Differential Impacts of Acacia Invasion on Nutrient Fluxes in Two Distinct Bornean Lowland Tropical Rain Forests
Abstract
1. Introduction
- Do rates of litterfall production differ between the intact and Acacia-invaded heath and mixed dipterocarp forests?
- Do leaf litterfall nutrient concentrations, nutrient addition via litterfall, and stand-level nutrient use efficiency (NUE) differ between the intact and Acacia-invaded heath and mixed dipterocarp forests?
- Are there any differences in nutrient release between A. mangium litter and mixed-species litter in Acacia-invaded habitats?
2. Materials and Methods
2.1. Study Site
2.2. Determination of Litterfall Production
2.3. Determination of Leaf Litter Decomposition Rates
2.4. Chemical Analyses
2.5. Data Analysis
2.5.1. Litterfall Production
2.5.2. Leaf Litter Decomposition Rates
2.6. Statistical Analyses
3. Results
3.1. Litterfall Production
3.1.1. Variation in Litterfall Production
3.1.2. Variation in Nutrient Concentrations in Leaf Litterfall Production
3.1.3. Nutrient Addition from Leaf Litterfall Production
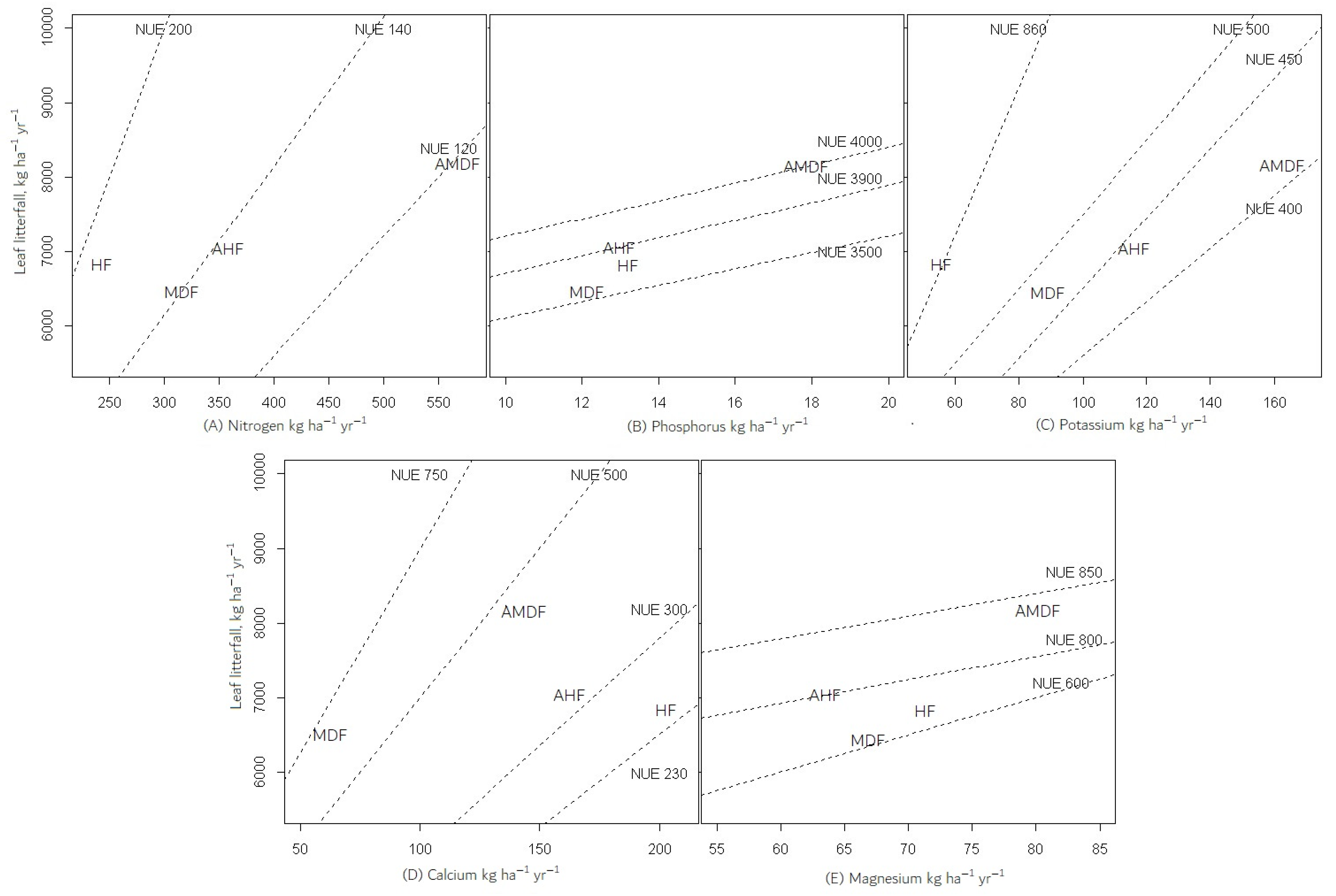
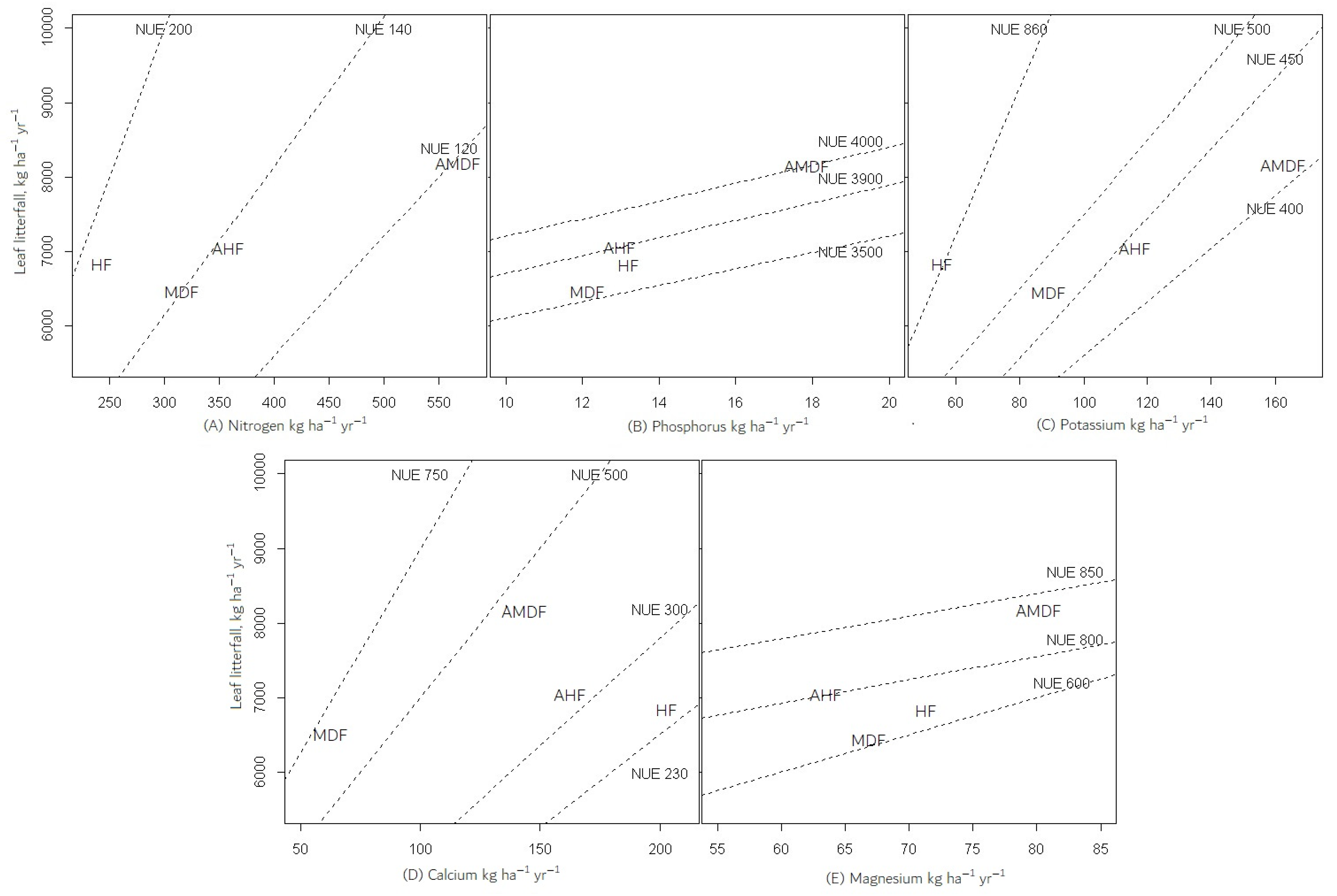
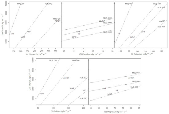
3.1.4. Variation in Stand-Level Nutrient Use Efficiency (NUE) of Leaf Litter Production
3.1.5. Variation in Leaf Litter Decomposition Rates
3.1.6. Variation in Litter pH and Nutrients Release
4. Discussion
4.1. Effects of Acacia Invasion on Litterfall Production and the Influence of Rainfall
4.2. Effects of Habitat Types on Nutrient Concentrations in Leaf Litter
4.3. Effects of Acacia Invasion on Nutrient Addition from Leaf Litter Production
4.4. Effects of Acacia Invasion on Stand-Level Nutrient Use Efficiency (NUE) of Leaf Litter Production
4.5. Cumulative Impacts of Acacia Invasion on Leaf Litterfall Nutrient Concentrations, Nutrient Addition, and NUE
4.6. Effects of Acacia Invasion on Leaf Litter Decomposition Rates and Nutrient Release Patterns
5. Conclusions
Supplementary Materials
Author Contributions
Funding
Data Availability Statement
Acknowledgments
Conflicts of Interest
References
- Ehrenfeld, J.G. Effects of exotic plant invasions on soil nutrient cycling processes. Ecosystem 2003, 6, 503–523. [Google Scholar] [CrossRef]
- Incerti, G.; Carteni, F.; Cesarano, G.; Sarker, T.C.; Abd El-Gawad, A.M.; D’Ascoli, R.; Bonanomi, G.; Giannino, F. Faster N release, but not C loss, from leaf litter of invasives compared to native species in Mediterranean ecosystems. Front. Plant Sci. 2018, 9, 534. [Google Scholar] [CrossRef]
- Railoun, M.Z.; Simaika, J.P.; Jacobs, S.M. Leaf litter production and litter nutrient dynamics of invasive Acacia mearnsii and native tree species in riparian forests of the Fynbos biome, South Africa. For. Ecol. Manag. 2021, 498, 119515. [Google Scholar] [CrossRef]
- Raghumara, M.; Sankaran, M. Invasive nitrogen-fixing plants increase nitrogen availability and cycling rates in a montane tropical grassland. Plant Ecol. 2022, 223, 13–26. [Google Scholar] [CrossRef]
- Zhang, L.; Ma, X.; Wang, H.; Liu, S.; Siemann, E.; Jianwen, Z. Soil respiration and litter decomposition increased following perennial forb invasion into an annual grassland. Pedosphere 2016, 26, 567–576. [Google Scholar] [CrossRef]
- Sardans, J.; Bartrons, M.; Margalef, O.; Gargallo-Garrriga, A.; Janssens, I.A.; Ciais, P.; Obersteiner, M.; Sigurdsson, B.D.; Chen, H.Y.H.; Penuelas, J. Plant invasion is associated with higher plant-soil nutrient concentrations in nutrient-poor environments. Glob. Chang. Biol. 2016, 23, 1282–1291. [Google Scholar] [CrossRef]
- Wardle, D.A.; Peltzer, D.A. Impacts of invasive biota in forest ecosystems in an aboveground-belowground context. Biol. Invasions 2017, 19, 3301–3316. [Google Scholar] [CrossRef]
- Prescott, C.E.; Zukswert, J.M. Invasive plant species and litter decomposition: Time to challenge assumptions. New Phytol. 2016, 209, 5–7. [Google Scholar] [CrossRef]
- Hawkes, C.V.; Wren, I.F.; Herman, D.J.; Firestone, M.K. Plant invasion alters nitrogen cycling by modifying the soil nitrifying community. Ecol. Lett. 2005, 8, 976–985. [Google Scholar] [CrossRef]
- Lindsay, E.A.; French, K. Litterfall and nitrogen cycling following invasion by Chrysanthemoides monilifera ssp. rotundata in coastal Australia. J. Appl. Ecol. 2005, 42, 556–566. [Google Scholar] [CrossRef]
- Aragon, R.; Montti, L.; Ayup, M.M.; Fernandez, R. Exotic species as modifiers of ecosystem processes: Litter decomposition in native and invaded secondary forests of NW Argentina. Acta Oecol. 2014, 54, 21–28. [Google Scholar] [CrossRef]
- Marchante, E.; Kjøller, A.; Struwe, S.; Freitas, H. Short-and long-term impacts of Acacia longifolia invasion on the belowground processes of a Mediterranean coastal dune ecosystem. Appl. Soil Ecol. 2008, 40, 210–217. [Google Scholar] [CrossRef]
- Lorenzo, P.; Rodríguez-Echeverría, S. Influence of soil microorganisms, allelopathy and soil origin on the establishment of the invasive Acacia dealbata. Plant Ecol. Divers. 2012, 5, 67–73. [Google Scholar] [CrossRef]
- Rodríguez-Echeverría, S.; Afonso, C.; Correia, M.; Lorenzo, P.; Roiloa, S.R. The effect of soil legacy on competition and invasion by Acacia dealbata Link. Plant Ecol. 2013, 214, 1139–1146. [Google Scholar] [CrossRef]
- Windham, L.; Ehrenfeld, J.G. Net impact of a plant invasion on nitrogen-cycling processes within a brackish tidal marsh. Ecol Appl. 2003, 13, 883–896. [Google Scholar] [CrossRef]
- Matzek, V. Superior performance and nutrient-use efficiency of invasive plants over non-invasive congeners in a resource-limited environment. Biol. Invasions. 2011, 13, 3005–3014. [Google Scholar] [CrossRef]
- Padmanaba, M.; Corlett, R.T. Minimizing risks of invasive alien plant species in tropical production forest management. Forests 2014, 5, 1982–1998. [Google Scholar] [CrossRef]
- Peh, K.S.H. Invasive species in Southeast Asia: The knowledge so far. Biodivers. Conserv. 2010, 19, 1083–1099. [Google Scholar] [CrossRef]
- Myers, N.; Mittermeier, R.A.; Mittermeier, C.G.; Fonseca, G.A.B.; Kent, J. Biodiversity hotspots for conservation priorities. Nature. 2000, 403, 853–858. [Google Scholar] [CrossRef]
- Sodhi, N.S.; Koh, L.P.; Brook, B.W.; Ng, P.K.L. Southeast Asian biodiversity: An impending disaster. Trends Ecol. Evol. 2004, 19, 654–660. [Google Scholar] [CrossRef]
- Richardson, D.M.; Rejmánek, M. Trees and shrubs as invasive alien species—A global review. Divers. Distrib. 2011, 17, 788–809. [Google Scholar] [CrossRef]
- Corlett, R.T. Invasive aliens on tropical East Asian islands. Biodivers. Conserv. 2010, 19, 411–423. [Google Scholar] [CrossRef]
- Koutika, L.S.; Richardson, D.M. Acacia mangium Willd: Benefits and threats associated with its increasing use around the world. For. Ecosyst. 2019, 6, 1–13. [Google Scholar] [CrossRef]
- Yelenik, S.G.; Stock, W.D.; Richardson, D.M. Ecosystem level impacts of invasive Acacia saligna in the South African fynbos. Restor. Ecol. 2004, 12, 44–51. [Google Scholar] [CrossRef]
- Inagaki, M.; Ishizuka, S. Ecological impact on nitrogen and phosphorus cycling of a widespread fast-growing leguminous tropical forest plantation tree species, Acacia mangium. Diversity 2011, 3, 712–720. [Google Scholar] [CrossRef]
- Inagaki, M.; Kamo, K.; Miyamoto, K.; Titin, J.; Jamalung, L.; Lapongan, J.; Miura, S. Nitrogen and phosphorous retranslocation and N:P ratios of litterfall in three tropical plantations: Luxurious N and efficient P use by Acacia mangium. Plant Soil. 2011, 341, 295–307. [Google Scholar] [CrossRef]
- Osunkoya, O.O.; Othman, F.E.; Kahar, R.S. Growth and competition between seedlings of an invasive plantation tree, Acacia mangium, and those of a native Borneo heath-forest species, Melastoma beccarianum. Ecol. Res. 2005, 20, 205–214. [Google Scholar] [CrossRef]
- Jambul, R.; Limin, A.; Ali, A.N.; Slik, F. Invasive Acacia mangium dominance as an indicator for heath forest disturbance. Environ. Sust. Indic. 2020, 8, 100059. [Google Scholar] [CrossRef]
- Tuah, W.; Tennakoon, K.U.; Jaafar, S.M.; Sukri, R.S. Post-fire impacts on tree diversity in coastal heath forests of Brunei Darussalam. Sci. Bruneiana 2020, 19, 19–32. [Google Scholar]
- Yusoff, A.; Tennakoon, K.U.; Jaafar, S.; Zaman, D.N.A.N.; Sukri, R.S. Effects of Acacia invasion on leaf litter nutrient and soil properties of coastal Kerangas forests in Brunei Darussalam. Sci. Bruneiana 2019, 18, 1–10. [Google Scholar] [CrossRef]
- Ibrahim, M.H.; Metali, F.; Tennakoon, K.U.; Sukri, R.S. Impacts of invasive Acacias on ion deposition in a coastal Bornean tropical heath forest. J. For. Res. 2022, 27, 20–27. [Google Scholar] [CrossRef]
- Jaafar, S.M.; Metali, F.; Sukri, R.S. Acacia invasion differentially impacts soil properties of two contrasting tropical lowland forests in Brunei Darussalam. J. Trop. Ecol. 2022, 38, 259–266. [Google Scholar] [CrossRef]
- Moran, J.A.; Barker, M.G.; Moran, A.J.; Becker, P.; Ross, S.M. A comparison of the soil water, nutrient status, and litterfall characteristics of Tropical Heath and Mixed-Dipterocarp Forest sites in Brunei. Rev. Biol. Trop. 2000, 32, 2–13. [Google Scholar]
- Matali, S.; Metali, F. Selected soil physico-chemical properties in the Acacia mangium plantation and the adjacent heath forest at Andulau Forest Reserve. Malays. J. Soil Sci. 2015, 19, 45–48. [Google Scholar]
- Jaafar, S.; Sukri, R.S.; Procheş, Ş. An investigation of soil physico-chemical variables across different lowland forest ecosystems of Brunei Darussalam. Malays. J. Sci. 2016, 35, 148–166. [Google Scholar] [CrossRef][Green Version]
- Ashton, P.S. Ecological Studies in Mixed-dipterocarp Forests of Brunei State; Forestry Memoirs: Oxford, UK, 1964. [Google Scholar]
- Brunig, E.F. Ecological Studies in the Kerangas Forest of Sarawak and Brunei; Borneo Literature Bureau: Sarawak, Malaysia, 1974. [Google Scholar]
- Davies, S.J.; Becker, P. Floristic composition and stand structure of mixed dipterocarp and heath forests in Brunei Darussalam. J. Trop. For. Sci. 1996, 8, 542–569. [Google Scholar]
- Din, H.; Metali, F.; Sukri, R.S. Tree diversity and community composition of the Tutong white sands, Brunei Darussalam: A rare tropical heath forest ecosystem. Int. J. Ecol. 2015, 2015, 807876. [Google Scholar] [CrossRef]
- Ashton, P.S. On the Forests of Tropical Asia: Lest the Memory Fade; Kew Publishing: London, UK, 2014. [Google Scholar]
- Suhaili, A.L.R. The Impact of Invasive Acacia mangium Willd. on Litterfall Production and Decomposition in Tropical Heath Forest Habitats of Brunei Darussalam. Master’s Thesis, Universiti Brunei Darussalam, Gadong, Brunei Darussalam, 2017. [Google Scholar]
- Vieites-Blanco, C.; Gonzalez-Prieto, S.J. Invasiveness, ecological impacts and control of acacias in southwestern Europe—A review. Web Ecol. 2020, 20, 33–51. [Google Scholar] [CrossRef]
- Sukri, R.S.; Wahab, R.A.; Salim, K.A.; Burslem, D.F.R.P. Habitat associations and community structure of Dipterocarps in response to environment and soil conditions in Brunei Darussalam, Northwest Borneo. Biotropica 2012, 44, 595–605. [Google Scholar] [CrossRef]
- Anderson, J.A.R.; Marsden, D. Brunei Forest Resources and Strategic Planning Study; The Forest Resources of Negara Brunei Darussalam, Bandar Seri Begawan: Gadong, Brunei Darussalam, 1984. [Google Scholar]
- Jaafar, S.M. Investigating the Effects of Invasive Acacia Species on The Nutrient Cycling of Brunei’s Tropical Lowland Rain Forests. Ph.D. Thesis, Universiti Brunei Darussalam, Gadong, Brunei Darussalam, 2020. [Google Scholar]
- Suhaili, A.L.R.; Tennakoon, K.U.; Sukri, R.S. Soil seed bank of an exotic Acacia sp. plantation and an adjacent tropical heath forest in Brunei Darussalam. Biotropia 2015, 22, 140–150. [Google Scholar]
- Muller-Landau, H.C.; Wright, S.J. Litterfall Monitoring Protocol. In CTFS Global Forest Carbon Research Initiative; Smithsonian Tropical Research Institute: Panama City, Panama, 2010. [Google Scholar]
- Proctor, J.; Anderson, J.M.; Chai, P.; Vallack, H.W. Ecological studies in four contrasting lowland rain forests in Gunung Mulu National Park, Sarawak. J. Ecol. 1983, 71, 237–260. [Google Scholar] [CrossRef]
- Dutta, R.K.; Agrawal, M. Litterfall, litter decomposition and nutrient release in five exotic plant species planted on coal mine spoils. Pedobiologia 2001, 45, 298–312. [Google Scholar] [CrossRef]
- Cizungu, L.; Staelens, J.; Huygens, D.; Walangululu, J.; Muhindo, D.; van Cleemput, O.; Boeckx, P. Litterfall and leaf litter decomposition in a central African tropical mountain forest and Eucalyptus plantation. For. Ecol. Manag. 2014, 326, 109–116. [Google Scholar] [CrossRef]
- Didham, R.K. Altered leaf-litter decomposition rates in tropical forest fragments. Oecologia 1998, 116, 397–406. [Google Scholar] [CrossRef] [PubMed]
- Dent, D.H.; Bagchi, R.; Robinson, D.; Majalap-Lee, N.; Burslem, D.F.R.P. Nutrient fluxes via litterfall and leaf litter decomposition vary across a gradient of soil nutrient supply in lowland tropical rain forest. Plant Soil. 2006, 288, 197–215. [Google Scholar] [CrossRef]
- Pérez-Harguindeguy, N.; Díaz, S.; Garnier, E.; Lavorel, S.; Poorter, H.; Jaureguiberry, P.; Bret-Harte, M.S.; Cornwell, W.K.; Craine, J.M.; Gurvich, D.E.; et al. New handbook for standardised measurement of plant functional traits worldwide. Aust. J. Bot. 2013, 61, 167–234. [Google Scholar] [CrossRef]
- Allen, S.E.; Grimshaw, H.M.; Parkinson, J.A.; Quarmby, C. Chemical Analysis of Ecological Material; Blackwell: Oxford, UK, 1989. [Google Scholar]
- Vitousek, P. Nutrient cycling and nutrient use efficiency. Am. Nat. 1982, 119, 553–572. [Google Scholar] [CrossRef]
- Vitousek, P. Litterfall, nutrient cycling and nutrient limitation in tropical forests. Ecology 1984, 65, 285–298. [Google Scholar] [CrossRef]
- Silver, W.L. Is nutrient availability related to plant nutrient use in humid tropical rain forests? Oecologia 1994, 98, 336–343. [Google Scholar] [CrossRef]
- Sukri, R.S. Differentiation of Dipterocarp Floristic Composition and Species Distributions in Brunei Darussalam. Ph.D. Thesis, University of Aberdeen, Scotland, UK, 2010. [Google Scholar]
- Olson, J.S. Energy storage and the balance of producers and decomposers in ecological systems. Ecology 1963, 44, 322–331. [Google Scholar] [CrossRef]
- Bockheim, J.G.; Jepsen, E.A.; Heisey, D.M. Nutrient dynamics in decomposing leaf litter of four tree species on a sandy soil in north-western Wisconsin. Can. J. For. Res. 1991, 21, 803–812. [Google Scholar] [CrossRef]
- Bragazza, L.; Siffi, C.; Iacumin, P.; Gerdol, R. Mass loss and nutrient release during litter decay in peatland: The role of microbial adaptability to litter chemistry. Soil Biol. Biochem. 2007, 39, 257–267. [Google Scholar] [CrossRef]
- Pinheiro, J.; Bates, D.; DebRoy, S.; Sarkar, D.; R Core Team. nlme: Linear and Nonlinear Mixed Effects Models. R Package Version 3.1-137. 2018. Available online: http://CRAN.R-project.org/package=nlme (accessed on 1 July 2018).
- Becker, P. Seasonality of rainfall and drought in Brunei Darussalam. Brunei Mus. J. 1992, 7, 99–109. [Google Scholar]
- Zhang, H.; Yuan, W.; Liu, S. Seasonal patterns of litterfall in forest ecosystem worldwide. Ecol. Complex. 2014, 20, 240–247. [Google Scholar] [CrossRef]
- Nakagawa, M.; Ushio, M.; Kume, T.; Nakashizuka, T. Seasonal and long-term patterns in litterfall in a Bornean tropical rainforest. Ecol. Res. 2019, 34, 1–9. [Google Scholar] [CrossRef]
- Pinheiro, J.C.; Bates, D.M. Mixed-Effects Models in S and S-Plus; Springer: New York, NY, USA, 2004. [Google Scholar]
- Zuur, A.F.; Ieno, E.N.; Walker, N.J.; Savaliev, A.A.; Smith, G.M. Mixed Effects Models and Extensions in Ecology with R; Springer: New York, NY, USA, 2009. [Google Scholar]
- Lenth, R.V. Least-squares means: The R package lsmeans. J. Stat. Softw. 2018, 69, 1–33. [Google Scholar]
- R Development Core Team. R: A Language and Environment for Statistical Computing; R Foundation for Statistical Computing: Vienna, Austria, 2018; ISBN 3-900051-07-0. Available online: http://www.R-project.org/ (accessed on 1 July 2018).
- Gouws, A.J.; Shackleton, C.M. Abundance and correlates of the Acacia dealbata invasion in the northern Eastern Cape, South Africa. For. Ecol. Manag. 2019, 432, 455–466. [Google Scholar] [CrossRef]
- Miyamoto, K.; Rahajoe, J.S.; Kohyama, T.; Mirmanto, E. Forest structure and primary productivity in a Bornean Heath Forest. Biotropica 2007, 39, 35–42. [Google Scholar] [CrossRef]
- Morris, T.L.; Esler, K.J.; Barger, N.N.; Jacobs, S.M.; Cramer, M.D. Ecophysiological traits associated with the competitive ability of invasive Australian acacias. Divers. Distrib. 2011, 17, 898–910. [Google Scholar] [CrossRef]
- Milton, S.J. Litterfall of the exotic acacias in the south Western Cape. S. Afr. J. Bot. 1981, 47, 147–157. [Google Scholar]
- Gibson, M.R.; Richardson, D.M.; Marchante, E.; Marchante, H.; Rodger, J.G.; Stone, G.N.N.; Byrne, M.; Fuentes-Ramirez, A.; George, N.; Harris, C.; et al. Reproductive ecology of Australian acacias: Fundamental mediator of invasive success? Divers. Distrib. 2011, 17, 911–933. [Google Scholar] [CrossRef]
- Saharjo, B.H.; Watanabe, H. Estimation of litter fall and seed production of Acacia mangium in a forest plantation in South Sumatra, Indonesia. For. Ecol. Manag. 2000, 120, 265–268. [Google Scholar] [CrossRef]
- Luhende, R.; Nyadzi, G.; Malimbwi, R.E. Annual litter fall of nitrogen-fixing tree species in rotational woodlots at Tumbi (Tabora), Western Tanzania. ICRAF 2004, 7, 3–4. [Google Scholar]
- Kunhamu, T.K.; Kumar, B.M.; Viswanath, S. Does thinning affect litterfall, litter decomposition, and associated nutrient release in Acacia mangium stands of Kerala in peninsular India? Can. J. For. Res. 2009, 39, 792–801. [Google Scholar] [CrossRef]
- Gaol, M.L.; Fox, J.E.D. Reproductive potential of Acacia species in the central wheatbelt: Variation between years. Conserv. Sci. West. Aust. 2002, 4, 147–157. [Google Scholar]
- Sakai, S.; Momose, K.; Yumoto, T.; Nagamitsu, T.; Nagamasu, H.; Hamid, A.A.; Nakashizuka, T. Plant reproductive phenology over four years including an episode of general flowering in a lowland dipterocarp forest, Sarawak, Malaysia. Am. J. Bot. 1999, 86, 1414–1436. [Google Scholar] [CrossRef] [PubMed]
- Parsons, S.A.; Valdez-Ramirez, V.; Congdon, R.A.; Williams, S.E. Contrasting patterns of litterfall seasonality and seasonal changes in litter decomposability in a tropical rainforest region. Biogeosciences 2014, 11, 5047–5056. [Google Scholar] [CrossRef]
- Jeddi, K.; Fakhfakh, L.M.; Siddique, K.H.M.; Hessini, K.; Chaieb, M. Effect of Acacia saligna (Labill.) Wendl. extracts on seed germination and seedling performance of three native Mediterranean shrubs. Bot. Lett. 2022, 169, 51–60. [Google Scholar] [CrossRef]
- Nsikani, M.M.; Gaertner, M.; Latombe, G.; Esler, J.J. Soil nitrogen availability favours the growth but not germination of secondary invaders after clearing invasive Acacia saligna. S. Afr. J. Bot. 2021, 143, 198–204. [Google Scholar] [CrossRef]
- Gillman, L.N.; Ogden, J. Microsite heterogeneity in litterfall risk to seedlings. Austral. Ecol. 2005, 30, 497–504. [Google Scholar] [CrossRef]
- Ismail, N.A.N.; Metali, F. Allelopathic effects of invasive Acacia mangium germination and growth of local paddy varieties. J. Agron. 2014, 13, 158–168. [Google Scholar] [CrossRef]
- Lazzaro, L.; Giuliani, C.; Fabiani, A.; Agnelli, A.E.; Pastorelli, R.; Lagomarsino, A.; Benesperi, R.; Calamassi, R.; Foggi, B. Soil and plant changing after invasion: The case of Acacia dealbata in a Mediterranean ecosystem. Sci. Total Environ. 2014, 497–498, 491–498. [Google Scholar] [CrossRef] [PubMed]
- Hussain, M.I.; El-Sheikh, M.A.; Reigosa, M.J. Allelopathic potential of aqueous extract from Acacia melanoxylon R. Br. on Lactuca sativa. Plants 2020, 9, 1228. [Google Scholar] [CrossRef] [PubMed]
- Mangla, S.; Callaway, R.M. Exotic invasive plant accumulates native soil pathogens which inhibit native plants. J. Ecol. 2008, 96, 58–67. [Google Scholar] [CrossRef]
- Marchante, E.; Kjoller, A.; Struwe, S.; Freitas, H. Soil recovery after removal of the N2-fixing invasive Acacia longifolia: Consequences for ecosystem restoration. Biol. Invasions 2009, 11, 813–823. [Google Scholar] [CrossRef]
- Fabbro, C.D.; Gusewell, S.; Prati, D. Allelopathic effects of three plant invaders on germination of native species: A field study. Biol. Invasions 2014, 16, 1035–1042. [Google Scholar] [CrossRef]
- Schulze, E.D.; Nicolle, D.; Boerner, A.; Lauerer, M.; Aas, G.; Schulze, I. Stable carbon and nitrogen isotope ratios of Eucalyptus and Acacia species along a seasonal rainfall gradient in Western Australia. Trees 2014, 28, 1125–1135. [Google Scholar] [CrossRef]
- Vincent, B.; Philippe, J.; Farid, J.; Marc, D.; Antoine, G. Biological in situ nitrogen fixation by an Acacia species reaches optimal rates on extremely contrasted soils. Eur. J. Soil Biol. 2018, 86, 52–62. [Google Scholar] [CrossRef]
- Mfilinge, A.; Mtei, K.; Ndakidemi, P.A. Effects of rhizobium inoculation and supplementation with P and K, on growth, leaf chlorophyll content and nitrogen fixation of bush bean varieties. Am. J. Res. Commun. 2014, 2, 49–87. [Google Scholar]
- Russell, A.E.; Hall, S.J.; Raich, J.W. Tropical tree species traits drive soil cation dynamics via effects on pH: A proposed conceptual framework. Ecol. Monogr. 2017, 87, 685–701. [Google Scholar] [CrossRef]
- Rorison, I.H.; Robinson, D. Calcium as an environmental variable. Plant Cell Environ. 1984, 7, 381–390. [Google Scholar] [CrossRef]
- Sellan, G.; Thompson, J.; Majalap, N.; Brearley, F.Q. Soil characteristics influence species composition and forest structure differentially among tree size classes in a Bornean heath forest. Plant Soil. 2019, 438, 173–185. [Google Scholar] [CrossRef]
- He, H.; Bleby, T.M.; Veneklaas, E.J.; Lambers, H.; Kuo, J. Precipitation of calcium, magnesium, strontium and barium in tissues of four Acacia species (Leguminosae: Mimosoideae). PLoS ONE 2012, 7, e41563. [Google Scholar] [CrossRef] [PubMed]
- Wright, S.J.; Yavitt, J.B.; Wurzburger, N.; Turner, B.L.; Tanner, E.V.J.; Sayer, E.J.; Corre, M.D. Potassium, phosphorous, or nitrogen limit root allocation, tree growth, or litter production in a lowland tropical forest. Ecology 2011, 92, 1616–1625. [Google Scholar] [CrossRef]
- Weisany, W.; Raei, Y.; Allahverdipoor, K.H. Role of some mineral nutrients in biological nitrogen fixation. Bull. Environ. Pharmacol. Life Sci. 2013, 2, 77–84. [Google Scholar]
- Yelenik, S.G.; Stock, W.D.; Richardson, D.M. Functional group identity does not predict invader impacts: Differential effects of nitrogen fixing exotic plants on ecosystem function. Biol. Invasions 2007, 9, 117–125. [Google Scholar] [CrossRef]
- Witkowski, E.T.F. Effects of alien Acacias on nutrient cycling in coastal lowlands of the Cape Fynbos. J. Appl. Ecol. 1991, 28, 1–15. [Google Scholar] [CrossRef]
- Hamad-Sheip, Y.; Abdul-Hamid, H.; Abiri, R.; Saleh, M.-N.; Mohamed, J.; Jalil, A.-M.; Naji, H.R. Effect of Acacia mangium canopy on physicochemical characteristics and nutrient concentrations of the soil at Ayer Hitam Forest Reserve, Malaysia. Forests 2021, 12, 1259. [Google Scholar] [CrossRef]
- Vernimmen, R.R.E.; Bruijnzeel, L.A.; Proctor, J.; Verhoef, H.A.; Klomp, N.S. Does water stress, nutrient limitation, or H-toxicity explain the differential stature among heath forest types in Central Kalimantan, Indonesia? Biogeochemistry 2013, 113, 385–408. [Google Scholar] [CrossRef]
- Herwitz, S.R. Calcium, magnesium and potassium use efficiency of tropical rainforests. Phys. Geogr. 1987, 8, 324–332. [Google Scholar] [CrossRef]
- Jordan, C.F.; Herrera, R. Tropical rain forests: Are nutrients really critical? Am. Nat. 1981, 117, 167–180. [Google Scholar] [CrossRef]
- Stark, N.; Jordan, C.F. Nutrient retention by the root mat of an Amazonian rain forest. Ecology 1978, 59, 434–437. [Google Scholar] [CrossRef]
- Forrester, D.I.; Bauhus, J.; Comie, A.L. Nutrient cycling in a mixed-species plantation of Eucalyptus globulus and Acacia mearnsii. Can. J. For. Res. 2005, 35, 2942–2950. [Google Scholar] [CrossRef]
- Esterhuizen, N.; Forrester, J.; Esler, J.J.; Wigley-Coetzee, C.; Morcillo, R.J.; Kleinert, A.; Perez-Fernandez, M.; Valentine, A.J. Nitrogen and phosphorus influence Acacia saligna invasiveness in the fynbos biome. Plant Ecol. 2020, 221, 309–320. [Google Scholar] [CrossRef]
- Tinghong, Y.; Yuwei, L.; Jianglin, Z.; Wenfeng, H.; Weifeng, Z.; Jianwei, L.; Yongzhong, X.; Xiaokun, L. Nitrogen, phosphorus, and potassium fertilization affects the flowering time of rice (Oryza sativa L.). Glob. Ecol. Conserv. 2019, 20, e00753. [Google Scholar]
- van der Waal, B. The effects of Acacia mearnsii invasion and clearing on soil loss in the Kouga mountains, Eastern Cape, South Africa. Land Degrad. Dev. 2011, 23, 577–585. [Google Scholar] [CrossRef]
- Baillie, I.C.; Ashton, P.S.; Chin, S.P.; Davies, S.J.; Palmiotto, P.A.; Russo, S.E.; Tan, S. Spatial associations of humus, nutrients and soils in mixed dipterocarp forests in Lambir, Sarawak, Malaysian Borneo. J. Trop. Ecol. 2006, 22, 543–553. [Google Scholar] [CrossRef][Green Version]
- Paoli, G.D.; Curran, L.M.; Zak, D.R. Soil nutrients and beta diversity in the Bornean Dipterocarpaceae: Evidence for niche partitioning by tropical rain forest trees. J. Ecol. 2006, 94, 157–170. [Google Scholar] [CrossRef]
- Nottingham, A.T.; Turner, B.L.; Stott, A.W.; Tanner, E.V.J. Nitrogen and phosphorus constrain labile and stable carbon turnover in lowland tropical forest soils. Soil Biol. Biochem. 2015, 80, 26–33. [Google Scholar] [CrossRef]
- Mani, S.; Cao, M. Nitrogen and phosphorus concentration in leaf litter and soil in Xishuangbanna tropical forests: Does precipitation limitation matter? Forests 2019, 10, 242. [Google Scholar] [CrossRef]
- Lorenzo, P.; Pereira, C.S.; Rodríguez-Echeverría, S. Differential impact on soil microbes of allelopathic compounds re-leased by the invasive Acacia dealbata Link. Soil Biol. Biochem. 2013, 57, 156–163. [Google Scholar] [CrossRef]
- Jamil, S. Determination of pH, Total Phenolic and Total Tannin Contents in Foliar and Litter of Three Invasive Acacia Species and a Native Heath Forest Species in Brunei Darussalam. Bachelor’s Thesis, Universiti Brunei Darussalam, Gadong, Brunei Darussalam, 2018. [Google Scholar]
- Turner, I.M.; Lucas, P.W.; Becker, P.; Wong, S.C.; Yong, W.H.; Choong, M.F.; Tyree, M.T. Tree leaf form in Brunei: A heath forest and a mixed dipterocarp forest compared. Biotropica 2000, 32, 53–61. [Google Scholar] [CrossRef]
- Maidin, N. Comparison of Tree Diversity in the Sungai Liang Acacia mangium Plantation and the nearby Andulau Forest Reserve. Bachelor’s Thesis, Universiti Brunei Darussalam, Gadong, Brunei Darussalam, 2014. [Google Scholar]
- Ideris, N.K.H. The Effects of Highway Construction on Plant Diversity, Tree Structure and Abundance in Andulau Forest Reserve, Belait. Bachelor’s Thesis, Universiti Brunei Darussalam, Gadong, Brunei Darussalam, 2014. [Google Scholar]
- Murugan, R.; Beggi, F.; Prabakaran, N.; Maqsood, S.; Joergensen, R.G. Changes in plant community and soil ecological indicators in response to Prosopis juliflora and Acacia mearnsii invasion and removal in two biodiversity hotspots in Southern India. Soil Ecol. Lett. 2020, 2, 61–72. [Google Scholar] [CrossRef]
- Castro-Diez, P.; Gonzalez-Munoz, N.; Alonso, A.; Gallardo, A.; Poorter, L. Effects of exotic invasive trees on nitrogen cycling: A case study in Central Spain. Biol. Invasions 2009, 11, 1973–1986. [Google Scholar] [CrossRef]
- Rahman, M.M.; Tsukamoto, J. Opposing effects of substrate quality and site factors on forest floor turnover rates: An example from the tropics. Forestry 2015, 88, 190–199. [Google Scholar] [CrossRef]
- Xiong, Y.; Xia, H.; Li, Z.; Cai, X.; Fu, S. Impacts of litter and understory removal on soil properties in a subtropical Acacia mangium plantations in China. Plant Soil. 2008, 304, 179–188. [Google Scholar] [CrossRef]
- Bisong, F.E.; Utang, P.B.; Offiong, R. Micro-climate implications of forest conversion for floral diversity in humid forest region of south eastern Nigeria. J. Geog. Geol. 2012, 4, 283–290. [Google Scholar] [CrossRef]
- Le Roux, J.J.; Ellis, A.G.; van Zyl, L.-M.; Hosking, N.D.; Keet, J.-H.; Yannelli, F.A. Importance of soil legacy effects and successful mutualistic interactions during Australian acacia invasions in nutrient-poor environments. J. Ecol. 2018, 106, 2071–2081. [Google Scholar] [CrossRef]


| Litterfall Production | Heath Forest | Mixed Dipterocarp Forest | ||
|---|---|---|---|---|
| Intact | Invaded | Intact | Invaded | |
| Total litterfall | 9.51 ± 0.76 | 9.97 ± 0.64 | 9.05 ± 0.82 | 11.9 ± 0.91 *** |
| Leaf litterfall | 6.84 ± 0.60 | 7.05 ± 0.56 | 6.45 ± 0.69 | 8.19 ± 0.63 *** |
| Small wood | 1.97 ± 0.21 | 1.77 ± 0.20 | 1.92 ± 0.25 | 2.07 ± 0.25 |
| Reproductive | 0.33 ± 0.05 | 0.54 ± 0.06 *** | 0.40 ± 0.10 | 1.35 ± 0.28 *** |
| Trash | 0.36 ± 0.07 | 0.62 ± 0.28 | 0.29 ± 0.05 | 0.33 ± 0.08 |
| Leaf Litterfall Chemical Trait | Heath Forest | Mixed Dipterocarp Forest | ||
|---|---|---|---|---|
| Intact | Invaded | Intact | Invaded | |
| pH | 4.70 ± 0.03 | 4.70 ± 0.03 | 4.62 ± 0.03 | 4.84 ± 0.03 *** |
| N | 34.5 ± 0.64 | 49.9 ± 1.43 *** | 45.0 ± 1.63 | 69.8 ± 0.83 *** |
| P | 1.82 ± 0.05 | 1.78 ± 0.08 | 1.77 ± 0.06 | 2.27 ± 0.31 |
| K | 8.18 ± 0.42 | 16.1 ± 0.67 *** | 13.4 ± 0.62 | 20.4 ± 0.53 *** |
| Ca | 29.1 ± 1.13 | 24.1 ± 1.00 ** | 8.89 ± 0.37 | 16.7 ± 0.65 *** |
| Mg | 10.3 ± 0.22 | 8.81 ± 0.26 *** | 10.2 ± 0.46 | 9.68 ± 0.18 ** |
| Heath Forest | Mixed Dipterocarp Forest | |||
|---|---|---|---|---|
| Nutrient Addition | Intact | Invaded | Intact | Invaded |
| N | 238 ± 23.1 | 352 ± 31.4 *** | 298 ± 38.7 | 571 ± 43.4 *** |
| P | 12.5 ± 1.22 | 12.7 ± 1.32 | 11.7 ± 1.47 | 17.70 ± 1.62 *** |
| K | 55.1 ± 4.70 | 114 ± 10.5 *** | 86.1 ± 9.87 | 167 ± 13.5 *** |
| Ca | 201 ± 21.3 | 168 ± 11.7 * | 58.0 ± 6.97 | 138 ± 14.5 *** |
| Mg | 71.7 ± 8.05 | 62.7 ± 6.09 | 66.9 ± 8.62 | 79.5 ± 6.71 ** |
| Litter Type | Forest Type | Habitat Type | Mean % of Litter Mass Remaining | Decay Coefficient (K Day−1) | K yr−1 | Half-Life, t0.5 (Days) |
|---|---|---|---|---|---|---|
| Acacia | Heath | Intact | 22.8 ± 2.16 | 0.005 ± 0.001 | 1.73 | 146 |
| Invaded | 31.8 ± 3.92 | 0.004 ± 0.001 | 1.32 | 192 | ||
| Mixed Dipterocarp | Intact | 23.9 ± 4.40 | 0.005 ± 0.001 | 1.75 | 145 | |
| Invaded | 37.1 ± 4.57 *** | 0.003 ± 0.001 ** | 1.26 | 201 | ||
| Mixed-species | Heath | Intact | 31.8 ± 1.48 | 0.004 ± 0.001 | 1.28 | 198 |
| Invaded | 35.4 ± 2.92 | 0.003 ± 0.001 | 1.18 | 215 | ||
| Mixed Dipterocarp | Intact | 31.5 ± 4.59 | 0.004 ± 0.001 | 1.36 | 185 | |
| Invaded | 39.8 ± 3.88 *** | 0.003 ± 0.001 ** | 1.07 | 237 |
| Litter Type | Forest Type | Habitat | pH | N (%) | P (%) | K (%) | Ca (%) | Mg (%) |
|---|---|---|---|---|---|---|---|---|
| Acacia | Heath | Intact | 2.99 ± 0.11 | 28.7 ± 2.89 | 60.9 ± 13.7 | 2.73 ± 0.27 | 31.8 ± 5.72 | 5.45 ± 0.89 |
| Invaded | 3.29 ± 0.19 | 41.1 ± 4.39 | 60.4 ± 15.0 | 4.07 ± 0.39 | 69.2 ± 13.8 | 13.5 ± 2.82 | ||
| Mixed Dipterocarp | Intact | 3.13 ± 0.06 | 26.6 ± 5.52 | 41.1 ± 10.6 | 6.88 ± 1.62 | 22.7 ± 5.64 | 8.41 ± 2.76 | |
| Invaded | 3.55 ± 0.15 | 42.5 ± 5.33 | 48.3 ± 5.07 | 6.54 ± 0.73 | 82.6 ± 9.42 *** | 23.7 ± 2.80 *** | ||
| Mixed-species | Heath | Intact | 3.38 ± 0.32 | 41.7 ± 1.86 | 57.9 ± 5.98 | 14.6 ± 1.61 | 30.5 ± 8.48 | 10.9 ± 2.87 |
| Invaded | 3.38 ± 0.22 | 40.0 ± 4.61 | 77.3 ± 17.3 | 11.8 ± 2.93 | 29.6 ± 9.30 | 16.2 ± 4.68 | ||
| Mixed Dipterocarp | Intact | 3.18 ± 0.05 | 32.7 ± 4.41 | 25.6 ± 7.25 | 13.9 ± 3.07 | 29.5 ± 6.63 | 5.33 ± 1.33 | |
| Invaded | 3.28 ± 0.22 *** | 45.9 ± 5.43 *** | 63.5 ± 12.3 * | 6.39 ± 0.73 | 55.1 ± 7.46 *** | 22.8 ± 4.85 *** |
Publisher’s Note: MDPI stays neutral with regard to jurisdictional claims in published maps and institutional affiliations. |
© 2022 by the authors. Licensee MDPI, Basel, Switzerland. This article is an open access article distributed under the terms and conditions of the Creative Commons Attribution (CC BY) license (https://creativecommons.org/licenses/by/4.0/).
Share and Cite
Jaafar, S.M.; Metali, F.; Nafiah, S.N.S.; Supri, N.E.; Ahmad, N.; Burslem, D.F.R.P.; Sukri, R.S. Differential Impacts of Acacia Invasion on Nutrient Fluxes in Two Distinct Bornean Lowland Tropical Rain Forests. Forests 2022, 13, 2101. https://doi.org/10.3390/f13122101
Jaafar SM, Metali F, Nafiah SNS, Supri NE, Ahmad N, Burslem DFRP, Sukri RS. Differential Impacts of Acacia Invasion on Nutrient Fluxes in Two Distinct Bornean Lowland Tropical Rain Forests. Forests. 2022; 13(12):2101. https://doi.org/10.3390/f13122101
Chicago/Turabian StyleJaafar, Salwana Md., Faizah Metali, Siti Nisa Syahzanani Nafiah, Nur E’zzati Supri, Nurhazimah Ahmad, David F. R. P. Burslem, and Rahayu Sukmaria Sukri. 2022. "Differential Impacts of Acacia Invasion on Nutrient Fluxes in Two Distinct Bornean Lowland Tropical Rain Forests" Forests 13, no. 12: 2101. https://doi.org/10.3390/f13122101
APA StyleJaafar, S. M., Metali, F., Nafiah, S. N. S., Supri, N. E., Ahmad, N., Burslem, D. F. R. P., & Sukri, R. S. (2022). Differential Impacts of Acacia Invasion on Nutrient Fluxes in Two Distinct Bornean Lowland Tropical Rain Forests. Forests, 13(12), 2101. https://doi.org/10.3390/f13122101

