Abstract
The aspect can affect plant communities and soil physical and chemical properties through different microclimates. However, little is known about the effect of aspect on arbuscular mycorrhizal (AM) fungal diversity and community composition, although AM fungi are beneficial for plant nutrient absorption and natural restoration. In this study, AM fungal community and diversity distribution patterns in the rhizosphere soil and roots of seven widespread plants in a natural Toona ciliata var. pubescens (Tc) forest on the north-facing (NF) aspect and south-facing (SF) aspect were investigated using Illumina PE250 high-throughput sequencing in the Guanshan National Nature Reserve, Jiangxi Province, China. Our results exhibited that aspect did not affect AM fungal diversity but significantly affected AM fungal community structure and composition. Glomeraceae was the most common and abundant family in the Tc natural forest. The Glomeromycota sequence proportion of root AM fungal community was significantly larger on NF than on SF (p < 0.05). The relative abundance of Acaulosporaceae of root AM fungal community differed significantly with aspect, being greater on NF than on SF (p < 0.05). In addition, the number of Glomeromycota sequences was significantly larger on SF than on NF, while the number of OTUs and the relative abundance of unclassified fungi in rhizosphere soil in Tc showed the opposite trend (p < 0.05). The soil properties (organic matter, nitrogen, potassium, phosphorus, and pH) were significantly correlated with these changes. These findings indicate that the habitat of NF with low insolation, high soil moisture, and high nutrient content might promote the functional realization of AM fungi; the habitat of SF with high insolation, low soil moisture, and low soil nutrient content might be beneficial for the proliferation and preservation of AM fungal groups. This study provides important information on the ecological processes of AM fungal community construction and microbiological mechanisms in natural Tc forests.
1. Introduction
Biodiversity is an important feature of life, and species composition and community construction have long been core issues in ecological research [1,2]. Indeed, the biodiversity and structural composition and distribution of communities are closely related to ecosystem multifunctionality [2]. Topography is one of the most major natural factors that affects biodiversity. Topography belongs to biogeography and affects numerous ecological functions and processes, such as soil erosion and water storage [3], weathering and nutrient leaching [4], and migration and storage of soil organic matter [5].
Aspect (shady and sunny aspects) is a feature of natural geographical mountain landscapes [6]. Shady and sunny aspects are different habitats with climate and microenvironment differences that form a natural environmental gradient [7]. The difference in climate conditions between shady and sunny aspects leads to profound changes in vegetation, soil, landform, hydrology, and other factors [8,9]. The shady aspects are darker, wetter, and colder, with less light radiation, and the climate characteristics on sunny aspects are the opposite [10]. Changes in biodiversity distribution and community construction on shady and sunny aspect gradients, as well as the relationships between environmental factors and biological communities, can reflect the roles and contributions of various biological, physical, and chemical factors.
Most ecological studies on different aspects have predominantly focused on soil stoichiometry characteristics, vegetation distribution and succession, plant community diversity and structure, aboveground plant biomass changes, and plant functional traits [11,12,13]. Zhao et al. [14] focused on vegetation–microorganism–aspects complexes and concluded that soil microbial activity in mountain ecosystems was profoundly affected by these complexes. However, previous studies have not fully solved the problem of how aspects affect biodiversity directly or indirectly, and little is known about the coexistence of species and mechanisms of community construction. Therefore, it is necessary to study different aspects in typical mountain ecosystems and reveal the relationships among environmental factors (e.g., light, temperature, and soil’s physical and chemical properties), biological factors (e.g., plant community composition, stoichiometric characteristics, and functional traits), and community composition and distribution rules of specific biotas.
Toona ciliata Roem. var. pubescens (Franch.) Hand.-Mazz. (Tc) is regarded as a national secondary protected plant in China. Moreover, Tc is an endangered species and a valuable woody plant of the Toona genus in the Meliaceae family [15]. Owing to a long period of exhaustive utilization and exploitation, habitats of Tc forest are affected by these effects and have disadvantageous factors for natural regeneration, meaning that the distribution area of natural Tc forests is reduced and fragmented [16]. Wild Tc is predominantly distributed on both sides of valleys and streams in virgin forests in subtropical China, breeding predominantly by seeds and clonal tillers [15]. Their special habitat preferences and breeding strategies may be the dominant cause of this endangerment. In recent years, scientists have addressed the problems of the natural regeneration of Tc forests [17], and found that transmission barriers [18] and microhabitat restrictions [19] might be major causes of failure of Tc regeneration. Sensitive habitat selection and lower forest regeneration capacity have caused difficulties in the protection and restoration of wild Tc forests [20]. Microhabitats involve many environmental factors, such as water, microorganisms, light, and soil. The growth of little trees is affected by these environmental factors, and there are large variations in the key factors of various plants. Soil microorganisms play a major role in seedling growth, improving soil quality, and promoting natural regeneration in Tc forests [20]. Huang et al. [21] found that soil pathogen infection was the dominant reason for seed rot and the natural regeneration failure of Tc. As an important soil microorganism, arbuscular mycorrhizal (AM) fungi has a symbiotic association with over 80% of terrestrial plants [22], and can effectively promote plant growth and natural regeneration of Tc [23,24]. The symbiotes formed by AM fungi and plants give rise to vital roles in plant nutrient absorption and resistance improvement to external adverse environments at the ecosystem or individual scale [22,25]. Wild Tc forests are largely distributed in habitats which have poor light and soil conditions, and Tc seedlings are often hindered by other plants during the initial growth stage [21]. Considering this, AM fungi may be important in wild Tc forests, as AM fungi can promote plant development and growth by increasing the chlorophyll content in plant leaves, improving photosynthesis, promoting C assimilation and metabolism of plants [26], and improving the competitiveness of plants in natural habitats.
Currently, the study of different aspect-related soil microbial community compositions and their distribution characteristics can only provide some sporadic information [27,28] and only a few studies have investigated the impact of aspect on AM fungal community structure. Chu et al. [28] reported the community composition of AM fungi on sunny and shady aspects in boreal forests of the Greater Khingan Mountains. Similarly, one study reported the distribution of AM fungi on sunny and shady aspects in the arid ecosystem of Inner Mongolia [29]. However, the above studies covered only a few ecosystem types, and studies on particular species and habitats are lacking, limiting our insight into the community-building mechanisms associated with AM fungi. Shady and sunny aspects are comprehensive natural environmental gradients, and the AM diversity and relationship among AM fungi, environmental factors, and plant communities can reveal the comprehensive effects in natural Tc forests.
Considering the particularity of wild Tc forest distribution regions and the important role of AM fungi in natural regeneration and growth of wild Tc forests, this study aimed to reveal the community characteristics and biogeographic distribution rules (sunny and shady aspects) of AM fungi in a wild Tc forests. A gradient of shady and sunny aspects in the Guanshan National Nature Reserve in Jiangxi Province was selected as the research site. Field investigations of AM fungal community and diversity distribution patterns in the roots and rhizosphere soils of seven widespread plants in natural Tc forest were analyzed using the Illumina PE250 high-throughput sequencing method. The rich, continuous environmental (biotic and abiotic) gradients and distinct vegetation types in this region provide an excellent opportunity to discover the dynamics of AM fungi on different aspects in natural Tc forests. Our results will provide important information on the ecological processes of AM fungal community construction in natural Tc forests and a reference for discussing the microbiological mechanism of adaptation of Tc to microhabitats. The null hypothesis was that Tc in shady and sunny aspects would be associated with similar AM fungi diversity and composition, but that Tc recruited significantly different AM fungi compared to other plants. Changes in soil chemical properties and tree species may be responsible for these variations. The findings of this study will improve our ability to understand ecosystem dynamics and function in wild Tc forests and facilitate scientific protection and cultivation strategy decisions on subtropical mountain ecosystems in China.
2. Materials and Methods
2.1. Study Site
The Guanshan National Nature Reserve (28°30′–28°40′ N, 114°29′–114°45′ E) is located in the western part of the Jiuling Mountains in the northwest Jiangxi Province, China. It was one of the first national nature reserves in Jiangxi Province and belongs to the subtropical evergreen broad-leaved forest ecosystem. The mean annual temperature is 17.2 °C. The mean annual precipitation is 1680.2 mm. The total area is 11,500.5 ha, comprising 3621.1 ha in the core area, 1466.4 ha in the buffer zone, and 6413.0 ha in the experimental area. The soil type of this study area was typical red soil.
2.2. Experimental Design and Sampling
The natural Tc forest community is predominantly distributed in a subtropical evergreen broad-leaved forest (Figure 1). The Tc is dominantly distributed sporadically on both sides of valleys and streams and on both sides of the aspects with different orientations and illumination and hydrothermal conditions. The photophilous tree species is mainly distributed in the arborous layer. A field survey was started at 2017, and eight experimental sample plots of 20 × 20 m were set up in a natural Tc forest (north-facing [NF] aspect—4, and south-facing [SF] aspect—4). In the sample plot, we selected seven dominant plants that were distributed in NF and SF, as follows: Toona ciliates (Tc), Padus buergeriana (Pb), Maesa japonica (Mj), Melliodendron xylocarpum (Mx), Ilex chinensis (Ic), Alniphyllum fortunei (Af), and Mallotus japonicas (Mj2). At least one individual sample from each plant was selected in each plot. Five individual root samples and five individual rhizosphere soil samples were randomly selected from each plant, respectively. Fine fibrous roots in the 0–20 cm soil depth were collected from the root samples, and 1–2 kg of soil around the root was collected with a clean small steel shovel to extract AM fungal spores. Finally, 70 root samples and 70 rhizosphere soil samples per plot (2 aspects × 7 plants × 5 individuals) were collected. The collected fine roots were rinsed with water and stored at −80 °C for DNA extraction. The collected soil samples were passed through a 2 mm sieve to eliminate stones, roots, and litter for DNA extraction (−80 °C) and soil experiments (air-dried soil, 0.149 mm mesh).
Figure 1.
Location of Guanshan National Nature and distribution of study sites.
2.3. Soil Chemical Property Determination
The soil pH was measured using a glass electrode at 1:2.5 (w/v). The soil organic matter (SOM, g·kg−1) content was measured using the K2Cr2O7 heating method. Soil available phosphorus (AP) content was determined after extraction with 0.5 mol·L−1 NaHCO3. Total potassium (TK) content was extracted using a 1 M NH4OAc solution (pH 7.0) and measured by flame photometry. Total phosphorus (TP) content was determined using the H2SO4-HClO4 heating digestion method, and the total nitrogen (TN) content was measured using the Kjeldahl method. The detailed steps can be found in SD Bao [30].
2.4. DNA Extraction Method
Soil DNA was extracted using a Fast DNA SPIN Kit (MP Biomedicals LLC, Santa Ana, CA, USA) according to the instructions and using 0.5 g fresh soil samples. Root DNA was extracted using a Fast Plant Kit (Beijing Tiangen) according to the instructions and using 0.05 g frozen root samples. The total concentration of the extracted soil/root DNA in each soil or root sample was determined using a NanoDrop ND-8000 spectrophotometer (NanoDrop, Wilmington, DE, USA). The DNA quality was checked by 1% agarose gel electrophoresis, diluted to 10–20 ng·μL−1 with ultrapure water, and preserved at −20 °C in a refrigerator for molecular biological analysis.
2.5. PCR Reaction Method
To guarantee the reliability and accuracy of the further data analysis, the PCR reaction needs to meet the following two requirements: (1) use a small number of amplification cycles and (2) ensure that the number of cycles amplified by each sample is consistent. The SSU rDNA of AM fungi in soil and plant roots was amplified using AM FUNGI-specific primers AMV4.5NF-F (5′-AAGCTCGTAGTTGAATTTCG-3′) and AMDGR-R (5′-CCCAACTATCCCTATTAATCAT-3′). Then, PCR was performed using TransStart Fastpfu DNA Polymerase, with a 20 μL reaction system. Each sample was repeated three times. The reaction system is shown in Table 1.
Table 1.
PCR amplification system used in Illumina PE250 high-throughput sequencing.
The PCR reaction system was mixed mildly and put into the PCR instrument (ABI GeneAmp® 9700 type), and the reaction conditions were as follows: (1) 5 min of incipient denaturation at 95 °C; (2) 30 s of denaturation at 95 °C; (3) 30 s of annealing at 55 °C; (4) 45 s of elongation at 72 °C; (5) 27 cycles from step 4 to step 2; and (6) incubation at 72 °C for 10 min. Each sample was subjected to three replicates, and the PCR products of the same sample were blended and detected using 2% agarose gel electrophoresis.
2.6. Illumina High-Throughput Sequencing and Bioinformatics
The PCR products were subjected to 1% agarose gel electrophoresis in 1 × TAE buffer (added with Biotake producing a green as blue nucleic acid dye). After electrophoresis at 125 V for 30 min, the PCR results of the gel were observed under UV light. Then, the target band for recovering the PCR products was cut off using a AxyPrepDNA gel recovery kit (AXYGEN), which was eluted with Tris-HCl and detected by 2% agarose electrophoresis. The PCR products were observed and identified using 2% agarose gel, while the electrophoresis condition was 120 V for 40 min. The target bands were separated by electrophoresis, cut, and purified (Aidlab Biotechnologies Co., Ltd., Tianjin, China). The purified product was quantified, homogenized using a TBS-380 fluorescence spectrometer, and sequenced using the Illumina PE250 high-throughput sequencing platform (Shanghai BIOZERON Co., Ltd., Shanghai, China) referring to standard methods. A 97% identity threshold was used to group sequences into operational taxonomic units (OTUs) [31]. The largest ample sequence from each OTU was regarded as the typical sequence for the OTU. The Usearch (version 7.1 http://drive5.com/uparse/, accessed on 25 December 2017) software was used to cluster sequences. Taxonomy was allotted to the fungal OTUs against a subset of the Silva 104 database (http://www.arb-silva.de/download/archive/qiime/, accessed on 28 December 2017). The GenBank (http://www.ncbi.nlm.nih.gov/, accessed on 31 December 2017) for the OTUs was used to confirm the typical sequences that could not be recognized at the family or class level in the fungal database. The original sequences described here can be accessed through GenBank with SRP277481 and accession numbers SAMN15815414 to SAMN15815425 and SAMN15815492 to SAMN15815503.
2.7. Calculation Methods of Diversity Correlation Indexes Data Analysis
We used the Chao index to calculate the total number of species in an ecosystem [32]. Here, Chao 1 was used to calculate the number of OTUs, as follows:
where Schao1 is the number of OTUs, Sobs is the number of observed OTUs, n1 is the number of OTUs containing only one sequence (singletons), and n2 is the number of OTUs containing only two sequences (doubletons).
The Simpson index was used to quantitatively calculate the microbial diversity [33]. The larger the Simpson index, the lower the community diversity, as follows:
where Sobs is the number of observed OTUs, ni is the sequence number of OTU-i, and N is the total number of sequences.
The Shannon index (i.e., the Shannon–Weiner index) was also applied to quantitatively calculate the microbial diversity. The larger the Shannon index, the greater the community diversity, as follows:
where Sobs is the number of observed OTUs, ni is the sequence number of OTU-i, and N is the total number of sequences.
Subsequently, the coverage index was calculated as follows:
where C is the coverage of OTUs, n1 is the number of OTUs containing only one sequence (singletons), and N is the total sequence.
2.8. Data Analysis
Firstly, the normal distribution test is carried out on all the data used in the analysis. If the data does not conform to the normal distribution, the natural logarithm or trigonometric function is used for data conversion. Secondly, the Duncan’s multiple comparative analysis (version 26.0; IBM, Armonk, NY, USA) was conducted to analyze the variations in soil chemical properties (pH, SOM, AP, TK, TP, and TN), soil and root AM fungi community diversity (the Chao, Shannon, Simpson, and coverage indices), and sequence parameters (the total sequence number, the number of Glomeromycota sequences, the proportion of Glomeromycota sequences, the number of OTUs, and the relative abundance of the belowground AM fungi community sequence) in Tc natural forest in different aspects. Pairwise comparative analysis was used to compare the difference of the corresponding value between the north and south aspects. Thirdly, there were, respectively, 18 response factors for AM fungal community characteristics in soil and root. Through factor analysis, 6 types of comprehensive factors (which mainly reflected the information of 11 key factors) were used to reflect the information of 18 response factors, so as to reduce the dimension, and the key response factors were determined for further analysis. Therefore, the redundancy analysis (RDA) was applied to analyze the relationships between soil environmental variables and the key characteristics of the AM fungal communities by using the standardized data (Canoco 5.0, Biometrics Wageningen, The Netherlands).
3. Results
3.1. Soil Chemical Properties
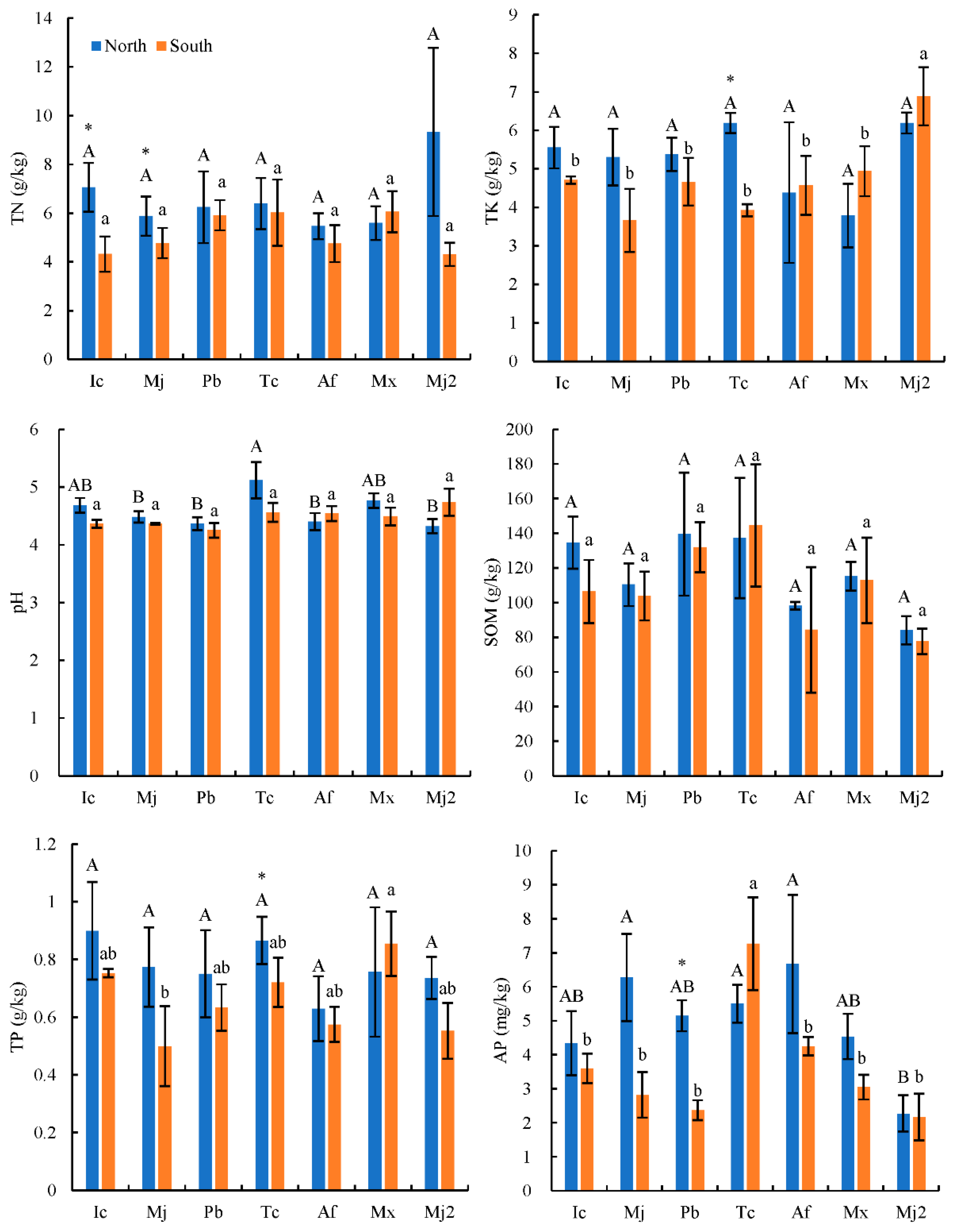
In general, soil TN, TP, and AP differed significantly with aspect, being greater on NF than on SF (p < 0.05, Table 2); moreover, the significant effects mainly showed in soils of Tc, Pb, Ic, and Mj (Figure 2). However, there was no significant effect of species on soil TN and TP (p > 0.05, Table 2). Although soil TK showed no obvious difference with aspect (p > 0.05), significant species effect and interaction were found in Table 2 and Figure 2 (p < 0.05). For example, the soil TK of MJ2 was significantly higher than other trees on SF. Additionally, regarding soil pH and SOM, there was no significant difference between SF and NF (p > 0.05, Table 2 and Figure 2).
Table 2.
Results of variance analysis for the effects of aspect and species on the variables.
Figure 2.
Soil chemical properties (AP, TK, SOM, pH, TP, and TN) in Tc natural forest in different aspects. The error line is the standard error. Data with different capital letters means significant difference in NF at p < 0.05. Data with different lowercase letters means significant difference in SF at p < 0.05; * means that there is significant difference between SF and NF. Abbreviations are as follows: Tc, Toona ciliates; Pb, Padus buergeriana; Mj, Maesa japonica; Mx, Melliodendron xylocarpum; Ic, Ilex chinensis; Af, Alniphyllum fortunei; Mj2, Mallotus japonicas.
3.2. Sequence Characteristics of AM Fungi
The basic sequence information of soil AM fungal communities showed no significant difference with aspect (p > 0.05) (Table 2 and Table 3). Due to the Glomeromycota sequences making up the largest proportion of the total sequences, we conducted the related analysis (Table 3). Although the number of Glomeromycota sequences showed no obvious difference with aspect (p > 0.05), a significant interaction between aspect and species was found in Table 2 and Table 3 (p < 0.05). The number of Glomeromycota sequences of Tc and Mj2 was significantly higher on SF than on NF (p < 0.05, Table 3).
Table 3.
Basic sequence information of soil AM fungal communities in Tc natural forest in different aspects.
The sequence information of the root AM fungal communities in Tc natural forest at different aspects is shown in Table 4. On the whole, the number of sequence differed significantly with aspect (p < 0.05, Table 2 and Table 4), being greater on SF than on NF. However, there was no significant effect of species on the number of sequence (p > 0.05, Table 4). The Glomeromycota sequence proportion showed significant differences between SF and NF (p < 0.05, Table 2 and Table 4). Moreover, the significant effect of species on the Glomeromycota sequence proportion was found in Mx (p < 0.05, Table 4).
Table 4.
Basic sequence information of root AM fungal communities in Tc natural forest in different aspects.
3.3. OTUs Analysis of AM Fungi
Although the relative OTU abundance of AM fungal communities of soil and root showed no difference between SF and NF (p > 0.05), the significant effect of species was found in soil (p < 0.05) (Table 2 and Table 5). Moreover, we found that the relative OTU abundance in rhizosphere soil of Tc was significantly higher for NF than for SF (p < 0.05, Table 5).
Table 5.
Relative OTU abundance of AM fungal communities on different aspects in Tc natural forest.
3.4. Analysis of AM Fungal Community Composition
At the family level, the relative abundance of each composition changed obviously in the soil AM fungal community in the Tc natural forest at different aspects (Figure 3). Glomeraceae was the most common and plentiful family in the Tc natural forest soil, but there was no significant difference between SF and NF (p > 0.05, Table A1 and Table A2). The relative abundance of unclassified fungi showed a significant interaction between aspect and species (p < 0.05, Table A2).
Figure 3.
The AM fungal community composition in Tc natural forest (at the family level) in different aspects. Tc represents Toona ciliates; Pb represents Padus buergeriana; Mx represents Melliodendron xylocarpum; Mj represents Maesa japonica; Ic represents Ilex chinensis; Af represents Alniphyllum fortunei; Mj2 represents Mallotus japonicas.
Similarly, Glomeraceae was the most common and abundant AM fungi group in the Tc natural forest root (Figure 3). The relative abundance of Glomeraceae in the Tc root was 92.68% in SF, and it was 90.10% in NF. Generally, the relative abundance of Acaulosporaceae differed significantly with aspect, being greater on NF than on SF (p < 0.05, Table A1 and Table A2, Figure 3). However, there was no significant effect of species on the relative abundance of Acaulosporaceae (p > 0.05, Table A2). In addition, the relative abundance of Archaeosporaceae showed significant differences among different species (p < 0.05, Table A1 and Table A2, Figure 3).
3.5. Diversity of AM Fungi Community
The diversity of the soil and root AM fungal communities in the Tc natural forest at different aspects is shown in Table 6 and Table 7. The coverage index of the root AM fungal communities differed significantly with aspect (p < 0.05, Table 2 and Table 7), being greater on SF than on NF. Moreover, there was significant effect of species on the coverage index of the soil and root AM fungal communities (p < 0.05, Table 2, Table 6 and Table 7). Although the Chao index of the root AM fungal communities showed no obvious difference with aspect (p > 0.05, Table 2), a significant species effect was found in Table 2 and Table 7 (p < 0.05). In addition, the Shannon and Simpson indices of the soil and root AM fungal community found no significant difference between SF and NF (p > 0.05).
Table 6.
The diversity of soil AM fungal communities in Tc natural forest in different aspects.
Table 7.
The diversity of root AM fungal communities in Tc natural forest in different aspects.
3.6. Redundancy Analysis in Different Aspects
Through the factor analysis, we extracted the key response factors for RDA analysis. The environmental variables (aspects and soil physicochemical properties) and response variables (characteristics of AM fungal communities of dominant tree species in Tc natural forest) were analyzed using RDA (Figure 4). The results showed that soil AM fungi communities had a higher total sequence numbers, Glomeromycota sequence numbers, Chao index, Shannon index, Archaeosporaceae abundance, and Acaulosporaceae abundance in SF, while the opposite trend was shown in NF (Figure 4A). Furthermore, SOM, TK, TN, TP, and AP were negatively correlated with total sequence numbers, Glomeromycota sequence numbers, Chao index, Shannon index and Archaeosporaceae abundance, and negatively correlated with the relative abundance of unclassified fungi (Figure 4A). The SOM and TK were positively correlated with OTUs (Figure 4A).

Figure 4.
Redundancy ordination (RDA) results (A, soil; B, root) of the characteristics of the AM fungi community and aspects and soil physicochemical properties in Tc natural forest. Abbreviatons are as follows: GSP, the proportion of Glomeromycota sequences; NTS, the number of total sequences; NGS, the number of Glomeromycota sequences; Div, Diversisporaceae; Gig, Gigasporaceae; Arc, Archaeosporaceae; Unc, unclassified fungi; Glo, Glomeraceae; Pac, Pacisporaceae; Aca, Acaulosporaceae.
The RDA results (Figure 4B) showed that the proportion of Glomeromycota sequences, Glomeromycota sequence numbers, Diversisporaceae abundance, and Shannon index of the root AM fungi community were relatively high in NF, while total sequence numbers, coverage index, Gigasporaceae abundance, and unclassified fungi abundance of the root AM fungi community were relatively high on SF. The SOM was positively correlated with Glomeromycota sequence numbers and Glomeraceae abundance (Figure 4B). The AP was positively correlated with coverage index, total sequence numbers, and Gigasporaceae abundance, while it was negatively correlated with unclassified fungi abundance, the proportion of Glomeromycota sequences, Diversisporaceae abundance, and Shannon index (Figure 4B). Moreover, TN, TK, and pH showed the opposite trend with AP.
4. Discussion
4.1. Soil AM Fungal Community Diversity and Composition in Tc Forest at Different Aspects
An Illumina PE250 high-throughput sequencing method was applied to explore the features of the AM fungi community in a natural Tc forest at different aspects and to analyze the AM fungal community characteristics and diversity changes. The AM fungal community structure refers to the composition and quantitative characteristics of the fungal community in each habitat, and is mainly characterized by abundance, density, frequency, dominance, importance value, and community coefficient [34]. Stability is an important factor in achieving ecological balance. Therefore, studying the structural changes in AM fungal communities in specific ecosystems and their influencing factors can provide a basis for optimizing the natural Tc forest ecosystem structure and regulating ecological functions. Indeed, AM fungal species diversity is an important component of soil microbial diversity and has a vital ecological and physiological role in providing plant nutrient uptake, enhancing soil structure stability, and changing the global C and N cycles [35]. Many factors influence the diversity of AM fungal communities, including nutrient inputs [36], anthropogenic disturbances [37], transmission limitations [38], plant communities [39], and other environmental factors [40].
Aspect, one of the most common environmental impact factors of natural mountain forests, influences the diversity of AM fungal communities in plant soils [41]. Soil microorganisms are seen as the driving force of productivity diversity in terrestrial ecosystems [42]. In this study, species richness and diversity indices were used to describe the diversity characteristics of AM fungal communities in different aspects of Tc natural forests, including Chao, Shannon, and Simpson. In terms of species richness, the number of OTUs of AM fungal communities in the inter-rhizosphere soil of Tc was significantly higher on NF (16.4%) than on SF (13.7%). In terms of diversity indices, the Chao, Shannon, and Simpson indices of AM fungal communities in the rhizosphere soil and root of Tc were not significantly different between NF and SF. This phenomenon may be because the composition of the AM fungi community in the roots and rhizosphere soil primarily consisted of Glomeraceae, reaching 45.07%–86.39% and 74.82%–93.08%, respectively. Some scholars have studied the AM fungal diversity and community structure of farmland, wetland, forest, and grassland, and found that the AM fungal community composition is mainly determined by Glomeraceae [43,44], which is the same as the result of this study. The reason is that the Glomeraceae has a unique reproductive mode and can tolerate different environmental changes [45]. However, the rhizosphere soil contained more rare AM fungal taxa with low relative abundance, which lowered the community diversity index (Figure 3; Table 5). We found that there were a large number of rare AM fungal taxa with very few sequences in the Tc natural forest, and these rare taxa may be the main reason for the functional redundancy in the Tc natural forest, which should be investigated in a follow-up study. The results suggest that the effects of various environmental factors on AM fungal communities in natural ecosystems, especially in complex forest ecosystems, should not be evaluated simply in terms of diversity or species richness but should be considered comprehensively to obtain more accurate and objective analysis results.
4.2. Effects of Aspects and Other Factors on the Characteristics of AM Fungal Community
The AM fungi are mainly distributed in the soil around the roots; therefore, they are closely related to the soil environment. Soil type, depth, water status, fertility, pH, and other factors have important effects on the AM fungal community [46]. In a past study, ectomycorrhizal fungal diversity was higher on sunny aspects than on shady aspects, probably due to differences in the distribution of plants in different aspect orientations caused by differences in insolation, water, and heat conditions [47]. This study found that soil nutrient characteristics were relatively better on NF than on SF. The differences may be due to the variations of space and climate which were observed in the selected Tc community distribution area.
This is similar to the results of other studies, which found that the taxonomy and spectral composition of AM fungal communities significantly differed between sunny and shady aspects through NMDS sorting and PERMANOVA analysis, with sunny aspects having higher light intensity, soil temperature, and soil pH, and shady aspects having higher soil moisture and soil fertility index [48]. Community genealogy analysis also showed that AM fungal communities were spectrally aggregated on sunny aspects and spectrally random on shady aspects, indicating that the primary ecological process of AM fungal community construction is a shift from ecological niche-dominated filtering to a synthesis of competitive exclusion and ecological niche filtering [49]. The diversity of mycorrhizal fungal communities (evenness index, Simpson index, Shannon–Wiener index, and richness) in different areas differed according to aspect, altitude, soil moisture, and human disturbance [50].
4.3. Effects of Unique Tree Species Characteristics of Tc on AM Fungal Community Characteristics
The characteristics of Tc and its symbiotic relationship with AM fungi jointly affected the soil AM fungal community. Symbiotics play a vital role in plant nutrient uptake, improving ecosystem or individual resistance to adverse environments [22,25], which can help break the regeneration dilemma caused by transmission barriers [21] and microhabitat restrictions in Tc forests [51], and are conducive to the protection and restoration of wild Tc forests [52]. The Tc is the main tree species in the Tc natural forest, but its seeds are susceptible to soil pathogens, which affects its natural forest regeneration ability. Therefore, it does not have an absolute advantage in community competition [53]. In different aspects in the natural Tc forest, the diversity and relative abundance of AM fungal communities in the roots and rhizosphere soil of Tc were only at the medium level compared to those of the other six species. This is because there is a certain selectivity between different mycorrhizal fungi and host plants, which affects the binding ability of plants to mycorrhizal fungi [54], and different plants have different adaptabilities to different AM fugal community [55] and aspect habitats. In addition, the unclassified fungi were found less in roots (0%–1%) than in rhizosphere soil (6%–17%). Published research recognized more new species of Glomeromycota in the rhizospheres of endemic plants [56]. Therefore, Tc still has a certain development scope for AM fungal infections. It can enhance its competition for environmental resources by increasing AM fungal infection, which may be of great value for the natural regeneration of Tc and protection of the Tc natural community.
4.4. AM Fungal Library in SF and ‘Functional’ AM Fungi in NF
The AM fungi in soil are often considered a library, and their significance is to preserve and maintain the diversity of AM fungal resources. The AM fungi in roots are often considered functional AM fungi, and their presence helps realize some plant functions. In this study, the number of OTUs (16.4%) of AM fungal communities in rhizosphere soil on NF of Tc was significantly larger than that on SF (13.7%), whereas the number of OTUs (11.3%) of AM fungal communities in roots on NF of Tc was lower than on SF (15.1%). This difference is precisely why taxonomic and functional diversities are not synchronized [57] with aspect. Moreover, abiotic factors, such as soil physicochemical properties, had an important influence on AM fungal community composition [58]. In this study, the low insolation, high moisture, and high nutrient content (TP, TK, and TN) conditions on NF might be beneficial for the functional realization of AM fungi. In contrast, the high insolation, low soil moisture, and low soil nutrient content conditions (TP, TK, and TN) on SF might be conducive to the proliferation and preservation of AM fungal groups. For example, one study showed that when SOM content was high, the associated microorganisms of AM fungi promote mass-production due to more nutrients, thus, inhibiting the infiltration of roots of AM fungi [59]. The changes in vegetation and environment factors did not lead to the extinction of a large number of soil AM fungi, but only caused the change in their relative proportion. Therefore, the results of this study found that the soil AM fungal pool might be relatively stable in the Tc natural forest.
4.5. Implications
The rhizosphere is the main medium for the interaction between plant and soil. A complex feedback process occurs at the interface between plant and soil. Soil fungi form a dense underground mycelium bridge network in soil through coupling with plant roots, thus, promoting water and nutrient absorption by the plant [60]. Most terrestrial plants can form mycorrhizal symbionts with AM fungi, and the fungi cannot grow and complete their life cycle without host plants [22]. In this study, Illumina high-throughput sequencing technology was used to study the composition and functional characteristics of the AM fungal communities in the natural forest of Tc. The results of this study can provide a theoretical basis for better understanding of the natural regeneration law of the community of Tc. We provide a reference for ecological restoration, protection, and utilization of Tc from the perspective of underground microbial diversity, as well as for the protection of rare and endangered plants, sustainable use of forests, maintenance of ecosystem balance and protection of biodiversity.
5. Conclusions
We analyzed the diversity and composition of AM fungal communities in a natural Tc forest using Illumina high-throughput sequencing of rhizosphere soil and roots from north-facing and south-facing aspects. The number of Glomeromycota sequences was significantly larger on SF than on NF, while the number of OTUs on NF was significantly higher than on SF in Tc soil. The composition of the AM fungi community in roots and rhizosphere soil was primarily consisted of Glomeraceae, reaching 45.07%–86.39% and 74.82%–93.08%, respectively. Moreover, the relative abundance of unclassified fungi in rhizosphere soil of Tc on NF was significantly higher than that on SF. However, the Chao, Shannon, and Simpson indices of the soil and root AM fungal community found no significant difference between SF and NF. Furthermore, our study revealed that the low insolation, high soil moisture, and high nutrient content conditions on NF might be beneficial for the functional realization of AM fungi. In contrast, the high insolation, low soil moisture, and low soil nutrient content conditions on SF might be beneficial for the proliferation and preservation of AM fungal groups. In the future, how topography and various environmental factors to regulate AM fungal function should be given attention due to the fact that AM symbiosis plays non-negligible roles in ecosystems.
Author Contributions
Q.W., J.P., W.L. and L.Z. conceptualized the study, and J.P. identified, processed, and collected samples with help from S.Y. and T.L.; Q.W. and Y.K. primarily interpreted the data with help from P.J.M. and L.Z.; Q.W., J.P., L.Z. and W.L. wrote the manuscript. All authors have read and agreed to the published version of the manuscript.
Funding
This research was funded by the National Natural Science Foundation of China (31860202) and the Forestry Science and Technology Innovation Special Project of Jiangxi Provincial Department of Forestry (Innovation Special Project [2019] No. 25).
Data Availability Statement
Not applicable.
Acknowledgments
We would especially like to thank the Administration of Guanshan National Natural Reserve for assisting in the investigation.
Conflicts of Interest
The authors declare no conflict of interest.
Appendix A
Table A1.
Analysis of relative abundance of belowground AM fungal communities’ sequence in dominant tree species in T. ciliate natural forest in different aspects.
Table A1.
Analysis of relative abundance of belowground AM fungal communities’ sequence in dominant tree species in T. ciliate natural forest in different aspects.
| Species | Aspects | Unclassified | Paraglomeraceae | Pacisporaceae | Glomeraceae | Gigasporaceae | Geosiphonaceae | Diversisporaceae | Archaeosporaceae | Ambisporaceae | Acaulosporaceae |
|---|---|---|---|---|---|---|---|---|---|---|---|
| Soil | |||||||||||
| Toona ciliates | South | b | a | a | ab | a | a | a | ab | a | a |
| North | A * | B | A | A | A | A | A | A | A | A | |
| Padus buergeriana | South | a | a | a | c | a | a | a | ab | a | a |
| North | A | AB | A | A | A | A | A | A | A | A | |
| Maesa japonica | South | b | a | a | abc | a | a | a | ab | a | a |
| North | A | AB | A | A | A | A | A | A | A | A | |
| Melliodendron xylocarpum | South | b | a | a | abc | a | a | a | ab | a | a |
| North | A | AB | A | A | A | A | A | A | A | A | |
| Ilex chinensis | South | b | a | a | bc | a | a | a | ab | a | a |
| North | A | B | A | A | A | A | A | A | A | A | |
| Alniphyllum fortunei | South | b | a | a | bc | a | a | a | a | a | a |
| North | A | AB | A | A | A | A | A | A | A | A | |
| Mallotus japonicus | South | b | a | a | a | a | a | a | b | a | a |
| North | A * | A * | A | A * | A | A | A | A | A | A | |
| Root | |||||||||||
| Toona ciliates | South | a | a | a | a | a | a | a | b | a | a |
| North | A | A | A | A | B | B | B | A | AB | A | |
| Padus buergeriana | South | a | a | a | a | a | a | a | a | a | a |
| North | A | A | A | A | B | B | B | A | B | A | |
| Maesa japonica | South | a | a | a | a | a | a | a | ab | a | a |
| North | A | A | A | A | B | A | B | A | B | A | |
| Melliodendron xylocarpum | South | a | a | a | a | a | a | a | b | a | a |
| North | A | A | A | A | B | B | A | A | AB | A | |
| Ilex chinensis | South | A | A | a | a | a | a | a | ab | a | a |
| North | A * | A | A | A | B | B | B | A | A | A | |
| Alniphyllum fortunei | South | a | a | a | a | a | a | a | ab | a | a |
| North | A | A | A | A | A | AB | B | A * | B | A * | |
| Mallotus japonicus | South | a | a | a | a | a | a | a | ab | a | a |
| North | A | A | A | A | B | B | B | A | B | A | |
Note: Data with different capital letters means significant difference in NS at p < 0.05. Data with different lowercase letters means significant difference in SS at p < 0.05; * means that there is significant difference between SS and NS in Tc.
Table A2.
Results of variance analysis for the effects of aspect and species on the relative abundance of belowground AM fungal communities’ sequence.
Table A2.
Results of variance analysis for the effects of aspect and species on the relative abundance of belowground AM fungal communities’ sequence.
| Factors | Aspect | Species | Aspect × Species | |||
|---|---|---|---|---|---|---|
| F | p | F | p | F | p | |
| S-Acaulosporaceae | 2.939 | NS | 1.299 | NS | 0.606 | NS |
| S-Ambisporaceae | 2.171 | NS | 1.326 | NS | 0.443 | NS |
| S-Archaeosporaceae | 1.503 | NS | 0.938 | NS | 1.292 | NS |
| S-Diversisporaceae | 0.468 | NS | 0.755 | NS | 0.865 | NS |
| S-Geosiphonaceae | 0.274 | NS | 0.381 | NS | 1.170 | NS |
| S-Gigasporaceae | 1.338 | NS | 0.757 | NS | 0.425 | NS |
| S-Glomeraceae | 0.419 | NS | 1.478 | NS | 1.789 | NS |
| S-Pacisporaceae | 1.284 | NS | 0.754 | NS | 0.754 | NS |
| S-Paraglomeraceae | 1.582 | NS | 0.416 | NS | 1.975 | NS |
| S-Unclassified fungi | 0.465 | NS | 1.092 | NS | 2.373 | 0.049 |
| R-Acaulosporaceae | 7.598 | 0.009 | 0.903 | NS | 0.705 | NS |
| R-Ambisporaceae | 1.934 | NS | 1.779 | NS | 2.057 | NS |
| R-Archaeosporaceae | 2.516 | NS | 3.996 | 0.036 | 0.640 | NS |
| R-Diversisporaceae | 0.743 | NS | 0.811 | NS | 1.175 | NS |
| R-Geosiphonaceae | 0.276 | NS | 1.331 | NS | 1.866 | NS |
| R-Gigasporaceae | 0.535 | NS | 1.299 | NS | 0.652 | NS |
| R-Glomeraceae | 0.112 | NS | 1.319 | NS | 1.042 | NS |
| R-Pacisporaceae | 1.274 | NS | 1.318 | NS | 1.336 | NS |
| R-Paraglomeraceae | 1.337 | NS | 1.028 | NS | 1.427 | NS |
| R-Unclassified fungi | 3.986 | NS | 0.676 | NS | 0.800 | NS |
Abbreviations are as follows: S, soil; R, root; NS means that there is no significant difference (p > 0.05).
References
- Cardinale, B.J.; Duffy, J.E.; Gonzalez, A.; Hooper, D.U.; Perrings, C.; Venail, P.; Narwani, A.; Mace, G.M.; Tilman, D.; Wardle, D.A.; et al. Biodiversity loss and its impact on humanity. Nature 2012, 486, 59–67. [Google Scholar] [CrossRef] [PubMed]
- Jing, X.; Sanders, N.J.; Shi, Y.; Chu, H.; Classen, A.T.; Zhao, K.; Chen, L.; Shi, Y.; Jiang, Y.; He, J.S. The links between ecosystem multifunctionality and above- and belowground biodiversity are mediated by climate. Nat. Commun. 2015, 6, 8159. [Google Scholar] [CrossRef] [PubMed]
- Mvondo Owono, F.; Ntamak-Nida, M.-J.; Dauteuil, O.; Guillocheau, F.; Njom, B. Morphology and long-term landscape evolution of the South African plateau in South Namibia. Catena 2016, 142, 47–65. [Google Scholar] [CrossRef]
- Bennie, J.; Huntley, B.; Wiltshire, A.; Hill, M.O.; Baxter, R. Slope, aspect and climate: Spatially explicit and implicit models of topographic microclimate in chalk grassland. Ecol. Model. 2008, 216, 47–59. [Google Scholar] [CrossRef]
- Liu, S.L.; An, N.N.; Yang, J.J.; Dong, S.K.; Wang, C.; Yin, Y.J. Prediction of soil organic matter variability associated with different land use types in mountainous landscape in southwestern Yunnan province, China. Catena 2015, 133, 137–144. [Google Scholar] [CrossRef]
- Zhang, Z.W.; Yin, H.Y.; Chang, J.J.; Xue, J. Spatial variability of surface soil water content and its influencing factors on shady and sunny slopes of an alpine meadow on the Qinghai–Tibetan Plateau. Glob. Ecol. Conserv. 2022, 34, e02035. [Google Scholar] [CrossRef]
- Wei, T.F.; Shangguan, D.H.; Tang, X.L.; Qin, Y. The role of glacial gravel in community development of vascular plants on the glacier forelands of the Third Pole. J. Arid Land 2022, 14, 1022–1037. [Google Scholar] [CrossRef]
- Conforti, M.; Lucà, F.; Scarciglia, F.; Matteucci, G.; Buttafuoco, G. Soil carbon stock in relation to soil properties and landscape position in a forest ecosystem of southern Italy (Calabria region). Catena 2016, 144, 23–33. [Google Scholar] [CrossRef]
- Huang, Y.M.; Liu, D.; An, S.S. Effects of slope aspect on soil nitrogen and microbial properties in the Chinese Loess region. Catena 2015, 125, 135–145. [Google Scholar] [CrossRef]
- Small, C.J.; McCarthy, B.C. Spatial and temporal variability of herbaceous vegetation in an eastern deciduous forest. Plant Ecol. 2003, 164, 37–48. [Google Scholar] [CrossRef]
- Måren, I.E.; Karki, S.; Prajapati, C.; Yadav, R.K.; Shrestha, B.B. Facing north or south: Does slope aspect impact forest stand characteristics and soil properties in a semiarid trans-Himalayan valley? J. Arid Environ. 2015, 121, 112–123. [Google Scholar] [CrossRef]
- Pereira, P.; Cerda, A.; López, A.J.; Zavala, L.M.; Mataix-Solera, J.; Arcenegui, V.; Misiūnė, I.; Keesstra, S.D.; Novara, A.J.L.D. Short-Term Vegetation Recovery after a Grassland Fire in Lithuania: The Effects of Fire Severity, Slope Position and Aspect. Land Degrad. Dev. 2016, 27, 1523–1534. [Google Scholar] [CrossRef]
- Wang, Y.Y.; Yu, J.H.; Xiao, L.; Zhong, Z.L.; Wang, Q.; Wang, W.J. Dominant species abundance, vertical structure and plant diversity response to nature forest protection in Northeastern China: Conservation effects and implications. Forests 2020, 11, 295. [Google Scholar] [CrossRef]
- Zhao, N.N.; Guggenberger, G.; Shibistova, O.; Thao, D.T.; Shi, W.J.; Li, X.G. Aspect-vegetation complex effects on biochemical characteristics and decomposability of soil organic carbon on the eastern Qinghai-Tibetan Plateau. Plant Soil 2014, 384, 289–301. [Google Scholar] [CrossRef]
- Liu, J.; Jiang, J.; Chen, Y. Genetic diversity of central and peripheral populations of Toona ciliata var. pubescens, an endangered tree species endemic to China. Genet. Mol. Res. GMR 2014, 13, 4579–4590. [Google Scholar] [CrossRef]
- Zhan, X.; Li, P.; Hui, W.K.; Deng, Y.W.; Gan, S.M.; Sun, Y.; Zhao, X.H.; Chen, X.Y.; Deng, X.M. Genetic diversity and population structure of Toona ciliata revealed by simple sequence repeat markers. Biotechnol. Biotechnol. Equip. 2019, 33, 214–222. [Google Scholar] [CrossRef]
- Huang, H.L.; Zhang, L.; Jia, L.M.; Liang, Y.L.; Cai, J.H. Fitness of sexual reproduction of Toona ciliata var. pubescens natural populations and their sexual reproduction and regeneration. J. Appl. Ecol. 2018, 29, 1098–1106. [Google Scholar] [CrossRef]
- Münzbergová, Z.; Herben, T. Seed, dispersal, microsite, habitat and recruitment limitation: Identification of terms and concepts in studies of limitations. Oecologia 2005, 145, 1–8. [Google Scholar] [CrossRef]
- Marques, M.C.M.; Burslem, D.F.R.P. Multiple stage recruitment limitation and density dependence effects in two tropical forests. Plant Ecol. 2015, 216, 1243–1255. [Google Scholar] [CrossRef]
- Guo, X.Y.; Fu, L.; Zhang, L.; Su, H.; Liang, Y.L. Effects of forest soil and soil-borne fungi on seed germination and seedling survival of Toona ciliata var. pubescens. For. Res. 2017, 30, 871–877. [Google Scholar]
- Huang, H.L.; Zhang, L.; Liao, C.K. Seed rain, soil seed bank, and natural regeneration of natural Toona ciliata var. pubescens forest. Chin. J. Appl. Ecol. 2012, 23, 972–978. [Google Scholar]
- Smith, S.E.; Read, D.J. Mycorrhizal Symbiosis; Academic Press: Cambridge, MA, USA, 2008. [Google Scholar]
- Mridha, M.A.U.; Dhar, P.P. Biodiversity of arbuscular mycorrhizal colonization and spore population in different agroforestry trees and crop species growing in Dinajpur, Bangladesh. J. Res. 2007, 18, 91–96. [Google Scholar] [CrossRef]
- Pan, J.; Wang, Q.; Guo, X.; Jiang, X.; Cheng, Q.; Fu, L.; Liu, W.; Zhang, L. Local patterns of arbuscular mycorrhizal fungal diversity and community structure in a natural Toona ciliata var. pubescens forest in South Central China. PeerJ 2021, 9, e11331. [Google Scholar] [CrossRef]
- Hoeksema, J.D.; Chaudhary, V.B.; Gehring, C.A.; Johnson, N.C.; Karst, J.; Koide, R.T.; Pringle, A.; Zabinski, C.; Bever, J.D.; Moore, J.C.; et al. A meta-analysis of context-dependency in plant response to inoculation with mycorrhizal fungi. Ecol. Lett. 2010, 13, 394–407. [Google Scholar] [CrossRef] [PubMed]
- Liu, R.J.; Li, X.L. Arbuscular Mycorrhiza and Its Application; Science Press: Beijing, China, 2000. [Google Scholar]
- Ehrlich, R.; Schulz, S.; Schloter, M.; Steinberger, Y. Effect of slope orientation on microbial community composition in different particle size fractions from soils obtained from desert ecosystems. Biol. Fertil. Soils 2015, 51, 507–510. [Google Scholar] [CrossRef]
- Chu, H.Y.; Xiang, X.J.; Yang, J.; Adams, J.M.; Zhang, K.P.; Li, Y.T.; Shi, Y. Effects of slope aspects on soil bacterial and arbuscular fungal communities in a Boreal forest in China. Pedosphere 2016, 26, 226–234. [Google Scholar] [CrossRef]
- Liu, M.; Zheng, R.; Bai, S.; Bai, Y.; Wang, J. Slope aspect influences arbuscular mycorrhizal fungus communities in arid ecosystems of the Daqingshan Mountains, Inner Mongolia, North China. Mycorrhiza 2017, 27, 189–200. [Google Scholar] [CrossRef]
- Bao, S.D. Soil and Agricultural Chemistry Analysis; China Agriculture Press: Beijing, China, 2000. [Google Scholar]
- Mahmoudi, N.; Cruz, C.; Mahdhi, M.; Mars, M.; Caeiro, M.F. Arbuscular mycorrhizal fungi in soil, roots and rhizosphere of Medicago truncatula: Diversity and heterogeneity under semi-arid conditions. PeerJ 2019, 7, e6401. [Google Scholar] [CrossRef]
- Chao, A. Nonparametric-estimation of the number of classes in a population. Scand. J. Stat. 1984, 11, 265–270. [Google Scholar]
- Simpson, E.H. Measurement of Diversity. Nature 1949, 163, 688. [Google Scholar] [CrossRef]
- Liu, M.; Zheng, R.; Bai, S.L.; Wang, J.G.; Li, L.; Duan, G.Z. Advances of species diversity of arbuscular mycorrhizal fungi. Microbiol. China 2016, 43, 1836–1843. [Google Scholar]
- Yang, H.S.; Xiong, Y.Q.; Wang, Q.; Guo, Y.; Dai, Y.J.; Xu, M.M. Arbuscular mycorrhizal fungal species diversity: Ecological functioning, determinants and assembling mechanisms. Acta Ecol. Sin. 2016, 36, 2826–2832. [Google Scholar]
- Veresoglou, S.D.; Chen, B.; Rillig, M.C. Arbuscular mycorrhiza and soil nitrogen cycling. Soil Biol. Biochem. 2012, 46, 53–62. [Google Scholar] [CrossRef]
- Kabir, Z. Tillage or no-tillage: Impact on mycorrhizae. Can. J. Plant Sci. 2005, 85, 23–29. [Google Scholar] [CrossRef]
- Dumbrell, A.J.; Nelson, M.; Helgason, T.; Dytham, C.; Fitter, A.H. Idiosyncrasy and overdominance in the structure of natural communities of arbuscular mycorrhizal fungi: Is there a role for stochastic processes. J. Ecol. 2010, 98, 419–428. [Google Scholar] [CrossRef]
- Řezáčová, V.; Řezáč, M.; Gryndler, M.; Hršelová, H.; Gryndlerová, H.; Michalová, T. Plant invasion alters community structure and decreases diversity of arbuscular mycorrhizal fungal communities. Appl. Soil Ecol. 2021, 167, 104039. [Google Scholar] [CrossRef]
- Hawkes, C.V.; Kivlin, S.N.; Rocca, J.D.; Huguet, V.; Thomsen, M.; Suttle, K.B. Fungal community responses to precipitation. Glob. Chang. Biol. 2011, 17, 1637–1645. [Google Scholar] [CrossRef]
- Guo, Y.N.; Zhang, H.D.; Bao, Y.Y.; Tan, H.Z.; Liu, X.H.; ur Rahman, Z. Distribution characteristics of soil AM fungi community in soft sandstone area. J. Environ. Manag. 2022, 316, 115193. [Google Scholar] [CrossRef]
- van der Heijden, M.G.; Bardgett, R.D.; van Straalen, N.M. The unseen majority: Soil microbes as drivers of plant diversity and productivity in terrestrial ecosystems. Ecol. Lett. 2008, 11, 296–310. [Google Scholar] [CrossRef]
- Jeffries, P.; Gianinazzi, S.; Perotto, S.; Turnau, K.; Barea, J.-M. The contribution of arbuscular mycorrhizal fungi in sustainable maintenance of plant health and soil fertility. Biol. Fertil. Soils 2003, 37, 1–16. [Google Scholar] [CrossRef]
- Scheublin, T.R.; Ridgway, K.P.; Young, J.P.; van der Heijden, M.G. Nonlegumes, legumes, and root nodules harbor different arbuscular mycorrhizal fungal communities. Appl. Environ. Microbiol. 2004, 70, 6240–6246. [Google Scholar] [CrossRef] [PubMed]
- Brito, I.; Goss, M.J.; de Carvalho, M.; Chatagnier, O.; van Tuinen, D. Impact of tillage system on arbuscular mycorrhiza fungal communities in the soil under Mediterranean conditions. Soil Till. Res. 2012, 121, 63–67. [Google Scholar] [CrossRef]
- Canini, F.; Zucconi, L.; Pacelli, C.; Selbmann, L.; Onofri, S.; Geml, J. Vegetation, pH and water content as main factors for shaping fungal richness, community composition and functional guilds distribution in soils of Western Greenland. Front. Microbiol. 2019, 10, 2348. [Google Scholar] [CrossRef] [PubMed]
- Voortman, B.R.; Fujita, Y.; Bartholomeus, R.P.; Aggenbach, C.; Witte, J.-P.M. How the evaporation of dry dune grasslands evolves during the concerted succession of soil and vegetation. Ecohydrology 2017, 10, e1848. [Google Scholar] [CrossRef]
- Chai, Y.X. Diversity and Community Structure of Arbuscular Mycorrhizal Fungi in Yinyang Slope of Qilian Mountains. Ph.D. Thesis, Lanzhou University, Lanzhou, China, 2018. [Google Scholar]
- Li, R.; Liu, M.X.; Zhang, C.; Zhao, R.D.; Shao, P. Distribution characteristics of soil microbial communities along different slope direction of Gannan sub-alpine meadows. Ecol. Environ. Sci. 2017, 26, 1884–1891. [Google Scholar]
- Sun, X.F.; Su, Y.Y.; Zhang, Y.; Wu, M.Y.; Zhang, Z.; Pei, K.Q.; Sun, L.F.; Wan, S.Q.; Liang, Y. Diversity of arbuscular mycorrhizal fungal spore communities and its relations to plants under increased temperature and precipitation in a natural grassland. ChSBu 2013, 58, 4109–4119. [Google Scholar] [CrossRef]
- Guo, Y.; He, Y.J.; Wu, P.; Wu, B.L.; Lin, Y.; He, M.H.; Han, X.; Xia, T.T.; Shen, K.P.; Kang, L.L.; et al. The interspecific competition presents greater nutrient facilitation compared with intraspecific competition through AM fungi interacting with litter for two host plants in karst soil. J. Plant Ecol. 2021, 15, 399–412. [Google Scholar] [CrossRef]
- Liang, Y.M.; He, X.Y.; Chen, C.Y.; Feng, S.Z.; Liu, L.; Chen, X.B.; Zhao, Z.W.; Su, Y.R. Influence of plant communities and soil properties during natural vegetation restoration on arbuscular mycorrhizal fungal communities in a karst region. Ecol. Eng. 2015, 82, 57–65. [Google Scholar] [CrossRef]
- Huang, H.L.; Zhang, L.; Guo, X.Y.; Liang, Y.L.; Liu, Z.G. Fruiting characteristics and sexual fecundity of Toona ciliata var. pubescens populations in Jiulianshan national nature reserve. Sci. Silvae Sin. 2013, 49, 170–174. [Google Scholar]
- Helgason, T.; Merryweather, J.W.; Denison, J.; Wilson, P.; Young, J.P.W.; Fitter, A.H. Selectivity and functional diversity in arbuscular mycorrhizas of co-occuring fungi and plants from a temperate deciduous woodland. J. Ecol. 2002, 90, 371–384. [Google Scholar] [CrossRef]
- Lovelock, C.E.; Andersen, K.; Morton, J.B. Arbuscular mycorrhizal communities in tropical forests are affected by host tree species and environment. Oecologia 2003, 135, 268–279. [Google Scholar] [CrossRef] [PubMed]
- López-García, Á.; Varela-Cervero, S.; Vasar, M.; Öpik, M.; Barea, J.M.; Azcón-Aguilar, C. Plant traits determine the phylogenetic structure of arbuscular mycorrhizal fungal communities. Mol. Ecol. 2017, 26, 6948–6959. [Google Scholar] [CrossRef] [PubMed]
- Van Diepen, L.; Lilleskov, E.; Pregitzer, K. Simulated nitrogen deposition affects community structure of arbuscular mycorrhizal fungi in northern hardwood forests. Mol. Ecol. 2011, 20, 799–811. [Google Scholar] [CrossRef] [PubMed]
- Jamiołkowska, A.; Księżniak, A.; Gałązka, A.; Hetman, B.; Kopacki, M.; Skwaryło-Bednarz, B. Impact of abiotic factors on development of the community of arbuscular mycorrhizal fungi in the soil: A Review. Int. Agrophys. 2018, 32, 133–140. [Google Scholar] [CrossRef]
- Wang, Q.; Wang, J.; Li, Y.; Chen, D.; Ao, J.; Zhou, W.; Shen, D.; Li, Q.; Huang, Z.; Jiang, Y. Influence of nitrogen and phosphorus additions on N(2)-fixation activity, abundance, and composition of diazotrophic communities in a Chinese fir plantation. Sci. Total Environ. 2018, 619–620, 1530–1537. [Google Scholar] [CrossRef] [PubMed]
- Corrales, A.; Ovrebo, C.L. Fungi of the Fortuna Forest Reserve: Taxonomy and ecology with emphasis on ectomycorrhizal communities. Ecol. Environ. Conserv. 2020, 4, 1–29. [Google Scholar]
Publisher’s Note: MDPI stays neutral with regard to jurisdictional claims in published maps and institutional affiliations. |
© 2022 by the authors. Licensee MDPI, Basel, Switzerland. This article is an open access article distributed under the terms and conditions of the Creative Commons Attribution (CC BY) license (https://creativecommons.org/licenses/by/4.0/).




