Surface Characteristics and Acoustical Properties of Bamboo Particle Board Coated with Polyurethane Varnish
Abstract
:1. Introduction
2. Materials and Methods
2.1. Materials
2.2. Methods
2.2.1. Coating Application
2.2.2. Surface Quality
2.2.3. Acoustical Properties of Sound Absorption and Noise Reduction Coefficient
2.2.4. Statistical Analysis
3. Results and Discussion
3.1. Surface Quality
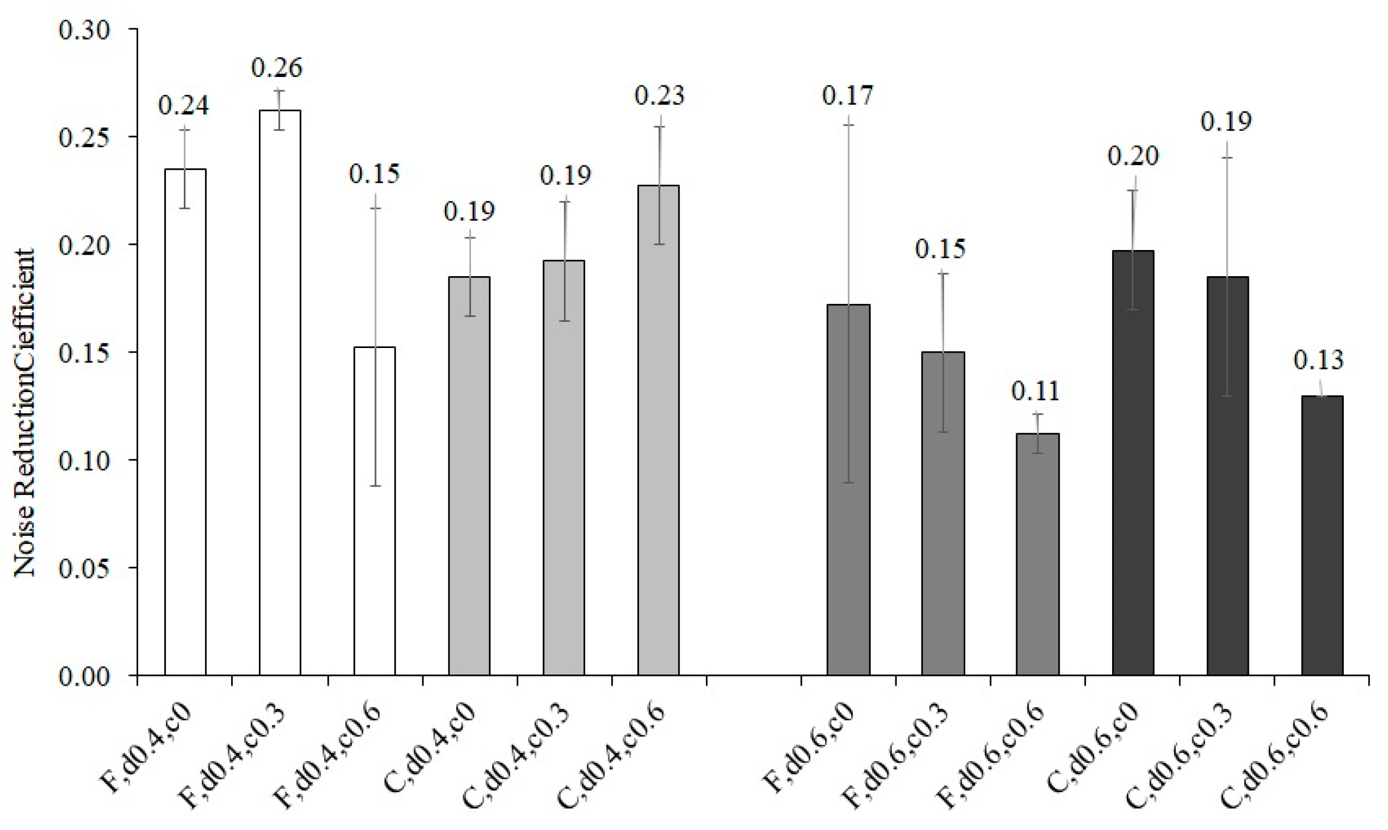
3.2. Acoustical Properties
3.2.1. Sound Absorption
3.2.2. Noise Reduction Coefficient
4. Conclusions
Author Contributions
Funding
Data Availability Statement
Acknowledgments
Conflicts of Interest
References
- Qiu, H.; Xu, J.; He, Z.; Long, L.; Yue, X. Bamboo as an Emerging sourcing of raw material for household and building products. Bioresources 2019, 14, 2465–2467. [Google Scholar]
- Larasatie, P.; Guerrero, J.E.; Conroy, K.; Hall, T.E.; Hansen, E.; Needham, M.D. What Does the Public Believe about Tall Wood Buildings? An Exploratory Study in the US Pacific Northwest. J. For. 2018, 116, 429–436. [Google Scholar] [CrossRef]
- Gauss, C.; De Araujo, V.; Gava, M.; Cortez-Barbosa, J.; Junior, H.S. Bamboo particleboards: Recent developments. Pesqui. Agropecuária Trop. 2019, 49, 1–10. [Google Scholar] [CrossRef] [Green Version]
- Kasim, J.; Ahmad, A.J.H.; Harun, J.; Ashari, Z.; Mohmod, L.; Yusof, M.N.M. Properties of particleboard manufactured from commonly utilized Malaysian bamboo (Gigantochloa scortechinii). Pertanika J. Trop. Agric. Sci. 2001, 24, 151–157. [Google Scholar]
- Karlinasari, L.; Sejati, P.S.; Adzkia, U.; Arinana, A.; Hiziroglu, S. Some of the physical and mechanical properties of parti-cleboard made from betung bamboo (Dendrocalamus asper). Appl. Sci. 2021, 11, 3682. [Google Scholar] [CrossRef]
- Widyorini, R. Evaluation of physical and mechanical properties of particleboard made from Petung bamboo using sucrose-based adhesive. Bioresources 2020, 15, 5072–5086. [Google Scholar] [CrossRef]
- Bazzetto, J.T.D.L.; Junior, G.B.; Brito, F.M.S. Effect of Particle Size on Bamboo Particle Board Properties. Floresta E Ambient. 2019, 26, 1–8. [Google Scholar] [CrossRef] [Green Version]
- Abdulkareem, S.; Adeniyi, A. Production of particle boards using polystyrene and bamboo wastes. Niger. J. Technol. 2017, 36, 788–793. [Google Scholar] [CrossRef]
- Nuhazwani, O.; Jawaid, M.; Paridah, M.T.; Juliana, A.H.; Hamid, S.A. Hybrid particleboard made from bamboo. Bioresources 2016, 11, 306–323. [Google Scholar]
- Zaia, U.J.; Barbosa, J.C.; Morales, E.; Lahr, F.A.R.; Nascimento, M.F.D.; De Araujo, V.A. Production of Particleboards with Bamboo (Dendrocalamus giganteus) Reinforcement. Bioresources 2014, 10, 1424–1433. [Google Scholar] [CrossRef]
- Alam, D.; Rahman, K.-S.; Ratul, S.; Sharmin, A.; Islam, T.; Hasan, M.A.W.; Isalm, M.N. Islam Properties of Particleboard Manufactured from Commonly Used Bamboo (Bambusa vulgaris) Wastes in Bangladesh. Adv. Res. 2015, 4, 203–211. [Google Scholar] [CrossRef]
- Karlinasari, L.; Hermawan, D.; Maddu, A.; Bagus, M.; Lucky, I.K.; Nugroho, N.; Hadi, Y.S. Acoustical properties of parti-cleboards made from betung bamboo (Dendrocalamus asper) as building construction material. Bioresources 2012, 7, 5700–5709. [Google Scholar] [CrossRef] [Green Version]
- Shah, D.U.; Sharma, B.; Ramage, M.H. Processing bamboo for structural composites: Influence of preservative treatments on surface and interface properties. Int. J. Adhes. Adhes. 2018, 85, 15–22. [Google Scholar] [CrossRef]
- Dilik, T.; Erdinler, E.S.; Hazır, E.; Koç, H.; Hiziroglu, S. Adhesion Strength of Wood Based Composites Coated with Cellulosic and Polyurethane Paints. Adv. Mater. Sci. Eng. 2015, 2015, 745675. [Google Scholar] [CrossRef] [Green Version]
- Darmawan, W.; Nandika, D.; Noviyanti, E.; Alipraja, I.; Lumongga, D.; Gardner, D.; Gérardin, P. Wettability and bonding quality of exterior coatings on jabon and sengon wood surfaces. J. Coat. Technol. Res. 2017, 15, 95–104. [Google Scholar] [CrossRef]
- Ramananantoandro, T.; Eyma, F.; Belloncle, C.; Rincé, S.; Irle, M. Effects of machining parameters on raised grain occur-ring after the application of water-based finishes. Eur. J. Wood Wood Prod. 2018, 76, 1323–1333. [Google Scholar] [CrossRef]
- Salca, E.-A.; Krystofiak, T.; Mazela, B.; Proszyk, S.; Lis, B. Some Coating Properties of Black Alder Wood as a Function of Varnish Type and Application Method. Bioresources 2016, 11, 7580–7594. [Google Scholar] [CrossRef] [Green Version]
- Söğütlü, C.; Nzokou, P.; Koc, I.; Tutgun, R.; Dongel, N. The effects of surface roughness on varnish adhesion strength of wood materials. J. Coat. Technol. Res. 2016, 13, 863–870. [Google Scholar] [CrossRef]
- Bulian, F.; Graystone, J. Wood Coatings: Theory and Practice; Elsevier: Amsterdam, The Netherlands, 2009. [Google Scholar]
- Melchiors, M.; Sonntag, M.; Kobusch, C.; Jürgens, E. Recent developments in aqueous two-component polyurethane (2K-PUR) coatings. Prog. Org. Coat. 2000, 40, 99–109. [Google Scholar] [CrossRef]
- Erdinler, E.S.; Koc, K.H.; Dilik, T.; Hazir, E. Layer thickness performances of coatings on MDF: Polyurethane and cellu-losic paints. Maderas. Cienc. Y Tecnol. 2019, 21, 317–326. [Google Scholar]
- Gokulkumar, S.; Thyla, P.; Prabhu, L.; Sathish, S. Measuring Methods of Acoustic Properties and Influence of Physical Parameters on Natural Fibers: A Review. J. Nat. Fibers 2020, 17, 1719–1738. [Google Scholar] [CrossRef]
- Ramnath, R.A.; Thyla, P.; Kumar, N.M.; Aravind, S. Optimization of machining parameters of composites using multi-attribute decision-making techniques: A review. J. Reinf. Plast. Compos. 2017, 37, 77–89. [Google Scholar] [CrossRef]
- Asdrubali, F.; Schiavoni, S.; Horoshenkov, K. A Review of Sustainable Materials for Acoustic Applications. Build. Acoust. 2012, 19, 283–311. [Google Scholar] [CrossRef]
- Arenas, J.P.; Crocker, M.J. Recent trends in porous sound-absorbing materials. Sound Vib. 2010, 44, 12–18. [Google Scholar]
- Suyatno, M.S.; Dita, M.A.N.; Indrawati, S. Acoustical abilities of woven bamboo to absorbing and transmitting of the sound. Adv. Eng. Res. 2020, 192, 152–155. [Google Scholar]
- Iswanto, A.H.; Hakim, A.R.; Azhar, I.; Wirjosentono, B.; Prabuningrum, D.S. The Physical, Mechanical, and Sound Ab-sorption Properties of Sandwich Particleboard (SPb). J. Korean Wood Sci. Technol. 2020, 48, 32–40. [Google Scholar]
- Koizumi, T.; Tsujiuchi, N.; Adachi, A. The development of sound absorbing materials using natural bamboo fibers. In High Perfomance Structure and Composites Book; Brebbia, C.A., de Wilde, W.P., Eds.; WITT Press: Southampton, UK, 2002; pp. 157–166. [Google Scholar]
- Xu, W.; Fang, X.; Han, J.; Wu, Z.; Zhang, J. Effect of Coating Thickness on Sound Absorption Property of Four Wood Species Commonly Used for Piano Soundboards. Wood Fiber Sci. 2020, 52, 28–43. [Google Scholar] [CrossRef] [Green Version]
- Ivanova, Y.; Vitchev, P.; Hristodorova, D. Study on the influence of some factors on the sound absorption characteristics of wood from Scotch pine. Chip Chipless Woodwork. Process. 2018, 11, 65–72. [Google Scholar]
- Rasyid, A.H.A.; Santoso, D.I.; Utama, F.Y. Pemilihan parameter pengecatan untuk mendapatkan ketebalan lapisan cat yang tepat untuk permukaan tidak merata. Otopro 2019, 12, 82–87. [Google Scholar] [CrossRef]
- Acoustics—Determination of Sound Absorption Coefficient and Impedance in Impedance Tubes—Part 2: Transfer-Function Method; European Commitee for Standardization: Brussels, Belgium; International Organization for Standardization: Geneva, Switzerland, 1998.
- BSWA SW 422. Acoustics Material Testing- Sound and Vibration Measurement; China, BSWA Technology Co., Ltd.: Beijing, China, 2021. [Google Scholar]
- BSWA SW 477. Acoustics Material Testing- Sound and vibration Measurement; China, BSWA Technology Co., Ltd.: Beijing, China, 2021. [Google Scholar]
- Veerakumar, A.; Selvakumar, N. A preliminary inverstigation on kapok/polypropylene nonwoven composite for sound absorption. Indian J. Fibre Text. Res. 2012, 37, 385–388. [Google Scholar]
- Nandanwar, A.; Kiran, M.C.; Varadarajulu, K.C. Influence of Density on Sound Absorption Coefficient of Fibre Board. Open J. Acoust. 2017, 7, 1–9. [Google Scholar] [CrossRef] [Green Version]
- Aydin, I. Activation of wood surfaces for glue bonds by mechanical pre-treatment and its effects on some properties of ve-neer surfaces and plywood panels. Appl. Surf. Sci. 2004, 233, 268–274. [Google Scholar] [CrossRef]
- Gindl, M.; Reiterer, A.; Sinn, G.; Stanzl-Tschegg, S.E. Effects of surface ageing on wettability, surface chemistry, and adhesion of wood. Holz Als Roh-Und Werkst. 2004, 62, 273–280. [Google Scholar] [CrossRef]
- Nemli, G.; Ozturk, I.; Aydin, I. Some of the parameters influencing surface roughness of particleboard. Build. Environ. 2005, 40, 1337–1340. [Google Scholar] [CrossRef]
- Davis, B.; Moon, R.E. Thickness Swell in Particle Board: A Forensic Tool for the Duration of Loss. Forensic Eng. 2015, 196–208. [Google Scholar] [CrossRef]
- Mantanis, G.I.; Papadopoulos, A.N. Reducing the thickness swelling of wood based panels by applying a nanotechnology compound. Holz Als Roh-Und Werkst. 2010, 68, 237–239. [Google Scholar] [CrossRef] [Green Version]
- Wong, J.W.; Yeo, W.S.; Paridah, M.T. Sound absorbption properties of kenaf bamboo particleboard are various mixing ratio and density. In Proceedings of the 3rd International Materials, Industrial and Manufacturing Engineering Conference, Miri, Malaysia, 8 December 2017. [Google Scholar]
- Khair, F.A.; Putra, A.; Nor, M.J.M.; Atiqah, N.; Selamat, M.; Azma, P. Preliminary Study on Bamboo as Sound Absorber. Appl. Mech. Mater. 2014, 554, 76–80. [Google Scholar] [CrossRef]
- Allard, J.; Depollier, C.; Guignouard, P. Free field surface impedance measurements of sound-absorbing materials with surface coatings. Appl. Acoust. 1989, 26, 199–207. [Google Scholar] [CrossRef]













| Board Density (BD) | Particle Geometry | PU Coating Thickness | Code |
|---|---|---|---|
| BD 0.4 g/cm3 | Fine particles | un-coated (control) | F,d0.4,c0 |
| 0.3 mm | F,d0.4,c0.3 | ||
| 0.6 mm | F,d0.4,c0.6 | ||
| Coarse particles | un-coated (control) | C,d0.4,c0 | |
| 0.3 mm | C,d0.4,c0.3 | ||
| 0.6 mm | C,d0.4,c0.6 | ||
| BD 0.6 g/cm3 | Fine particles | un-coated (control) | F,d0.6,c0 |
| 0.3 mm | F,d0.6,c0.3 | ||
| 0.6 mm | F,d0.4,c0.6 | ||
| Coarse particles | un-coated (control) | C,d0.6,c0 | |
| 0.3 mm | C,d0.6,c0.3 | ||
| 0.6 mm | C,d0.6,c0.6 |
| Model | df | Sum of Squares | Mean Square | F | Sig. (p ≤ 0.05) | |
|---|---|---|---|---|---|---|
| 1 | Regression | 3 | 148.063 | 49.354 | 25.214 | 0.000 a |
| Residual | 20 | 39.149 | 1.957 | |||
| Total | 23 | 187.212 | ||||
| 2 | Regression | 2 | 144.688 | 72.344 | 35.726 | 0.000 b |
| Residual | 21 | 42.524 | 2.025 | |||
| Total | 23 | 187.212 | ||||
| 3 | Regression | 1 | 141.313 | 141.313 | 67.733 | 0.000 c |
| Residual | 22 | 45.899 | 2.086 | |||
| Total | 23 | 187.212 | ||||
| Coefficient | Standard Error | t Stat | p-Values | |||
| 1 | (Constant) | 9.694 | 1.428 | 6.789 | 0.000 | |
| Board density | −0.750 | 0.571 | −1.313 | 0.204 | ||
| Particle size | 0.750 | 0.571 | 1.313 | 0.204 | ||
| Coating thickness | −2.972 | 0.350 | −8.497 | 0.000 | ||
| 2 | (Constant) | 10.819 | 1.162 | 9.311 | 0.000 | |
| Particle size | −0.750 | 0.581 | −1.291 | 0.211 | ||
| Coating thickness | −2.972 | 0.356 | −8.354 | 0.000 | ||
| 3 | (Constant) | 9.694 | 0.780 | 12.427 | 0.000 | |
| Coating thickness | −2.972 | 0.361 | −8.230 | 0.000 |
| Model | df | Sum of Squares | Mean Square | F | Sig. (p ≤ 0.05) | |
|---|---|---|---|---|---|---|
| 1 | Regression | 3 | 2091.965 | 697.322 | 11.106 | 0.000 a |
| Residual | 20 | 1255.784 | 62.789 | |||
| Total | 23 | 3347.749 | ||||
| 2 | Regression | 2 | 2036.376 | 1018.188 | 16.305 | 0.000 b |
| Residual | 21 | 1311.373 | 62.446 | |||
| Total | 23 | 3347.749 | ||||
| 3 | Regression | 1 | 1913.866 | 1913.866 | 29.364 | 0.000 c |
| Residual | 22 | 1433.884 | 65.177 | |||
| Total | 23 | 3347.749 | ||||
| Coefficient | Standard Error | t Stat | p-Values | |||
| 1 | (Constant) | 108.492 | 8.087 | 13.415 | 0.000 | |
| Board density | 3.044 | 3.235 | 0.941 | 0.358 | ||
| Particle size | −4.519 | 3.235 | −1.397 | 0.178 | ||
| Coating thickness | −10.937 | 1.981 | −5.521 | 0.000 | ||
| 2 | (Constant) | 113.058 | 6.452 | 17.522 | 0.000 | |
| Particle size | −4.519 | 3.226 | −1.401 | 0.176 | ||
| Coating thickness | −10.937 | 1.976 | −5.536 | 0.000 | ||
| 3 | (Constant) | 106.280 | 4.360 | 24.376 | 0.000 | |
| Coating thickness | −10.937 | 2.018 | −5.419 | 0.000 |
| Model | df | Sum of Squares | Mean Square | F | Sig. (p ≤ 0.05) | |
|---|---|---|---|---|---|---|
| 1 | Regression | 3 | 65.249 | 21.750 | 7.818 | 0.000 a |
| Residual | 32 | 89.026 | 2.782 | |||
| Total | 35 | 154.275 | ||||
| 2 | Regression | 2 | 62.263 | 31.132 | 11.165 | 0.000 b |
| Residual | 33 | 92.012 | 2.788 | |||
| Total | 35 | 154.275 | ||||
| 3 | Regression | 1 | 56.522 | 56.522 | 19.659 | 0.000 c |
| Residual | 34 | 97.753 | 2.875 | |||
| Total | 35 | 154.275 | ||||
| Coefficient | Standard Error | t Stat | p-Values | |||
| 1 | (Constant) | 8.234 | 1.390 | 5.924 | 0.000 | |
| Board density | −0.799 | 0.556 | −1.437 | 0161 | ||
| Particle size | 0.576 | 0.556 | 1.036 | 0.308 | ||
| Coating thickness | −1.535 | 0.340 | −4.507 | 0.000 | ||
| 2 | (Constant) | 9.098 | 1.113 | 8.173 | 0.000 | |
| Particle size | −0.799 | 0.557 | −1.435 | 0.161 | ||
| Coating thickness | −1.535 | 0.341 | −54.502 | 0.000 | ||
| 3 | (Constant) | 7.900 | 0.748 | 10.566 | 0.000 | |
| Coating thickness | −1.535 | 0.346 | −4.434 | 0.000 |
| Model | df | Sum of Squares | Mean Square | F | Sig. (p ≤ 0.05) | |
|---|---|---|---|---|---|---|
| 1 | Regression | 3 | 17,826.556 | 5942.185 | 13.429 | 0.000 a |
| Residual | 32 | 14,159.997 | 442.500 | |||
| Total | 35 | 31,986.553 | ||||
| 2 | Regression | 2 | 17,639.186 | 8819.593 | 20.286 | 0.000 b |
| Residual | 33 | 14,347.367 | 434.769 | |||
| Total | 35 | 31,986.553 | ||||
| Coefficient | Standard Error | t Stat | p-Values | |||
| 1 | (Constant) | 156.876 | 17.530 | 8.949 | 0.000 | |
| Board density | −4.563 | 7.012 | −0.651 | 0.520 | ||
| Particle size | −34.512 | 7.012 | −4.922 | 0.000 | ||
| Coating thickness | −16.980 | 4.294 | −3.954 | 0.000 | ||
| 2 | (Constant) | 150.032 | 13.901 | 10.793 | 0.000 | |
| Particle size | −34.512 | 6.950 | −4.965 | 0.000 | ||
| Coating thickness | −16.980 | 4.256 | −3.989 | 0.000 |
| Source of Variation | df | SS | MS | F | F Crit | p-Value |
|---|---|---|---|---|---|---|
| Between Groups | 11 | 0.047446 | 0.004313 | 4.726858 | 2.717331 | 0.006277 |
| Within Groups | 12 | 0.01095 | 0.000913 | |||
| Total | 23 | 0.058396 |
Publisher’s Note: MDPI stays neutral with regard to jurisdictional claims in published maps and institutional affiliations. |
© 2021 by the authors. Licensee MDPI, Basel, Switzerland. This article is an open access article distributed under the terms and conditions of the Creative Commons Attribution (CC BY) license (https://creativecommons.org/licenses/by/4.0/).
Share and Cite
Karlinasari, L.; Adzkia, U.; Sudarsono, A.S.; Larasatie, P.; Amin, Y.; Nugroho, N. Surface Characteristics and Acoustical Properties of Bamboo Particle Board Coated with Polyurethane Varnish. Forests 2021, 12, 1285. https://doi.org/10.3390/f12091285
Karlinasari L, Adzkia U, Sudarsono AS, Larasatie P, Amin Y, Nugroho N. Surface Characteristics and Acoustical Properties of Bamboo Particle Board Coated with Polyurethane Varnish. Forests. 2021; 12(9):1285. https://doi.org/10.3390/f12091285
Chicago/Turabian StyleKarlinasari, Lina, Ulfa Adzkia, Anugrah Sabdono Sudarsono, Pipiet Larasatie, Yusup Amin, and Naresworo Nugroho. 2021. "Surface Characteristics and Acoustical Properties of Bamboo Particle Board Coated with Polyurethane Varnish" Forests 12, no. 9: 1285. https://doi.org/10.3390/f12091285
APA StyleKarlinasari, L., Adzkia, U., Sudarsono, A. S., Larasatie, P., Amin, Y., & Nugroho, N. (2021). Surface Characteristics and Acoustical Properties of Bamboo Particle Board Coated with Polyurethane Varnish. Forests, 12(9), 1285. https://doi.org/10.3390/f12091285

