Effects of Soil Amelioration and Vegetation Introduction on the Restoration of Abandoned Coal Mine Spoils in South Korea
Abstract
1. Introduction
2. Materials and Methods
2.1. Site Description
2.2. Soil Amelioration
2.3. Selection of Tolerant Species
2.4. Restorative Treatment
2.5. Evaluation on Restoration Effects
2.6. Soil Analysis
2.7. Vegetation Analysis
2.8. Statistical Analysis
3. Results
3.1. Selection of Tolerant Species by Field Survey
3.2. Selection of Tolerant Species by Cultivation Experiment in Laboratory
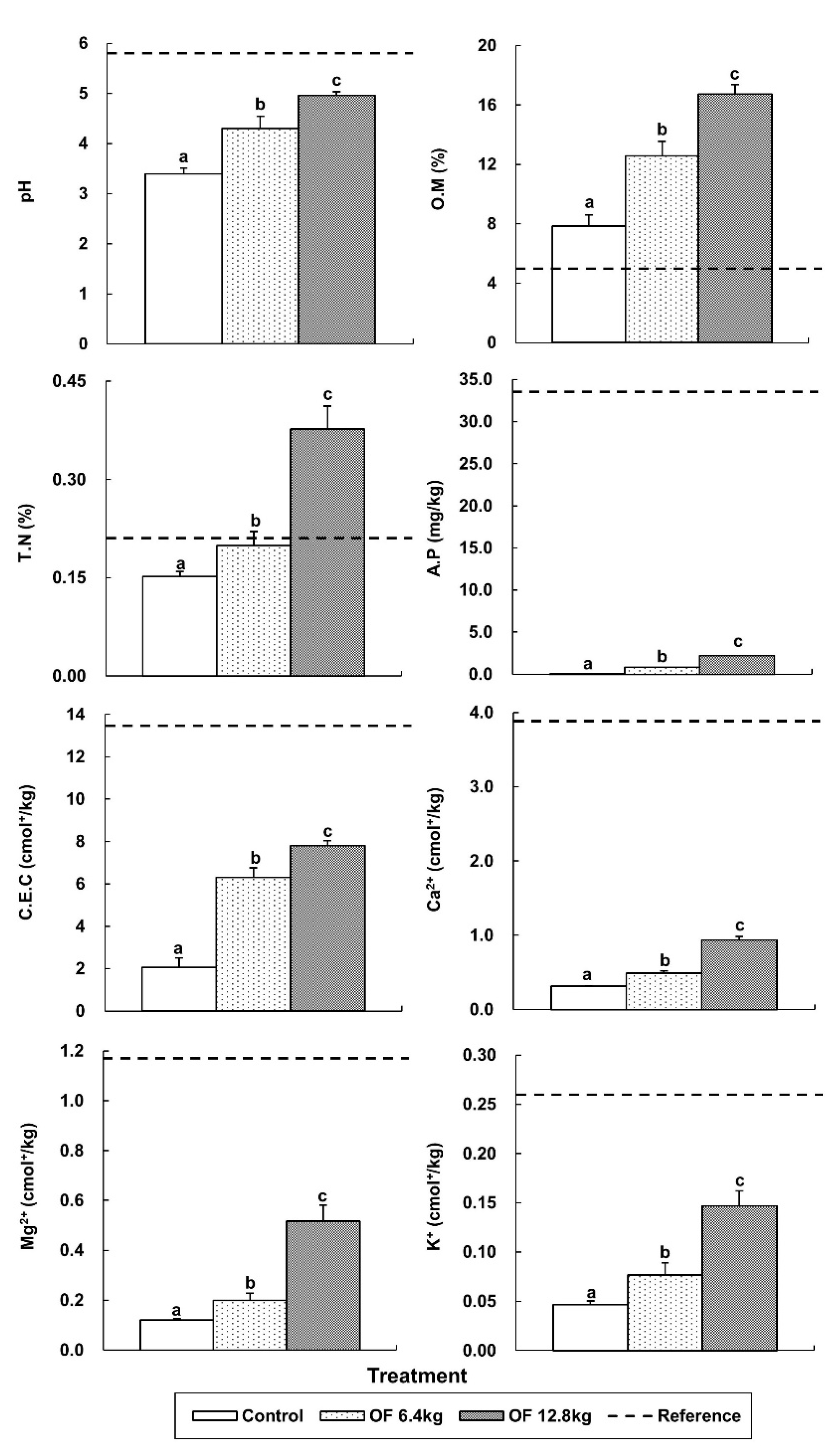
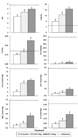
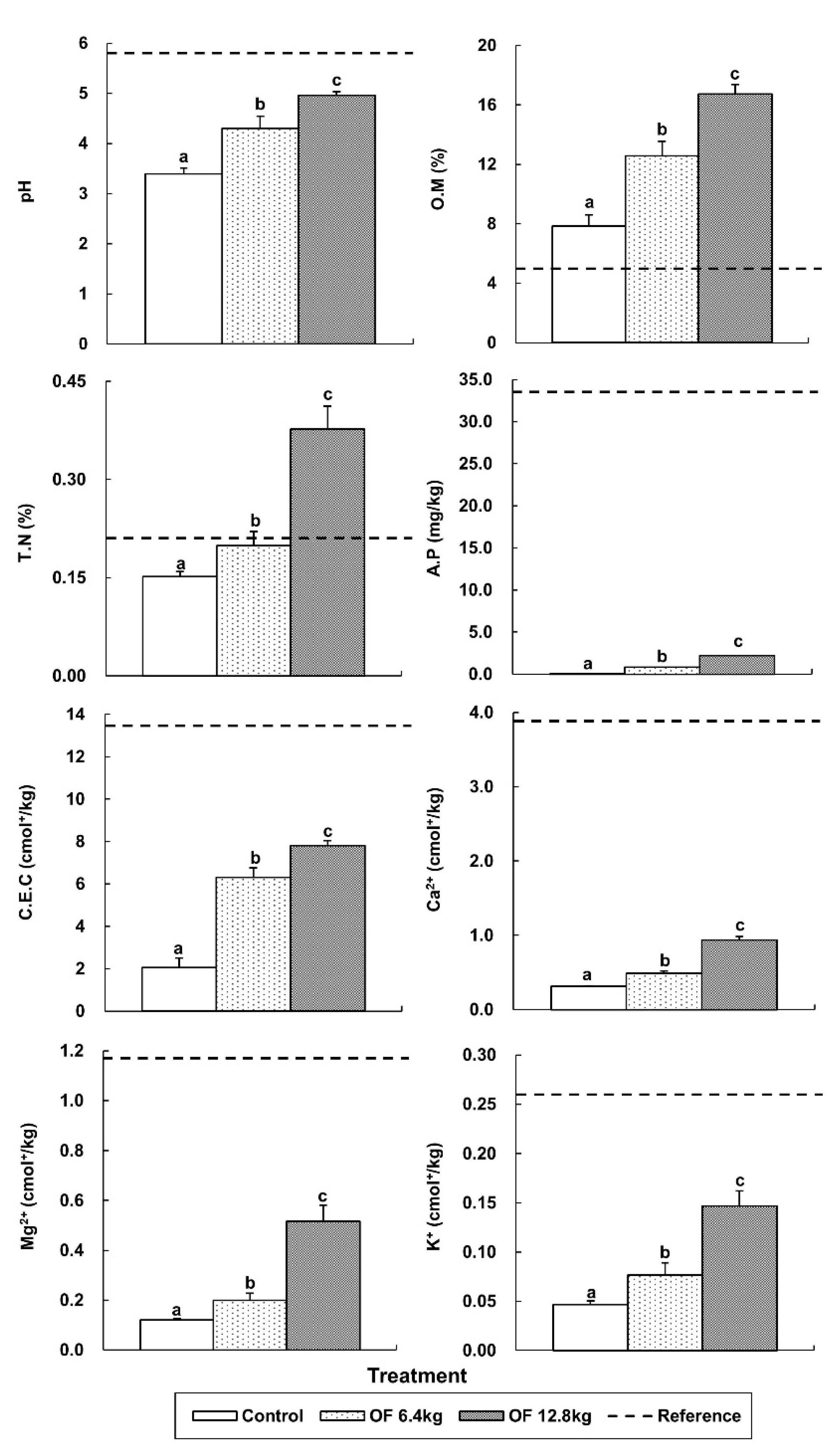
3.3. Soil Amelioration Effect
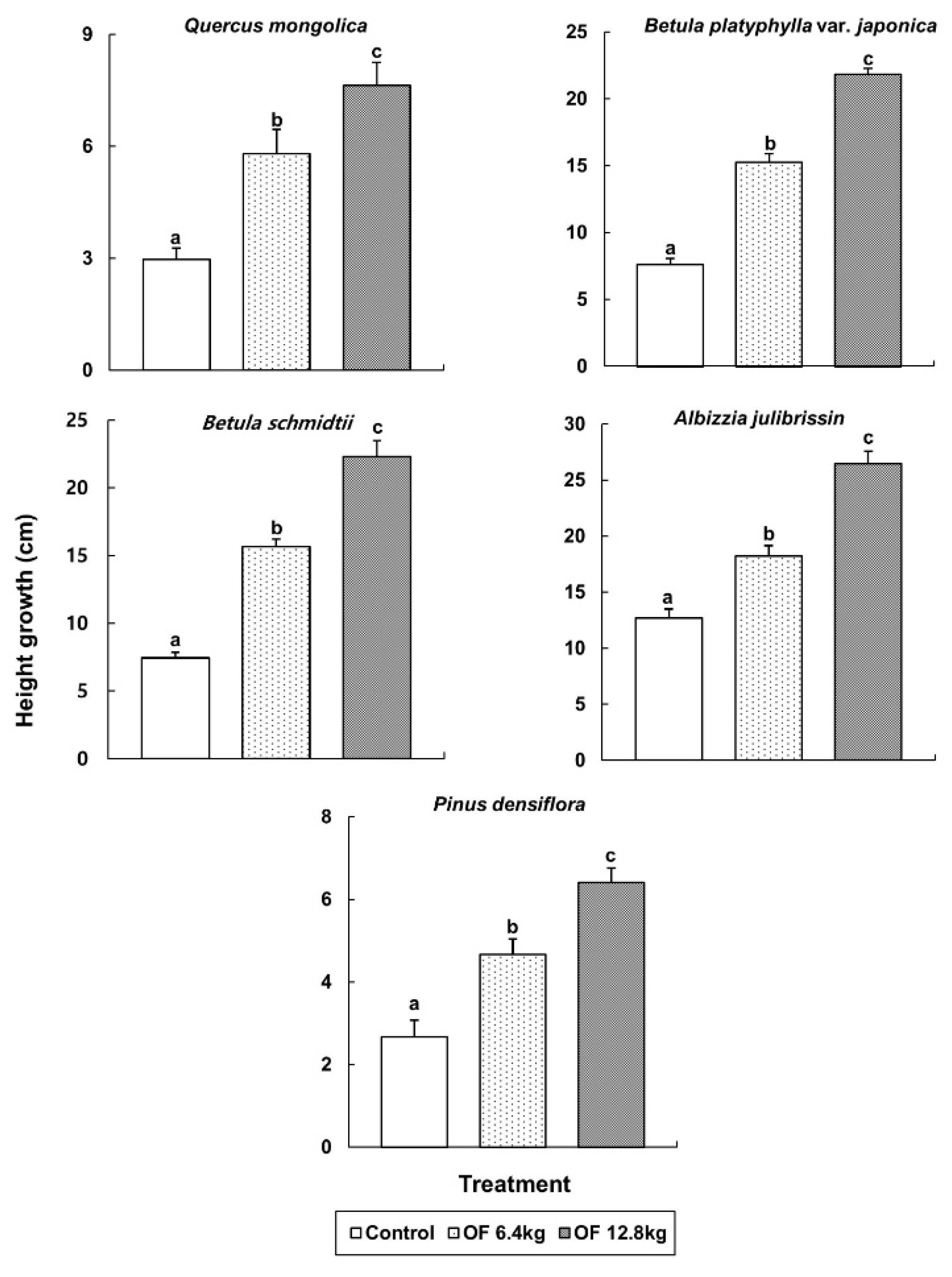
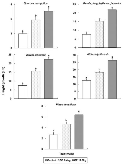
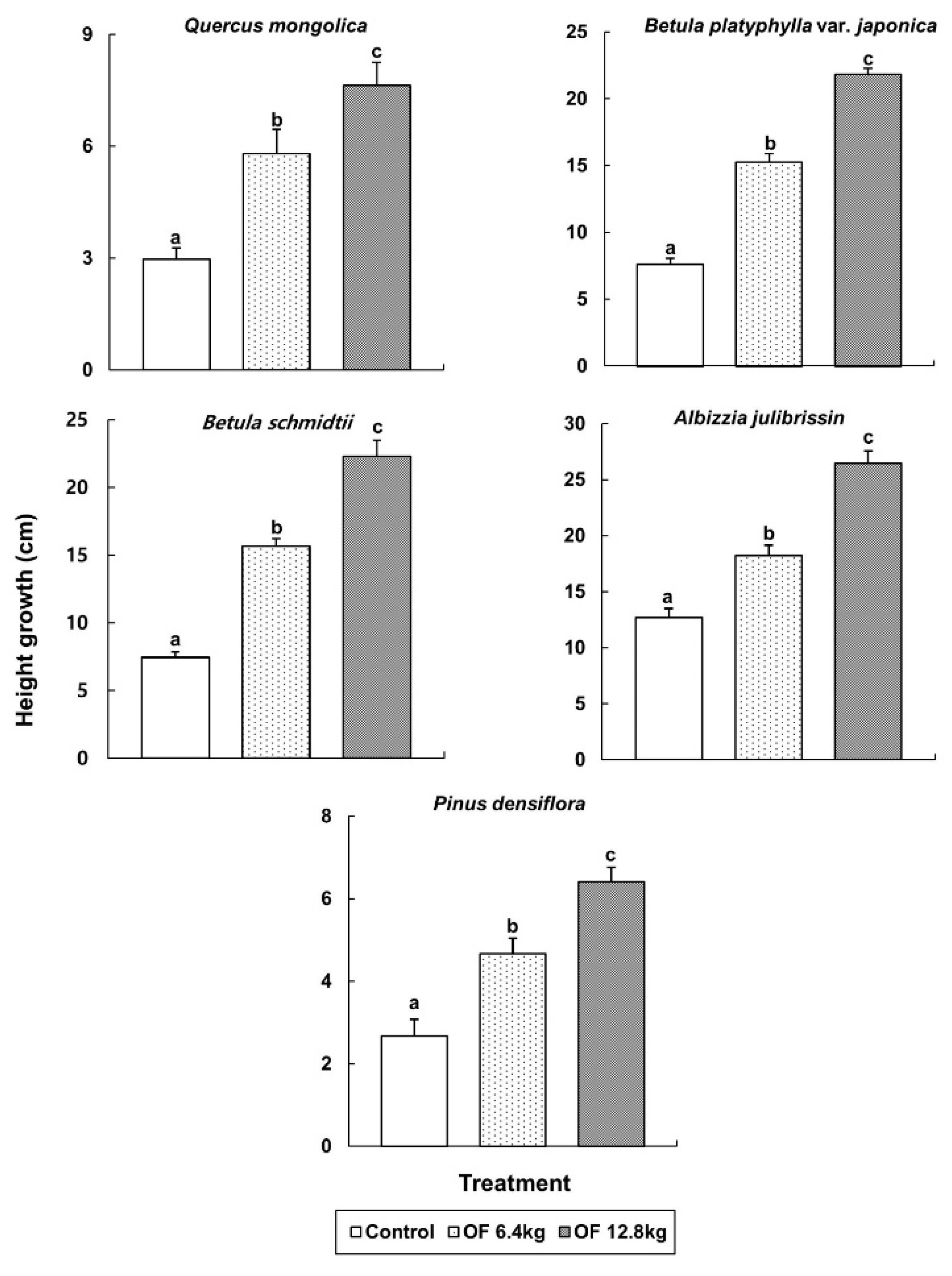
3.4. Growth of Sample Plants
3.5. Species Composition
3.6. Species Diversity
3.7. Evaluation Based on Exotic Species
4. Discussion
4.1. Restoration Effects Based on Chemical Properties of Soil
4.2. Selection of Tolerant Plant Species
4.3. Restoration Effects Based on Species Composition
4.4. Effects of the Restorative Treatment on Species Diversity
4.5. Evaluation Based on Exotic Species
5. Conclusions
Author Contributions
Funding
Conflicts of Interest
Appendix A
| Environmental Factors | Content |
|---|---|
| Water content (%) | 48.34 |
| Organic matter (%) | 33.76 |
| Total Nitrogen (%) | 1.24 |
| Available Phosphorus (%) | 1.04 |
| Exchangeable Potassium (%) | 0.26 |
| C.E.C(cmol+/kg) | 35.0 |
| Sodium (%) | 0.57 |
References
- Lee, C.S.; Moon, J.S.; Cho, Y.C. Effects of Soil Amelioration and Tree Planting on Restoration of an Air-Pollution Damaged Forest in South Korea. Water Air Soil Pollut. 2007, 179, 239–254. [Google Scholar] [CrossRef]
- Connell, J.H.; Slatyer, R.O. Mechanisms of succession in natural communities and their role in community stability and organization. Am. Nat. 1977, 111, 1119–1144. [Google Scholar] [CrossRef]
- van Andel, J.; Bakker, J.; Grootjans, A. Mechanisms of vegetation succession: A review of concepts and perspectives. Acta Bot. Neerl. 1993, 42, 413–433. [Google Scholar] [CrossRef]
- Walker, L.R.; Del Moral, R. Primary Succession and Ecosystem Rehabilitation; Cambridge University Press: Cambridge, UK, 2003. [Google Scholar]
- Society for Ecological Restoration International Science(SERI) and Policy Working Group(PWG). The SER International Primer on Ecological Restoration; Society for Ecological Restoration International: Washington, DC, USA, 2004. [Google Scholar]
- McDonald, T.; Gann, G.; Jonson, J.; Dixon, K. International Standards for the Practice of Ecological Restoration–Including Principles and Key Concepts; Society for Ecological Restoration: Washington, DC, USA, 2016. [Google Scholar]
- Gann, G.D.; McDonald, T.; Walder, B.; Aronson, J.; Nelson, C.R.; Jonson, J.; Hallett, J.G.; Eisenberg, C.; Guariguata, M.R.; Liu, J. International principles and standards for the practice of ecological restoration. Restor. Ecol. 2019, 27, S1–S46. [Google Scholar] [CrossRef]
- Bradshaw, A.D. Ecological principles and land reclamation practice. Landsc. Plan. 1984, 11, 35–48. [Google Scholar] [CrossRef]
- Karr, J.R. Ecological Integrity and Ecological Health Are Not the Same; National Academy Press: New York, NY, USA, 1996. [Google Scholar]
- Grove, R.H.; Burdon, J.J. Ecology of Biological Invasions; Cambridge University Press: Cambridge, UK, 1986. [Google Scholar]
- Hedgpeth, J.W. Foreign invaders. Science 1993, 261, 34. [Google Scholar] [CrossRef] [PubMed]
- Meffe, G.; Carroll, C.; Pimm, S. Community and ecosystem level conservation: Species interactions, disturbance regimes, and invading species. In Principles of Conservation Biology, 2nd ed.; Sinauer Associates, Inc. Pub.: Sunderland, UK, 1997; pp. 235–268. [Google Scholar]
- Johnstone, I.M. Plant invasion windows: A time-based classification of invasion potential. Biol. Rev. 1986, 61, 369–394. [Google Scholar] [CrossRef]
- Hobbs, R.J.; Huenneke, L.F. Disturbance, Diversity, and Invasion: Implications for Conservation. Conserv. Biol. 1992, 6, 324–337. [Google Scholar] [CrossRef]
- Lee, H.S.; Yoo, H.M.; Lee, C.S. Distribution pattern of white snakeroot as an invasive alien plant and restoration strategy to inhibit its expansion in Seoripool park, Seoul. Korean J. Biol. Sci. 2003, 7, 197–205. [Google Scholar] [CrossRef]
- International Union for Conservation of Nature (IUCN). IUCN Guidelines for the Prevention of Biodiversity Loss Due to Biological Invasion; SSC & ISSG: Gland, Switzerland, 2000. [Google Scholar]
- Lee, C.S.; Lee, K.S.; Hwangbo, J.K.; You, Y.H.; Kim, J.H. Selection of Tolerant Plants and Their Arrangement to Restore a Forest Ecosystem Damaged by Air Pollution. Water Air Soil Pollut. 2004, 156, 251–273. [Google Scholar] [CrossRef]
- Lee, H.W.; Lee, C.S. Environmental factors affecting establishment and expansion of the invasive alien species of tree of heaven (Ailanthus altissima) in Seoripool Park, Seoul. Integr. Biosci. 2006, 10, 27–40. [Google Scholar] [CrossRef]
- Ewel, J.J. Restoration is the ultimate test of ecological theory. In Restoration Ecology: A Synthetic Approach to Ecological Research; Cambridge University Press: Cambridge, UK, 1987; pp. 31–33. [Google Scholar]
- Lee, C.S.; Lee, H.; Kim, A.R.; Pi, J.H.; Bae, Y.J.; Choi, J.K.; Lee, W.S.; Moon, J.S. Ecological effects of daylighting and plant reintroduction to the Cheonggye Stream in Seoul, Korea. Ecol. Eng. 2020, 152, 105879. [Google Scholar] [CrossRef]
- Kondolf, G.M.; Micheli, E.R. Evaluating stream restoration projects. Environ. Manag. 1995, 19, 1–15. [Google Scholar] [CrossRef]
- Purcell, A.H.; Friedrich, C.; Resh, V.H. An Assessment of a Small Urban Stream Restoration Project in Northern California. Restor. Ecol. 2002, 10, 685–694. [Google Scholar] [CrossRef]
- An, J.H.; Lim, C.H.; Lim, Y.; Nam, K.B.; Lee, C.S. A review of restoration project evaluation and post management for ecological restoration of the river. J. Restor. Ecol. 2014, 4, 15–34. [Google Scholar]
- Nilsson, C.; Polvi, L.E.; Gardeström, J.; Hasselquist, E.M.; Lind, L.; Sarneel, J.M. Riparian and in-stream restoration of boreal streams and rivers: Success or failure? Ecohydrology 2015, 8, 753–764. [Google Scholar] [CrossRef]
- Lee, C.S. Role and task of restoration ecology in changing environment: Trends and issues in academic study, Biology. Natl. Acad. Sci. 2016, 5, 481–527. [Google Scholar]
- Paillex, A.; Schuwirth, N.; Lorenz, A.W.; Januschke, K.; Peter, A.; Reichert, P. Integrating and extending ecological river assessment: Concept and test with two restoration projects. Ecol. Indic. 2017, 72, 131–141. [Google Scholar] [CrossRef]
- Rubin, Z.; Kondolf, G.M.; Rios-Touma, B. Evaluating Stream Restoration Projects: What Do We Learn from Monitoring? Water 2017, 9, 174. [Google Scholar] [CrossRef]
- Suding, K.N. Toward an Era of Restoration in Ecology: Successes, Failures, and Opportunities Ahead. Annu. Rev. Ecol. Evol. Syst. 2011, 42, 465–487. [Google Scholar] [CrossRef]
- Kondolf, G.M. Five Elements for Effective Evaluation of Stream Restoration. Restor. Ecol. 1995, 3, 133–136. [Google Scholar] [CrossRef]
- Woolsey, S.; Capelli, F.; Gonser, T.O.M.; Hoehn, E.; Hostmann, M.; Junker, B.; Paetzold, A.; Roulier, C.; Schweizer, S.; Tiegs, S.D.; et al. A strategy to assess river restoration success. Freshw. Biol. 2007, 52, 752–769. [Google Scholar] [CrossRef]
- Weber, C.; Åberg, U.; Buijse, A.D.; Hughes, F.M.R.; McKie, B.G.; Piégay, H.; Roni, P.; Vollenweider, S.; Haertel-Borer, S. Goals and principles for programmatic river restoration monitoring and evaluation: Collaborative learning across multiple projects. WIREs Water 2018, 5, e1257. [Google Scholar] [CrossRef]
- Wortley, L.; Hero, J.-M.; Howes, M. Evaluating Ecological Restoration Success: A Review of the Literature. Restor. Ecol. 2013, 21, 537–543. [Google Scholar] [CrossRef]
- Hobbs, R.J.; Norton, D.A. Towards a Conceptual Framework for Restoration Ecology. Restor. Ecol. 1996, 4, 93–110. [Google Scholar] [CrossRef]
- Higgs, E.S. What is Good Ecological Restoration? ProEnviron. Promediu 1997, 11, 338–348. [Google Scholar] [CrossRef]
- Asbjornsen, H.; Brudvig, L.; Mabry, C.; Evans, C.; Karnitz, H. Defining reference information for restoring ecologically rare tallgrass oak savannas in the Midwestern United States. J. For. 2005, 103, 345–350. [Google Scholar]
- Thorpe, A.S.; Stanley, A.G. Determining appropriate goals for restoration of imperilled communities and species. J. Appl. Ecol. 2011, 48, 275–279. [Google Scholar] [CrossRef]
- Choi, Y.D. Theories for ecological restoration in changing environment: Toward ‘futuristic’restoration. Ecol. Res. 2004, 19, 75–81. [Google Scholar] [CrossRef]
- Fule, P.Z. Does it make sense to restore wildland fire in changing climate? Restor. Ecol. 2008, 16, 526–531. [Google Scholar] [CrossRef]
- Seabrook, L.; McAlpine, C.A.; Bowen, M.E. Restore, repair or reinvent: Options for sustainable landscapes in a changing climate. Landsc. Urban Plan. 2011, 100, 407–410. [Google Scholar] [CrossRef]
- Hull, R.B.; Gobster, P.H. Restoring Forest Ecosystems: The Human Dimension. J. For. 2000, 98, 32–36. [Google Scholar]
- Burke, S.M.; Mitchell, N. People as ecological participants in ecological restoration. Restor. Ecol. 2007, 15, 348–350. [Google Scholar] [CrossRef]
- Hobbs, R. Woodland restoration in Scotland: Ecology, history, culture, economics, politics and change. J. Environ. Manag. 2009, 90, 2857–2865. [Google Scholar] [CrossRef] [PubMed]
- Le, H.D.; Smith, C.; Herbohn, J.; Harrison, S. More than just trees: Assessing reforestation success in tropical developing countries. J. Rural. Stud. 2012, 28, 5–19. [Google Scholar] [CrossRef]
- Lee, C.S.; Cho, Y.C. Selection of Pollution-Tolerant Trees for Restoration of Degraded Forests and Evaluation of the Experimental Restoration Practices at the Ulsan Industrial Complex, Korea. In Ecology, Planning, and Management of Urban Forests: International Perspectives; Carreiro, M.M., Song, Y.-C., Wu, J., Eds.; Springer: New York, NY, USA, 2008; pp. 369–392. [Google Scholar]
- Bradshaw, A.D. The biology of land restoration. In Applied Population Biology; Jain, S.K., Botsford, L.W., Eds.; Springer: Dordrecht, The Netherlands, 1992; pp. 25–44. [Google Scholar]
- Dobson, A.P.; Bradshaw, A.D.; Baker, A.J.M. Hopes for the future: Restoration ecology and conservation biology. Science 1997, 277, 515–522. [Google Scholar] [CrossRef]
- Gunn, J.M. Restoration and Recovery of an Industrial Region: Progress in Restoring the Smelter-Damaged Landscape near Sudbury, Canada; Springer: Berlin/Heidelberg, Germany, 1995. [Google Scholar]
- Gunn, J.M. Restoring the Smelter-Damaged Landscape Near Sudbury, Canada. Restor. Manag. Notes 1996, 14, 129–136. [Google Scholar] [CrossRef]
- Jackson, M.L. Soil Chemical Analysis: Advanced Course; Prentice-Hall: New Delhi, India, 1967. [Google Scholar]
- Allen, S.E.; Grimshaw, H.M.; Rowland, A.P. Chemical analysis. Methods in plant Ecology; Moore, P.D., Chapman, S.B., Eds.; Blackwell: London, UK, 1986. [Google Scholar]
- Korea National Arboretum. Korean Plant Names Index. Available online: http://www.nature.go.kr/kbi/plant/pilbk/selectPlantPilbkGnrlList.do (accessed on 2 December 2021).
- Braun-Blanquet, J. Pflanzensoziologie: Grundzüge der Vegetationskunde, 3rd ed.; Springer: New York, NY, USA, 1964. [Google Scholar]
- Hill, M.O. Decorana. A Fortran program for detrended correspondence analysis and reciprocal averaging. Vegetatio 1979, 42, 47–58. [Google Scholar] [CrossRef]
- Magurran, A.E. Measuring Biological Diversity; Wiley-Blackwell: Hoboken, NJ, USA, 2004. [Google Scholar]
- Kent, M.; Coker, P. Vegetation Description and Analysis: A practical Approach; Wiley-Blackwell: Hoboken, NJ, USA, 1992. [Google Scholar]
- Lee, C.S.; You, Y.H.; Robinson, G.R. Secondary Succession and Natural Habitat Restoration in Abandoned Rice Fields of Central Korea. Restor. Ecol. 2002, 10, 306–314. [Google Scholar] [CrossRef]
- SAS Institute. PROC User’s Manual, 6th ed.; SAS Institute Inc.: Cary, NC, USA, 2001. [Google Scholar]
- Hill, M.O.; Gauch, H.G. Detrended Correspondence Analysis: An Improved Ordination Technique. In Classification and Ordination: Symposium on Advances in Vegetation Science, Nijmegen, The Netherlands, May 1979; van der Maarel, E., Ed.; Springer: Dordrecht, The Netherlands, 1980; pp. 47–58. [Google Scholar]
- Kundu, N.; Ghose, M. Soil profile characteristic in Rajmahal Coalfield area. Indian J. Soil Water Conserv. 1997, 25, 28–32. [Google Scholar]
- Ghose, M.K. Soil conservation for rehabilitation and revegetation of mine-degraded land. TERI Inf. Dig. Energy Environ. Entomol. 2005, 4, 137–150. [Google Scholar]
- Wong, M.H. Ecological restoration of mine degraded soils, with emphasis on metal contaminated soils. Chemosphere 2003, 50, 775–780. [Google Scholar] [CrossRef]
- Sheoran, A.; Sheoran, V.; Poonia, P. Rehabilitation of mine degraded land by metallophytes. Min. Eng. J. 2008, 10, 11–16. [Google Scholar]
- Ghose, M. Land reclamation and protection of environment from the effect of coal mining operation. Mine technology 1989, 10, 35–39. [Google Scholar]
- Singh, A.N.; Raghubanshi, A.S.; Singh, J.S. Plantations as a tool for mine spoil restoration. Curr. Sci. 2002, 82, 1436–1441. [Google Scholar]
- Lone, M.I.; He, Z.-l.; Stoffella, P.J.; Yang, X.-e. Phytoremediation of heavy metal polluted soils and water: Progresses and perspectives. J. Zhejiang Univ. Sci. B 2008, 9, 210–220. [Google Scholar] [CrossRef] [PubMed]
- Kavamura, V.N.; Esposito, E. Biotechnological strategies applied to the decontamination of soils polluted with heavy metals. Biotechnol. Adv. 2010, 28, 61–69. [Google Scholar] [CrossRef]
- Lee, C.S.; Cho, Y.C.; Shin, H.C.; Lee, S.M.; Lee, C.H.; Eom, A.H. An evaluation of the effects of rehabilitation practiced in the coal mining spoils in Korea 2:An Evaluation Based on the Physicochemical Properties of Soil. J. Ecol. Environ. 2008, 31, 23–29. [Google Scholar] [CrossRef]
- Kim, G.S.; Pee, J.H.; An, J.H.; Lim, C.H.; Lee, C.S. Selection of air pollution tolerant plants through the 20-years-long transplanting experiment in the Yeocheon industrial area, southern Korea. Anim. Cells Syst. 2015, 19, 208–215. [Google Scholar] [CrossRef]
- Kim, A.R.; Lim, B.S.; Seol, J.; Lim, C.H.; You, Y.H.; Lee, W.S.; Lee, C.S. Diagnostic Assessment and Restoration Plan for Damaged Forest around the Seokpo Zinc Smelter, Central Eastern Korea. Forests 2021, 12, 663. [Google Scholar] [CrossRef]
- Singh, P.; Ram, S.; Ghosh, A. Changes in physical properties of mine soils brought about by planting trees. Ecol. Environ. Conserv. Pap. 2015, 21, 187–193. [Google Scholar] [CrossRef]
- Zeng, L.; Zhou, L.; Guo, D.-L.; Fu, D.-H.; Xu, P.; Zeng, S.; Tang, Q.-D.; Chen, A.-L.; Chen, F.-Q.; Luo, Y.; et al. Ecological effects of dams, alien fish, and physiochemical environmental factors on homogeneity/heterogeneity of fish community in four tributaries of the Pearl River in China. Ecol. Evol. 2017, 7, 3904–3915. [Google Scholar] [CrossRef] [PubMed]
- Carter, C.T.; Ungar, I.A. Aboveground vegetation, seed bank and soil analysis of a 31-year-old forest restoration on coal mine spoil in southeastern Ohio. Am. Midl. Nat. 2002, 147, 44–59. [Google Scholar] [CrossRef]
- Oh, W.S.; Lee, C.S. Recovery of Ecosystem Service Functions through Ecological Restoration Practice: A Case Study of Coal Mine Spoils, Samcheok, Central Eastern Korea. Korean Soc. Environ. Biol. 2014, 32, 102–111. [Google Scholar] [CrossRef]
- Wei, Z.; Wang, Q. Research on limited factors of reclaimed soil in the large coal wastes Pile in fushun west opencast coal mine. Res. Soil Water Conserv. 2009, 16, 179–182. [Google Scholar]
- Zhang, Z.; Wang, J.; Zhang, J. Interaction between reclaimed soil and vegetation in mining area: A review. Soils 2018, 50, 239–247. [Google Scholar]
- Nussbaumer, Y.; Cole, M.A.; Offler, C.E.; Patrick, J.W. Identifying and ameliorating nutrient limitations to reconstructing a forest ecosystem on mined land. Science 2016, 24, 202–211. [Google Scholar] [CrossRef]
- Li, S.; Liber, K. Influence of different revegetation choices on plant community and soil development nine years after initial planting on a reclaimed coal gob pile in the Shanxi mining area, China. Sci. Total Environ. 2018, 618, 1314–1323. [Google Scholar] [CrossRef]
- Li, M.S. Ecological restoration of mineland with particular reference to the metalliferous mine wasteland in China: A review of research and practice. Sci. Total Environ. 2006, 357, 38–53. [Google Scholar] [CrossRef]
- Chen, J.; Liu, Z.; Wang, Z. Study on surface vegetation technology of waste rock mountain in Fuxin area. Opencast Min. Technol. 2005, 6, 46–48. [Google Scholar]
- Beibei, Z.; Ming’an, S.; Mingxia, W.; Quanjiu, W.; Horton, R. Effects of Coal Gangue Content on Water Movement and Solute Transport in a China Loess Plateau Soil. Clean–Soil Air Water 2010, 38, 1031–1038. [Google Scholar] [CrossRef]
- Down, C. Soil development on colliery waste tips in relation to age. I. Introduction and physical factors. J. Appl. Ecol. 1975, 12, 613–622. [Google Scholar]
- Down, C. Soil development on colliery waste tips in relation to age. Ⅲ. Chemical factors. J. Appl. Ecol. 1975, 12, 635–639. [Google Scholar] [CrossRef]
- Sheoran, V.; Sheoran, A.; Poonia, P. Soil reclamation of abandoned mine land by revegetation: A review. Int. J. Soil Sediment Water 2010, 3, 13. [Google Scholar]
- Lindemann, W.C.; Lindsey, D.L.; Fresquez, P.R. Amendment of Mine Spoil to Increase the Number and Activity of Microorganisms. Soil Sci. Soc. Am. J. 1984, 48, 574–578. [Google Scholar] [CrossRef]
- Simmons, J.A.; Currie, W.S.; Eshleman, K.N.; Kuers, K.; Monteleone, S.; Negley, T.L.; Pohlad, B.R.; Thomas, C.L. Forest to reclaimed mine land use change leads to altered ecosystem structure and function. Ecol. Appl. 2008, 18, 104–118. [Google Scholar] [CrossRef]
- Roose, S.P.; Glassman, A.H.; Walsh, B.T.; Cullen, K. Reversible Loss of Nocturnal Penile Tumescence during Depression: A Preliminary Report. Neuropsychobiology 1982, 8, 284–288. [Google Scholar] [CrossRef] [PubMed]
- Pitelka, L.F. Evolutionary responses of plants to anthropogenic pollutants. Trends Ecol. Evol. 1988, 3, 233–236. [Google Scholar] [CrossRef]
- Bradshaw, A.D.; McNeilly, T. Evolutionary response to global climatic change. Ann. Bot. 1991, 67, 5–14. [Google Scholar] [CrossRef]
- Antonovics, J.; Bradshaw, A.D.; Turner, R. Heavy metal tolerance in plants. In Advances in Ecological Research; Elsevier: Amsterdam, The Netherlands, 1971; Volume 7, pp. 1–85. [Google Scholar]
- Le Baron, H.M.; Gressel, J. Herbicide Resistance in Plants; John Wiley & Sons: Hoboken, NJ, USA, 1982. [Google Scholar]
- Franks, S.J.; Sim, S.; Weis, A.E. Rapid evolution of flowering time by an annual plant in response to a climate fluctuation. Proc. Natl. Acad. Sci. USA 2007, 104, 1278–1282. [Google Scholar] [CrossRef] [PubMed]
- Ramos, S.E.; Schiestl, F.P. Rapid plant evolution driven by the interaction of pollination and herbivory. Science 2019, 364, 193–196. [Google Scholar] [CrossRef] [PubMed]
- Magnoli, S.M.; Lau, J.A. Novel plant–microbe interactions: Rapid evolution of a legume–rhizobium mutualism in restored prairies. J. Ecol. 2020, 108, 1241–1249. [Google Scholar] [CrossRef]
- Mackin, C.R.; Peña, J.F.; Blanco, M.A.; Balfour, N.J.; Castellanos, M.C. Rapid evolution of a floral trait following acquisition of novel pollinators. J. Ecol. 2021, 109, 2234–2246. [Google Scholar] [CrossRef]
- Smith, S.A.; Donoghue, M.J. Rates of Molecular Evolution Are Linked to Life History in Flowering Plants. Science 2008, 322, 86–89. [Google Scholar] [CrossRef] [PubMed]
- Buswell, J.M.; Moles, A.T.; Hartley, S. Is rapid evolution common in introduced plant species? J. Ecol. 2011, 99, 214–224. [Google Scholar] [CrossRef]
- Vandepitte, K.; de Meyer, T.; Helsen, K.; van Acker, K.; Roldán-Ruiz, I.; Mergeay, J.; Honnay, O. Rapid genetic adaptation precedes the spread of an exotic plant species. Mol. Ecol. 2014, 23, 2157–2164. [Google Scholar] [CrossRef] [PubMed]
- Lee, C.S.; Cho, Y.C.; Shin, H.C.; Kim, G.S.; Pi, J.H. Control of an invasive alien species, Ambrosia trifida with restoration by introducing willows as a typical riparian vegetation. J. Ecol. Environ. Entomol. 2010, 33, 157–164. [Google Scholar] [CrossRef]
- Chang, N.K.; Lee, S.K. Studies on the Classification, Productivity and Distribution of C3, C4 and CAM Plants in Vegetations of Korea 1. C3 and C4 Type plants. Korean J. Ecol. 1983, 6, 62–69. [Google Scholar]
- Chang, N.K.; Lee, S.K. Studies on the Classification, Productivity, and Distribution of C3, C4 and CAM Plants in Vegetations of Korea 3. Production and Productivity of C3 and C4 Type Plants. Korean J. Ecol. 1983, 6, 114–127. [Google Scholar]
- Odum, E.P.; Barrett, G.W. Fundamentals of Ecology; Thomson Brooks/Cole: Belmont, CA, USA, 2005; Volume 3. [Google Scholar]
- Fox, J.F.; Campbell, J.E.; Acton, P.M. Carbon Sequestration by Reforesting Legacy Grasslands on Coal Mining Sites. Energies 2020, 13, 6340. [Google Scholar] [CrossRef]
- Moudrý, V.; Moudrá, L.; Barták, V.; Bejček, V.; Gdulová, K.; Hendrychová, M.; Moravec, D.; Musil, P.; Rocchini, D.; Šťastný, K.; et al. The role of the vegetation structure, primary productivity and senescence derived from airborne LiDAR and hyperspectral data for birds diversity and rarity on a restored site. Landsc. Urban Plan. 2021, 210, 104064. [Google Scholar] [CrossRef]
- Lake, P.S.; Bond, N.; Reich, P. Linking ecological theory with stream restoration. Freshw. Biol. 2007, 52, 597–615. [Google Scholar] [CrossRef]
- Hobbs, R.J.; Cramer, V.A. Restoration Ecology: Interventionist Approaches for Restoring and Maintaining Ecosystem Function in the Face of Rapid Environmental Change. Annu. Rev. Environ. Resour. 2008, 33, 39–61. [Google Scholar] [CrossRef]
- Bradshaw, A.D. Restoration: An Acid Test for Ecology; Cambridge University Press: Cambridge, UK, 1987. [Google Scholar]
- Aronson, J.; Floret, C.; Le Floc’h, E.; Ovalle, C.; Pontanier, R. Restoration and Rehabilitation of Degraded Ecosystems in Arid and Semi-Arid Lands. I. A View from the South. Restor. Ecol. 1993, 1, 8–17. [Google Scholar] [CrossRef]
- Kim, A.R.; Lim, B.S.; Seol, J.; Lee, C.S. Principle of restoration ecology reflected in the process creating the National Institute of Ecology. J. Ecol. Environ. 2021, 45, 12. [Google Scholar] [CrossRef]
- Lüderitz, V.; Jüpner, R.; Müller, S.; Feld, C.K. Renaturalization of streams and rivers—the special importance of integrated ecological methods in measurement of success. An example from Saxony-Anhalt (Germany). Limnologica 2004, 34, 249–263. [Google Scholar] [CrossRef]
- White, P.S.; Walker, J.L. Approximating Nature’s Variation: Selecting and Using Reference Information in Restoration Ecology. Restor. Ecol. 1997, 5, 338–349. [Google Scholar] [CrossRef]
- Rood, S.B.; Gourley, C.R.; Ammon, E.M.; Heki, L.G.; Klotz, J.R.; Morrison, M.L.; Mosley, D.; Scoppettone, G.G.; Swanson, S.; Wagner, P.L. Flows for Floodplain Forests: A Successful Riparian Restoration. BioScience 2003, 53, 647–656. [Google Scholar] [CrossRef]
- Whittier, T.R.; Stoddard, J.L.; Larsen, D.P.; Herlihy, A.T. Selecting reference sites for stream biological assessments: Best professional judgment or objective criteria. J. North Am. Benthol. Soc. 2007, 26, 349–360. [Google Scholar] [CrossRef]
- Gilvear, D.; Bryant, R. Analysis of remotely sensed data for fluvial geomorphology and river science. In Tools Fluvial Geomorphology; Kondolf, G.M., Piégay, H., Eds.; John Wiley & Sons Ltd.: Hoboken, NJ, USA, 2016; pp. 103–132. [Google Scholar]
- Naess, A. Ecology, Community and Lifestyle: Outline of an Ecosophy; Cambridge University Press: Cambridge, UK, 1990. [Google Scholar]
- Romme, W.H. Fire and Landscape Diversity in Subalpine Forests of Yellowstone National Park. Ecol. Monogr. 1982, 52, 199–221. [Google Scholar] [CrossRef]
- Haber, W. Using Landscape Ecology in Planning and Management. In Changing Landscapes: An Ecological Perspective; Zonneveld, I.S., Forman, R.T.T., Eds.; Springer: New York, NY, USA, 1990; pp. 217–232. [Google Scholar]
- Hoover, S.R.; Parker, A.J. Spatial components of biotic diversity in landscapes of Georgia, USA. Landsc. Ecol. 1991, 5, 125–136. [Google Scholar] [CrossRef]
- Naveh, Z. From Biodiversity to Ecodiversity: A Landscape-Ecology Approach to Conservation and Restoration. Restor. Ecol. 1994, 2, 180–189. [Google Scholar] [CrossRef]
- Lim, C.H.; Kim, G.S.; An, J.H.; You, B.H.; Bae, Y.S.; Byun, H.G.; Lee, C.S. Relationship between biodiversity and landscape structure in the Gyungan stream basin, central Korea. Entomol. Res. 2016, 46, 260–271. [Google Scholar] [CrossRef]
- An, J.H.; Lim, C.H.; Jung, S.H.; Kim, A.R.; Lee, C.S. Effects of climate change on biodiversity and measure for them. J. Wetl. Res. 2016, 18, 481–487. [Google Scholar]
- Meffe, G.; Carroll, C. Principles of Conservation Biology, 2nd ed.; Sinauer Associates Inc.: Sunderland, UK, 1997. [Google Scholar]
- Primack, R.B. A primer of Conservation Biology; Sinauer Associates Inc.: Sunderland, UK, 2008. [Google Scholar]
- Vitousek, P.M. Biological Invasions and Ecosystem Properties: Can Species Make a Difference? In Ecology of Biological Invasions of North America and Hawaii; Mooney, H.A., Drake, J.A., Eds.; Springer: New York, NY, USA, 1986; pp. 163–176. [Google Scholar]
- Mooney, H.A. Invasive alien species: The nature of the problem. In Invasive Alien Species: A New Synthesis; Island Press: Washington, DC, USA, 2005; Volume 63, pp. 1–15. [Google Scholar]
- Rawlins, K.; Griffin, J.; Moorhead, D.; Bargeron, C.; Evans, C. EDDMapS: Invasive Plant Mapping Handbook; Center for Invasive Species Ecosystem Health: Tifton, Georgia, USA, 2011. [Google Scholar]
- Jeschke, J.M.; Bacher, S.; Blackburn, T.M.; Dick, J.T.A.; Essl, F.; Evans, T.; Gaertner, M.; Hulme, P.E.; KÜHn, I.; MrugaŁA, A.; et al. Defining the Impact of Non-Native Species. Conserv. Biol. 2014, 28, 1188–1194. [Google Scholar] [CrossRef] [PubMed]
- Taylor, K.T.; Maxwell, B.D.; Pauchard, A.; Nuñez, M.A.; Rew, L.J. Native versus non-native invasions: Similarities and differences in the biodiversity impacts of Pinus contorta in introduced and native ranges. Divers. Distrib. 2016, 22, 578–588. [Google Scholar] [CrossRef]
- McNeely, J.A.; Mooney, H.A.; Neville, L.E.; Schei, P.J.; Waage, J.K. Global Strategy on Invasive Alien Species; IUCN: Cambridge, UK, 2001. [Google Scholar]
- McNeish, R.E.; McEwan, R.W. A review on the invasion ecology of Amur honeysuckle (Lonicera maackii, Caprifoliaceae) a case study of ecological impacts at multiple scales1. J. Torrey Bot. Soc. 2016, 143, 367–385. [Google Scholar] [CrossRef]
- Hobbs, R.J.; Mooney, H.A. Invasive species in a changing world: The interactions between global change and invasives. In Invasive Alien Species; Island Press: Washington, DC, USA, 2005; Volume 63, p. 310. [Google Scholar]
- World Health Organization(WHO). Connecting Global Priorities: Biodiversity and Human Health; WHO: Geneva, Switzerland, 2015. [Google Scholar]
- Milardi, M.; Gavioli, A.; Soininen, J.; Castaldelli, G. Exotic species invasions undermine regional functional diversity of freshwater fish. Sci. Rep. 2019, 9, 17921. [Google Scholar] [CrossRef] [PubMed]
- Werren, G.L. Environmental Weeds of the Wet Tropics Bioregion: Risk Assessment & Priority Ranking; Rainforest CRC: Cairns, QLD, Australia, 2001. [Google Scholar]
- Convention on Biological Diversity (CBD). Review of the Status and Trends of, and Major Threats to, Forest Biological Diversity; Secretariat of the Convention on Biological Diversity: Montreal, QC, Canada, 2002; p. 164.
- Zietsman, L. Observations on Environmental Change in South Africa; Africa SUN Media: Stellenbosch, South Africa, 2011. [Google Scholar]
- Agency, E.E. The Impacts of Invasive Alien Species in Europe; Publications Office of the European Union: Luxembourg, 2012. [Google Scholar]
- Early, R.; Bradley, B.A.; Dukes, J.S.; Lawler, J.J.; Olden, J.D.; Blumenthal, D.M.; Gonzalez, P.; Grosholz, E.D.; Ibañez, I.; Miller, L.P. Global threats from invasive alien species in the twenty-first century and national response capacities. Nat. Commun. 2016, 7, 12485. [Google Scholar] [CrossRef] [PubMed]
- Mack, R.N.; Simberloff, D.; Mark Lonsdale, W.; Evans, H.; Clout, M.; Bazzaz, F.A. Biotic invasions: Causes, epidemiology, global consequences, and control. Ecol. Appl. 2000, 10, 689–710. [Google Scholar] [CrossRef]
- Ruiz, G.M.; Carlton, J.T. Invasive species: Vectors management strategies. In Invasion Vectors: A Conceptual Framework for Management; Island Press: Washington, DC, USA, 2003; pp. 459–504. [Google Scholar]
- Dybas, C.L. Harmful algal blooms: Biosensors provide new ways of detecting and monitoring growing threat in coastal waters. BioScience 2003, 53, 918–923. [Google Scholar] [CrossRef][Green Version]
- USDA, Natural Resources Conservation Services (NRCS). The PLANTS Database. 2013. Available online: https://www.nrcs.usda.gov/wps/portal/nrcs/main/national/plantsanimals/plants/ (accessed on 18 March 2022).
- Lázaro-Lobo, A.; Ervin, G.N. A global examination on the differential impacts of roadsides on native vs. exotic and weedy plant species. Glob. Ecol. Conserv. 2019, 17, e00555. [Google Scholar] [CrossRef]
- National Institute of Environmental Research (NIER). Survey for Ecological Impact by Naturalized Organisms (I); National Institute of Environmental: Seoul, Korea, 1995.
- National Institute of Environmental Research (NIER). Survey for Ecological Impact by Naturalized Organisms (II); National Institute of Environmental: Seoul, Korea, 1996.
- Zhou, T.; Liu, S.; Feng, Z.; Liu, G.; Gan, Q.; Peng, S. Use of exotic plants to control Spartina alterniflora invasion and promote mangrove restoration. Sci. Rep. 2015, 5, 12980. [Google Scholar] [CrossRef] [PubMed]










| Plot | pH | OM | TN | AP (ppm) | Ca2+ | Mg2+ | K |
|---|---|---|---|---|---|---|---|
| (%) | (cmolc/kg) | ||||||
| Raw | 3.40 (0.08) | 7.85 (0.69) | 0.15 (0.02) | 0.02 (0.01) | 0.31 (0.04) | 0.12 (0.03) | 0.05 (0.03) |
| FS | 4.94 (0.06) | 7.93 (0.47) | 0.32 (0.03) | 6.96 (3.02) | 2.11 (0.04) | 0.75 (0.03) | 0.35 (0.04) |
| OF | 4.95 (0.10) | 16.1 (0.96) | 0.38 (0.03) | 2.15 (1.36) | 1.05 (0.06) | 0.48 (0.03) | 0.14 (0.03) |
| Layer | Species | Criteria Rank |
|---|---|---|
| Canopy tree | Pinus densiflora | 2 |
| Quercus variabilis Blume. | 1 | |
| Q, mongolica | 1 | |
| Q. serrata Murray. | 1 | |
| Q. dentate Thunb. | 1 | |
| Betula davurica Pall. | 1 | |
| B. schmidtii | 2 | |
| B. platyphylla var. japonica | 2 | |
| Fraxinus rhynchophylla Hance. | 1 | |
| Kalopanax pictus Nakai. | 2 | |
| Understory tree | Lindera obtusiloba Blume. | 1 |
| Maackia amurensis Rupr. | 1 | |
| Euonymus oxyphyllus Miq. | 1 | |
| Styrax obassia Siebold & Zucc. | 1 | |
| Shrub | Corylus sieboldiana Blume. | 1 |
| Fraxinus sieboldiana Blume. | 1 | |
| Juniperus rigida Siebold & Zucc. | 1 | |
| Lespedeza cyrtobotrya | 2 | |
| L. maximowiczii | 2 | |
| Rhododendron mucronulatum | 1 | |
| Rhus trichocarpa Miq. | 1 | |
| R. chinensis | 1 | |
| Salix hulteni Flod. | 2 | |
| Smilax china L. | 1 | |
| Tripterygium regelii Sprague & Takeda. | 1 | |
| Zanthoxylum schinifolium Siebold & Zucc. | 1 | |
| Herb | Spodiopogon sibiricus | 2 |
| Arundinella hirta | 2 | |
| Potentilla freyniana Bornm. | 1 | |
| Pteridium aquilinum var. latiusculum Underw. | 1 | |
| Vitis coignetiae Pulliat ex Planch. | 1 | |
| Miscanthus sinensis | 2 | |
| Themeda triandra var. japonica Forssk. | 1 | |
| Cymbopogon tortilis var. goeringii Hand.-Mazz. | 1 | |
| Echinochloa Crus-galli var. oryzicola Ohwi. | 1 | |
| Echinochloa crus-galli P.Beauv. | 1 | |
| Aster scaber Thunb. | 1 | |
| Actinidia rufa Siebold & Zucc. | 1 | |
| Polygonatum odoratum var. pluriflorum Ohwi. | 1 | |
| Saussurea grandifolia Maxim. | 1 |
| Scientific Name (Genus) | Coal | OF | FS | Coal/OF (%) | Coal/FS (%) | Order of Tolerance 1 | Order of Tolerance 2 | Synthetic Order | Remarks |
|---|---|---|---|---|---|---|---|---|---|
| Pinus | 1.32 | 1.80 | 1.60 | 73.3 | 82.5 | 1 | 1 | 1 | Tree |
| Miscanthus | 0.55 | 0.94 | 0.71 | 77.5 | 58.5 | 1 | 4 | 2 | C4 |
| Quercus | 1.00 | 1.50 | 1.48 | 66.7 | 67.6 | 2 | 2 | 3 | Tree |
| Echinochloa | 0.51 | 0.87 | 0.79 | 64.6 | 58.6 | 5 | 3 | 4 | C4 |
| Themeda | 0.49 | 0.91 | 0.71 | 69.0 | 53.8 | 3 | 7 | 5 | C4 |
| Cymbopogon | 0.33 | 0.60 | 0.52 | 63.5 | 55.0 | 6 | 5 | 6 | C4 |
| Amaranthus | 0.23 | 0.42 | 0.39 | 59.0 | 54.5 | 7 | 6 | 7 | C4 |
| Spodiopogon | 0.38 | 0.81 | 0.68 | 55.8 | 46.9 | 8 | 8 | 8 | C4 |
| Lespedeza 1 | 0.27 | 0.59 | 0.49 | 55.1 | 45.8 | 9 | 9 | 9 | Legume |
| Melica | 0.31 | 0.72 | 0.57 | 54.4 | 43.1 | 10 | 10 | 10 | C4 |
| Lespedeza 2 | 0.27 | 0.65 | 0.51 | 52.9 | 41.5 | 11 | 11 | 11 | Legume |
| Lespedeza 3 | 0.19 | 0.51 | 0.43 | 49.3 | 37.3 | 12 | 12 | 12 | Legume |
| Albizzia | 0.23 | 0.65 | 0.48 | 47.9 | 35.4 | 13 | 13 | 13 | Legume |
| Artemisia | 0.11 | 0.35 | 0.28 | 39.3 | 31.4 | 14 | 14 | 14 | C3 |
| Rumex | 0.12 | 0.52 | 0.33 | 36.4 | 23.1 | 15 | 15 | 15 | C3 |
Publisher’s Note: MDPI stays neutral with regard to jurisdictional claims in published maps and institutional affiliations. |
© 2022 by the authors. Licensee MDPI, Basel, Switzerland. This article is an open access article distributed under the terms and conditions of the Creative Commons Attribution (CC BY) license (https://creativecommons.org/licenses/by/4.0/).
Share and Cite
Lim, B.-S.; Kim, A.-R.; Seol, J.; Oh, W.-S.; An, J.-H.; Lim, C.-H.; Lee, C.-S. Effects of Soil Amelioration and Vegetation Introduction on the Restoration of Abandoned Coal Mine Spoils in South Korea. Forests 2022, 13, 483. https://doi.org/10.3390/f13030483
Lim B-S, Kim A-R, Seol J, Oh W-S, An J-H, Lim C-H, Lee C-S. Effects of Soil Amelioration and Vegetation Introduction on the Restoration of Abandoned Coal Mine Spoils in South Korea. Forests. 2022; 13(3):483. https://doi.org/10.3390/f13030483
Chicago/Turabian StyleLim, Bong-Soon, A-Reum Kim, Jaewon Seol, Woo-Seok Oh, Ji-Hong An, Chi-Hong Lim, and Chang-Seok Lee. 2022. "Effects of Soil Amelioration and Vegetation Introduction on the Restoration of Abandoned Coal Mine Spoils in South Korea" Forests 13, no. 3: 483. https://doi.org/10.3390/f13030483
APA StyleLim, B.-S., Kim, A.-R., Seol, J., Oh, W.-S., An, J.-H., Lim, C.-H., & Lee, C.-S. (2022). Effects of Soil Amelioration and Vegetation Introduction on the Restoration of Abandoned Coal Mine Spoils in South Korea. Forests, 13(3), 483. https://doi.org/10.3390/f13030483

