.; Dursky, J. Growth Reaction of Norway Spruce (Picea abies) and European Beechn (Fagus silvatica) to Possible Climatic Changes in Germany. A Sensitiy Study. Blackwell Verl. 2002, 121, 145–154. [Google Scholar]
- Pichler, P.; Oberhuber, W. Radial Growth Response of Coniferous Forest Trees in an Inner Alpine Environment to Heat-Wave in 2003. For. Ecol. Manag. 2007, 242, 688–699. [Google Scholar] [CrossRef]
- Boden, S.; Kahle, H.P.; von Wilpert, K.; Spiecker, H. Resilience of Norway Spruce (Picea abies (L.) Karst) Growth to Changing Climatic Conditions in Southwest Germany. For. Ecol. Manag. 2014, 315, 12–21. [Google Scholar] [CrossRef]
- Zang, C.; Hartl-Meier, C.; Dittmar, C.; Rothe, A.; Menzel, A. Patterns of Drought Tolerance in Major European Temperate Forest Trees: Climatic Drivers and Levels of Variability. Glob. Chang. Biol. 2014, 20, 3767–3779. [Google Scholar] [CrossRef]
- Ciais, P.; Reichstein, M.; Viovy, N.; Granier, A.; Ogée, J.; Allard, V.; Aubinet, M.; Buchmann, N.; Bernhofer, C.; Carrara, A.; et al. Europe-Wide Reduction in Primary Productivity Caused by the Heat and Drought in 2003. Nature 2005, 437, 529–533. [Google Scholar] [CrossRef] [PubMed]
- Lebourgeois, F.; Rathgeber, C.B.K.; Ulrich, E. Sensitivity of French Temperate Coniferous Forests to Climate Variability and Extreme Events (Abies alba, Picea abies and Pinus sylvestris). J. Veg. Sci. 2010, 21, 364–376. [Google Scholar] [CrossRef]
- Brandl, S.; Paul, C.; Knoke, T.; Falk, W. The Influence of Climate and Management on Survival Probability for Germany’s Most Important Tree Species. For. Ecol. Manag. 2020, 458, 117652. [Google Scholar] [CrossRef]
- Konnert, M.; Fady, B.; Gömöry, D.; A’Hara, S.; Wolter, F.; Ducci, F.; Koskela, J.; Bozzano, M.; Maaten, T.; Kowalczyk, J. Use and Transfer of Forest Reproductive Material: In Europe in the Context of Climate Change; European Forest Genetic Resources Programme (EUFORGEN): Barcelona, Spain, 2015; 75p. [Google Scholar]









| Stand Characteristics | FGR 1 | FGR 2 |
|---|---|---|
| Species composition | 80% Douglas fir; 20% Norway spruce | 30% European beech; 50% Douglas fir; 10% Norway spruce; 10% other species |
| Age | 105 | 130 |
| Class of production | I | I |
| Soil | Eutricambosoil mollic | Eutricambosoil lithic |
| Site conditions | High productivity | Low productivity |
| Vegetation layer | European beech layer | European beech layer |
| Altitude | 880 m | 450 m |
| Climatic province (by Köppen–Geiger) | Cfb-warm and temperate climate with slight Mediterranean influences | Cfb-warm and temperate climate with slight Mediterranean influences |
| Site | MAT (°C) | MTJAN (°C) | MTJAN–MAR (°C) | MTVEG (°C) | SAP (mm) | MPJAN (mm) | SPJAN–MAR (mm) | SPVEG (mm) | Frost-Free Days |
|---|---|---|---|---|---|---|---|---|---|
| Western Romania | 8.97 | −2.56 | 0.01 | 15.62 | 754 | 43 | 183 | 477 | 248 |
| Pacific Northwest | 3.5 to 14.4 | –2.0 to 3.0 | –1.5 to 5 | 7.4 to 23 | 760–3000 | 15 to 524 | 43 to 1233 | 90 to 750 | 195–260 |
| Source of Variation | DF | Variance (s2) | |||||
|---|---|---|---|---|---|---|---|
| Total Height (m) | Diam. 1.30 m (cm) | Volume/ Tree (m3) | Ring Width (mm) | Latewood % | |||
| FGR 1 | Douglas fir (DU) | 18 | 5.917 *** | 102.894 *** | 9.030 *** | 34.859 *** | 2104.688 *** |
| Norway spruce (NS) | 15 | 9.772 *** | 29.857 *** | 0.622 *** | 13.413 *** | 2489.699 *** | |
| Species (S) | 1 | 1282.276 *** | 12613.321 *** | 694.107 *** | 841.898 *** | 5330.840 *** | |
| Year (Y) | 79 | - | - | - | 1.322 *** | 388.354 *** | |
| Interaction S x Y | 79 | - | - | - | 0.618 *** | 297.571 *** | |
| Error | 2640 | 7.669 | 69.695 | 5.208 | 0.080 | 164.581 | |
| FGR 2 | Douglas fir (DU) | 18 | 14.618 *** | 238.937 *** | 24.728 *** | 27.718 *** | 1592.266 *** |
| Norway spruce (NS) | 15 | 7.947 *** | 52.250 *** | 1.007 *** | 13.223*** | 2137.951 *** | |
| Species (S) | 1 | 1686.527 *** | 15754.121 *** | 1260.260 *** | 451.099 | 228.388 *** | |
| Year (Y) | 79 | - | - | - | 2.371 *** | 375.961 *** | |
| Interaction S x Y | 79 | - | - | - | 0.543 *** | 387.809 *** | |
| Error | 2560 | 12.160 | 181.358 | 19.589 | 0.098 | 182.471 | |
| FGR 1 and FGR 2 | Douglas fir (DU) | 1 | 4.995 | 974.623 * | 127.097 * | 383.776 *** | 55.155 *** |
| Norway spruce (NS) | 1 | 12.005 | 220.500 * | 1.620 | 121.424 *** | 30.932 *** | |
| Species (S) | 1 | 2953.924 *** | 28115.320 *** | 1898.461 *** | 121.424 *** | 149.833 | |
| Year (Y) for DU | 79 | - | - | - | 1.144 *** | 335.557 | |
| Interaction DU x Y | 79 | - | - | - | 0.721 *** | 311.100 | |
| Year (Y) for NS | 79 | - | - | - | 2.429 *** | 408.470 *** | |
| Interaction NS x Y | 79 | - | - | - | 0.495 *** | 384.963 *** | |
| Year (Y) | 79 | - | - | - | 2.911 *** | 424.742 *** | |
| Interaction S x Y | 79 | - | - | - | 0.742 *** | 320.916 *** | |
| Error | 5360 | 9.839 | 138.784 | 13.842 | 0.092 | 208.275 | |
| Trial | Source of Variation | DF | Variance (s2) | |||
|---|---|---|---|---|---|---|
| Resistance | Recovery | Resilience | Relative Resilience | |||
| FGR 1 | Douglas fir (DU) | 18 | 0.064 | 0.252 | 0.106 | 0.152 |
| Norway spruce (NS) | 15 | 0.084 | 0.083 | 0.360 | 0.131 | |
| Between species | 1 | 0.027 | 0.056 | 0.001 | 0.035 | |
| Extreme drought year for DU | 5 | 0.658 *** | 3.130 *** | 1.289 *** | 1.706 *** | |
| Extreme drought year for NS | 5 | 0.120 | 1.652 *** | 1.414 ** | 1.208 *** | |
| FGR 2 | Douglas fir (DU) | 18 | 0.045 | 0.241 | 0.082 | 0.132 |
| Norway spruce (NS) | 15 | 0.090 | 0.116 | 0.118 | 0.089 | |
| Between species | 1 | 0.595 ** | 1.454 * | 0.147 | 0.156 | |
| Extreme drought year for DU | 5 | 0.638 *** | 3.303 *** | 0.865 *** | 1.947 *** | |
| Extreme drought year for NS | 5 | 0.305 ** | 1.109 *** | 1.977 *** | 1.187 *** | |
| FGR 1 and FGR 2 | Douglas fir (DU) | 1 | 0.076 | 0.029 | 0.442 | 0.143 |
| Norway spruce (NS) | 1 | 0.423 * | 1.221 ** | 0.067 | 0.835 * | |
| Between Species | 1 | 0.183 | 1.055 * | 0.072 | 0.025 | |
| Between sites for DU | 1 | 0.076 | 0.029 | 0.442 | 0.143 | |
| Between sites for NS | 1 | 0.423 * | 1.221 ** | 0.067 | 0.835 * | |
| Extreme drought year for DU | 5 | 0.420 *** | 5.353 *** | 1.589 *** | 3.282 *** | |
| Extreme drought year for NS | 5 | 0.164 * | 2.669 *** | 2.688 *** | 2.278 *** | |
| FGR | Drought Parameters | Variance (s2) | |||||
|---|---|---|---|---|---|---|---|
| 1958 | 1968 | 1986 | 2000 | 2003 | 2012 | ||
| FGR 1 | Resistance | 0.036 | 0.198 * | 0.042 | 0.284 | 0.044 | 0.014 |
| Recovery | 0.020 | 0.120 | 0.008 | 1.373 * | 0.840 * | 0.510 | |
| Resilience | 0.026 | 0.389 | 0.024 | 1.105 | 1.355 * | 0.224 | |
| Rel. resilience | 0.001 | 0.034 | 0.002 | 2.504 * | 0.893 * | 0.122 | |
| FGR 2 | Resistance | 0.552 * | 0.284 | 0.107 | 0.001 | 0.972 *** | 0.004 |
| Recovery | 1.791 * | 0.782 ** | 0.112 * | 0.238 | 3.773 ** | 1.903 *** | |
| Resilience | 0.041 | 2.609 ** | 0.017 | 0.224 | 0.005 | 1.326 ** | |
| Rel. resilience | 0.893 * | 1.159 ** | 0.209 * | 0.204 | 0.845 ** | 1.183 ** | |
| Species | Trait | RW | LW | EW |
|---|---|---|---|---|
| DU | Resistance | 0.594* | 0.769 ** | 0.524 |
| Recovery | −0.888 *** | −0.692 * | −0.643 * | |
| Resilience | −0.476 | −0.105 | −0.224 | |
| Rel. resilience | −0.811 ** | −0.594 * | −0.580* | |
| NS | Resistance | −0.046 | −0.269 | 0.151 |
| Recovery | −0.790 ** | −0.173 | −0.476 | |
| Resilience | −0.776 ** | −0.363 | −0.462 | |
| Rel. resilience | −0.797 ** | −0.159 | −0.483 |
| Species | FGR | Growth Response Model | Signf. | R2 |
|---|---|---|---|---|
| Douglas fir | FGR 1 | RW = 0.864 + 0.008 MT2OCT-MAR + 0.001 SPVEG | * | 0.12 |
| Douglas fir | FGR 2 | RW = 1.686 − 0.002 MT2JUL + 0.005 MT2OCT-MAR + 0.001 SPOCT-MAR | * | 0.10 |
| Norway spruce | FGR 1 | RW = 1.527 − 0.001 MT2JUL −0.0001 SP2OCT-MAR | * | 0.06 |
| Norway spruce | FGR 2 | RW = 2.813 − 0.003 MT2VEG − 0.001 SP2IAN-MAR | * | 0.10 |
| Douglas fir | FGR 2 | LWP = 74.941 − 0.044 TM2JUL − 0.001 SP2OCT-MAR | *** | 0.23 |
| Norway spruce | FGR 1 | LWP = 56.419 − 0.038 MT2VEG − 0.014 SPOCT-MAR | * | 0.07 |
Publisher’s Note: MDPI stays neutral with regard to jurisdictional claims in published maps and institutional affiliations. |
© 2022 by the authors. Licensee MDPI, Basel, Switzerland. This article is an open access article distributed under the terms and conditions of the Creative Commons Attribution (CC BY) license (https://creativecommons.org/licenses/by/4.0/).
Share and Cite
Mihai, G.; Curtu, A.-L.; Alexandru, A.-M.; Nita, I.-A.; Ciocîrlan, E.; Birsan, M.-V. Growth and Adaptive Capacity of Douglas Fir Genetic Resources from Western Romania under Climate Change. Forests 2022, 13, 805. https://doi.org/10.3390/f13050805
Mihai G, Curtu A-L, Alexandru A-M, Nita I-A, Ciocîrlan E, Birsan M-V. Growth and Adaptive Capacity of Douglas Fir Genetic Resources from Western Romania under Climate Change. Forests. 2022; 13(5):805. https://doi.org/10.3390/f13050805
Chicago/Turabian StyleMihai, Georgeta, Alexandru-Lucian Curtu, Alin-Madalin Alexandru, Ion-Andrei Nita, Elena Ciocîrlan, and Marius-Victor Birsan. 2022. "Growth and Adaptive Capacity of Douglas Fir Genetic Resources from Western Romania under Climate Change" Forests 13, no. 5: 805. https://doi.org/10.3390/f13050805
APA StyleMihai, G., Curtu, A.-L., Alexandru, A.-M., Nita, I.-A., Ciocîrlan, E., & Birsan, M.-V. (2022). Growth and Adaptive Capacity of Douglas Fir Genetic Resources from Western Romania under Climate Change. Forests, 13(5), 805. https://doi.org/10.3390/f13050805

