Abstract
Towards the improvement of plant productivity in saline–alkali soils, the application of arbuscular mycorrhizal fungi (AMF) is an intensive topic of research. For this study, three inoculation treatments, namely, autoclaved AMF inocula (CK), Funneliformis mosseae (FM), and Corymbiglomus tortuosum (CT), and four NaCl levels, namely, 0, 50, 100, and 150 mM were established to investigate the growth and physiological responses of mycorrhizal Gleditsia sinensis Lam. root systems to increase salinity through root dry weight, morphology, nutrient content, and physiology, and soil nutrient content. As NaCl levels increased, root dry weight, morphology, and nutrient content under the CK treatment exhibited a downward trend, while FM and CT treatments weakened this trend and significantly improved root dry weight and morphology, which increased by more than 200%. Under high NaCl levels, root activity under the FM treatment was significantly higher than that under the CK, with an average increase of 120.86%. In contrast to the activity of nitrate reductase, niacinamide adenine dinucleotide oxidase activity under CK was significantly less than that in FM and CT treatments. Moreover, inoculation with AMF significantly affected soil alkali-hydrolyzable nitrogen (AN), total nitrogen (TN), and phosphorus (TP), while NaCl had no significant impact on soil nutrients. Further, both soil salinity and mycorrhizal colonization rate had significant direct effects on root growth. However, soil salinity primarily influenced root growth through indirect effects on root nitrogen content, while mycorrhizal colonization rate indirectly impacted root nitrate reductase activity, and root nitrogen and phosphorus content. Our results suggested that the use of suitable AMF (e.g., Funneliformis mosseae) might effectively improve the currently unfavorable situation of economic tree species production on land with saline soils, which may greatly optimize the utility of these areas.
1. Introduction
Soil salinity is one of the major challenges that hinders environmental sustainability on a global scale [1]. Recently, the rapid expansion of the global economy has led to a sharp increase in demand for land [2]; thus, saline–alkali land is increasingly valued as a land reserve resource. However, excessive soil salinity limits the development and utilization potential of plants, as it is difficult to protect and revegetate plants on saline–alkali land [3]. Although we initially developed coastal shelterbelts, the selection of tree species played a significant role in ecological protection [4,5], where the economic supply capacity of saline–alkali land was only slightly engaged. Compared with traditional halophytes, the roots of economical tree species have weak tolerance against salt; thus, increasing salinity has serious deleterious effects on their growth. It is urgent to enhance the productivity of economic tree species on saline–alkali lands through the improvement of root growth.
Roots maintain plant growth via mechanical support, nutrient extraction, gas exchange, and the recruitment of beneficial soil microorganisms [6]. This assists plants in resisting various biotic and abiotic stresses such as salinity, acidity, drought, and pests [7]. Moreover, the soil environment strongly impacts the growth, density, and distribution of roots [8], while excessive soil salinity can have various harmful effects on them. These detrimental effects include physiological drought caused by poor water penetration, cytotoxicity induced through the accumulation of sodium and chloride ions, and nutrient imbalances caused by reduced nutrient absorption [3,9], which can inhibit root growth and even cause plant death. Recently, the use of plant growth-promoting microorganisms that alleviate salt stress to improve plant tolerance and productivity in saline–alkali soils has emerged as a new and intensive area of research [10,11,12,13].
As a critical component of terrestrial ecosystems [14], arbuscular mycorrhizal fungi (AMF) can form symbiotic relationships with >80% of land plants [15]. Numerous studies confirmed that mycorrhizal association enhances the salt tolerance and productivity of plants in saline–alkali soils by augmenting the absorption of nutrients and accumulation of dry matter [5]. Further, it regulates antioxidant enzyme activities [4] and assists in osmotic adjustments [16] while improving photosynthesis and water utilization [17]. However, the effects of mycorrhizal association are primarily determined by plant–AMF symbiosis and environmental factors [18]. Associations among the growth, nutrient absorption, and physiological and biochemical processes of different AMF on specific host plants under salt stress still require further exploration. This contributes to the more effective application of AMF to agricultural and forestry production in saline–alkali areas. Research into the use of AMF to improve plant salt tolerance has mostly been concentrated on agriculture rather than forestry [14,19,20], where investigations into woody plants for forestry are even rarer [4,5,21]. As valuable tree species, Gleditsia Linn and Gleditsia sinensis Lam. are extensively distributed across Asia, the Americas, and Africa [22]. In addition to providing vegetable gum, pod powder, and wood, G. sinensis also have important ecological benefits by serving as shelterbelts [23]. G. sinensis has attracted broad attention due to its excellent drought resistance, low soil requirements, and salt tolerance of up to 3‰ [24,25]. However, the use of AMF to improve plant tolerance and productivity under salt stress toward the development of coastal shelterbelts remains poorly understood. Although our earlier research confirmed that AMF enhanced the growth of G. sinensis [26], there remains a lack of studies on the advantages of mycorrhizal association at various salinity levels using different strains. Even rarer is research on the effects of different AMF strains on the root growth and soil environment of G. sinensis under salt stress.
To investigate the impact of various NaCl levels and different AMF species on the root systems of G. sinensis, we established simulated salt damage tests using potted plants. Our objective was to illustrate the effects of increasing levels of NaCl and different AMF species on the root systems of G. sinensis, which encompassed root dry weight, morphology, nutrient content, and physiology, and soil nutrient content. According to previous investigations, we propose the following hypotheses: (1) salinity inhibits the root growth of G. sinensis where the degree of inhibition increases with higher NaCl levels; (2) this inhibition can be alleviated with the inoculation of AMF; (3) AMF promotes root growth by regulating root nutrient uptake and physiology under salt stress.
2. Materials and Methods
2.1. Experimental Design
For this study, G. sinensis was employed as the research species, and a completely random block design included two factors: AMF treatment and salt treatment. The AMF treatment comprised three inoculation entities (autoclaved AMF inocula (CK), Funneliformis mosseae (FM), and Corymbiglomus tortuosum (CT)). The salt treatment comprised four levels of NaCl (0, 50, 100, and 150 mM). Each treatment contained 12 biological replicates for a total of 3 × 4 × 12 = 144 pots.
2.2. Plant Seeds, AMF Inoculant, and Soil
G. sinensis seeds were provided by the Jiangsu Forestry Station with a thousand seed weight of 182.25 g. To break dormancy, seeds were etched with concentrated sulfuric acid for 10 min under constant stirring. When the seeds turned dark red, they were extracted and rinsed with distilled water several times until the pH value of the residual water on the surface of the seeds was ~7. Seeds were then poured into warm water at 30 °C for 2 days till they were fully swollen with water. Expanded seeds were screened out and buried in sterilized wet sand, placed in an incubator at 28 °C for cultivation under dark conditions, and germinated within 3–5 days.
Inoculated strains (F. mosseae and C. tortuosum) were purchased from the Institute of Plant Nutrition and Resources at the Beijing Academy of Agriculture and Forestry Sciences. For the propagation of the AMF inoculant, maize and clover were used as host plants, and yellow sand was employed as the propagation substrate, and they were cultured in an artificial climate chamber for three months. Hoagland nutrient solution containing 25% phosphorus was added to each plant weekly, and water was added every three days. The ambient conditions of the artificial climate chamber were as follows: temperature of 22–25 °C, relative humidity of 60%–80%, light period of 14/10 h, and light intensity of 800 mol/(m2·s). The harvested yellow sand, colonized root segments, hypha, and spores (>7/g) were utilized as the inoculation agent.
In order to maintain the consistency of the substrate in each pot, the nursery substrate employed for potting was comprised of topsoil, yellow sand, and vermiculite mixed at a 1:1:1 volume ratio. The topsoil was collected from the 5–30 cm soil layer of the Xiashu Forest Farm. The physical and chemical properties of the topsoil were as follows: total carbon content (1.55%); total nitrogen content (0.03%); total phosphorus content (570.48 mg/kg); total potassium content (15.18 g/kg); available phosphorus content (10.00 mg/kg); available potassium content (101.39 mg/kg); electric conductivity (0.23 mS/cm); and pH (7.15).
The topsoil and yellow sand were screened to 2 mm and then mixed with vermiculite in a high-pressure steam sterilization pot at 121 °C under 1.4 MPa for 2 h. The autoclaved nursery substrate was placed in a greenhouse for at least 1 week to remove the odor. Pot dimensions were 27 × 21 × 19 cm3, and pots were soaked in a 0.3% KMnO4 solution for 3 h and then rinsed with distilled water prior to use.
2.3. Inoculation and Salt Stress Treatment
The pot experiment was conducted in a greenhouse at the Xiashu Forest Farm of Nanjing Forestry University. The indoor environmental conditions of the greenhouse were as follows: temperature, 18–35 °C; relative humidity, 40%–80%; light period, 14/10 h; and light intensity, 700–1000 mol/(m2·s). In March 2018, germinated G. sinensis seeds with bud lengths of ~5 cm were selected for inoculation. Each pot was inoculated with one germinated G. sinensis seed, and the culture substrate was ~2.5 kg and contained 80 g of AMF inoculant; an 80 g AMF inoculant inactivated via an autoclaved pot was used as the control. When inoculating G. sinensis seeds, the AMF inoculant was applied to the surface layer of the culture substrate <5 cm, and seed buds remained exposed; after that, each pot was watered. Germinated seedlings were cultivated until June 2018, watered regularly, and irrigated with 300 mL of Hoagland nutrient solution with 25% phosphorus in each pot every month.
Following the confirmation of AMF colonization status in G. sinensis roots and verifying that AMF had formed a stable symbiotic relationship with G. sinensis roots, salt stress treatments commenced at the end of June 2018. The three inoculation treatments (CK, FM, and CT) were irrigated with NaCl concentrations of 0, 50, 100, and 150 mM, and the salt was gradually added to avoid salt shock reactions. Seedlings in each pot were irrigated with 300 mL of the NaCl solutions at corresponding concentrations every week until the end of August 2018, during which water was also added to prevent drought stress. Each pot was irrigated each month with 300 mL of a Hoagland nutrient solution containing 25% phosphorus. After the addition of different salt concentrations, the pH of 0 mM NaCl level was 7.64 ± 0.09 m and electric conductivity (EC) was 0.71 ± 0.07 mS/cm; pH of the 50 mM NaCl level was 7.67 ± 0.18, and EC was 4.67 ± 0.57 mS/cm; pH of the 100 mM NaCl level was 7.68 ± 0.22, and EC was 6.35 ± 0.99 mS/cm; and pH of the 150 mM NaCl level was 7.63 ± 0.25, with an EC of 8.69 ± 1.09 mS/cm. Plants were harvested in September 2018, and three saplings from each of the inoculation treatments under each NaCl level were selected for the determination of each index.
2.4. Determination of Mycorrhizal Colonization Status
Fine roots were cut into 1 cm long segments, soaked in 10% (w/v) KOH, incubated in a water bath (90 °C) for 1 h, stained with basic H2O2 (containing 30 mL of 10% (v/v) H2O2, 3 mL of concentrated NH4OH, and 60 mL of water) for 25 min, soaked in 1% (w/v) HCl for three min, stained with 0.05% (w/v) of a Trypan Blue solution, and placed in a water bath (90 °C) for 30 min [27]. Subsequently, roots were soaked in lactic acid:glycerol (1:1) to eliminate any excess Trypan Blue solution, and examined for the presence of AMF structures under a semiautomatic digital microscope (Leica DM5000B, Wetzlar, Germany) at 100 × 400 magnification [28]. The mycorrhizal colonization rate was calculated using the following equation: mycorrhizal colonization rate (%) = number of infected root segments/total number of segments × 100%.
2.5. Determination of Root Dry Weight and Morphology
The roots of one seedling were rinsed with deionized water and scanned using an Epson Expression 12000XL scanner (Seiko Epson, Suwa, Japan). Images were analyzed using WinRHIZO (WinRHIZO Pro2016) to determine root length, root surface area, and root tip number [29]. Once the root samples had been rinsed, they were dried at 105 °C for 30 min and at 70 °C for 48 h to a constant weight, and then weighed [26].
2.6. Determination of Root Nitrogen and Phosphorus
Dried roots were separately ground and sifted through a 0.5 mm sieve, after which 50 mg samples were used to determine nitrogen concentration via an elemental analyzer (Vario MACRO cube; Elementar Trading Shanghai, Shanghai, China). Next, 0.2 g samples were digested in an acidic mixture (HClO4:HNO3, 1:5) and diluted with double-distilled water to quantify the concentrations of phosphorus using the ammonium molybdate blue method with a spectrophotometer (UV 2700, SHIMADZU, Tokyo, Japan) [26].
2.7. Determination of Root Enzyme Activities
Root enzyme activity was measured using the triphenyl tetrazolium chloride (TTC) method as described in [4]. Dehydrogenase activities indicated those of the roots. To determine dehydrogenase activity, fine roots were soaked in 10 mL of a mixed solution that included 0.4% TTC and a phosphate buffer and kept in the dark at 37 °C for 2 h. Subsequently, 1 mol/L of H2SO4 was added to stop the reaction; afterwards, roots were ground with 10 mL ethyl acetate, and the absorbance of the solution was obtained at 485 nm.
Nitrate reductase (NR) activity was determined according to a previous technique [30]. The frozen root was homogenized in a chilled mortar and pestle with 100 mM of a potassium phosphate buffer (pH 7.4). The extract was incubated in a reaction mixture that contained a 100 mM potassium phosphate buffer (pH 7.4), 10 mM EDTA, 0.15 mM NADH, and 0.1 M KNO3 at 30 °C for 30 min. The reaction was stopped using 100 µL of 1 M zinc acetate. The absorbance of the supernatant was determined at 540 nm following the diazotation of nitrite ions with 5.8 mM sulfanilamide and 0.8 mMN-(1-naphthyl)-ethylenediamine-dihydrochloride (NNEDD).
Glutathione reductase (GR) activity was determined following a previous procedure [31], and the root was homogenized to a powder in liquid nitrogen. The powder was then used for the extraction of soluble proteins in 5 mL of 50 mM Tris-HCl (pH 7.0) on ice. After centrifugation, the supernatant was used for later determination. GR activity was measured by the dropout value at 340 nm with a reaction mixture of 50 mM Tris-HCl (pH 7.5), 5 mM MgCl2, 1 mM GSSG, 0.4 mM NADPH, and enzyme extract.
Niacinamide adenine dinucleotide oxidase (NOX) activity was determined according to an earlier method [32]. NOX activity was revealed in an assay mixture containing 100 mM sodium acetate (pH 6.5), 1 mM MnCl2, 0.5 mM p-coumaric acid, 0.2 mM NADH, and enzyme extract. The reaction was monitored by following the decrease in absorbance at 340 nm with an extinction coefficient of 6.22 mM−1 cm−1.
2.8. Determination of Soil Nitrogen and Phosphorus
The total nitrogen content of the soil was quantified using an elemental analyzer, and alkali-hydrolyzable nitrogen content was found using an alkali-hydrolyzable diffusion method [33]. Total phosphorus and available phosphorus content was obtained via molybdenum antimony antispectrophotometry [34].
2.9. Statistical Analyses
Differences in mycorrhizal colonization rate, root dry weight, morphology, nutrient content, and physiology, and soil nutrient content between various salinity treatments and different inoculation treatments were analyzed using one-way ANOVA, followed by a Duncan test. Two-way ANOVA was employed to test the main effects on and interactions between NaCl and AMF levels, and mycorrhizal colonization rate, root dry weight, morphology, nutrient content, and physiology, and soil nutrient content (SPSS 26.0 Inc., Chicago, IL, USA).
Redundant analysis (RDA) was utilized to reveal the relationships between NaCl levels, and mycorrhizal colonization rate, root dry weight, morphology, nutrient content, and physiology, and soil nutrient content, which were visualized using a Canoco 5.0 (Microcomputer Power, Ithaca, NY, USA). An AMOS 22.0 (SPSS Inc., Chicago, IL, USA) was employed for structural equation modelling construction to test whether NaCl level and mycorrhizal colonization rate directly or indirectly impacted root dry weight and tip number through the modification of root nutrient content and activity, NR activity, and available soil nutrient content.
3. Results
3.1. Mycorrhizal Colonization Status
The AMF colonization status profiles of the three treatments are shown in Figure 1. Hyphae, vesicles, spores, and arbuscules were observed as a result of FM and CT treatments; however, they were not found in CK (Figure 1A–C). Under the four NaCl levels, the mycorrhizal colonization rate of the FM treatment was significantly higher than that of the CT treatment (p < 0.05), with increases of 21.61%, 38.16%, 13.79%, and 15.56%. Furthermore, different NaCl levels slightly impacted mycorrhizal colonization rate under the FM treatment. However, compared with the three other NaCl levels, 50 mM significantly reduced the mycorrhizal colonization rate of CT (p < 0.05) (Figure 1D).
Figure 1.
Variations in mycorrhizal colonization status between treatments. (A) mycorrhizal colonization statu of CK treatment; (B) mycorrhizal colonization statu of FM treatment; (C) mycorrhizal colonization statu of CT treatment; (D) mycorrhizal colonization rate of different treatments. Different uppercase letters indicate significant differences between various inoculation treatments under same salt levels (p < 0.05). Different lowercase letters indicate significant differences between various salt levels under inoculation treatments (p < 0.05). Error bars refer to standard errors.
3.2. Root Dry Weight and Morphology
Regardless of AMF inoculation, as NaCl level increased, root dry weight, length, surface area, and tip number showed a downward trend. When the NaCl level reached 150 mM, all indicators were significantly lower than 0 mM (p < 0.05) (Figure 2). For each NaCl level, root dry weight, length, surface area, and tip number under FM and CT treatments were significantly higher than those of CK (p < 0.05) (Figure 2). Further, when NaCl level reached 100 mM, root length and tip number under FM treatment were significantly higher than those under the CT treatment (p < 0.05), with an increase of 12.26% and 14.85%, respectively (Figure 2B,D). When NaCl level reached 150 mM, root dry weight under FM treatment was significantly higher than that of CT (p < 0.05), with an increase of 46.69% (Figure 2A).
Figure 2.
Variations in the root dry weight and morphologies between treatments. (A) root dry weight of different treatments; (B) root length of different treatments; (C) root surface area of different treatments; (D) root tip number of different treatments. The meanings of the letters and error bars are consistent with Figure 1.
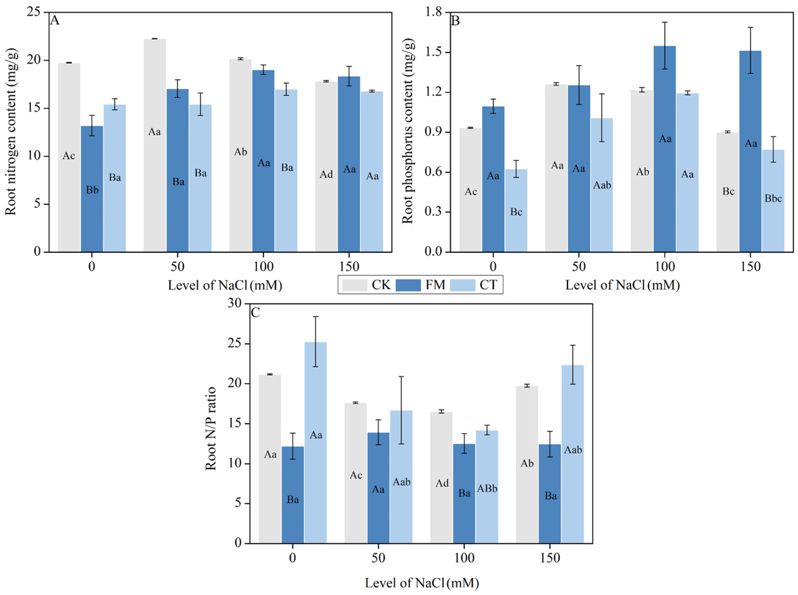
3.3. Root Nitrogen and Phosphorus Content
As the NaCl levels increased, both the root nitrogen and phosphorus content under the CK treatment initially increased and then decreased; however, this trend was weakened under the FM and CT treatments (Figure 3A,B). At NaCl levels of 0 mM and 50 mM, the root nitrogen contents under the FM and CT treatments were significantly lower than that of the CK (p < 0.05). When the NaCl level reached 100 mM, the root nitrogen content under the CT treatment was significantly lower than that of the CK and FM treatments (p < 0.05). However, when the NaCl level reached 150 mM, there were no significant differences between the CK, FM, and CT treatments (Figure 3A).
Figure 3.
Variations in root nitrogen, phosphorus content, and N/P ratios between treatments. (A) root nitrogen content of different treatments; (B) root phosphorus content of different treatments; (C) root N/P ratio of different treatments. Letter and error bar meanings are consistent with Figure 1.
Moreover, when NaCl level was 0 mM, root phosphorus content under the CT treatment was significantly lower than that of CK and FM treatments (p < 0.05). When NaCl level was increased to 150 mM, root phosphorus content under FM treatment was significantly higher than that of CK and CT treatments (p < 0.05), with increases of 68.04% and 96.60%, respectively (Figure 3B). For the root N/P ratio under increasing NaCl levels, the N/P ratio under CK and CT treatments showed an initial increase and then a decrease. Except for 100 mM salinity, N/P ratios under FM treatment at other NaCl levels were significantly lower than that of the CK treatment (p < 0.05) (Figure 3C).
3.4. Root Physiology
At higher NaCl levels, root activity under CK treatment continued to decrease. It was only when the NaCl level was higher than 100 mM that root activity under CT treatment exhibited a significant decline (p < 0.05). However, regardless of how much the NaCl level changed, its effect on root activity under FM treatment was not significant. When NaCl level was higher than or equal to 50 mM, root activity under the FM treatment was significantly higher than that of CK (p < 0.05), with increases of 85.08%, 131.49%, and 170.01% (Figure 4A).
Figure 4.
Variations in root physiological characteristics between treatments. (A) root activity of different treatments; (B) root glutathione reductase activity of different treatments; (C) root nitrate reductase activity of different treatments; (D) root niacinamide adenine dinucleotide oxidase activity of different treatments. Meanings of letters and error bars are consistent with Figure 1. GR, glutathione reductase; NR, nitrate reductase; NOX, niacinamide adenine dinucleotide oxidase.
Among the four NaCl levels, there were no major differences in GR activity between the FM and CT treatments, although salt stress significantly increased GR activity under CK treatment (p < 0.05) (Figure 4B). Regardless of AMF inoculation status, with higher NaCl levels, both NR and NOX activities exhibited increasing and then decreasing trends. Nevertheless, in contrast to NR, NOX activities under FM and CT treatments were significantly higher than that of CK (p < 0.05) (Figure 4C,D).
3.5. Soil Nitrogen and Phosphorus Content
When NaCl level was <150 mM, soil alkali-hydrolyzable nitrogen (AN) under CT treatment was significantly lower than that of CK treatment, with a decrease of more than 50%. It was only when the NaCl levels were 0 and 100 mM that soil AN was significantly reduced under FM treatment compared with the CK treatment (p < 0.05), with decreases of 40.91% and 41.67%, respectively (Figure 5A). For soil TN, when NaCl level was 100 mM, there was a difference between CT and CK treatments (p < 0.05), whereas for the other NaCl levels, there were no significant differences between treatments (Figure 5C). When NaCl level was 0 mM, CT treatment significantly increased soil available phosphorus (AP) compared with the CK treatment (p < 0.05), with an increase of 27.10% (Figure 5B). Further, when NaCl level was 150 mM, CT treatment significantly increased soil total phosphorous (TP) in contrast to CK and FM treatments (p < 0.05), with increases of 20.16% and 16.41%, respectively (Figure 5D).
Figure 5.
Variations in soil nitrogen and phosphorus contents between treatments. (A) soil alkali-hydrolyzable nitrogen content under different treatments; (B) soil available phosphorus content under different treatments; (C) soil total nitrogen content under different treatments; (D) soil total phosphorus content under different treatments. Meanings of letters and error bars are consistent with Figure 1. AN, soil alkali-hydrolyzable nitrogen; TN, soil total nitrogen; AP, soil available phosphorus; TP, soil total phosphorus.
3.6. Two-Way Analysis of Variance Results
NaCl, AMF, and their interactions significantly impacted mycorrhizal colonization rate, root length, surface area, tip number, nitrogen content, and NR and NOX activities, while NaCl and AMF were significant factors that affected the root dry weight, phosphorus content, activity, and N/P ratio. Moreover, AMF significantly affected soil AN, TN, and TP, while only GR activity was significantly impacted by NaCl. Furthermore, the influences of NaCl and AMF, and their interactions on soil AP were not significant (Table 1).
Table 1.
Two-way analysis of variance on indices of G. sinensis Lam. root system and soil.
3.7. Redundant Analysis Results
Using root nutrient content, root physiological characteristics, and soil nutrient content as explanatory variables, redundant analysis was performed on root dry weight and morphologies. Among them, Axis 1 explained 96.81% of variation, whereas Axis 2 accounted for 0.46%. As depicted in Figure 6, high root surface area, length, tip number, and dry weight were found at the left side of the coordinate axis, which were positively correlated with mycorrhizal colonization rate, root activity, NOX activity, GR activity, root phosphorus content, and soil TP and AP. However, they were negatively correlated with root nitrogen content, soil AN and TN, NR activity, root N/P ratio, and NaCl level.
Figure 6.
Redundant analysis of NaCl levels, mycorrhizal colonization rate, root morphologies, root nutrient contents, root physiological properties, and soil nutrient contents. Angles and lengths of arrows indicate direction and strength of the relationship of the above indicators. Abbreviations: NaCl, NaCl level; MCR, mycorrhizal colonization rate; AN, soil alkali−hydrolyzable nitrogen; TN, soil total nitrogen; AP, soil available phosphorus; TP, soil total phosphorus; NR, nitrate reductase activity; TTC, root activity; NOX, niacinamide adenine dinucleotide oxidase activity; GR, glutathione reductase activity; RNC, root nitrogen content; RPC, root phosphorus content; N/P, root nitrogen to phosphorus ratio; RDW, root dry weight; RL, root length; RS, root surface area; RTN, root tip number.
3.8. Structural Equation Model Results
The structural equation modelling of G. sinensis was estimated using Amos (Figure 7) by extracting root dry weight and root tip number to characterize root growth; soil AN and AP to differentiate the active soil nutrient content; root nitrogen and phosphorus content to characterize root nutrient content; and root and NR activities to describe root physiology. The χ2 test indicated that, in Model A, χ2 = 6.082, df = 5, and p = 0.298 (>0.05). The goodness-of-fit index was 0.968 (>0.900), and the approximate root mean square error was 0.079 (<0.080).
Figure 7.
Structural equation model of effects of NaCl level and mycorrhizal colonization rate on root dry weight and tip number. Numbers on lines are standardized path coefficients. Widths of lines indicate strength of causal influence. Solid lines represent direct effects on root dry weight and tip number; dotted lines represent effects on soil nutrient contents, root physiologies, and nutrient contents. Abbreviations: NaCl, NaCl level; MCR, mycorrhizal colonization rate; AN, soil alkali−hydrolyzable nitrogen; AP, soil available phosphorus; NR, nitrate reductase activity; TTC, root activity; RNC, root nitrogen content; RPC, root phosphorus content; RDW, root dry weight; RTN, root tip number. *, p < 0.05; **, p < 0.01; ***, p < 0.001.
Results revealed that the direct effects of NaCl levels on root dry weight (−0.45, p < 0.001) and root tip number (−0.29, p < 0.01) were significant, while the mycorrhizal colonization rate had a substantial direct effect on root dry weight (0.44, p < 0.05) and root tip number (0.41, p < 0.01). Due to the indirect influences of induced active soil nutrients, and root nutrients and physiologies, standardized total effects of the NaCl levels on the root dry weight and tip number were −0.02 and −0.13, respectively. The total effects of mycorrhizal colonization rate on root dry weight and tip number were 0.33 and 0.40, respectively (Table 2).
Table 2.
Direct, indirect, and total impacts of NaCl levels and mycorrhizal colonization rates on indices of G. sinensis root systems and soil.
4. Discussion
4.1. Responses of Root Growth to AMF Inoculation under Salt Stress
Mycorrhizal colonization rate may be determined by combining various AMF strains and host plant species [35]. In this study, the mycorrhizal colonization rate of F. mosseae to G. sinensis was significantly higher than that of C. tortuosum at all salinity levels, which also confirmed the above conclusion. In general, salinity limits AMF hyphae growth and spore germination, thereby reducing the mycorrhizal colonization rate [36,37]. This was reflected by the significant decrease in the mycorrhizal colonization rate of C. tortuosum when salinity was 50 mM. An earlier study found that the environmental tolerances of different AMF strains were variable, and suitable soil environments and plants were also different [38]. The combination of F. mosseae and G. sinensis roots maintained a high mycorrhizal colonization rate at all salinity levels, exhibiting excellent host and soil environment adaptation in contrast to C. tortuosum.
Since root morphologies (e.g., root length, surface area, root tip number) and biomass are sensitive to environmental factors, they may be employed to reflect root growth conditions [39]. Consistent with our first hypothesis and previous studies [40,41], salt stress significantly reduced the root dry weight, length, surface area, and tip number of G. sinensis. Compared with nonmycorrhizal plants, the improved growth and biomass of mycorrhizal plants are important indicators of greater salt tolerance [42]. In this study, mycorrhizal seedlings, particularly those inoculated with F. mosseae, had greater root dry weight under various salinities, which was positively related to the optimization of the root morphology of the mycorrhizal seedlings. Since longer root lengths, larger absorption areas, and abundant root tips can absorb more water and nutrients to better support plants [43], mycorrhizal seedlings were more tolerant to salt than nonmycorrhizal seedlings were. The above results confirmed our second hypothesis.
4.2. Effects of Nutrient Uptake on Root Growth under Salt Stresss
Nitrogen is a critical component for all enzymes, while phosphorus is essential for rRNA synthesis. Therefore, changes in the concentrations of phosphorus and nitrogen can impact the allocation of nutrients to cell components, life history strategies, and physiological functions [44]. We found that AMF inoculation could significantly reduce root nitrogen content under low salinity (<50 mM), and this difference would gradually be weakened as salinity increased. When salinity reached 150 mM, the inoculation of F. mosseae significantly increased the phosphorus content of the roots. These results suggested that AMF inoculation could regulate the uptake of nitrogen and phosphorus in roots, improve the nutritional status of plants, and meet the needs for protein and chlorophyll synthesis while assisting plants in resisting the toxic effects of sodium ions under high salinity [45,46]. Biomass N/P ratio was primarily employed to assess whether nitrogen or phosphorus created any additional constraints. In general, an optimal N/P ratio by mass is considered to be in the range of 10–20 [47]. In this study, N/P ratios of all G. sinensis roots inoculated with F. mosseae at all salinity levels were within this range, which confirmed that F. mosseae inoculation could effectively regulate nutrient utilization under salt stress.
Redundancy analysis indicated that root dry weight and morphology were negatively correlated with soil TN and AN, and positively associated with TP and AP. Combined with root N/P ratio, we surmised that the main soil limiting nutrient for the growth of G. sinensis in this study was phosphorus [48]. It is generally believed that AMF inoculation can promote root nitrogen uptake [46]; however, in our results, mycorrhizal colonization rate and root dry weight were negatively correlated with root nitrogen content. By establishing a structural equation model, mycorrhizal colonization rate had a positive direct effect on root nitrogen content, but could reduce it through the indirect reduction in root NR activity, which explained the above issues.
4.3. Effects of Physiology on Root Growth under Salt Stresss
Numerous works (including our previous study) demonstrated that AMF can regulate superoxide dismutase, peroxidase, catalase, ascorbate peroxidase, and other antioxidant enzymes under salt stress [24,49,50]. However, this paper explored changes in NOX and GR activities of mycorrhizal symbiosis under salt stress. NOX activity is primarily involved in the production of H2O2 as an early response to salt stress [51], which plays a critical role in many aspects of signal transduction and plant development, including plant defense, root hair development, and stomatal closure [52]. This investigation revealed that AMF inoculation significantly increased NOX activities at each salinity level, while GR activities were essentially unaffected. Combined with previous studies on NOX activities [53,54], and their positive correlations with root dry weight and morphology in our study, we speculated that AMF inoculation promoted the signal transmission and defense of G. sinensis to salt stress, and promoted root development by increasing NOX activity. However, GR activity was not the main enzyme in the active oxygen balance system of G. sinensis mycorrhizal seedlings under salt stress.
Root activity is an important physiological index for the evaluation of water and nutrient uptake [55]. Our experimental results revealed that F. mosseae inoculation at all salinity levels could significantly enhance G. sinensis root activities, which was consistent with results of previous tobacco studies and the structural equation model in our study [56]. Combining its positive correlation with root dry weight and morphology, AMF may promote plant growth by enhancing G. sinensis root activity under salt stress. Salinity typically affects nitrogen metabolism in plants by disrupting the activities of key enzymes [57]. In this investigation, with higher salinity, root NR activities under all treatments showed an initial increasing and then decreasing trend. The decrease was particularly strong when salinity reached 100 mM, which also confirmed the above conclusion. As the first enzyme in the nitrate assimilation pathway, NR activities regulate plant nitrogen content. This study revealed that root NR activity was significantly reduced by AMF inoculation at all salinity levels, which was different from the results of previous studies [58]. Combining its negative correlation with root dry weight and morphology, rhizosphere nitrogen eutrophication in the pot experiment may have had a negative effect on AMF colonization [59], where the AMF ensured a more suitable living environment through the regulation of root NR activities. In addition, a structural equation model indicated that both soil salinity and mycorrhizal colonization rate had significant direct effects on root dry weight and root tip number. However, soil salinity primarily impacted root growth by indirectly affecting root nitrogen content, while mycorrhizal colonization rate influenced root growth via its indirect effects on root NR activity, and root nitrogen and phosphorus content. The above results also support our third hypothesis.
Since salt in the soil of the eastern coastal areas of China is mostly NaCl, NaCl solution stress was used in the greenhouse to examine growth and physiological responses to AMF and salt stress in G. sinensis root systems. However, this soil also contains small quantities of other types of salts such as Na2CO3 and Na2SO4. It remains to be seen whether different salt types might also influence mycorrhizal association. To assess whether AMF should be applied to the coastal areas of East China, the effects of different types of salt on the efficacy of mycorrhizal association should be further explored. Additionally, the molecular mechanisms of AMF involved with enhancing the salt tolerance of G. sinensis should be elucidated through omics analysis.
5. Conclusions
Through the introduction of various AMF inoculations under different salt concentrations in pot experiments, AMF inoculation could greatly promote the growth of roots by regulating their nutrient uptakes and physiologies under salt stress. Compared with C. tortuosum, the inoculation effects of F. mosseae were superior, which was the recommended strain for the bioremediation of saline–alkali soils.
In summary, the use of suitable AMF might effectively improve the currently unfavorable situation of economic tree species production in saline soils, with great potential for optimized utility of these areas.
Author Contributions
Conceptualization, S.M., L.Z. and J.W.; data curation, S.M., J.W. and Z.J.; formal analysis, S.M., X.L. and Z.J.; funding acquisition, J.Z. (Jinchi Zhang); investigation, S.M., L.Z., J.W., C.L., J.L. and J.Z. (Jingyi Zeng); methodology, S.M., L.Z., J.W., X.L., Z.J., C.L., J.L. and J.Z. (Jingyi Zeng); project administration, J.Z. (Jinchi Zhang); resources, J.Z. (Jinchi Zhang); software, S.M. and L.Z.; supervision, J.Z. (Jinchi Zhang); Validation, S.M., Z.J., C.L., J.L. and J.Z. (Jingyi Zeng); visualization, S.M., L.Z., J.W., X.L. and C.L.; writing—original draft, S.M. and J.Z. (Jinchi Zhang); writing—review and editing, S.M., X.L. and J.Z. (Jinchi Zhang). All authors have read and agreed to the published version of the manuscript.
Funding
This research was funded by the Innovation and Promotion of Forestry Science and Technology Program of Jiangsu Province (LYKJ (2021) 30), the Scientific Research Project of Baishanzu National Park (2021ZDLY01), the Priority Academic Program Development of Jiangsu Higher Education Institutions (PAPD), the Ningxia Natural Science Excellent Youth Foundation (2022AAC05005), and the Ningxia Natural Science Foundation (2020AAC03091). And the APC was funded by the Priority Academic Program Development of Jiangsu Higher Education Institutions (PAPD) and the Jiangsu Agriculture Science and Technology Innovation Fund (Grant No. CX (17)1004).
Data Availability Statement
The data presented in this study are available on request from the corresponding author.
Acknowledgments
We thank Frank Boehm from Lakehead University for the language editing of this manuscript.
Conflicts of Interest
The authors declare no conflict of interest.
Abbreviations
AMF: arbuscular mycorrhizal fungi; NaCl, NaCl level; MCR, mycorrhizal colonization rate; AN, soil alkali-hydrolyzable nitrogen; TN, soil total nitrogen; AP, soil available phosphorus; TP, soil total phosphorus; NR, nitrate reductase activity; TTC, root activity; NOX, niacinamide adenine dinucleotide oxidase activity; GR, glutathione reductase activity; RNC, root nitrogen content; RPC, root phosphorus content; N/P, root nitrogen to phosphorus ratio; RDW, root dry weight; RL, root length; RS, root surface area; RTN, root tip number; SDE, standardized direct effects; SID, standardized indirect effects; STE, standardized total effects.
References
- Mukhopadhyay, R.; Sarkar, B.; Jat, H.S.; Sharma, P.C.; Bolan, N.S. Soil salinity under climate change: Challenges for sustainable agriculture and food security. J. Environ. Manag. 2021, 280, 111736. [Google Scholar] [CrossRef] [PubMed]
- Kopittke, P.M.; Menzies, N.W.; Wang, P.; McKenna, B.A.; Lombi, E. Soil and the intensification of agriculture for global food security. Environ. Int. 2019, 132, 105078. [Google Scholar] [CrossRef] [PubMed]
- Ruiz-Lozano, J.M.; Porcel, R.; Azcon, C.; Aroca, R. Regulation by arbuscular mycorrhizae of the integrated physiological response to salinity in plants: New challenges in physiological and molecular studies. J. Exp. Bot. 2012, 63, 4033–4044. [Google Scholar] [CrossRef] [PubMed] [Green Version]
- Wang, J.; Zhai, L.; Ma, J.; Zhang, J.; Wang, G.G.; Liu, X.; Zhang, S.; Song, J.; Wu, Y. Comparative physiological mechanisms of arbuscular mycorrhizal fungi in mitigating salt-induced adverse effects on leaves and roots of Zelkova serrata. Mycorrhiza 2020, 30, 341–355. [Google Scholar] [CrossRef] [PubMed]
- Wang, J.; Fu, Z.; Ren, Q.; Zhu, L.; Lin, J.; Zhang, J.; Cheng, X.; Ma, J.; Yue, J. Effects of Arbuscular Mycorrhizal Fungi on Growth, Photosynthesis, and Nutrient Uptake of Zelkova serrata (Thunb.) Makino Seedlings under Salt Stress. Forests 2019, 10, 186. [Google Scholar] [CrossRef] [Green Version]
- Bardgett, R.D.; Mommer, L.; De Vries, F.T. Going underground: Root traits as drivers of ecosystem processes. Trends Ecol. Evol. 2014, 29, 692–699. [Google Scholar] [CrossRef]
- Saleem, M.; Law, A.D.; Sahib, M.R.; Pervaiz, Z.H.; Zhang, Q. Impact of root system architecture on rhizosphere and root microbiome. Rhizosphere 2018, 6, 47–51. [Google Scholar] [CrossRef]
- Simpson, C.R.; Gonzales, J.; Enciso, J.; Nelson, S.D.; Sétamou, M. Root distribution and seasonal fluctuations under different grove floor management systems in citrus. Sci. Hortic. 2020, 272, 109364. [Google Scholar] [CrossRef]
- Krishnamoorthy, R.; Kim, K.; Kim, C.; Sa, T. Changes of arbuscular mycorrhizal traits and community structure with respect to soil salinity in a coastal reclamation land. Soil Biol. Biochem. 2014, 72, 1–10. [Google Scholar] [CrossRef]
- de Barros Silva Leite, M.C.; dos Santos Freire, M.B.G.; de Queiroz, J.V.J.; Maia, L.C.; Duda, G.P.; de Medeiros, E.V. Mycorrhizal Atriplex nummularia promote revegetation and shifts in microbial properties in saline Brazilian soil. Appl. Soil Ecol. 2020, 153, 103574. [Google Scholar] [CrossRef]
- Kumar Arora, N.; Fatima, T.; Mishra, J.; Mishra, I.; Verma, S.; Verma, R.; Verma, M.; Bhattacharya, A.; Verma, P.; Mishra, P.; et al. Halo-tolerant plant growth promoting rhizobacteria for improving productivity and remediation of saline soils. J. Adv. Res. 2020, 26, 69–82. [Google Scholar] [CrossRef] [PubMed]
- Etesami, H.; Glick, B.R. Halotolerant plant growth–promoting bacteria: Prospects for alleviating salinity stress in plants. Environ. Exp. Bot. 2020, 178, 104124. [Google Scholar] [CrossRef]
- Goswami, M.; Deka, S. Plant growth-promoting rhizobacteria—Alleviators of abiotic stresses in soil: A review. Pedosphere 2020, 30, 40–61. [Google Scholar] [CrossRef]
- Metwally, R.A.; Abdelhameed, R.E. Synergistic effect of arbuscular mycorrhizal fungi on growth and physiology of salt-stressed Trigonella foenum-graecum plants. Biocatal. Agric. Biotechnol. 2018, 16, 538–544. [Google Scholar] [CrossRef]
- Smith, S.E.; Read, D.J. Mycorrhizal Symbiosis. Q. Rev. Biol. 2008, 3, 273–281. [Google Scholar] [CrossRef]
- Hamdia, M.A.; Shaddad, M. Salt tolerance of crop plants. J. Stress Physiol. Biochem. 2010, 6, 64–90. [Google Scholar]
- Klinsukon, C.; Lumyong, S.; Kuyper, T.W.; Boonlue, S. Colonization by arbuscular mycorrhizal fungi improves salinity tolerance of eucalyptus (Eucalyptus camaldulensis) seedlings. Sci. Rep. 2021, 11, 4362. [Google Scholar] [CrossRef]
- Kaya, C.; Ashraf, M.; Sonmez, O.; Aydemir, S.; Tuna, A.L.; Cullu, M.A. The influence of arbuscular mycorrhizal colonisation on key growth parameters and fruit yield of pepper plants grown at high salinity. Sci. Hortic. 2009, 121, 1–6. [Google Scholar] [CrossRef]
- Hashem, A.; Alqarawi, A.A.; Radhakrishnan, R.; Al-Arjani, A.F.; Aldehaish, H.A.; Egamberdieva, D.; Abd Allah, E.F. Arbuscular mycorrhizal fungi regulate the oxidative system, hormones and ionic equilibrium to trigger salt stress tolerance in Cucumis sativus L. Saudi J. Biol. Sci. 2018, 25, 1102–1114. [Google Scholar] [CrossRef]
- Parihar, M.; Rakshit, A.; Rana, K.; Prasad Meena, R.; Chandra Joshi, D. A consortium of arbuscular mycorrizal fungi improves nutrient uptake, biochemical response, nodulation and growth of the pea (Pisum sativum L.) under salt stress. Rhizosphere 2020, 15, 100235. [Google Scholar] [CrossRef]
- Qiu, Y.; Zhang, N.; Zhang, L.; Zhang, X.; Wu, A.; Huang, J.; Yu, S.; Wang, Y. Mediation of arbuscular mycorrhizal fungi on growth and biochemical parameters of Ligustrum vicaryi in response to salinity. Physiol. Mol. Plant Pathol. 2020, 112, 101522. [Google Scholar] [CrossRef]
- Zhang, J.P.; Tian, X.H.; Yang, Y.X.; Liu, Q.X.; Zhang, W.D. Gleditsia species: An ethnomedical, phytochemical and pharmacological review. J. Ethnopharmacol. 2016, 178, 155–171. [Google Scholar] [CrossRef] [PubMed]
- Mei, X.; Ju, L.; Fang, C.; Li, J.; Bi, S.; Chen, Y.; Zou, C.; Zhou, C.; Ma, L.; Miao, L. Promoting the hydrolysis and acidification of rice straw by adding Gleditsia sinensis pod powder. Ind. Crops Prod. 2017, 100, 35–40. [Google Scholar] [CrossRef]
- Wang, J.; Yuan, J.; Ren, Q.; Zhang, B.; Zhang, J.; Huang, R.; Wang, G.G. Arbuscular mycorrhizal fungi enhanced salt tolerance of Gleditsia sinensis by modulating antioxidant activity, ion balance and P/N ratio. Plant Growth Regul. 2022, 97, 33–49. [Google Scholar] [CrossRef]
- Yang, H.; Li, W.; Yu, X.; Zhang, X.; Zhang, Z.; Liu, Y.; Wang, W.; Tian, X. Insights into molecular structure, genome evolution and phylogenetic implication through mitochondrial genome sequence of Gleditsia sinensis. Sci. Rep. 2021, 11, 14850. [Google Scholar] [CrossRef]
- Wang, J.; Zhong, H.; Zhu, L.; Yuan, Y.; Xu, L.; Wang, G.G.; Zhai, L.; Yang, L.; Zhang, J. Arbuscular Mycorrhizal Fungi Effectively Enhances the Growth of Gleditsia sinensis Lam. Seedlings under Greenhouse Conditions. Forests 2019, 10, 567. [Google Scholar] [CrossRef] [Green Version]
- Phillips, J.M. Improved procedures for clearing roots and staining parasitic and vesicular-arbuscular mycorrhizal fungi for rapid assessment of infection. Trans. Br. Mycol. Soc. 1970, 55, 158–161. [Google Scholar] [CrossRef]
- Giovannetti, M.; Mosse, B. An evaluation of techniques for measuring vesicular arbuscular mycorrhizal infection in roots. New Phytol. 1980, 84, 489–500. [Google Scholar] [CrossRef]
- Zhou, T.; Wang, L.; Sun, X.; Wang, X.; Chen, Y.; Rengel, Z.; Liu, W.; Yang, W. Light intensity influence maize adaptation to low P stress by altering root morphology. Plant Soil 2019, 447, 183–197. [Google Scholar] [CrossRef]
- Debouba, M.; Maaroufi-Dghimi, H.; Suzuki, A.; Ghorbel, M.H.; Gouia, H. Changes in growth and activity of enzymes involved in nitrate reduction and ammonium assimilation in tomato seedlings in response to NaCl stress. Ann. Bot. 2007, 99, 1143–1151. [Google Scholar] [CrossRef] [Green Version]
- Wang, Q.; Pu, Y.; Yang, D.; Yin, X.; He, Z.; Yang, Y.; Yang, Y. Molecular cloning and characterization of the glutathione reductase gene from Stipa purpurea. Biochem. Biophys. Res. Commun. 2018, 495, 1851–1857. [Google Scholar] [CrossRef] [PubMed]
- Smiri, M.; Chaoui, A.; Rouhier, N.; Gelhaye, E.; Jacquot, J.-P.; El Ferjani, E. NAD pattern and NADH oxidase activity in pea (Pisum sativum L.) under cadmium toxicity. Physiol. Mol. Biol. Plants 2010, 16, 305–315. [Google Scholar] [CrossRef] [PubMed] [Green Version]
- Chen, B.; Yang, H.; Song, W.; Liu, C.; Xu, J.; Zhao, W.; Zhou, Z. Effect of N fertilization rate on soil alkali-hydrolyzable N, subtending leaf N concentration, fiber yield, and quality of cotton. Crop J. 2016, 4, 323–330. [Google Scholar] [CrossRef] [Green Version]
- Lu, R. Analysis Methods of Soil Agricultural Chemistry; China Agricultural Science and Technology Publishing House: Beijing, China, 2000. [Google Scholar]
- Garg, N.; Pandey, R. Effectiveness of native and exotic arbuscular mycorrhizal fungi on nutrient uptake and ion homeostasis in salt-stressed Cajanus cajan L. (Millsp.) genotypes. Mycorrhiza 2015, 25, 165–180. [Google Scholar] [CrossRef] [PubMed]
- Arab Yarahmadi, M.; Shahsavani, S.; Akhyani, A.; Dorostkar, V. Pomegranate growth affected by arbuscular mycorrhizae, phosphorus fertilizer, and irrigation Water Salinity. Commun. Soil Sci. Plant Anal. 2018, 49, 478–488. [Google Scholar] [CrossRef]
- Estrada, B.; Aroca, R.; Maathuis, F.J.; Barea, J.M.; Ruiz-Lozano, J.M. Arbuscular mycorrhizal fungi native from a Mediterranean saline area enhance maize tolerance to salinity through improved ion homeostasis. Plant Cell Environ. 2013, 36, 1771–1782. [Google Scholar] [CrossRef]
- Sawers, R.J.; Svane, S.F.; Quan, C.; Gronlund, M.; Wozniak, B.; Gebreselassie, M.N.; Gonzalez-Munoz, E.; Chavez Montes, R.A.; Baxter, I.; Goudet, J.; et al. Phosphorus acquisition efficiency in arbuscular mycorrhizal maize is correlated with the abundance of root-external hyphae and the accumulation of transcripts encoding PHT1 phosphate transporters. New Phytol. 2017, 214, 632–643. [Google Scholar] [CrossRef] [Green Version]
- Zhang, B.; Bu, J.; Liang, C. Root Morphology and Growth Regulated by Mineral Nutrient Absorption in Rice Roots Exposed to Simulated Acid Rain. Water Air Soil Pollut. 2016, 227, 457. [Google Scholar] [CrossRef]
- Fan, L.; Dalpé, Y.; Fang, C.; Dubé, C.; Khanizadeh, S. Influence of arbuscular mycorrhizae on biomass and root morphology of selected strawberry cultivars under salt stress. Botany 2011, 89, 397–403. [Google Scholar] [CrossRef]
- Kaur, H.; Sirhindi, G.; Bhardwaj, R.; Alyemeni, M.N.; Siddique, K.H.M.; Ahmad, P. 28-homobrassinolide regulates antioxidant enzyme activities and gene expression in response to salt- and temperature-induced oxidative stress in Brassica juncea. Sci. Rep. 2018, 8, 8735. [Google Scholar] [CrossRef]
- Evelin, H.; Giri, B.; Kapoor, R. Contribution of Glomus intraradices inoculation to nutrient acquisition and mitigation of ionic imbalance in NaCl-stressed Trigonella foenum-graecum. Mycorrhiza 2012, 22, 203–217. [Google Scholar] [CrossRef] [PubMed]
- Gao, T.; Liu, X.; Shan, L.; Wu, Q.; Liu, Y.; Zhang, Z.; Ma, F.; Li, C. Dopamine and arbuscular mycorrhizal fungi act synergistically to promote apple growth under salt stress. Environ. Exp. Bot. 2020, 178, 104159. [Google Scholar] [CrossRef]
- Elser, J.J.; Acharya, K.; Kyle, M.; Cotner, J.; Makino, W.; Markow, T.; Watts, T.; Hobbie, S.; Fagan, W.; Schade, J.; et al. Growth rate-stoichiometry couplings in diverse biota. Ecol. Lett. 2003, 6, 936–943. [Google Scholar] [CrossRef] [Green Version]
- Matzek, V.; Vitousek, P.M. N:P stoichiometry and protein:RNA ratios in vascular plants: An evaluation of the growth-rate hypothesis. Ecol. Lett. 2009, 12, 765–771. [Google Scholar] [CrossRef]
- Evelin, H.; Kapoor, R.; Giri, B. Arbuscular mycorrhizal fungi in alleviation of salt stress: A review. Ann. Bot. 2009, 104, 1263–1280. [Google Scholar] [CrossRef] [Green Version]
- Gusewell, S. N:P ratios in terrestrial plants: Variation and functional significance. New Phytol. 2004, 164, 243–266. [Google Scholar] [CrossRef]
- Hidri, R.; Metoui-Ben Mahmoud, O.; Debez, A.; Abdelly, C.; Barea, J.-M.; Azcon, R. Modulation of C:N:P stoichiometry is involved in the effectiveness of a PGPR and AM fungus in increasing salt stress tolerance of Sulla carnosa Tunisian provenances. Appl. Soil Ecol. 2019, 143, 161–172. [Google Scholar] [CrossRef]
- Ait-El-Mokhtar, M.; Laouane, R.B.; Anli, M.; Boutasknit, A.; Wahbi, S.; Meddich, A. Use of mycorrhizal fungi in improving tolerance of the date palm (Phoenix dactylifera L.) seedlings to salt stress. Sci. Hortic. 2019, 253, 429–438. [Google Scholar] [CrossRef]
- Hadian-Deljou, M.; Esna-Ashari, M.; Mirzaie-asl, A. Alleviation of salt stress and expression of stress-responsive gene through the symbiosis of arbuscular mycorrhizal fungi with sour orange seedlings. Sci. Hortic. 2020, 268, 109373. [Google Scholar] [CrossRef]
- Leshem, Y.; Seri, L.; Levine, A. Induction of phosphatidylinositol 3-kinase-mediated endocytosis by salt stress leads to intracellular production of reactive oxygen species and salt tolerance. Plant J. 2007, 51, 185–197. [Google Scholar] [CrossRef]
- Foreman, J.; Demidchik, V.; Bothwell, J.; Mylona, P.; Miedema, H.; Torres, M.A.; Linstead, P.; Costa, S.; Brownlee, C.; Jones, J. Reactive oxygen species produced by NADPH oxidase regulate plant cell growth. Nature 2003, 422, 442–446. [Google Scholar] [CrossRef] [PubMed]
- Zhang, X.; Zhang, H.; Lou, X.; Tang, M. Mycorrhizal and non-mycorrhizal Medicago truncatula roots exhibit differentially regulated NADPH oxidase and antioxidant response under Pb stress. Environ. Exp. Bot. 2019, 164, 10–19. [Google Scholar] [CrossRef]
- Ben Rejeb, K.; Benzarti, M.; Debez, A.; Bailly, C.; Savouré, A.; Abdelly, C. NADPH oxidase-dependent H2O2 production is required for salt-induced antioxidant defense in Arabidopsis thaliana. J. Plant Physiol. 2015, 174, 5–15. [Google Scholar] [CrossRef] [PubMed]
- Islam, E.; Yang, X.; Li, T.; Liu, D.; Jin, X.; Meng, F. Effect of Pb toxicity on root morphology, physiology and ultrastructure in the two ecotypes of Elsholtzia argyi. J. Hazard. Mater. 2007, 147, 806–816. [Google Scholar] [CrossRef] [PubMed]
- Begum, N.; Ahanger, M.A.; Zhang, L. AMF inoculation and phosphorus supplementation alleviates drought induced growth and photosynthetic decline in Nicotiana tabacum by up-regulating antioxidant metabolism and osmolyte accumulation. Environ. Exp. Bot. 2020, 176, 104088. [Google Scholar] [CrossRef]
- Ashraf, M.; Shahzad, S.M.; Imtiaz, M.; Rizwan, M.S. Salinity effects on nitrogen metabolism in plants—focusing on the activities of nitrogen metabolizing enzymes: A review. J. Plant Nutr. 2018, 41, 1065–1081. [Google Scholar] [CrossRef]
- Vázquez, M.; Barea, J.M.; Azcón, R. Influence of arbuscular mycorrhizae and a genetically modified strain of Sinorhizobium on growth, nitrate reductase activity and protein content in shoots and roots of Medicago sativa as affected by nitrogen concentrations. Soil Biol. Biochem. 2002, 34, 899–905. [Google Scholar] [CrossRef]
- Sveen, T.R.; Netherway, T.; Juhanson, J.; Oja, J.; Borgström, P.; Viketoft, M.; Strengbom, J.; Bommarco, R.; Clemmensen, K.; Hallin, S.; et al. Plant-microbe interactions in response to grassland herbivory and nitrogen eutrophication. Soil Biol. Biochem. 2021, 156, 108208. [Google Scholar] [CrossRef]
Publisher’s Note: MDPI stays neutral with regard to jurisdictional claims in published maps and institutional affiliations. |
© 2022 by the authors. Licensee MDPI, Basel, Switzerland. This article is an open access article distributed under the terms and conditions of the Creative Commons Attribution (CC BY) license (https://creativecommons.org/licenses/by/4.0/).






