Next Article in Journal
Genome-Wide Identification and Expression Analysis of MYC Transcription Factor Family Genes in Rubber Tree (Hevea brasiliensis Muell. Arg.)
Previous Article in Journal
Trends in Forest Fire Occurrence in the Ilmensky Nature Reserve, Southern Urals, Russia, between 1948 and 2014
Previous Article in Special Issue
Comparison of Juvenile, Drought Tolerant Black Locust (Robinia pseudoacacia L.) Clones with Regard to Plant Physiology and Growth Characteristics in Eastern Hungary: Early Evaluation
 
 
Font Type:
Arial Georgia Verdana
Font Size:
Aa Aa Aa
Line Spacing:
Column Width:
Background:
Article

Above-Ground Biomass and Nutrient Accumulation in Ten Eucalyptus Clones in Leizhou Peninsula, Southern China

Research Institute of Tropical Forestry, Chinese Academy of Forestry, Guangzhou 510520, China
*
Author to whom correspondence should be addressed.
Forests 2022, 13(4), 530; https://doi.org/10.3390/f13040530
Submission received: 17 January 2022 / Revised: 24 March 2022 / Accepted: 28 March 2022 / Published: 29 March 2022
(This article belongs to the Special Issue Agroforestry Systems for Timber and Woody Biomass Production)

Abstract

:
Selecting suitable clones and regulating nutrients for Eucalyptus plantation are a key management practice for improving productivity and nutrient use. Therefore, this study evaluated growth performance, above-ground biomass, nutrient content (nitrogen, phosphorus, potassium, calcium, and magnesium) and nutrient use efficiency (NUE) of ten Eucalyptus Clones for three sites in Leizhou Peninsula. The present study showed a significant genetic variation among clones in growth parameters. Organs have different characteristics in biomass and nutrient content. Stemwood had the highest biomass but lowest total nutrient concentration. While, the stembark exhibited high contents of nutrients and biomass. On average, the NUE of clones was in the following order: phosphorus > magnesium > nitrogen > potassium > calcium. Taken together, among ten clones tested, clones LH1-9211, TH9224, DH32-13, M1 and DH32-22 showed consistently growth and production performance, as well, their NUE were superior in ten clones. Maximum amount of biomass was allocated to economically harvestable component (stemwood) and nutrients in non-harvestable components (stembark and foliage). While nutrients are removed from the planting area as part of the harvest, we can calculate nutrients loss by NUE and biomass. These findings provided useful insights for selection of Eucalyptus Clones and regulating nutrient export during the harvest of Eucalyptus Clones from a planted forest system.

1. Introduction

As global demand for wood increases and reduction in timber supply of natural forests, planted forests will play a vital role in shortage of wood raw material and protection of natural forests [1]. Without using superior genetic clones, the yield of traditional forest plantations was likely low and uneven quality. Genetic improvement of forest trees could obtain locally-adapted clones which character of higher production, stress tolerance etc. [2]. Therefore, studies of clonal propagation have been made toward in many tree species [3], including Populus [4,5], Eucalyptus [6,7], Pinus taeda L. [8], Pinus radiata D.Don [9], Picea asperata Mast. [10], Cunninghamia lanceolata (Lamb.) Hook. [11], Tectona grandis L.F. [12], Salix babylonica L. [13].
Quantification of forest biomass can determinate the production potential, predict forest yields [14]. Nutrients, one of largely foundations of biomass production, play a vital role in forestry system management [15]. Consequently, in order to develop proper approaches of nutrient management for improving biomass production, it is necessary to understand the nutrient accumulation and storage characteristics in planted forests. Meanwhile, much effort has been put into choosing species that achieve maximum biomass production for a given location by maximizing the uptake of nutrients has been made in many efforts [16,17].
Eucalypts, a kind of fast-growing trees, are the most widely cultivated forest trees in the world [1]. These fast-growing plantations, annual growth rates that routinely exceed 35 m3·ha−1·year−1, are widely used in pulp, fuel and solid wood products [18]. China, the third largest area of Eucalypt plantations, produced about 30 million m3 of Eucalypt wood, for a grand total of 27% annual timber output [19]. Eucalyptus sp. highest productivity rates up to 49 m3·ha−1·year−1, while the mean yield in China is about 20 m3·ha−1·year−1 [20]. Therefore, proper genotype selection and planting proper trees in proper areas are effective ways to improve productivity of Eucalyptus in China. Wood harvest, the main nutrient loss in the Eucalyptus forests land, may lead to declining Eucalyptus productivity and sustainability [18,21]. Biomass productivity and site nutrient removal must be appreciated. Thus, researchers in Brazil, India, Australia, Congo and elsewhere have done a lot of researches in order to maintain or increase productivity of Eucalyptus in a sustainable approach through the selection of genotypes and using suitable strategies of plantation management [17,22,23,24]. Related researches have also been done by Chinese researchers [25,26]. However, research in Leizhou Peninsula, the main planting area in China, has not been reported.
In this paper, we present the results of a study on growth performance, eucalypt above-ground biomass, nutrient content (nitrogen, phosphorus, potassium, calcium, and magnesium) and nutrient use efficiency (NUE) for three representative sites in Leizhou Peninsula. The objectives were to: (i) examine the clonal variation in growth and biomass production. (ii) understand the allocation pattern of biomass and nutrients in tree components. (iii) determine the nutrient use efficiency in ten Eucalyptus genotypes. (iv) identify possible Eucalyptus selections suitable for use in this region of Leizhou Peninsula. The study will provide useful insights for selection of Eucalyptus Clones and regulation of nutrient export during the harvest of Eucalyptus Clones from a plantation system.

2. Materials and Methods

2.1. Trial Description

Three plantations were established on Leizhou Peninsula, China. The locations and descriptions of the three clonal trials are presented in Table 1. Ten hybrid eucalypt clones were planted in April–May 2012 and most of them were widely used in southern China, especially for hybrids of E. urophylla and E. grandis. Clones were derived from a number of different species including E. urophylla, E. grandis, Eucalyptus camaldulensis Dehnh, Eucalyptus tereticornis Sm. (Table 2). The formerly widely planted U6 clone which was bred in early 1990s was used as a check (CK) comparison. Randomized complete block design with three replications and 10 treatments (Eucalypt clones) respectively, was used to set up at Wuchuan, Tangjia and Suixia. All saplings were planted at spacing of 3.0 m × 2.0 m and planting pits (50 cm × 50 cm × 40 cm) were prepared. In order to grow well, one kilogram Norwegian compound fertilizer (N15P15K15, Yara International, Oslo, Norway) was applied to each individual tree in the first two years.

2.2. Tree Growth and Biomass of Living Plants

Data on survival, Diameter at Breast Height (DBH), height and biomass were collected at the logging age of 6 years in 2018. Thirty trees per clone (three trees at least in three replicates distributed throughout nine basal area classes defined from the inventory) were cut down, and the major components were isolated: stemwood, stembark, branches, foliage. Fresh weights of these components of thirty trees were determined in Eucalyptus plantations. All component samples were oven dried at 70 °C to a constant weight. The hectare biomass was calculated by individual tree biomass [15].

2.3. Chemical Sample Analyses

The same organ samples from the same plot were mixed together as one sample. Nine replicate samples were applied to each clone. Before the chemical analyses, every sample was dried at 70 °C, ground and homogenised. Total N was analysed by acid-base volumetry after Kjeldahl mineralization [27]. P was determined by cold-colorimetry from the Murphy and Rileyreagents [28]. K, Ca and Mg were analysed by atomic absorption spectrophotometry [29,30].

2.4. Nutrient Use Efficiency (NUE)

The values of nutrient use efficiency (NUE) were obtained by dividing the amount of biomass of each component and the amount of nutrient from each biomass component, according to the equation [14]:
NUE = ( Amount   of   biomass ) ( Amount   of   nutrient )
where: NUE; biomass (kg·ha−2); nutrient (kg·ha−2). Nutrient amount (kg·ha−2) was obtained by multiplying nutrient concentrations (kg·kg−1) and biomass (kg·ha−2).

2.5. Statistical Analysis

All data on tree survival, Diameter at Breast Height (DBH), height and biomass were analyzed using a two-way analysis of variance (ANOVA). Whenever the ANOVA indicated a significant difference between the means (p < 0.05), these were compared using the least significant difference (LSD) starting from the multiple range test (Tukey HSD) for mean separation analysis. The statistical program used in the analyses was SPSS (SPSS software version 23.0, Chicago, IL, USA).

3. Results

3.1. Growth Performance

Diagrams of stem analysis showed the growth patterns of diameter and height for ten Eucalyptus Clones. The diameter and height growth performance were different among ten clones (Figure 1).
Furthermore, the results of growth performance evaluation of these clones at the time of felling were carried out for height, diameter at breast height and survival (Figure 2). As shown in Figure 2A, the highest value of height belonged to clone LH1-9211 (17.46 m) followed by TH9224 (16.51 m), DH32-13 (16.48 m) and SH1 (16.39 m). The lowest values belonged to clone DH32-26 (13.19 m), U6 (13.02 m), DH201-2 (12.47 m). Clones LH1-9211, TH9224, DH32-13, SH1, M1 and DH32-22 achieved significantly higher height compared to the other eucalypt clones.
Results showed that DBH varied between 9.15 and 12.57 cm (Figure 2B). Maximum DBH was attained by clone DH32-13. The lowest values belonged to clone DH201-2. The DBH of DH32-13, LH1-9211, DH32-22, M1 and TH9224 were significantly higher than others.
Survival rate ranging from 78.93 % to 98.09 % among ten clones (Figure 2C). Clones M1, LH1-9211, SH1, TH9224, DH32-13 and U6 had a survival rate of more than 90%.

3.2. Biomass Accumulation and Distribution

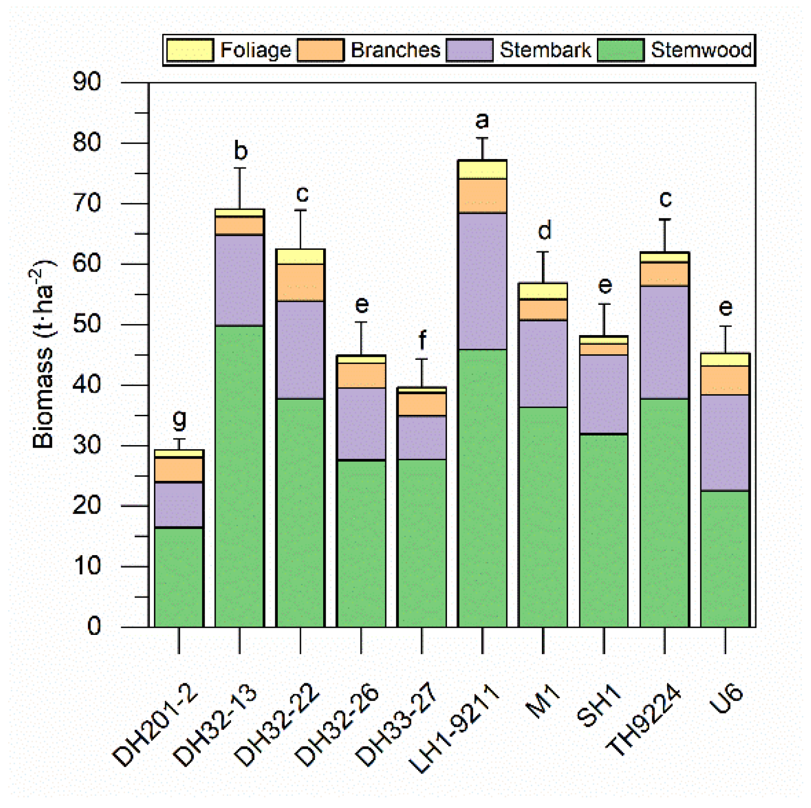
Total biomass differed significantly among clones, and ranged from 29.30 to 77.15 t·ha−2 (Figure 3). The total biomass in different clones followed the order: LH1-9211, DH32-13, DH32-22, TH9224, M1, SH1, U6, DH32-26, DH33-27 and DH201-2. The best clone LH1-9211 produced 60.59%, 70.45%, 72.08%, 56.46% and 111.33% more than clones SH1, U6, DH32-26, DH33-27 and DH201-2, respectively. Clones LH1-9211, DH32-13, DH32-22, TH9224 and M1 achieved significantly higher total biomass compared to the rest of eucalypt clones.
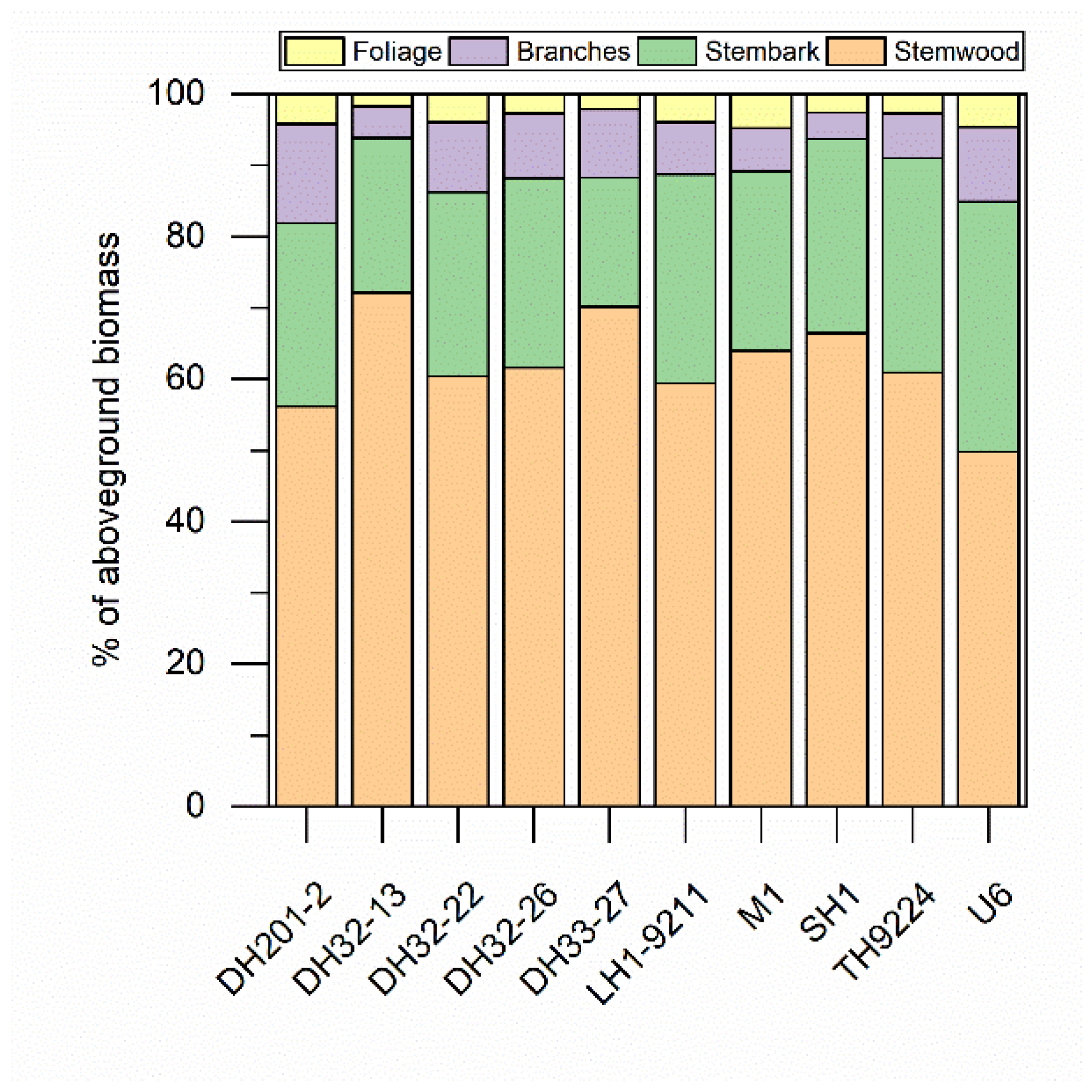
In all clones, the biomass was mainly accumulated in the stemwood, which accounted for 49.83% to 72.05% of the total biomass (Figure 4). The five clones with the highest ratio of stemwood biomass to total biomass were DH32-13, DH33-27, SH1, M1 and DH32-26. The percentage contribution of stem bark to the total biomass ranged from 18.12% to 35.05%, while that of branches were generally low, 3.73–13.99%. The contribution of foliage to the total biomass was ≤4.76%. As a whole, the biomass distribution among different tree components was as follows: stemwood > stembark > branches > foliage.

3.3. Nutrient Concentration and Content

Nutrient concentrations varied according to tree components (Table 3). At all clones, N, P, K, and Mg were concentrated in leaves, while Ca was concentrated in stembark. Total nutrient concentration is generally in the following order: foliage > stembark > branches > stemtwood. The concentrations of N, P, K and Mg in foliage were 21.85, 18.64, 16.17, and 18.80 times in the stemtwood, respectively. The amount of calcium in the stembark was 42.03 times that in the stemtwood. In general, there were little differences in nutrient concentrations among clones in each organ.
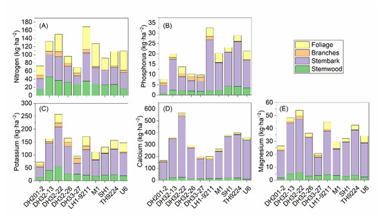
Nutrient contents varied between genotypes and between different components within genotype (Figure 5). On average, nutrient contents of above ground woody biomass were accumulated in the biomass 112.64 kg·ha−2 of N, 18.76 kg·ha−2 of P, 147.08 kg·ha−2 of K, 316.89 kg·ha−2 of Ca and 36.90 kg·ha−2 of Mg, with the following order for nutrients Ca > N > K > Mg > P. The highest amounts of N and P were found in clone LH1-9211. The highest amounts of K, Ca and Mg were found in clone DH32-22, and the lowest amounts were found in clone DH201-2.
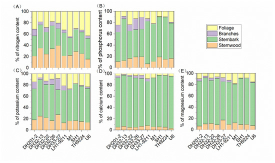
Analyzing the total amounts of nutrients allocated in the biomass (Figure 6), it is observed that, among the genotypes, the stembark had the highest concentrations of nutrients and the branches the lowest concentrations, while the stemwood and foliage exhibited intermediate values. The stembark had the highest concentrations of nutrients. The contents of each component in nitrogen were stembark (30.19–41.56%), foliage (17.94–44.14%), stem wood (15.46–39.42%) and branches (1.76–12.03%) in order. The contents of each component in phosphorus were as follows stembark (52.52–75.52%) > foliage (17.94–44.14%) > stem wood (15.46–39.42%) > branches (1.76–12.03%). The contents of each component in potassium were stembark (44.47–65.23%), stem wood (12.79–27.15%), foliage (9.60–24.36%) and branches (0.73–20.95%) in order. The contents of each component in calcium were as follows stembark (78.39–92.23%) > stemwood (2.75–7.77%) > foliage (1.47–9.10%) > branches (0.18–5.93%). The contents of each component in magnesium were stembark (68.35–82.30%), foliage (5.01–18.33%), stem wood (6.31–16.91%), and branches (0.41–7.11%) in order.

3.4. Nutrient Use Efficiency

Genotypes showed variations in different nutrients of NUE (Table 4). On average, the NUE was in the following order: phosphorus > magnesium > nitrogen > potassium > calcium. In the case of nitrogen use efficiency, clones DH32-13, DH 33-27, SH1, TH9224 were significantly higher than others. The highest value of phosphorus use efficiency belonged to clone DH32-22, DH32-26, DH33-27. The clones of DH32-13, DH33-27, LH1-9211 and M1 recorded the highest value in potassium use efficiency. The magnitude of calcium use efficiency, in decreasing order, was as follows: LH1-9211 > M1 > DH33-27 > DH32-13 > DH201-2 > TH9224 > DH32-26 > U6 > SH1 > DH32-22. In the case of magnesium use efficiency, clones DH33-27, M1 were significantly higher than others.

4. Discussion

4.1. Growth Performance and Biomass Production of Ten Eucalyptus Clones

Genotype selection of Eucalyptus based on its growth performance and wood production. The present study showed a significant genetic variation among clones in growth and biomass parameters. Those different performance may be attributed to genotypes and interactions with environmental factors [22] and it can be candidate for future plantations by selecting excellent clones [15].
The tree height of 6-year-old Eucalyptus ranged from 12.47 to 17.46 m, DBH varied between 9.15 and 12.57 cm, survival rate ranged from 78.93 % to 98.09 %. Similar to the growth of Eucalyptus trees studied by Dlamini et al. [31]. and Guzmán et al. [32].
Among ten clones tested, clone LH1-9211 showed consistently higher growth, larger DBH and higher survival. Clones TH9224, DH32-13, M1 and DH32-22 also exhibited larger DBH and higher survival. Xu et al. [33] studied the growth performance of 19 clones of Eucalyptus at Hainan, China. Clones TH9113, TH9117, TH9211 and TH9224 were recorded significantly higher height growth as compared to other clones. Similarly, Cao et al. [34] evaluated different clones of Eucalyptus for different growth characters. Further, they identified Clone M1, Clone GL9 and DH32-22 as superior genotypes than others. Such hereditary stability is appropriate for further selection and application in Leizhou Peninsula [22], even in southern China.
Here, the above-ground biomass of 6-year-old Eucalyptus ranged from 29.30 to 77.15 t·ha−2. Such report was also recorded by several researchers on different Eucalyptus species [35,36]. The above-ground portion of the Eucalyptus tree is the main part of the timber harvest [37]. The greater the abovementioned biomass, the more abundant the available timber resources for industrial use. Results showed that clones LH1-9211, DH32-13, DH32-22, TH9224 and M1 had a larger biomass production.
Overall, Clones LH1-9211, TH9224, DH32-13, M1 and DH32-22 exhibited well growth and high biomass. Cultivating these Eucalyptus Clones is an excellent option causing its outstanding growth, high biomass production and early harvest within six years.

4.2. The Allocation Pattern of Biomass and Nutrients in Tree Components

In our study, the greatest contribution to total biomass was from the stemwood, followed by the stembark, branches, and foliage. The relative distribution of biomass, considering the same components, was in line with several previous findings [38,39]. As the canopy reaches a phase of relative stability, the stemwood becomes one of the main sink for photosynthetic products [40], it accounts for most of a tree’s nonstructural carbohydrates stock.
Nutrient concentrations (N, P, K and Mg) in different components of clones were in the order of: foliage > stembark > branches > stemtwood. While Ca was more concentrated in stembark. Higher nutrient concentrations mean vigorous growth in different organs. This same trend was also reported in E. urograndis at 1.5 years in Brazil [38]. Clones have differential nutrient requirements which result in significant variation in nutrient concentrations between eucalypts [15]. The standing state of N, P, K, Ca and Mg in different components of eucalypts clones are comparable to the broad range reported in different eucalypts clones by Couto et al. [17].
Soil nutrient condition and sustained production have become an important consideration in eucalypts plantations, where nutrients are removed through frequent harvests [41]. Heavy nutrient loss has an adverse impact on long-term site quality and sustained production [15]. The harvest of eucalypts clones at six years age will drain about 112.64 kg·ha−2 of N, 18.76 kg·ha−2 of P, 147.08 kg·ha−2 of K, 316.89 kg·ha−2 of Ca and 36.90 kg·ha−2 of Mg, if above-ground trees are harvested. Among the genotypes, the stembark had the highest concentrations of nutrients and the branches the lowest concentrations, while the stemwood and foliage exhibited intermediate values.
As commercial component (stem) was harvested, and non-timber purposes (foliage, branches and stembark) were left in plantation, plenty of nutrients will be returned to the site. Nutrient management, logging slash remained will help to compensate for nutrient losses under eucalypts plantation [15].

4.3. The Nutrient Use Efficiency in Eucalyptus Clones

Our results showed the NUE of clones was in the following order: phosphorus > magnesium > nitrogen > potassium > calcium. Globally, phosphorus limits productivity of trees in many forests and plantations. The high efficiency means lower nutritional requirement by a species, therefore, improving NUE is one of the strategies for plants to adapt to nutrient deficiency [14]. In all clones, phosphorus use efficiency was more than two thousand, and magnesium use efficiency was beyond one thousand. Such results were reported by Santana et al. [42] and Santos et al. [14]. It is one of the important strategies for plants to adapt to nutrient deficiency. In our study, on the whole, clones DH32-13, DH32-22, DH33-27, LH1-9211, M1 and TH9224 had better performance in NUE.
In summary, in a short-rotation, high-yield eucalypts plantation system where nutrients removed may exceed natural nutrient inputs [43], those clones could become an important option of afforestation. Meanwhile, NUE provides an indication of the amounts of nutrients exported at the harvest [23]. Thus, this parameter become effective parameter for estimating nutrients requirements since biomass production is known [44].

5. Conclusions

Among ten clones tested, clones LH1-9211, TH9224, DH32-13, M1 and DH32-22 showed consistent growth and production performance, as well, their NUE were superior. Hence, it means that these several Eucalyptus Clones can be selected in the Leizhou peninsula, southern China. Maximum amount of biomass was allocated in economically harvestable component (stemwood) and nutrients in non-harvestable components (stembark and foliage). Such allocational patterns will reduce the nutrient loss from the site at the harvest of Eucalyptus. Further, it is suggested to retain foliage and branches and also debarking of stems should be done before removing the timber from site in order to minimize nutrient losses. Finally, nutrients are removed from the planting area as part of the harvest, we can calculate nutrients content by NUE and biomass. Forest managers could return soil nutrients through fertilization to maintain productivity of eucalypts plantation. These findings provide an applied work to be valuable for industrial forestry.

Author Contributions

Conceptualization, P.Z., Z.C. and D.X.; data curation, P.Z. and X.L.; funding acquisition, Z.C. and D.X.; investigation, P.Z., Z.C. and X.L.; methodology, Z.C. and D.X.; project administration, Z.C. and D.X.; visualization, P.Z. and X.L.; writing-original draft preparation, P.Z.; writing-review and editing, Z.C. and D.X. All authors have read and agreed to the published version of the manuscript.

Funding

This work was financially supported by the Natural Science Foundation of Guangdong Province, China (2021A1515011104) and Forestry Science and Technology Innovation Project in Guangdong province (2020KJCX007).

Data Availability Statement

All data are provided in the manuscript.

Acknowledgments

The authors would like to thank, Wuchuan Forestry Farm, Tangjia Forestry Farm and Suixi Forestry Farm for study area providing and help with biomass sampling.

Conflicts of Interest

The authors declare no conflict of interest.

References

  1. Brockerhoff, E.G.; Jactel, H.; Parrotta, J.A.; Ferraz, S.F. Role of eucalypt and other planted forests in biodiversity conservation and the provision of biodiversity-related ecosystem services. For. Ecol. Manag. 2013, 301, 43–50. [Google Scholar] [CrossRef]
  2. Kopp, R.F.; Smart, L.B.; Maynard, C.A.; Isebrands, J.G.; Tuskan, G.A.; Abrahamson, L.P. The development of improved willow clones for eastern North America. For. Chron. 2001, 77, 287–292. [Google Scholar] [CrossRef] [Green Version]
  3. Wu, S.; Xu, J.; Li, G.; Risto, V.; Du, Z.; Lu, Z.; Wang, W. Genotypic variation in wood properties and growth traits of Eucalyptus hybrid clones in southern China. New For. 2011, 42, 35–50. [Google Scholar] [CrossRef]
  4. Zhang, S.Y.; Yu, Q.; Chauret, G.; Koubaa, A. Selection for both growth and wood properties in hybrid poplar clones. For. Sci. 2003, 49, 901–908. [Google Scholar]
  5. Hernandez, R.E.; Koubaa, A.; Beaudoin, M.; Fortin, Y. Selected mechanical properties of fast-growing poplar hybrid clones. Wood Fiber. Sci. 1998, 30, 138–147. [Google Scholar]
  6. Griffin, A.R. Clones or improved seedlings of Eucalyptus? Not a simple choice. Int. For. Rev. 2014, 16, 216–224. [Google Scholar] [CrossRef]
  7. Gallo, R.; Pantuza, I.B.; dos Santos, G.A.; de Resende, M.D.V.; Xavier, A.; Simiqueli, G.F.; Valente, B.M.D.R.T. Growth and wood quality traits in the genetic selection of potential Eucalyptus dunnii Maiden clones for pulp production. Ind. Crop Prod. 2018, 123, 434–441. [Google Scholar] [CrossRef]
  8. Villacorta, A.M.G.; Martin, T.A.; Jokela, E.J.; Cropper, W.P., Jr.; Gezan, S.A. Variation in biomass distribution and nutrient content in loblolly pine (Pinus taeda L.) clones having contrasting crown architecture and growth efficiency. For. Ecol. Manag. 2015, 342, 84–92. [Google Scholar] [CrossRef]
  9. Lindström, H.; Harris, P.; Sorensson, C.T.; Evans, R. Stiffness and wood variation of 3-year-old Pinus radiata clones. Wood Sci. Technol. 2004, 38, 579–597. [Google Scholar] [CrossRef]
  10. Bergmann, F.; Ruetz, W. Isozyme genetic variation and heterozygosity in random tree samples and selected orchard clones from the same Norway spruce populations. For. Ecol. Manag. 1991, 46, 39–47. [Google Scholar] [CrossRef]
  11. Ma, C.; Zhou, T.; Xu, J. A preliminary study on genetic control of growth traits and early selection of Chinese fir (Cunninghamia lanceolata Hook) clones. Sci. Silvae Sin. 2000, 36 (Suppl. 1), 62–69. [Google Scholar]
  12. Shukla, S.R.; Rao, R.V.; Shashikala, S.; Kumar, P.; Sharma, S.K. Wood quality variation in Tectona grandis (teak) clones from CSO raised at Maredumilli (Rajahmundry), Andhra Pradesh. J. Indian Acad. Wood Sci. 2011, 8, 116–119. [Google Scholar] [CrossRef]
  13. Gupta, A.; Singh, N.B.; Choudhary, P.; Sharma, J.P.; Sankhayan, H.P. Estimation of genetic variability, heritability and genetic gain for wood density and fibre length in 36 clones of white willow (Salix alba L.). Int. Agric. Biol. 2014, 7, 299. [Google Scholar] [CrossRef]
  14. Dos Santos, K.F.; Schumacher, M.V.; Ludvichak, A.A.; de Araújo, E.F. Biomass and stock of nutrients in different genotypes of eucalypts in Southern Brazil. J. Exp. Agric. Int. 2019, 15, 1–12. [Google Scholar] [CrossRef]
  15. Swamy, S.L.; Mishra, A.; Puri, S. Comparison of growth, biomass and nutrient distribution in five promising clones of Populus deltoides under an agrisilviculture system. Bioresour. Technol. 2006, 97, 57–68. [Google Scholar] [CrossRef]
  16. Guo, L.B.; Sims, R.E.H.; Horne, D.J. Biomass production and nutrient cycling in Eucalyptus short rotation energy forests in New Zealand: I: Biomass and nutrient accumulation. Bioresour. Technol. 2002, 85, 273–283. [Google Scholar] [CrossRef]
  17. Do Couto Guimarães, C.; Momolli, D.R.; de Souza, H.P.; Schumacher, M.V.; Ludvichak, A.A.; Malheiros, A.C. Biomass Production and Nutritional Characterization of Eucalyptus benthamii in the Pampa Biome, Brazil. J. Exp. Agric. Int. 2019, 15, 1–9. [Google Scholar]
  18. Medeiros, P.L.; Silva, G.G.C.; Oliveira, E.M.M.; Ribeiro, C.O.; Silva, J.M.S.; Pimenta, A.S. Efficiency of nutrient use for biomass production of a Eucalyptus clone as a function of planting density in short-rotation cropping. Aust. For. 2020, 83, 66–74. [Google Scholar] [CrossRef]
  19. Xie, Y.; Arnold, R.J.; Wu, Z.; Chen, S.; Du, A.; Luo, J. Advances in eucalypt research in China. Front. Agric. Sci. Eng. 2017, 4, 380–390. [Google Scholar] [CrossRef] [Green Version]
  20. Wu, S.; Zhu, Y.; Xu, J.; Lu, Z.; Chen, G.; Song, P.; Guo, W. Genetic variation and genetic gain for energy production, growth traits and wood properties in Eucalyptus hybrid clones in China. Aust. For. 2017, 80, 57–65. [Google Scholar] [CrossRef]
  21. De Dieu Nzila, J.; Bouillet, J.P.; Laclau, J.P.; Ranger, J. The effects of slash management on nutrient cycling and tree growth in Eucalyptus plantations in the Congo. For. Ecol. Manag. 2002, 171, 209–221. [Google Scholar] [CrossRef]
  22. Varghese, M.; Harwood, C.E.; Bush, D.J.; Baltunis, B.; Kamalakannan, R.; Suraj, P.G.; Meder, R. Growth and wood properties of natural provenances, local seed sources and clones of Eucalyptus camaldulensis in southern India: Implications for breeding and deployment. New For. 2017, 48, 67–82. [Google Scholar] [CrossRef]
  23. Safou-Matondo, R.; Deleporte, P.; Laclau, J.P.; Bouillet, J.P. Hybrid and clonal variability of nutrient content and nutrient use efficiency in Eucalyptus stands in Congo. For. Ecol. Manag. 2005, 210, 193–204. [Google Scholar] [CrossRef]
  24. Pima, N.E.; Chamshama, S.A.O.; Iddi, S.; Maguzu, J. Growth performance of Eucalypt Clones in Tanzania. Environ. Ecol. Res. 2016, 4, 146–154. [Google Scholar] [CrossRef] [Green Version]
  25. Qiu, Q.; Yun, G.; Zuo, S.; Yan, J.; Hua, L.; Ren, Y.; Chen, Q. Variations in the biomass of Eucalyptus plantations at a regional scale in Southern China. J. For. Res. 2018, 29, 1263–1276. [Google Scholar] [CrossRef]
  26. Arnold, R.J.; Xie, Y.J.; Luo, J.Z.; Wang, H.R.; Midgley, S.J. A tale of two genera: Exotic Eucalyptus and Acacia species in China. 1. Domestication and research. Int. For. Rev. 2020, 22, 1–18. [Google Scholar] [CrossRef]
  27. Mikiciuk, G.; Chełpiński, P.; Mikiciuk, M.; Możdżer, E.; Telesiński, A. The Effect of Methyl Anthranilate-Based Repellent on Chemical Composition and Selected Physiological Parameters of Sweet Cherry (Prunus avium L.). Agronomy 2021, 11, 256. [Google Scholar] [CrossRef]
  28. Qian, P.; Schoenaru, J.J.; Karamanos, R.E. Simultaneous extraction of available phosphorus and potassium with a new soil test: A modification of Kelowna extraction. Commun. Soil Sci. Plan. 1994, 25, 627–635. [Google Scholar] [CrossRef]
  29. Laclau, J.P.; Bouillet, J.P.; Ranger, J. Dynamics of biomass and nutrient accumulation in a clonal plantation of Eucalyptus in Congo. For. Ecol. Manag. 2000, 128, 181–196. [Google Scholar] [CrossRef]
  30. Hernández, O.M.; Fraga, J.M.G.; Jiménez, A.I.; Jimenez, F.; Arias, J.J. Characterization of honey from the Canary Islands: Determination of the mineral content by atomic absorption spectrophotometry. Food. Chem. 2005, 93, 449–458. [Google Scholar] [CrossRef]
  31. Dlamini, L.N.; Pipatwattanakul, D.; Maelim, S. Growth variation and heritability in a second-generation Eucalyptus urophylla progeny test at Lad Krating Plantation, Chachoengsao province, Thailand. Agric. Nat. Resour. 2017, 51, 158–162. [Google Scholar] [CrossRef]
  32. Guzmán, P.; Gil, L.; Tadesse, W. Variation in growth traits and survival of landraces of Eucalyptus globulus Labill. in the Ethiopian highlands. For. Syst. 2013, 22, 401–407. [Google Scholar] [CrossRef] [Green Version]
  33. Xu, J.M.; Lu, Z.H.; Bai, J.Y. Selected on Eucalyptus clone in North-western region of Hainan Island. Eucalypt Sci. Technol. 2004, 21, 1–6. (In Chinese) [Google Scholar]
  34. Cao, J.G.; Luo, J.Z.; Lu, W.H. Cluster Analysis on Growth Trait of 6-year-old Eucalypt Clone Stands. Eucalypt Sci. Technol. 2012, 29, 37–40. (In Chinese) [Google Scholar]
  35. Muñoz, F.; Rubilar, R.; Espinosa, M.; Cancino, J.; Toro, J.; Herrera, M. The effect of pruning and thinning on above ground aerial biomass of Eucalyptus nitens (Deane & Maiden) Maiden. For. Ecol. Manag. 2008, 255, 365–373. [Google Scholar]
  36. Zewdie, M.; Olsson, M.; Verwijst, T. Above-ground biomass production and allometric relations of Eucalyptus globulus Labill. coppice plantations along a chronosequence in the central highlands of Ethiopia. Biomass Bioenergy 2009, 33, 421–428. [Google Scholar] [CrossRef]
  37. Forrester, D.I.; Bauhus, J.; Cowie, A.L. On the success and failure of mixed-species tree plantations: Lessons learned from a model system of Eucalyptus globulus and Acacia mearnsii. For. Ecol. Manag. 2005, 209, 147–155. [Google Scholar] [CrossRef]
  38. Garrett, L.G.; Smith, C.T.; Beets, P.N.; Kimberley, M.O. Early rotation biomass and nutrient accumulation of Pinus radiata forests after harvest residue management and fertiliser treatment on contrasting types of soil. For. Ecol. Manag. 2021, 496, 119426. [Google Scholar] [CrossRef]
  39. Cannon, C.; Gonzalez-Benecke, C.; Wightman, M. Plant derived tissue and soil nutrient concentration for plantations of four conifer species growing under different site and vegetation management conditions. For. Ecol. Manag. 2021, 494, 119300. [Google Scholar] [CrossRef]
  40. Alifragis, D.; Smiris, P.; Maris, F.; Kavvadias, V.; Konstantinidou, E.; Stamou, N. The effect of stand age on the accumulation of nutrients in the aboveground components of an Aleppo pine ecosystem. For. Ecol. Manag. 2001, 141, 259–269. [Google Scholar] [CrossRef]
  41. Hopmans, P.; Stewart, H.T.L.; Flinn, D.W. Impacts of harvesting on nutrients in a eucalypt ecosystem in southeastern Australia. For. Ecol. Manag. 1993, 59, 29–51. [Google Scholar] [CrossRef]
  42. Santana, R.C.; Barros, N.F.; Comerford, N.B. Above-ground biomass, nutrient content, and nutrient use efficiency of eucalypt plantations growing in different sites in Brazil. N. Z. J. For. Sci. 2000, 30, 225–236. [Google Scholar]
  43. Wang, D.; Bormann, F.H.; Lugo, A.E.; Bowden, R.D. Comparison of nutrient-use efficiency and biomass production in five tropical tree taxa. For. Ecol. Manag. 1991, 46, 1–21. [Google Scholar] [CrossRef]
  44. Vance, E.D.; Maguire, D.A.; Zalesny, R.S., Jr. Research strategies for increasing productivity of intensively managed forest plantations. J. For. 2010, 108, 183–192. [Google Scholar]
Figure 1. Diagram of stem analysis for ten Eucalyptus Clones. (1) to (10) represent ten Eucalyptus Clones DH201-2, DH32-13, DH32-22, DH32-26, DH32-27, LH1-9211, M1, SH1, TH9224, U6 respectively.
Figure 1. Diagram of stem analysis for ten Eucalyptus Clones. (1) to (10) represent ten Eucalyptus Clones DH201-2, DH32-13, DH32-22, DH32-26, DH32-27, LH1-9211, M1, SH1, TH9224, U6 respectively.
Forests 13 00530 g001
Figure 2. Growth performance of ten Eucalyptus Clones. Significant differences within each variable among clones were tested using Tukey’s HSD test (0.05 level); different small letters denote differences in means among clones. (A) Height, (B) diameter at breast height, (C) survival.
Figure 2. Growth performance of ten Eucalyptus Clones. Significant differences within each variable among clones were tested using Tukey’s HSD test (0.05 level); different small letters denote differences in means among clones. (A) Height, (B) diameter at breast height, (C) survival.
Forests 13 00530 g002
Figure 3. Biomass content of various tree components for ten Eucalyptus Clones. Significant differences within each variable among clones were tested using Tukey’s HSD test (0.05 level); different small letters denote differences in means among clones.
Figure 3. Biomass content of various tree components for ten Eucalyptus Clones. Significant differences within each variable among clones were tested using Tukey’s HSD test (0.05 level); different small letters denote differences in means among clones.
Forests 13 00530 g003
Figure 4. Biomass distribution patterns among various tree components for ten Eucalyptus Clones.
Figure 4. Biomass distribution patterns among various tree components for ten Eucalyptus Clones.
Forests 13 00530 g004
Figure 5. Nutrients content of various tree components for ten Eucalyptus Clones. (A) Nitrogen contents, (B) phosphorus contents, (C) potassium contents, (D) calcium contents, (E) magnesium contents.
Figure 5. Nutrients content of various tree components for ten Eucalyptus Clones. (A) Nitrogen contents, (B) phosphorus contents, (C) potassium contents, (D) calcium contents, (E) magnesium contents.
Forests 13 00530 g005
Figure 6. Nutrients distribution patterns among various tree components for ten Eucalyptus Clones. (A) Nitrogen contents, (B) phosphorus contents, (C) potassium contents, (D) calcium contents, (E) magnesium contents.
Figure 6. Nutrients distribution patterns among various tree components for ten Eucalyptus Clones. (A) Nitrogen contents, (B) phosphorus contents, (C) potassium contents, (D) calcium contents, (E) magnesium contents.
Forests 13 00530 g006
Table 1. Study area description.
Table 1. Study area description.
Site CharacteristicsSites
WuchuanTangjiaSuixi
Latitude21°18′37′′ N20°50′01′′ N21°21′81′′ N
Longitude110°31′13′′ E109°51′76′′ E110°01′66′′ E
Altitude (m)343140
Mean annual rainfall (mm)1597.81787.51759.4
Mean temperature (°C)22.523.723.5
Soil textureHaplic acrisolsHaplic acrisolsHaplic acrisols
Soil pH6.145.845.31
Soil Organic matter (g/kg)4.223.145.67
Available N (mg/kg)26.6829.4734.26
Available P (mg/kg)1.271.851.9
Available K (mg/kg)14.1311.7923.2
Table 2. Parentage of studied Eucalyptus Clones.
Table 2. Parentage of studied Eucalyptus Clones.
CloneSpeciesOrigin
DH201-2E. urophylla × E. camaldulensisDongmen Forestry Farm, China
DH32-13E. urophylla × E. grandisDongmen Forestry Farm, China
DH32-22E. urophylla × E. grandisDongmen Forestry Farm, China
DH32-26E. urophylla × E. grandisDongmen Forestry Farm, China
DH33-27E. urophylla × E. grandisDongmen Forestry Farm, China
LH1-9211E. urophylla × E. TereticornisRITF/CAF
M1E. urophylla × E. TereticornisLeizhou Forestry Bureau, China
SH1E. leizhou No. 1Leizhou Forestry Bureau, China
TH9224E. urophylla × E. TereticornisRITF/CAF
U6Nature hybridZhangjiang Forestry Bureau, China
RITF/CAF represents Research Institute of Tropical Forestry, Chinese Academy of Forestry, China.
Table 3. Mean concentrations ± S.D. (g·kg−1) of major nutrients in different tree components in ten Eucalyptus Clones.
Table 3. Mean concentrations ± S.D. (g·kg−1) of major nutrients in different tree components in ten Eucalyptus Clones.
CloneOrgansNPKCaMg
DH201-2Stem wood0.91 ± 0.14 abD0.05 ± 0.01 cC0.80 ± 0.25 bD0.48 ± 0.06 abcB0.10 ± 0.02 bC
DH32-13 0.93 ± 0.17 abD0.05 ± 0.01 cC0.80 ± 0.26 bD0.46 ± 0.12 abcC0.10 ± 0.03 bD
DH32-22 0.98 ± 0.20 abD0.06 ± 0.02 bcD1.45 ± 0.73 aB0.66 ± 0.11 aB0.15 ± 0.02 aC
DH32-26 1.18 ± 0.60 aC0.07 ± 0.02 bcC0.99 ± 0.50 abC0.50 ± 0.08 abcC0.11 ± 0.02 abC
DH33-27 0.98 ± 0.28 abC0.07 ± 0.02 bcC0.93 ± 0.48 abC0.45 ± 0.17 bcB0.13 ± 0.05 abB
LH1-9211 0.78 ± 0.14 bD0.05 ± 0.02 cB0.48 ± 0.16 bC0.34 ± 0.09 cB0.09 ± 0.03 bB
M1 0.77 ± 0.11 bC0.06 ± 0.02 bcC0.49 ± 0.12 bC0.40 ± 0.10 cC0.10 ± 0.02 bC
SH1 0.83 ± 0.17 abB0.17 ± 0.06 aC0.67 ± 0.25 bC0.65 ± 0.19 abB0.09 ± 0.02 bB
TH9224 0.71 ± 0.13 bB0.11 ± 0.03 abC0.62 ± 0.11 bC0.50 ± 0.13 abcC0.10 ± 0.02 bB
U6 0.75 ± 0.14 bC0.15 ± 0.06 aC0.87 ± 0.22 bC0.43 ± 0.15 cB0.10 ± 0.03 bC
H201-2Stembark3.48 ± 0.42 abB0.54 ± 0.36 bB5.32 ± 1.66 cB19.32 ± 9.16 abA2.79 ± 0.61 aB
DH32-13 3.66 ± 0.43 aB0.99 ± 0.43 abB7.03 ± 1.44 abcB21.42 ± 6.19 abA2.62 ± 0.45 abA
DH32-22 3.62 ± 0.43 aB0.41 ± 0.17 cB9.41 ± 4.82 abA31.65 ± 10.97 aA2.56 ± 0.52 abB
DH32-26 3.28 ± 0.66 abcB0.42 ± 0.17 cB8.91 ± 3.37 abB21.46 ± 6.66 abA2.51 ± 0.44 abA
DH33-27 2.92 ± 0.38 bcdB0.67 ± 0.20 abcB5.89 ± 1.03 abcB23.19 ± 20.04 abA1.96 ± 0.67 bcA
LH1-9211 3.05 ± 0.27 abcdB1.09 ± 0.58 abcA4.36 ± 0.80 cB6.96 ± 3.80 bA1.50 ± 0.31 cA
M1 2.78 ± 0.36 cdeB0.94 ± 0.37 abB4.30 ± 1.55 cB15.84 ± 9.12 abA1.42 ± 0.40 cB
SH1 2.74 ± 0.32 cdeB1.25 ± 0.61 aB6.47 ± 1.01 abcB26.42 ± 16.17 aA2.02 ± 0.21 abcA
TH9224 2.25 ± 0.23 eB1.16 ± 0.45 abB5.28 ± 1.53 cB19.47 ± 10.61 abA1.87 ± 0.67 bA
U6 2.52 ± 0.25 deB0.84 ± 0.43 abcB5.61 ± 0.86 bB20.63 ± 12.24 abA1.65 ± 0.44 cB
H201-2Branches2.14 ± 0.47 abC0.24 ± 0.08 cdeC2.18 ± 1.10 cdC1.59 ± 0.57 bcB0.28 ± 0.08 bC
DH32-13 2.40 ± 0.36 aC0.30 ± 0.16 bcC1.99 ± 0.61 cdeC1.70 ± 0.51 abcBC0.49 ± 0.19 aC
DH32-22 2.03 ± 0.29 abcC0.25 ± 0.09 cdC2.54 ± 0.72 bcB2.10 ± 0.83 abB0.36 ± 0.12 abC
DH32-26 1.77 ± 0.38 bcC0.49 ± 0.21 abB3.84 ± 1.00 abC2.98 ± 2.10 abBC0.26 ± 0.10 bC
DH33-27 1.76 ± 0.36 bcC0.54 ± 0.21 aB4.91 ± 1.61 aB3.04 ± 1.02 aB0.38 ± 0.11 abB
LH1-9211 1.55 ± 0.34 cdC0.28 ± 0.15 cB2.54 ± 1.00 bcB1.68 ± 0.80 abcB0.27 ± 0.10 bB
M1 0.96 ± 0.10 eC0.05 ± 0.01 eC0.63 ± 0.12 efC0.39 ± 0.12 cC0.08 ± 0.02 cC
SH1 0.90 ± 0.14 eB0.05 ± 0.01 eC0.59 ± 0.12 fC0.38 ± 0.06 cB0.07 ± 0.01 cB
TH9224 0.94 ± 0.29 eB0.05 ± 0.01 deC0.70 ± 0.27 efC0.51 ± 0.14 cC0.09 ± 0.02 cB
U6 1.07 ± 0.32 deC0.07 ± 0.03 deC0.83 ± 0.57 defC0.38 ± 0.14 cB0.08 ± 0.03 cC
H201-2Foliage18.79 ± 1.95 bcA1.56 ± 0.21 bcdA8.64 ± 1.17 eA4.73 ± 1.16 cdB2.08 ± 0.31 abA
DH32-13 19.12 ± 0.92 abcA1.40 ± 0.16 cdeA8.87 ± 1.34 eA4.18 ± 0.88 dB1.93 ± 0.17 bB
DH32-22 17.46 ± 2.02 cdA1.33 ± 0.11 cdeA13.98 ± 3.87 bcdA6.59 ± 1.63 abcB1.88 ± 0.49 bA
DH32-26 14.00 ± 1.78 dA1.09 ± 0.15 eA13.00 ± 1.78 cdeA8.64 ± 1.34 aB1.84 ± 0.53 bB
DH33-27 17.31 ± 1.04 cdA1.25 ± 0.24 deA9.88 ± 1.17 deA6.67 ± 1.66 abcB1.89 ± 0.59 bA
LH1-9211 18.17 ± 2.49 bcA1.38 ± 0.26 cdeA11.99 ± 2.05 cdeA5.99 ± 0.56 bcdA1.81 ± 0.26 bA
M1 20.84 ± 2.02 abcA1.63 ± 0.35 abcA10.96 ± 2.00 deA7.00 ± 1.46 abB2.01 ± 0.20 bA
SH1 22.61 ± 3.33 aA1.81 ± 0.34 abA18.57 ± 6.25 abA8.38 ± 1.57 aB2.24 ± 0.61 aA
TH9224 21.43 ± 3.40 abA1.67 ± 0.17 abcA19.49 ± 4.01 aA7.91 ± 0.87 abB2.11 ± 0.43 abA
U6 22.55 ± 2.26 aA1.98 ± 0.19 aA16.43 ± 1.92 abcA7.66 ± 1.44 abB2.50 ± 0.49 aA
Significant differences within each variable among clones were tested using Tukey’s HSD test (0.05 level); different small letters denote differences in means by the same organ only among clones; different capital letters denote differences in means by the same clone only among organs. S.D. is standard deviation of the mean.
Table 4. Nutrient use efficiency for ten Eucalyptus Clones.
Table 4. Nutrient use efficiency for ten Eucalyptus Clones.
CloneNUE
NPKCaMg
DH201-2405.90 ± 36.18 d 4126.13 ± 1063.62 abc 414.67 ± 68.15 abc 196.79 ± 51.78 bc 1143.61 ± 188.61 c
DH32-13522.62 ± 25.97 abc 3903.66 ± 1381.95 abc 432.17 ± 60.006 abc 206.33 ± 46.05 bc 1473.34 ± 238.47 bc
DH32-22418.05 ± 30.37 d 4753.30 ± 965.93 a 270.40 ± 85.69 d 122.29 ± 37.90 d 1178.22 ± 156.78 c
DH32-26474.70 ± 60.26 bcd 4664.32 ± 1122.51 a 290.72 ± 81.08 d 170.51 ± 61.90 bc 1262.36 ± 180.37 c
DH33-27583.47 ± 82.00 a 4258.00 ± 1007.61 ab 448.78 ± 124.77 ab 353.80 ± 228.67 ab2047.84 ± 486.30 a
LH1-9211458.84 ± 27.85 cd 2781.32 ± 1075.74 cd 458.57 ± 63.86 ab 445.67 ± 157.87 a 1764.94 ± 313.63 ab
M1447.45 ± 33.52 d 2968.38 ± 663.24 bcd 536.92 ± 122.82 a 290.36 ± 156.31 abc 1975.79 ± 327.04 a
SH1530.47 ± 54.32 ab 2320.25 ± 744.11 d 371.52 ± 27.57 bcd 186.62 ± 186.62 bc 1501.40 ± 128.61 bc
TH9224577.89 ± 51.03 a 2347.03 ± 718.94 d 412.02 ± 84.99 abc 216.95 ± 146.92 bc 1606.64 ± 517.45 abc
U6421.73 ± 25.90 d 2371.05 ± 729.27 d 315.08 ± 39.43 cd 184.24 ± 108.39 bc 1394.10 ± 314.22 bc
Significant differences within each variable among clones were tested using Tukey’s HSD test (0.05 level); different small letters denote differences in means among clones.
Publisher’s Note: MDPI stays neutral with regard to jurisdictional claims in published maps and institutional affiliations.

Share and Cite

MDPI and ACS Style

Zhang, P.; Cui, Z.; Liu, X.; Xu, D. Above-Ground Biomass and Nutrient Accumulation in Ten Eucalyptus Clones in Leizhou Peninsula, Southern China. Forests 2022, 13, 530. https://doi.org/10.3390/f13040530

AMA Style

Zhang P, Cui Z, Liu X, Xu D. Above-Ground Biomass and Nutrient Accumulation in Ten Eucalyptus Clones in Leizhou Peninsula, Southern China. Forests. 2022; 13(4):530. https://doi.org/10.3390/f13040530

Chicago/Turabian Style

Zhang, Peng, Zhiyi Cui, Xiaojin Liu, and Daping Xu. 2022. "Above-Ground Biomass and Nutrient Accumulation in Ten Eucalyptus Clones in Leizhou Peninsula, Southern China" Forests 13, no. 4: 530. https://doi.org/10.3390/f13040530

APA Style

Zhang, P., Cui, Z., Liu, X., & Xu, D. (2022). Above-Ground Biomass and Nutrient Accumulation in Ten Eucalyptus Clones in Leizhou Peninsula, Southern China. Forests, 13(4), 530. https://doi.org/10.3390/f13040530

Note that from the first issue of 2016, this journal uses article numbers instead of page numbers. See further details here.

Article Metrics

Back to TopTop