Abstract
The need to understand the carbon sequestration ability of trees under current and future climatic scenarios is fundamental to predict the role of forest in counterbalancing the global warming. In this study, we investigated the carbon sequestration ability of Pinus sylvestris L. in a setting of pure and mixed forests with Quercus petraea (Matt.) Liebl. in Central Poland. Beside the traditional growth measures, i.e., Ring Width, Basal Area Increment, and wood density, we utilized also a new Index called BAIden, which combines Basal Area Increment and mean ring wood density to depict the carbon sequestration ability of trees. Pinus sylvestris showed different sensitivity to climatic variability depending on tree admixture, while the Basal Area Increment and wood density presented few differences between pure and mixed forests. According to the BAIden index, carbon accumulation in P. sylvestris showed similar sensitivity to climatic variability in pure and mixed forests. The new index was also informative on the main climatic drivers of carbon sequestration. Considering future climatic scenarios, the carbon sequestration ability of P. sylvestris will be facilitated by rising temperatures in late winter-early spring and reduced by decreasing precipitation and rising temperatures during summer. Finally, we discussed the perspective and applicability of BAIden for further studies on carbon sequestration ability under climate change.
1. Introduction
Trees, as long-living organisms store in their annual rings a huge amount of ecological information. Such records are fundamental proxies to understand and predict the adjustment and adaptation of trees to current and future climatic scenarios [1,2,3]. At present, this is an essential topic to be investigated considering the recent-renewed interest for the numerous ecosystem services provided by forests and for the crucial role of forests in the global carbon cycle [4,5]. Forests, being able to sequestrate substantial amounts of carbon, can potentially counteract and significantly reduce the atmospheric CO2 concentration, the main responsible driver of the global warming [5,6,7]. The carbon sink capacity of forest ecosystems is greatly influenced by forest management [5], which can potentially play a key role in the face of global warming by maintaining and improving carbon sequestration of forest ecosystems [8,9,10].
For instance, mixed forests are considered to improve tree productivity compared to mono-specific ones, because inter-specific facilitation phenomena can occur between varied tree species [11,12,13]. The benefits on tree performance related to species mixing and inter-specific facilitation phenomena can vary depending on space, time and the species considered [14]. Although increasing attention in the last decades has been given to mixed forests and carbon sequestration ability, this phenomenon is still poorly known, quantified and understand [15] and further investigations considering specific mixing and climatic conditions are needed. Trees and forests by themselves are also subjected to and threatened by climate change. Increasing temperatures, changing precipitation regimes and extreme events such as droughts, windstorms and pests linked to and driven by climate change have affected forests at a global scale, inducing mortality and seriously affecting their carbon sink capacity [16,17,18,19]. In this regard, mixed forests seem to be more resilient towards climate change and climatic extremes than mono-specific ones [20,21]. In this study, we aim to investigate tree carbon sequestration ability under changing climatic conditions and different tree admixture, current challenges either related to forest conservation and to global carbon cycle [16,21,22,23].
Among the proxies to estimate above-ground biomass, forest inventory measures are widely utilized given the relationship between carbon content and biomass accumulated in tree compartments [24]. Reliable representation of carbon stored by trees can be achieved using volume equations and models developed to evaluate species-specific growth characteristics and obtain proper estimation of carbon stored in trees [24,25]. Indeed, such methods are rarely suitable for a wide range of species and environments, and carbon sequestration estimation can be subjected to biases. Moreover, they do not allow for past assessment of tree carbon sequestration [24,26]. Dendrochronological records are also directly related to growth rate and biomass accumulation of trees [27], hence with carbon sequestration. Moreover, estimating carbon sequestration by analysing tree ring chronologies allows to investigate past spatio-temporal patterns of forest carbon sequestration dynamics [26], and possibly to infer future carbon sequestration patterns under changing climatic conditions. Exploring width variability of tree ring chronologies has been the most used approach to investigate the tree’s response to the environment [28,29] and standardized tree ring indices have shown to be suitable tools to interpret differences in climate induced growth variability at trees and forest level. However, to estimate the amount of carbon stored in trees, the Basal Area Increment (hereafter BAI) is a better proxy with respect of tree ring indices, as it links more closely to volume growth and total carbon sequestration [27]. Tree BAI is a geometric measure of annual wooden increment and represents the ring area formed each year assuming a circular stem [30], applicable to any tree species. This measure has proved to be responsive to climatic fluctuation as well as to changes in the individual and stand-level related competition [31,32], and it has been used as proxy of tree productivity [33,34]. The BAI is a two-dimensional measure that provide an accurate representation of the overall tree growth, biomass accumulation and carbon sequestration than ring width indices [30]. Beside single size growth, wood density is also relevant when estimating the amount of carbon stored by trees [35]. Wood density is related with the fundamental mechanical properties that support trees against external forces i.e., wind, gravity, snow, as well as to internal forces i.e., xylem implosion by negative pressure [36], and it is proved to be sensitive to environmental stimuli as temperature variations and water deficit [37,38]. While ring width may show similar values, year–ring specific wood density can differ greatly because of the inter-annual proportion of earlywood and latewood can vary as well [39]. This highlights the importance of incorporating growth rate and relative density formation together when estimating carbon sequestration by trees.
In this study, beside the traditional growth measures, we employed a new index to investigate carbon sequestration patterns in trees, obtained by combining BAI and mean ring wood density, called BAIden. Carbon sequestration patterns were investigated in Pinus sylvestris L., one of the coniferous species with the broadest geographical range in the world playing a key role in the carbon sequestration at a global scale [40]. Moreover, several studies have provided insight into growth-climate relationships of this species [41,42,43,44], making it a good model to evaluate the sensitivity of indices to climatic parameters. We selected a pure P. sylvestris and a mixed P. sylvestris-Quercus petraea (Matt.) Liebl. forest stand in Central Poland, to evaluate whether different tree admixture can influence carbon sequestration patterns in P. sylvestris. To this end, we used already existing plots in continental climate in Central Poland. Finally, our study aimed to evaluate two hypotheses:
- (1)
- Pinus sylvestris in mixed forest stands with Q. petraea would present higher carbon sequestration ability than P. sylvestris in pure forest stands, considering BAI, mean ring wood density and BAIden.
- (2)
- BAIden, integrating the ecological information of BAI and mean ring wood density, would be sensitive to climatic signals and thus would result in a novel proxy informative on the modulating factors driving trees’ carbon sequestration.
2. Materials and Methods
2.1. Target Species and Study Area
The species selected for the study was P. sylvestris L. (Scots pine), one of the most widely distributed pine species in Eurasia, occurring on a variety of different environments, and in a wide range of elevations, from sea level at the northern latitudes, up to 2.000 m asl in the mountainous areas at its southernmost range [45]. Pinus sylvestris is a pioneer, light-demanding evergreen species, that can grow on well-drained, very poor and acidic soils. Pinus sylvestris is most abundant in north-eastern Europe as one of the dominant species in the boreal forest. In north and central Europe, it can grow alongside several coniferous species as well as deciduous ones [46]. Plantations of this species are widespread, especially in central and northern Europe because they have an important economic value by being one of the most popular wood materials used in building construction and pulp production. Recently, this species was subjected to a drought-induced decline, especially at its southern distribution limit [47,48,49,50], and future projection foresees its decline in Central Europe, as it is a species vulnerable to prolonged drought [51].
The site is located in Central Poland 51°48′42.30″ N 19°49′55.55″ E, 200 m asl, 100 km to the south of Warsaw, at the Rogów, Forest Experimental Station, which is managed by Warsaw University of Life Science-SGGW (Figure 1).
Figure 1.
Location map of the sampling site and weather stations. Map created using ArcGIS® software v 10.8 by Esri.
Following the bioclimatic classification by Rivas-Martínez et al., 2002 [52], the study area was in Temperate Continental Dry Mesothermic bioclimate zone. The soil was silty and sandy loam classified as Luvisols, with Sandstone bedrock [53]. The experimental forest managed by SGGW included a pure forest of P. sylvestris as well as a mixed forest stands of Pinus sylvestris and Q. petraea. The P. sylvestris trees were established artificially by sowing between 1936 and 1944 after clearcutting from an oak stand, and Q. petraea trees regenerated naturally from seeds. Any serious disturbances such as wind, pests or fungi for the considered forests did not take place in the past. We selected three experimental plots settled by the SGGW, that were homogenous in term of altitude, exposition, climate, and soil characteristics (Table 1). In plots representing pure stands, the presence of P. sylvestris depicted by number of trees was on average 83% (min. 69–max. 91), while in case of mixed stands was 46% (min. 26–max. 72.5). In mixed stands Q. petraea was present mainly in the first layer with P. sylvestris, while in the pure treatment, Q. petraea was much younger and played the role mainly of understory. Thinning operations in the plots were performed in the following years: 1973, 1975, 1987, 1991, 1994, 1998. In all operations, dominant trees were selected (without being marked permanently) and the main competitors were cut down, with the thinning severity accounting for a total volume reduction of 10–15% per plot and event. From each plot six dominant P. sylvestris trees were selected as sample trees to avoid growth related co-variation by social class. We carefully selected trees with highest values of height and diameter at breast height, neglecting those located close the plot boundaries.
Table 1.
Forest characteristics, BA = Basal Area of selected plots.
Moreover, in mixed plots we selected trees that were surrounded as much as possible by Q. petraea, while in pure plots we selected trees that were surrounded only by P. sylvestris, to have clear differences of competition related to tree admixture for the selected trees. In mixed plots, the selected trees presented a diameter at breast height (with bark) of 36.52 (1.29) cm (mean SE) and height of 27 (0.45) m (mean SE), and in pure plots diameter at breast height (with bark) of 39.74 (0.79) cm (mean SE) and height 29.1 (0.41) m (mean SE). To account for tree competition in the two forest types, a competition Index was calculated following Hegyi’s formula [54] with the data collected in 2019.
where CIi is the competition index for the subject tree i, d the diameter at breast height, rji the distance between the subject tree i and the competitor tree j, and n is the number of competitors in the neighbourhood zone. The neighbourhood zone was comprised in a radius of 3.5 and 6 m, to account for different spatial distribution of trees.
2.2. Wood Samples
From each sample tree, one core of 1 cm in diameter was extracted at 1 m height with an increment borer during June 2019. The cores were sent to TUM (Technische Universität München) at the Chair for Forest Growth and Yield Science, to be analysed with LIGNOSTATIONTM, a high frequency densitometry which quantifies wood density by measuring the dielectric permittivity of wood [55] and allows for non-destructive and quick measure of ring width and ring density (see [56] for the procedure). The LIGNOSTATIONTM does not provide absolute measurement of density, however, relative comparisons of wood density between year rings and cores are possible as they undergo the same procedure in the same conditions.
2.3. Tree Ring Analyses
As the cores were taken during June, the year 2019 was not considered for the analyses. All ring series were cross dated with TSAP-Win software [57]. The Expressed Population Signal (EPS) was calculated to assess chronologies coherence [58].
2.3.1. Ring Width Indices—RWI
All analyses and graphics were performed with R v. 4.0.2 software [59]. The dplr Rpackage software [60] was employed to obtain ring width indices (hereafter RWI). The series were fitted with a smoothing spline with 50% frequency response to remove age-related trends [28,29]. To choose the adequate n-years of the spline for the detrending, the mean value chronology for RWI was plotted with three splines fixed at different n-years (15, 20, 30). To highlight long-term trends and avoid high frequencies related to short-term events, we selected the spline with the n-years fixed at 30. The mean value chronology was calculated by applying a bi-weight robust mean to deal with outliers and by pre-whitening, fitting the series with an autoregressive model [28].
2.3.2. Basal Area Increment—BAI
Starting from raw ring width data in mm, a BAI chronology was calculated with the following formula (the calculation does not include bark thickness):
where w is the ring width at the time t and Rt is the stem radius at the end of the radial increment. This chronology preserves the age-related trends that characterize BAI data. Even if this can lead to misinterpretations when correlating with climate variable, the BAI chronology could add information to our understanding on the amount of carbon stored as it is an effective biological measure for actual annual wooden increment. However, as the BAI series showed a trend over time, we decided to detrend those series applying the same methodology previously used, obtaining a chronology with detrended BAI series, namely BAI.i.
BAIt = π (wt2 + 2wtRt−1)
2.3.3. Density
The high frequency densitometry provides measures of wood density at annual resolution. The mean ring wood density series, kg m−3, did not present any tree trend over time. Hence, the relative mean value chronology was obtained applying a bi-weight robust mean to the mean wood ring density series and by pre-whitening, fitting the series with an autoregressive model.
2.3.4. BAIden
The BAIden chronology was obtained using the BAI series with the following formula:
BAIdena kg m−1 = BAIa m2 × mean ring Wood Densitya kg m−3
Similar to BAI, we decided to compute the BAIden chronology also with the BAI.i series, in order to avoid misinterpretation in correlation analyses with climatic variables.
The BAIden.i chronology was obtained using the BAI.i series and mean ring wood density with the following formula:
BAIden.ia = BAI.ia × mean ring Wood Densitya kg m−3
Totally, we computed six common chronological types for each forest type: the RWI (chronology built with detrended ring width series), the BAI (built with BAI series), the BAI.i (built with detrended BAI.i series), the Wood Density (built with mean ring wood density series), the BAIden (built with BAI and wood density series), and the BAIden.i. (built with BAI.i series and wood density series). These chronologies have been used in the statistical analyses.
2.4. Climatic Data
For the time span 1952–2000, the climatic data were obtained calculating the inverse weighted mean from data at monthly resolution of two weather stations located in the proximity: Łódź 38 km west, and Skierniewice 20 km north-east from the study site. In 2001, a modern weather station that records a set of climatic variables at daily resolution was installed in the study area. Hence, for the timespan 2001–2018 we preferred to use the more-precise and available local climate data [61]. The climatic variables considered for the analyses were: Precipitation and Temperature at monthly resolution, (hereafter P and T, respectively) and Vapor Pressure Deficit at monthly resolution (hereafter VPD), calculated with the software package R Plantecophys [62]. The variable VPD is a function of temperature and relative humidity, and it is the major determinant of tree-water relations [63].
2.5. Statistical Analyses
To understand the effect of tree admixture and competition on dendrochronological variables such as BAI, Wood Density and BAIden, linear mixed effect models were employed, with the lme4 Rpackage software [64]. The sample unit considers the individual tree. The variables such as BAI, Wood Density and BAIden were considered as dependent variables, tree admixture and competition Index were considered as fixed effects (without interaction term). Two random effects were added to the models accounting for tree (nested effect) and time (crossed effect) as we are considering multiple responses from the same tree, and the variables we were investigating present a trend over time. To understand whether the fixed effects tree admixture and competition Index were improving the performance of the model a ratio likelihood test was performed using the Anova test and standard Akaike Information Criterion (AIC). Outliers were removed, and the assumption as linearity and homoscedasticity were checked looking at the residuals patterns in the fitted vs. predicted values plot. Normality was checked by looking at histograms with residuals. The BAI and BAIden data needed to be root square transformed to obtain a normal distribution. To evaluate the correlation between the climatic variables and RWI, BAI.i, BAI, Wood Density, BAIden.i and BAIden the dcc function from treeclim package in R [65] was used. This function builds upon and extents the functionality of software programme DENDROCLIM2002 [66]. The function is set on correlation, where the coefficients are univariate estimates of Pearson’s product moment correlation. The applied bootstrapping gives confidence intervals and estimates the significance of the correlation [66]. The correlation was considered significant with p < 0.05.
3. Results
3.1. Tree Ring Width Indices, Basal Area Increment, Wood Density and BAIden
In Table 2 the characteristics of the cores are summarized. The average series length is below the total span, as not all cores hit the pith of the tree. The mean chronologies of 18 sample trees per mixing type for RWI, BAI.i, BAI, Wood Density, BAIden.i and BAIden (Figure 2), are presented starting from 1962, as the chronologies showed EPS > 0.85 starting from that year.
Table 2.
Core characteristics of sampled pine trees.
Figure 2.
Mean Chronologies of (a) Ring Width Index (RWI), (b) Basal Area Increment mm2 (BAI), (c) Detrended Basal Area Increment (BAI.i), (d) Mean ring Wood Density Kg m−3 (relative values), (e) BAIden and (f) BAIden.i. Blue lines represent the mean chronologies of pines in pure forests (n = 18), orange lines represent the chronologies of pines in mixed forests (n = 18). The detrended chronologies were obtained applying a smoothing spline with n-years= 30 per each series. Mean value chronologies were built with a bi-weight robust mean and by pre-whitening with an autoregressive model.
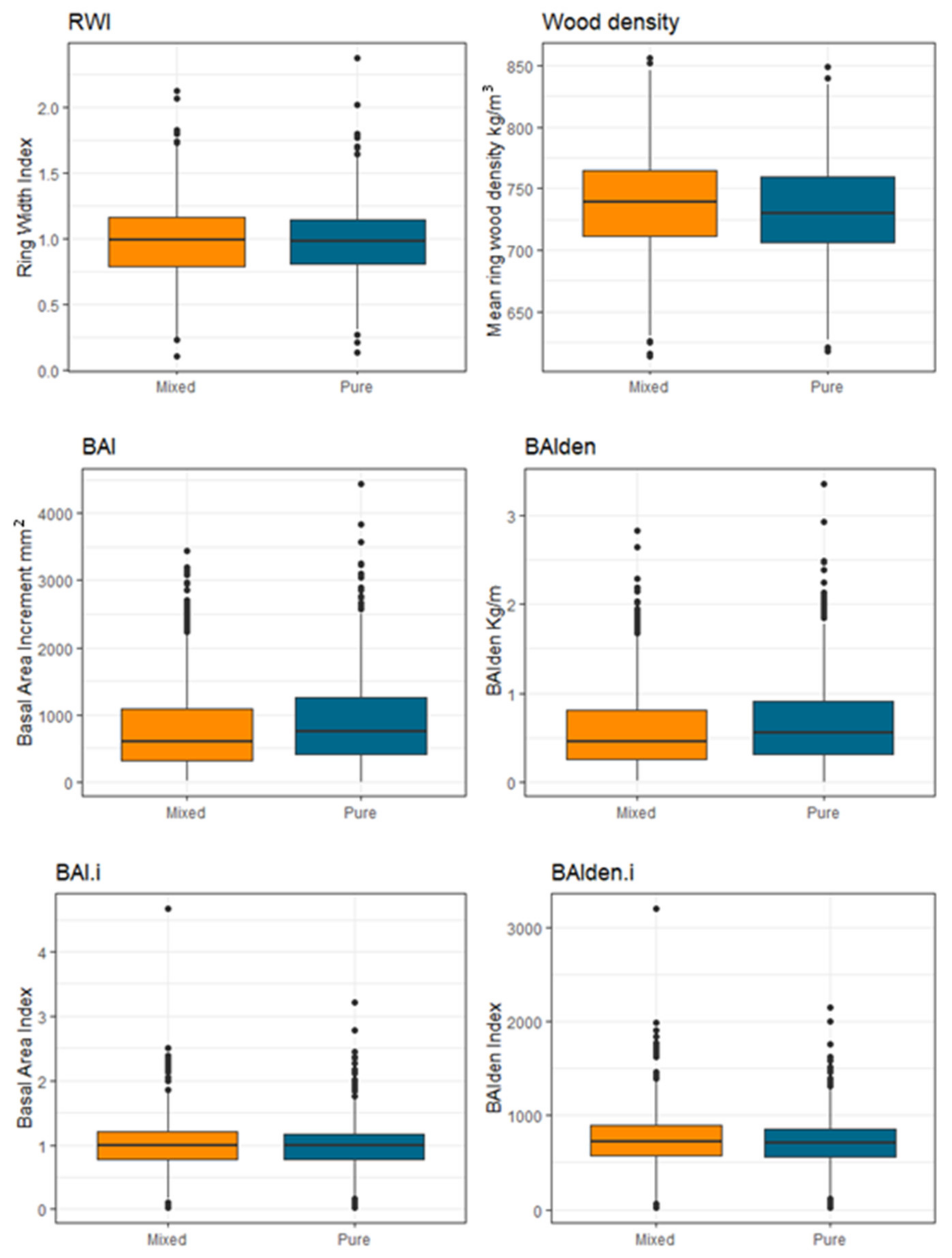
Observing the mean chronologies, the mature stage of trees can be identified after the mid-1980s, when the growth curve began to plateau (Figure 2b,d). Comparing pines growing in pure with pines growing in mixed forests, the chronologies RWI, BAI.i, BAIden.i and BAI and BAIden showed a similar pattern. Wood Density as well, presents a similar trend in the two forest stand types, but shows more dissimilarities than the other chronologies (Figure 2d). The main differences among the mixing type specific chronologies was identified in a few years of the juvenile stage. Wood Density decreased as the ring width increased in pines in both forest types (Figure 3). When BAI increased, Wood Density increased consistently for P. sylvestris in pure forest, and showed no trend for P. sylvestris in mixed forests (Figure 3). This could be related to the high variability at the individual tree level, considering the sample size (n = 18 trees per forest types), and to an unequal representation of the juvenile stage of trees, hence of wider rings, as not all the cores hit the pith of trees and several juvenile years were missing. Wood Density presented a weaker correlation with BAIden (R2 = 0.03 pure, R2 = 0.01, mixed forest) and BAIden.i (R2 = 0.05 pure, R2 = 0.07, mixed forest, Figure 3). Conversely, BAIden resulted in high correlated with BAI (R2 = 0.99 pure and mixed forest, Figure 3), and consistently also BAIden.i with BAI.i (R2 = 0.97 pure and R2 = 0.97 mixed forest, Figure 3). This likely indicates that the component BAI weights more than Wood Density in determining the final values of BAIden. When BAIden/BAIden.i increase, also the BAI/BAI.i e Wood Density increases consistently (Figure 3). Boxplots in Figure 4 illustrate the differences between the variables investigated in both forest types (orange mixed forest, blue pure forest).
Figure 3.
Relations between the variables of interest. P. sylvestris in pure (blue) and mixed forests (orange).
Figure 4.
Boxplots illustrating the differences between the variables of interest RWI, Mean Ring Wood Density, BAI, BAIden, BAI.i, and BAIden.i in P. sylvestris in pure (blue) and mixed forest (orange).
According to the linear mixed effect model results, the competition index calculated in the 3.5 m radius neighbouring zone was the one with the lowest AIC and was therefore selected for the analyses. When examining the effects of tree admixture and the competition index on the dependent variables considered (BAI, Wood Density or BAIden), no significance difference between mono-specific and mixed stands was detected (Table S1 Supplementary Material). Although without significance, the BAI and BAIden presented higher values in pure forest, while Wood Density showed higher values in mixed forest (Table 3).
Table 3.
Differences between BAI, Wood Density and BAIden in the two forest types. Values are presented with ± Standard Error.
3.2. Climate
In the study area, the mean annual Temperature is 8 °C and the mean annual Precipitation is 563 mm (average values from the time span 1952–2018). The climatogram for annual temperature and precipitation is shown in Figure 5a. The climatogram for the study site covering the time span 1952–2018 (Figure 5b) shows a consistent linear increase in mean annual temperature over time (p < 0.001). Analysing the average temperature by month, significant linear increases in temperature over time were shown for February (p < 0.05), March (p < 0.05), April (p < 0.01), May (p < 0.05), July (p < 0.05) and August (p < 0.001). Precipitation conversely did not show any patterns. However, analysing the average precipitation by month over time, a significant increase of precipitation in January (p < 0.01) was detected, as well as in March (p < 0.001) and May (p < 0.05). The pattern in July and August shows a decrease in precipitation over time with no significance. Vapor Pressure Deficit (Figure 5c) shows a significant linear increase over time (p < 0.001).
Figure 5.
(a) Annual Climatogram for Rogow, mean annual temperature = 8 °C, mean annual precipitation = 563 mm, obtained by averaged values from the time span 1952–2018. (b) Climatogram for Rogow. Time span 1952–2018. Line represents mean temperature, bars represent precipitation. (c) Vapor pressure deficit, average values at monthly resolution. Time span 1962–2018.
3.3. Relationships with Climate
The relationships between tree ring variables and climatic variables for the time span 1962–2018 are shown in Figure 6. Correlation coefficients, significance and confidence intervals are provided in Table S2 (Supplementary Material). The bootstrapped correlation function analysis considering RWI, BAI.i, BAI, Wood Density, BAIden.i and BAIden shows differences between both forest types. The main difference was shown by RWI and BAI.i, which show more significant correlations with climatic variables considering pines growing in pure rather than in mixed forest. The RWI in pure forest was positively correlated with VPD and mean T in late-winter, early-spring (January, February, March) and with P in February and July, while RWI in mixed forest did not present significant correlations with climatic variables. The BAI.i in pure forest correlated positively with VPD in February and March, with mean T in January, February, and March and also with P in July. The BAI.i of pines in mixed forest correlated positively only with mean T and VPD in March. Wood Density, considering pines growing in the two forest types, correlated positively with VPD in February, April, and May, with mean T in springtime (April and May and March and May for mixed and pure, respectively) and it correlated positively with P in July. Wood Density in pines in mixed forest correlated with P in February (positive). The BAI in pines in the two forest types presented similar correlations: it positively correlated with VPD for the most months of the year (except June and July for mixed and June for pure forest); it positively correlated with mean T in July and March (regarding pure forest also February and April). The BAI in pure forests negatively correlated with P in July, while in mixed forest it correlated positively with P in January and March. The BAIden of pines in pure forest showed the same correlation as BAI in pure forest and it also correlated positively with P in March. The BAIden of pines in mixed forest showed the same correlation as BAI in mixed forest. The BAIden.i had similar correlation for the two forest types: it correlated positively with VPD for most of the year, and with mean T in late-winter early-spring (January, February, and March for pines in pure forest and January and March for pines in mixed forest). The BAIden also correlated positively with P in July in the two forest types.
Figure 6.
Correlations between monthly mean Temperature, monthly Precipitation and monthly Vapor Pressure Deficit of the current year (Jan–Sep) and RWI, BAI.i, BAI, Wood Density (DEN), BAIden.i, BAIden series in the two forest types, for the time span 1962–2018. The height of the bars represents the correlation coefficient (R2), the bootstrap method applied to the analysis give information regarding the confidence interval, and the significance of the correlation. Darker bars, also indicated by *, indicate a significant correlation (p < 0.05), while lighter bars indicate a non-significant correlation (p > 0.05). Correlation was performed with the dcc function from treeclim Rpackage. The function is set on correlation, where the coefficients are univariate estimates of Pearson’s product moment correlation.
4. Discussion
4.1. Tree Ring Variables and Forest Stand Conditions
The sampling design focused on the effects of climate and tree admixture on P. sylvestris ability to sequestrate carbon. While the height of dominant trees is usually not affected by stand conditions, the basal area is greatly influenced by stand characteristics such as density [13,14,31]. Our study design has thus the great advantage that (i) the stand conditions and the competition Index for the selected trees in the two forest types are comparable (Table 1), and (ii) the class of trees was comparable as we carefully selected dominant P. sylvestris trees. By that, we were able to exclude variation in major biotic and abiotic drivers and obtain study results that reflect the effects of climatic variability and tree admixture on tree growth parameters in an un-confounded way. Several studies have focused on the modulating effects of tree admixture on tree growth and wood density, combining different tree species in different abiotic conditions [56,67]. The effects of inter-specific facilitation on tree growth strongly depend on the species considered, on the stand density and on the extent of the abiotic-biotic stressor. Inter-specific facilitation is thought to increase in harsher environment with resource limitation [68,69], conditions that take place also with prominent level of competition. In our study we did not find out differences in P. sylvestris BAI and Wood Density between pure and mixed forest. These results are coherent with Merlin et al. [70] who analysed the responses to drought events considering ring width in pure P. sylvestris and in mixed P. sylvestris–Q. petraea forest, without finding significant differences related to the tree admixture, and partially with Toïgo et al. [71] who analysed in the same forest the same species mixing without reporting significant differences regarding ring width while they did consider wood density. These two studies involved only healthy trees in an environment with no evident limiting factors for the species considered, conditions that also characterize our study site. On the other hand, Steckel et al. [67] and Pretzsch et al. [72], found an increased resistance towards drought and lower recovery after stress of P. sylvestris in mixed rather than pure forest, as well as an increased productivity, considering the same species mixing. Our study site was included in the core of the native range of P. sylvestris [73], and hence presents optimum climatic conditions for this tree species as well as soil conditions (i.e., silty and sandy loam). Moreover, we selected healthy and dominant trees that are less affected by competition and stand conditions. In this environment, and for the characteristic of the selected trees, the inter-specific facilitation phenomena are not apparent or are not likely to occur, and this might be the reason we did not find significant differences between BAI and Wood Density of P. sylvestris between pure and mixed forest.
4.2. Different Responses to Climatic Variability Depending on Tree Admixture
Observing the correlations in Figure 6, P. sylvestris in pure forest shows overall more correlations than in mixed forest. Specifically, in pure forest there was a significant and consistence correlation of RWI, BAI and BAI.i with late-winter early-spring temperatures. In Poland, the strong correlations between late winter-early spring temperatures and P. sylvestris tree ring width have been observed, and they are thought to be among the main drivers of tree growth for this species [43,44,74]. These positive correlations support the theory by which higher late winter-early spring temperatures can lengthen the growing season. Such temperature conditions favour snow melting, increasing the amount of water in the soil, which is needed by trees at the beginning of the growing season to start the related physiological processes [43]. Conversely, P. sylvestris in mixed forest considering RWI, BAI and BAI.i did not show such strong correlations. This can be linked to the presence of oaks, which do not bear leaves during winter and favour the sunlight to penetrate in the forest providing the conditions for an anticipated snow melting compared to the closed-canopy of the pure P. sylvestris forest. Pinus sylvestris in pure forest showed a consistent positive correlation between July precipitation and RWI and BAI.i, which was not present in P. sylvestris in mixed forest, which seemed less sensitive to summer precipitation. The different roots stratification and morphology of P. sylvestris, which present mostly shallow and superficial roots, compared to Q. petraea which is known to have much deeper roots, can minimize the competition between the two species for underground water uptake, providing a better use of underground water resources in mixed forest compare to P. sylvestris in pure forest, that conversely rely more on current-year precipitation. From literature, maximum wood density has been utilized for climate-reconstruction being highly responsive to temperature fluctuations [75]. In our study case, Wood Density correlated similarly in the two forest types. It is positively correlated with temperature in spring and with precipitation in July (also February in pure forest, Figure 6). These results are coherent with Björklund et al., [76] who found strong correlations of latewood density with spring temperature (in northern-hemisphere conifers), and with Camarero et al. [77] who found consistent correlation of maximum wood density with summer precipitation (in northern-hemisphere conifers, also P. sylvestris). The BAI.i, BAI and Wood Density showed similar and always positive correlation with Vapor pressure deficit in spring and late summer in the two forest types, (in pure forest the correlation is shown also by RWI). These correlations presented the stronger correlation coefficients (R2 ≥ 0.5) with the chronologies. High values of VPD can be signal of water stress, but if this is coupled with high soil moisture, tree evapotranspiration rate can increase and remain high [63] improving tree growth, as in our case. Even if our study lack of soil moisture data, these latter correlations let us hypothesize good moisture conditions in the soil, which coupled with high VPD improve the tree growth in both forest type.
4.3. BAIden Responses to Climatic Variability
If BAI and Wood Density were appropriate proxies considering carbon stored by trees, the climatic conditions during the vascular cambium re-activation i.e., both late winter-early spring temperatures (more evident for P. sylvestris in pure forest), and July precipitation would have a crucial role in determining the amount of carbon P. sylvestris can sequester and store during the growing season in these climatic conditions. Regarding P. sylvestris in mixed forests, the correlations of RWI, BAI.i, or Wood Density lost part of the climatic signal responsible for carbon sequestration (late winter-early spring temperatures and/or July precipitation). The BAIden.i integrates well this information resulting in significant correlations with temperatures and VPD in late-winter early-spring and also with July precipitation. The BAIden.i of P. sylvestris in pure forests presented similar correlations suggesting that carbon sequestration in P. sylvestris is subjected to the same climatic drivers in pure and mixed forest. Considering BAIden, the results must be interpreted carefully as the chronology is built without detrending BAI, and the age-related trend is maintained. In both forest types, the correlation with BAIden (and BAI) of late winter-early spring temperatures can confirm the results previously seen observing BAI.i and BAIden.i, while the positive correlation of BAI and BAIden with July temperature is not shown by other variables and it is not supported in literature. Indeed, for P. sylvestris, previous studies found negative correlation between annual tree growth and summer temperature at similar latitudes [34]. Maintaining the age-related trend of BAI, which presents an increase over time can lead to spurious correlation with climatic variables, such as temperature that in central Poland increased significantly during the last decades (Figure 5b), also observed for single months. Hence, we consider BAIden.i a more reliable index to investigate the climatic drivers of carbon sequestration for P. sylvestris. For its abundance in the northern hemisphere, P. sylvestris has a vital role in carbon sequestration at a global scale [40]. In these climatic conditions, temperature is the principal factor driving P. sylvestris growth with summer precipitation that play a key role as well as for wood density [76,77]. In our analyses, this was clearly highlighted considering BAIden.i. This index showed responsiveness to climate, and it was able to integrate the information contained in BAI and Wood Density, being a synthetic and informative index about carbon sequestration of this pine species. Even if there were differences in the sensitivity of RWI and BAI to climatic variables considering P. sylvestris in different tree admixture, the similar correlations with climatic variables showed by BAIden.i, suggest that the performance of carbon sequestration by P. sylvestris is similar in the two forest types. This was also confirmed by the linear mixed effect model results, which did not highlight significant differences between BAI and Wood Density in P. sylvestris in the two forest types. Trees growing at their optimum climatic conditions, as in our case, show high adaptability and high plasticity [74]. Pinus sylvestris trees growing in pure and mixed forest were able to perform similarly though they presented different sensitivity with climatic variables. The future carbon sequestration pattern of dominant P. sylvestris will be facilitated by the increasing temperatures that are occurring in late winter-early spring (February, p < 0.05, March p < 0.05). On the other hand, the correlations found with summer months may indicate a future reduction of carbon sequestration for P. sylvestris. The decreasing trend in July and August precipitation (even if not significant), combined with an increase in temperatures (July, p < 0.05, August, p < 0.001) can confirm the future climatic projection for central Europe, which foresees increasing droughts, and a consistent decline for this pine species [51]. Moreover, the consistence increase in VPD has improved until now the growth of P. sylvestris, but if this trend is maintained, the trees would likely start experiencing water stress in the near future, with serious consequences on the future ability of this species to sequestrate carbon. In this future scenario, we expect P. sylvestris in mixed forest to benefit more from the inter-specific competition with oak, a phenomenon that is barely appreciable now, detectable only observing the correlations with the climate, but that can increase in extent if the abiotic conditions will become harsher [69].
4.4. Perspective and Applicability
The computation of BAIden requires ring width and wood density, which can be measured by High frequency densitometry. The limits encountered by the propagation of this technology are related to sample preparation, where a high-quality surface is required [78]. However, this methodology provides reliable wood density results, it is fast, non-destructive and of relatively low cost compared with the most utilized X-ray densitometry [79]. An increase of the usage of this innovative technology is taking place and it is extremely likely a greater expansion in the future. The limit encountered in this study with this technology regards to the fact that relative and not absolute wood density values were obtained. Proper calibration procedures of wood sample are needed before the utilization of LIGNOSTATIONTM to obtain absolute ring density values, to increase the utility and the potential of this technology. The information provided by BAIden.i data seems promising in this context with this species, especially considering the correlation analyses with climatic variables. The BAIden was subjected to spurious correlation when used in correlation analyses, but it can give precise information about carbon sequestration in trees retaining the biological information of BAI and wood density. To evaluate the power of BAIden to assess carbon sequestration in trees with more accuracy, this Index should be rigorously evaluated, increasing the sample size, considering different tree species, and compared with other techniques that estimate carbon stored by trees. From this first study, this new Index promises to be a fast-computing, synthetic and informative Index on the main climatic drivers of carbon sequestration under changing climatic conditions.
5. Conclusions
In our study site we did not find differences in BAI, Wood Density or BAIden of pines growing in the two forest types. However, the effect of different tree admixture is detectable observing the different correlations of P. sylvestris with climatic variables in pure and mixed forest. These differences were not influencing the performance of trees to sequestrate carbon, as depicted by BAIden, which presents similarities in the correlations with climatic variables. The BAIden Index was obtained combining BAI and Wood Density data, and in this context, it was a fast-computing and synthetic Index that was able to integrate information regarding the main climatic drivers showed by RWI, BAI.i and Wood Density, which are often analysed separately. If we consider the BAIden as a proxy of carbon sequestration, increasing temperatures in late winter-early spring will likely improve the carbon sequestration ability of P. sylvestris, but a future decline in summer precipitation combined with an increase in summer temperature will negatively affect it, with possible consequences for the survival of this species in its actual geographical range, in agreement with other studies. Considering the future climatic conditions, we might expect an increase in inter-specific facilitation phenomena in mixed forest, which could provide benefits to P. sylvestris growing in these conditions. Given the future climatic scenario, the effects of tree admixture on P. sylvestris needs to be evaluated with a specific focus on extreme events such as drought, to have a comprehensive understanding of carbon sequestration patterns in the near future.
Supplementary Materials
Tables S1 and S2 can be downloaded at: https://www.mdpi.com/article/10.3390/f13040582/s1.
Author Contributions
Conceptualization, G.T.; data curation, G.S.G.; formal analysis, G.S.G.; funding acquisition, C.W. and G.T.; investigation, G.S.G.; methodology, G.S.G., C.W., A.G., K.B., E.U., F.G. and G.T.; project administration, C.W. and G.T.; resources, K.B., E.U. and W.A.-R.; software, G.S.G., C.W., A.G., F.G. and G.T.; supervision, C.W., A.G. and G.T.; validation, G.S.G., C.W., A.G., K.B., E.U. and G.T.; visualization, G.S.G.; writing—original draft, G.S.G.; writing—review and editing, C.W., A.G., K.B., E.U., W.A.-R. and G.T. All authors have read and agreed to the published version of the manuscript.
Funding
This research has received funding from the European Union’s Horizon 2020 research and innovation programme under the Marie Skłodowska-Curiegrant agreement No. 778322 (CARE4C). K.B. was also supported by the Polish Government MNiSW2018–2021 matching fund (W117/H2020/2018).
Data Availability Statement
The authors confirm that the data supporting this study are available. Raw data and further details can be obtained from corresponding author.
Acknowledgments
We are grateful to all Carbon smart forestry under climate change (CARE4C) partners who allowed this work to be conducted; Monika Bradatsch at the Chair of Forest Growth and Yield Science, Technical University of Munich; Ben du Toit, Department of Forest and Wood Science, Stellenbosch University; and Marcin Czacharowski and Wojciech Ożga, Department of Silviculture, Warsaw University of Life Sciences-SGGW.
Conflicts of Interest
The authors declare that they do not have competing financial or non-financial interest that could have influenced the work reported in this paper.
References
- Fonti, P.; von Arx, G.; García-González, I.; Eilmann, B.; Sass-Klaassen, U.; Gärtner, H.; Eckstein, D. Studying Global Change through Investigation of the Plastic Responses of Xylem Anatomy in Tree Rings. New Phytol. 2010, 185, 42–53. [Google Scholar] [CrossRef] [PubMed]
- Anderegg, W.R.L.; Meinzer, F.C. Wood Anatomy and Plant Hydraulics in a Changing Climate. In Functional and Ecological Xylem Anatomy; Hacke, U., Ed.; Springer Science and Business Media LLC: Berlin/Heidelberg, Germany, 2015; pp. 235–253. [Google Scholar]
- Pretzsch, H. Trees Grow Modulated by the Ecological Memory of their Past Growth. Consequences for Monitoring, Modelling, and Silvicultural Treatment. For. Ecol. Manag. 2021, 487, 118982. [Google Scholar] [CrossRef]
- Bonan, G.B. Forests and Climate Change: Forcings, Feedbacks, and the Climate Benefits of Forests. Science 2008, 320, 1444–1449. [Google Scholar] [CrossRef] [PubMed] [Green Version]
- Pan, Y.; Birdsey, R.A.; Fang, J.; Houghton, R.; Kauppi, P.E.; Kurz, W.A.; Phillips, O.L.; Shvidenko, A.; Lewis, S.L.; Canadell, J.G.; et al. A Large and Persistent Carbon Sink in the World’s Forests. Science 2011, 333, 988–993. [Google Scholar] [CrossRef] [Green Version]
- Moomaw, W.R.; Masino, S.A.; Faison, E.K. Intact Forests in the United States: Proforestation Mitigates Climate Change and Serves the Greatest Good. Front. For. Glob. Chang. 2019, 2, 27. [Google Scholar] [CrossRef] [Green Version]
- Yao, Y.; Piao, S.; Wang, T. Future Biomass Carbon Sequestration Capacity of Chinese Forests. Sci. Bull. 2018, 63, 1108–1117. [Google Scholar] [CrossRef] [Green Version]
- Pretzsch, H.; del Rio, M.; Ammer, C.; Avdagic, A.; Barbeito, I.; Bielak, K.; Brazaitis, G.; Coll, L.; Dirnberger, G.; Drössler, L.; et al. Growth and Yield of Mixed Versus Pure Stands of Scots Pine (Pinus sylvestris L.) and European Beech (Fagus sylvatica L.) Analysed Along A Productivity Gradient through Europe. Eur. J. Forest Res. 2015, 134, 927–947. [Google Scholar] [CrossRef] [Green Version]
- Grassi, G.; House, J.; Dentener, G.G.F.; Federici, S.; Elzen, M.D.; Penman, J. The Key Role of Forests on Meeting Climate Targets Requires Science for Credible Mitigation. Nat. Clim. Chang. 2017, 7, 220–226. [Google Scholar] [CrossRef]
- Heinrich, V.H.A.; Dalagnol, R.; Cassol, H.L.G.; Rosan, T.M.; de Almeida, C.T.; Junior, C.H.L.S.; Campanharo, W.A.; House, J.I.; Sitch, S.; Hales, T.C.; et al. Large Carbon Sink Potential of Secondary Forests in the Brazilian Amazon to Mitigate Climate Change. Nat. Commun. 2021, 12, 1–11. [Google Scholar] [CrossRef]
- Del Río, M.; Sterba, H. Comparing Volume Growth in Pure and Mixed Stands of Pinus Sylvestris and Quercus pyrenaica. Ann. For. Sci. 2009, 66, 502. [Google Scholar] [CrossRef] [Green Version]
- Pretzsch, H.; Block, J.; Dieler, J.; Dong, P.H.; Kohnle, U.; Nagel, J.; Spellmann, H.; Zingg, A. Comparison between the Productivity of Pure and Mixed Stands of Norway Spruce and European Beech along an Ecological Gradient. Ann. For. Sci. 2010, 67, 712. [Google Scholar] [CrossRef] [Green Version]
- Bielak, K.; Dudzińska, M.; Pretzsch, H. Mixed Stands of Scots Pine (Pinus sylvestris L.) and Norway Spruce [Picea Abies (L.) Karst] Can Be More Productive than Monocultures. Evidence from Over 100 Years of Observation of Long-Term Experiments. For. Syst. 2014, 23, 573. [Google Scholar] [CrossRef] [Green Version]
- Forrester, D.I. The Spatial and Temporal Dynamics of Species Interactions in Mixed-Species Forests: From Pattern to Process. For. Ecol. Manag. 2014, 312, 282–292. [Google Scholar] [CrossRef]
- Holtmann, A.; Huth, A.; Pohl, F.; Rebmann, C.; Fischer, R. Carbon Sequestration in Mixed Deciduous Forests: The Influence of Tree Size and Species Composition Derived from Model Experiments. Forests 2021, 12, 726. [Google Scholar] [CrossRef]
- Ciais, P.; Reichstein, M.; Viovy, N.; Granier, A.; Ogée, J.; Allard, V.; Aubinet, M.; Buchmann, N.; Bernhofer, C.; Carrara, A.; et al. Europe-Wide Reduction in Primary Productivity Caused by the Heat and Drought in 2003. Nature 2005, 437, 529–533. [Google Scholar] [CrossRef] [PubMed]
- Allen, C.D.; Macalady, A.K.; Chenchouni, H.; Bachelet, D.; McDowell, N.; Vennetier, M.; Kitzberger, T.; Rigling, A.; Breshears, D.D.; Hogg, E.H.; et al. A Global Overview of Drought and Heat-Induced Tree Mortality Reveals Emerging Climate Change Risks for Forests. For. Ecol. Manag. 2010, 259, 660–684. [Google Scholar] [CrossRef] [Green Version]
- Phillips, O.L.; Aragão, L.E.O.C.; Lewis, S.L.; Fisher, J.B.; Lloyd, J.; López-González, G.; Malhi, Y.; Monteagudo, A.; Peacock, J.; Quesada, C.A.; et al. Drought Sensitivity of the Amazon Rainforest. Science 2009, 323, 1344–1347. [Google Scholar] [CrossRef] [Green Version]
- Anderegg, W.R.L.; Klein, T.; Bartlett, M.; Sack, L.; Pellegrini, A.F.A.; Choat, B.; Jansen, S. Meta-Analysis Reveals that Hydraulic Traits Explain Cross-Species Patterns of Drought-Induced Tree Mortality Across the Globe. Proc. Natl. Acad. Sci. USA 2016, 113, 5024–5029. [Google Scholar] [CrossRef] [Green Version]
- Pach, M.; Sansone, D.; Ponette, Q.; Barreiro, S.; Mason, B.; Bravo-Oviedo, A.; Löf, M.; Bravo, F.; Pretzsch, H.; Lesiński, J.; et al. Silviculture of Mixed Forests: A European Overview of Current Practices and Challenges. In Managing Forest Ecosystems: The Challenge of Climate Change; Springer International Publishing: Cham, Switzerland, 2018; Volume 31, pp. 185–253. [Google Scholar]
- Pardos, M.; del Río, M.; Pretzsch, H.; Jactel, H.; Bielak, K.; Bravo, F.; Brazaitis, G.; Defossez, E.; Engel, M.; Godvod, K.; et al. The Greater Resilience of Mixed Forests to Drought Mainly Depends on their Composition: Analysis Along A Climate Gradient Across Europe. For. Ecol. Manag. 2021, 481, 118687. [Google Scholar] [CrossRef]
- Tatarinov, F.; Rotenberg, E.; Maseyk, K.; Ogee, J.; Klein, T.; Yakir, D. Resilience to Seasonal Heat Wave Episodes in A Mediterranean Pine Forest. New Phytol. 2016, 210, 485–496. [Google Scholar] [CrossRef] [Green Version]
- Hartmann, H. Carbon Starvation during Drought-Induced Tree Mortality—Are We Chasing A Myth? J. Plant. Hydraul. 2015, 2, e005. [Google Scholar] [CrossRef]
- Tabacchi, G.; Di Cosmo, L.; Gasparini, P. Aboveground Tree Volume and Phytomass Prediction Equations for Forest Species in Italy. Eur. J. For. Res. 2011, 130, 911–934. [Google Scholar] [CrossRef]
- Zianis, D.; Muukkonen, P.; Mäkipää, R.; Mencuccini, M. Biomass and Stem Volume Equations for Tree Species in Europe. Silva. Fenn. Monogr. 2005, 2005, 1–63. [Google Scholar] [CrossRef]
- Babst, F.; Bouriaud, O.; Alexander, R.; Trouet, V.; Frank, D. Toward Consistent Measurements of Carbon Accumulation: A Multi-Site Assessment of Biomass and Basal Area Increment Across Europe. Dendrochronologia 2014, 32, 153–161. [Google Scholar] [CrossRef]
- Evans, M.E.K.; Falk, D.A.; Arizpe, A.; Swetnam, T.L.; Babst, F.; Holsinger, K. Fusing Tree-Ring and Forest Inventory Data to Infer Influences on Tree Growth. Ecosphere 2017, 8, e01889. [Google Scholar] [CrossRef] [Green Version]
- Cook, E.R.; Kairiukstis, L.A. Methods of Dendrochronology: Applications in the Environmental Sciences; Springer: Dordrecht, The Netherlands, 1990; 394p. [Google Scholar]
- Fritts, H.C. Tree Rings and Climate; Elsevier Academic Press: New York, NY, USA, 2012. [Google Scholar]
- Biondi, F.; Qeadan, F. A Theory-Driven Approach to Tree-Ring Standardization: Defining the Biological Trend from Expected Basal Area Increment. Tree-Ring Res. 2008, 64, 81–96. [Google Scholar] [CrossRef] [Green Version]
- Del Río, M.; Calama, R.; Canellas, I.; Roig, S.; Montero, G. Thinning Intensity and Growth Response in SW-European Scots Pine Stands. Ann. For. Sci. 2008, 65, 308. [Google Scholar] [CrossRef] [Green Version]
- Liu, B.; Wang, Y.; Zhu, H.; Liang, E.; Camarero, J.J. Topography and Age Mediate the Growth Responses of Smith Fir to Climate Warming in the Southeastern Tibetan Plateau. Int. J. Biometeorol. 2016, 60, 1577–1587. [Google Scholar] [CrossRef]
- Piovesan, G.; Biondi, F.; DI Filippo, A.; Alessandrini, A.; Maugeri, M. Drought-Driven Growth Reduction in Old Beech (Fagus Sylvatica L.) Forests of the Central Apennines, Italy. Glob. Chang. Biol. 2008, 14, 1265–1281. [Google Scholar] [CrossRef]
- Michelot, A.; Bréda, N.; Damesin, C.; Dufrêne, E. Differing Growth Responses to Climatic Variations and Soil Water Deficits of Fagus sylvatica, Quercus petraea and Pinus sylvestris in A Temperate Forest. For. Ecol. Manag. 2012, 265, 161–171. [Google Scholar] [CrossRef]
- Cuny, H.E.; Rathgeber, C.B.K.; Frank, D.; Fonti, P.; Fournier, M. Kinetics of Tracheid Development Explain Conifer Tree-Ring Structure. New Phytol. 2014, 203, 1231–1241. [Google Scholar] [CrossRef] [PubMed]
- Hacke, U.G.; Sperry, J.S.; Pockman, W.T.; Davis, S.D.; McCulloh, K.A. Trends in Wood Density and Structure are Linked to Prevention of Xylem Implosion by Negative Pressure. Oecologia 2001, 126, 457–461. [Google Scholar] [CrossRef] [PubMed]
- Bouriaud, O.; Leban, J.-M.; Bert, D.; Deleuze, C. Intra-Annual Variations in Climate Influence Growth and Wood Density of Norway Spruce. Tree Physiol. 2005, 25, 651–660. [Google Scholar] [CrossRef] [PubMed] [Green Version]
- Balducci, L.; Des Lauriers, A.; Giovannelli, A.; Beaulieu, M.; Delzon, S.; Rossi, S.; Rathgeber, C.B.K. How Do Drought and Warming Influence Survival and Wood Traits of Picea mariana Saplings? J. Exp. Bot. 2014, 66, 377–389. [Google Scholar] [CrossRef] [PubMed] [Green Version]
- Schwarz, J.; Skiadaresis, G.; Kohler, M.; Kunz, J.; Schnabel, F.; Vitali, V.; Bauhus, J. Quantifying Growth Responses of Trees to Drought—a Critique of Commonly Used Resilience Indices and Recommendations for Future Studies. Curr. For. Rep. 2020, 6, 185–200. [Google Scholar] [CrossRef]
- Węgiel, A.; Polowy, K. Aboveground Carbon Content and Storage in Mature Scots Pine Stands of Different Densities. Forests 2020, 11, 240. [Google Scholar] [CrossRef] [Green Version]
- Briffa, K.R.; Bartholin, T.S.; Eckstein, D.; Jones, P.D.; Karlén, W.; Schweingruber, F.H.; Zetterberg, P. A 1,400-Year Tree-Ring Record of Summer Temperatures in Fennoscandia. Nature 1990, 346, 434–439. [Google Scholar] [CrossRef]
- McCarroll, D.; Jalkanen, R.; Hicks, S.; Tuovinen, M.; Gagen, M.; Pawellek, F.; Eckstein, D.; Schmitt, U.; Autio, J.; Heikkinen, O. Multiproxy Dendroclimatology: A Pilot Study in Northern Finland. Holocene 2003, 13, 829–838. [Google Scholar] [CrossRef]
- Koprowski, M. Long-Term Increase of March Temperature Has No Negative Impact on Tree Rings of European Larch (Larix decidua) in Lowland Poland. Trees 2012, 26, 1895–1903. [Google Scholar] [CrossRef] [Green Version]
- Misi, D.; Náfrádi, K. Possibility of Identification of Negative Extreme Climatic Events Using Pinus sylvestris Tree-Rings in Transdanubia, Hungary. Dendrobiology 2016, 75, 45–54. [Google Scholar] [CrossRef] [Green Version]
- Durrant, T.H.; de Rigo, D.; Caudullo, G. Pinus sylvestris in Europe: Distribution, Habitat, Usage and Threats. In European Atlas of Forest Tree Species; San-Miguel-Ayanz, J., de Rigo, D., Caudullo, G., Durrant, T.H., Mauri, A., Eds.; Publication Office of the European Union: Luxembourg, 2016; p. 2. [Google Scholar]
- Richardson, D.M. Ecology and Biogeography of Pinus, 1st ed.; Cambridge University Press: New York, NY, USA, 2000. [Google Scholar]
- Martínez-Vilalta, J.; Pinol, J. Drought-Induced Mortality and Hydraulic Architecture in Pine Populations of the NE Iberian Peninsula. For. Ecol. Manag. 2002, 161, 247–256. [Google Scholar] [CrossRef]
- Eilmann, B.; Zweifel, R.; Buchmann, N.; Fonti, P.; Rigling, A. Drought-Induced Adaptation of the Xylem in Scots Pine and Pubescent Oak. Tree Physiol. 2009, 29, 1011–1020. [Google Scholar] [CrossRef] [PubMed] [Green Version]
- Hereş, A.-M.; Camarero, J.J.; López, B.C.; Martinez-Vilalta, J. Declining Hydraulic Performances and Low Carbon Investments in Tree Rings Predate Scots Pine Drought-Induced Mortality. Trees 2014, 28, 1737–1750. [Google Scholar] [CrossRef]
- Pellizzari, E.; Camarero, J.J.; Gazol, A.; Sangüesa-Barreda, G.; Carrer, M. Wood Anatomy and Carbon-Isotope Discrimination Support Long-Term Hydraulic Deterioration as A Major Cause of Drought-Induced Dieback. Glob. Chang. Biol. 2016, 22, 2125–2137. [Google Scholar] [CrossRef] [PubMed]
- Buras, A.; Menzel, A. Projecting Tree Species Composition Changes of European Forests for 2061–2090 Under RCP 4.5 and RCP 8.5 Scenarios. Front. Plant. Sci. 2019, 9, 1986. [Google Scholar] [CrossRef] [Green Version]
- Rivas-Martínez, S.; Rivas-Saenz, S.; Penas, A. Worldwide Bioclimatic Classification System; Backhuys Pub: Kerkwerve, The Netherlands, 2002. [Google Scholar]
- Zádorová, T.; Skála, J.; Žížala, D.; Vaněk, A.; Penížek, V. Harmonization of a Large-Scale National Soil Database with the World Reference Base for Soil Resources 2014. Geoderma 2021, 384, 114819. [Google Scholar] [CrossRef]
- Fries, J.; International Union of Forestry Research Organizations. Working Party S4.01. Growth Models for Tree and Stand Simulation: Proceedings of Meetings in 1973; Royal College of Forestry: Stockholm, Sweden, 1974. [Google Scholar]
- Schinker, M.G.; Hansen, N.; Spiecker, H. High-Frequency Densitometry-A New Method for the Rapid Evaluation of Wood Density Variations. IAWA J. 2003, 24, 231–239. [Google Scholar] [CrossRef]
- Zeller, L.; Ammer, C.; Annighöfer, P.; Biber, P.; Marshall, J.; Schütze, G.; Gaztelurrutia, M.D.R.; Pretzsch, H. Tree Ring Wood Density of Scots Pine and European Beech Lower in Mixed-Species Stands Compared with Monocultures. For. Ecol. Manag. 2017, 400, 363–374. [Google Scholar] [CrossRef]
- RINNTECH—Technology for Tree and Wood Analysis—Home. Available online: http://www.rinntech.de/index-28703.html (accessed on 16 February 2022).
- Wigley, T.M.L.; Briffa, K.R.; Jones, P.D. On the Average Value of Correlated Time Series, with Applications in Dendroclimatology and Hydrometeorology. J. Clim. Appl. Meteorol. 1984, 23, 201–213. [Google Scholar] [CrossRef]
- R: The R Project for Statistical Computing. Available online: https://www.r-project.org/ (accessed on 16 February 2022).
- Bunn, A.; Korpela, M.; Biondi, F.; Campelo, F.; Mérian, P.; Qeadan, F.; Zang, C.; Buras, A.; Cecile, J.; Mudelsee, M.; et al. dplR: Dendrochronology Program Library in R. 2021. Available online: https://CRAN.R-project.org/package=dplR (accessed on 16 February 2022).
- Chojnacka-Ozga, L.; Ozga, W. Air Temperature Anomalies in Experimental Forests in Rogów in 1924–2015. For. Res.Pap. 2018, 79, 37–44. [Google Scholar] [CrossRef] [Green Version]
- Duursma, R.A. Plantecophys—An R Package for Analysing and Modelling Leaf Gas Exchange Data. PLoS ONE 2015, 10, e0143346. [Google Scholar] [CrossRef]
- Grossiord, C.; Buckley, T.N.; Cernusak, L.A.; Novick, K.A.; Poulter, B.; Siegwolf, R.T.W.; Sperry, J.S.; McDowell, N.G. Plant Responses to Rising Vapor Pressure Deficit. New Phytol. 2020, 226, 1550–1566. [Google Scholar] [CrossRef] [PubMed] [Green Version]
- Bates, D.; Mächler, M.; Bolker, B.; Walker, S. Fitting Linear Mixed-Effects Models Using lme4. J. Stat. Softw. 2015, 67, 48. [Google Scholar] [CrossRef]
- Zang, C.; Biondi, F. Treeclim: An R Package for the Numerical Calibration of Proxy-Climate Relationships. Ecography 2015, 38, 431–436. [Google Scholar] [CrossRef]
- Biondi, F.; Waikul, K. DENDROCLIM2002: A C++ Program for Statistical Calibration of Climate Signals in Tree-Ring Chronologies. Comput. Geosci. 2004, 30, 303–311. [Google Scholar] [CrossRef]
- Steckel, M.; Heym, M.; Wolff, B.; Reventlow, D.; Pretzsch, H. Transgressive Overyielding in Mixed Compared with Monospecific Scots Pine (Pinus sylvestris L.) and Oak (Quercus robur L., Quercus petraea (Matt.) Liebl.) Stands—Productivity Gains Increase with Annual Water Supply. For. Ecol. Manag. 2019, 439, 81–96. [Google Scholar] [CrossRef]
- Paquette, A.; Messier, C. The Effect of Biodiversity on Tree Productivity: From Temperate to Boreal Forests. Glob. Ecol. Biogeogr. 2011, 20, 170–180. [Google Scholar] [CrossRef] [Green Version]
- Pretzsch, H.; Schütze, G.; Uhl, E. Resistance of European Tree Species to Drought Stress in Mixedversuspure Forests: Evidence of Stress Release by Inter-Specific Facilitation. Plant. Biol. 2013, 15, 483–495. [Google Scholar] [CrossRef]
- Merlin, M.; Perot, T.; Perret, S.; Korboulewsky, N.; Vallet, P. Effects of Stand Composition and Tree Size on Resistance and Resilience to Drought in Sessile Oak and Scots Pine. For. Ecol. Manag. 2015, 339, 22–33. [Google Scholar] [CrossRef] [Green Version]
- Toïgo, M.; Vallet, P.; Tuilleras, V.; Lebourgeois, F.; Rozenberg, P.; Perret, S.; Courbaud, B.; Perot, T. Species Mixture Increases the Effect of Drought on tree Ring Density, but Not on Ring Width, in Quercus petraea—Pinus sylvestris Stands. For. Ecol. Manag 2015, 345, 73–82. [Google Scholar] [CrossRef]
- Pretzsch, H.; Steckel, M.; Heym, M.; Biber, P.; Ammer, C.; Ehbrecht, M.; Bielak, K.; Bravo, F.; Ordóñez, C.; Collet, C.; et al. Stand Growth and Structure of Mixed-Species and Monospecific Stands of Scots Pine (Pinus sylvestris L.) and Oak (Q. robur L., Quercus petraea (Matt.) Liebl.) Analysed Along A Productivity Gradient through Europe. Eur. J. For. Res. 2020, 139, 349–367. [Google Scholar] [CrossRef] [Green Version]
- Caudullo, G.; Welk, E.; San-Miguel-Ayanz, J. Chorological Maps for the Main European Woody Species. Data Brief. 2017, 12, 662–666. [Google Scholar] [CrossRef]
- Misi, D.; Puchałka, R.; Pearson, C.; Robertson, I.; Koprowski, M. Differences in the Climate-Growth Relationship of Scots Pine: A Case Study from Poland and Hungary. Forests 2019, 10, 243. [Google Scholar] [CrossRef] [Green Version]
- Briffa, K.R.; Osborn, T.; Schweingruber, F.H.; Jones, P.D.; Shiyatov, S.G.; Vaganov, E. Tree-Ring Width and Density Data around the Northern Hemisphere: Part 1, Local and Regional Climate Signals. Holocene 2002, 12, 737–757. [Google Scholar] [CrossRef]
- Björklund, J.; Seftigen, K.; Schweingruber, F.; Fonti, P.; Arx, G.; Bryukhanova, M.V.; Cuny, H.E.; Carrer, M.; Castagneri, D.; Frank, D.C. Cell Size and Wall Dimensions Drive Distinct Variability of Earlywood and Latewood Density in Northern Hemisphere Conifers. New Phytol. 2017, 216, 728–740. [Google Scholar] [CrossRef] [PubMed] [Green Version]
- Camarero, J.J.; Fernández-Pérez, L.; Kirdyanov, A.V.; Shestakova, T.; Knorre, A.A.; Kukarskih, V.; Voltas, J. Minimum Wood Density of Conifers Portrays Changes in Early Season Precipitation at Dry and Cold Eurasian Regions. Trees 2017, 31, 1423–1437. [Google Scholar] [CrossRef] [Green Version]
- Wassenberg, M.; Montwé, D.; Kahle, H.-P.; Spiecker, H. Exploring High Frequency Densitometry Calibration Functions for Different Tree Species. Dendrochronologia 2014, 32, 273–281. [Google Scholar] [CrossRef]
- Wassenberg, M.; Schinker, M.; Spiecker, H. Technical Aspects of Applying High Frequency Densitometry: Probe-Sample Contact, Sample Surface Preparation and Integration Width of Different Dielectric Probes. Dendrochronologia 2015, 34, 10–18. [Google Scholar] [CrossRef]
Publisher’s Note: MDPI stays neutral with regard to jurisdictional claims in published maps and institutional affiliations. |
© 2022 by the authors. Licensee MDPI, Basel, Switzerland. This article is an open access article distributed under the terms and conditions of the Creative Commons Attribution (CC BY) license (https://creativecommons.org/licenses/by/4.0/).





