Overwinter Storage of European Beech and Norway Spruce Planting Stock: Effect of Different Methods and Temperature Conditions
Abstract
1. Introduction
2. Materials and Methods
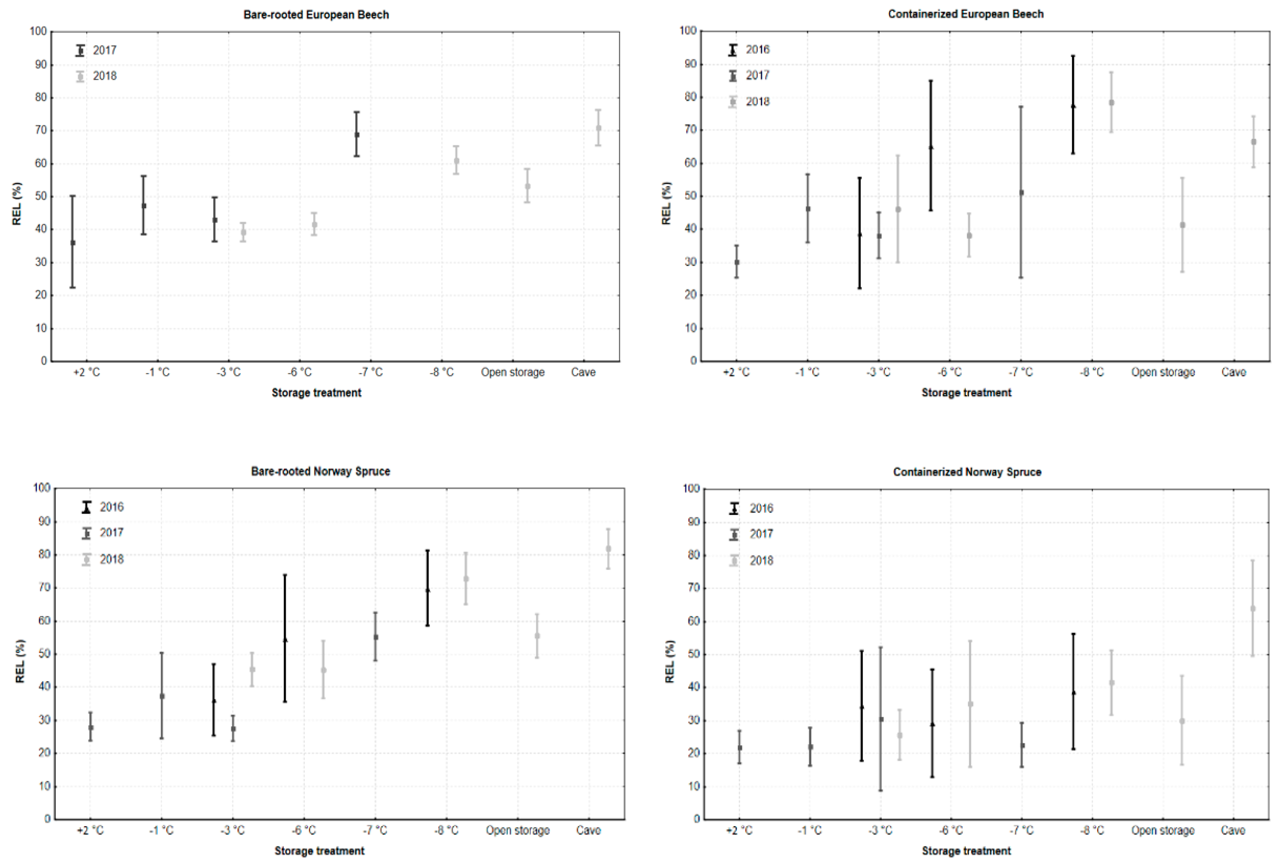
3. Results
4. Discussion
5. Conclusions
- Overwinter storage of planting stock is possible within the temperatures range of −1.7 °C to −3.4 °C. After removal from the storage, the plants achieve a high vitality of the fine roots, minimal (sometimes even zero) mortality and a higher increment after planting.
- Air temperatures of −5.6 °C to −5.9 °C are suitable for short storage (the period tested was 1 month). Two months and longer storage can lead to a slight rise in plant mortality, lower vitality of the fine roots and an increment comparable to that during the storage from −1.7 °C to −3.4 °C.
- After overwinter storage at air temperatures of −6.6 °C to −8.4 °C, the plants show low vitality of the fine roots and unacceptably high mortality. Only some containerized plants (Norway spruce) can be stored in such lower temperatures for a shorter time (the period tested was 1 month). Therefore, the temperature limit for plant storage will be probably affected by the time of storage.
- Storage in an air-conditioned storage (+2 °C, 100% relative humidity) can be recommended for European Beech, but in the case of Norway Spruce, despite fungicide treatment, there is a disproportionate occurrence of fungal infestation.
- Open storage is recommended only in suitable weather conditions with the careful overwintering of plants.
- Plants cannot be stored if the temperature in the storage area varies considerably (tested from +2 °C to +6 °C) and if they are not protected against desiccation in the case of low relative humidity (tested 58−75%).
- Containerized planting stock is more resistant to low freezing temperatures than bare-rooted planting stock.
- Norway Spruce is more resistant to low freezing temperatures than European Beech.
Author Contributions
Funding
Acknowledgments
Conflicts of Interest
References
- Camm, E.L.; Goetze, D.C.; Silim, S.N.; Lavender, D.P. Cold storage of conifer seedlings: An update from the British Columbia perspective. For. Chron. 1994, 70, 311–316. [Google Scholar] [CrossRef][Green Version]
- Rikala, R. Metsäpuiden Paakkutaimien Kasvatusopas (Container Seedling Growing Manual for Forest Trees); The Finnish Forest Research Institute: Suonenjoki, Finland, 2012; p. 247. [Google Scholar]
- Landis, T.; Dumroese, R.K.; Haase, D.L. Seedling Processing, Storage, and Outplanting Agric. Handbk. In The Container Tree Nursery Manual; U.S. Department of Agriculture Forest Service: Washington, DC, USA, 2010; Volume 7, p. 200. [Google Scholar]
- Luoranen, J.; Saksa, T.; Lappi, J. Seedling, planting site and weather factors affecting the success of autumn plantings in Norway spruce and Scots pine seedlings. For. Ecol. Manag. 2018, 419–420, 79–90. [Google Scholar] [CrossRef]
- Mordas, D.; Wojtkowiak, R.; Wiśniewski, M.; Ratajczak, W. Changes in humidity during outdoor storage of seedlings in styrofoam containers on racks covered with different materials. Acta Sci. Pol. Silvarum Colendarum Ratio Ind. Lignaria 2013, 12, 13–22. [Google Scholar]
- Schaberg, P.G.; Hennon, P.E.; D’Amore, D.V.; Hawley, G.J. Influence of simulated snow cover on the cold tolerance and freezing injury of yellow-cedar seedlings. Glob. Chang. Biol. 2008, 14, 1282–1293. [Google Scholar] [CrossRef]
- Śliwa, S. Storage of the containerized planting stock in polish forest nurseries. In Manipulace a Skladování Sadebního Materiálu Lesních Dřevin: Handling and Storage of Forest Planting Stock; Houšková, K., Ed.; Mendelova Univerzita v Brně: Brno, Czech Republic, 2015; Volume 5, pp. 24–28. [Google Scholar]
- Wilnen, J.; Vaartaja, O. Prevention of injury to tree seedlings during cellar storage. For. Chron 1958, 34, 132–138. [Google Scholar] [CrossRef][Green Version]
- Mandel, R.H. Container seedling handling and storage in the Rocky Mountain and Intermountain regions. In Proceedings of the National Proceedings: Forest and Conservation Nursery Associations—2004, Charleston, SC, USA, 12–15 July 2004; Proceedings RMRS–P–33. USDA Forest Service, Rocky Mountain Research Station: Fort Collins, CO, USA, 2005; pp. 8–9. [Google Scholar]
- Landis, T.D.; Luna, T. Harvesting, storing, and shipping. In Nursery Manual for Native Plants: A Guide for Tribal Nurseries; U.S. Department of Agriculture Forest Service: Washington, DC, USA, 2009; pp. 229–245. [Google Scholar]
- Kooistra, C.M. Seedling storage and handling in western Canada. In Proceedings of the National Proceedings: Forest and Conservation Nursery Associations—2004, Charleston, SC, USA, 12–15 July 2004; Riley, L.E., Dumroese, R.K., Landis, T.D., Eds.; Proceedings RMRS-P-33 2004. US Department of Agriculture, Forest Service, Rocky Mountain Research Station: Fort Collins, CO, USA, 2005; pp. 15–21. [Google Scholar]
- Ritchie, G.A. Container seedling storage and handling in the Pacific Northwest: Answers to some frequently asked questions. In Proceedings of the National Proceedings: Forest and Conservation Nursery Associations—2003, Coeur d’Alene, ID, USA, 9–12 June 2003; Riley, L.E., Dumroese, R.K., Landis, T.D., Eds.; USDA Forest Service Proceedings RMRS-P-33. US Department of Agriculture, Forest Service, Rocky Mountain Research Station: Fort Collins, CO, USA, 2004; pp. 3–7. [Google Scholar]
- Luoranen, J.; Riikonen, J.; Rikala, R.; Sutinen, S. Frost hardiness, carbohydrates and bud morphology of Picea abies seedlings after different lengths of freezer storage. Scand. J. For. Res. 2012, 27, 414–419. [Google Scholar] [CrossRef]
- Grossnickle, S.C.; South, D.B. Fall acclimation and the lift/store pathway: Effect on reforestation. Open For. Sci. J. 2014, 7, 1–20. [Google Scholar] [CrossRef]
- Němec, P. Možnosti dlouhodobého a krátkodobého skladování sadebního materiálu lesních dřevin v klimatizovaných skladech. In Moderní Školkařské Technologie a Jejich Využití v Lesnictví II; Intenzifikační Opatření v Lesních Školkách: Řečany nad Labem, Czech Republic, 2016. [Google Scholar]
- Radoglou, K.; Raftoyannis, Y. The impact of storage, desiccation and planting date on seedling quality and survival of woody plant species. Forestry 2002, 75, 179–190. [Google Scholar] [CrossRef]
- Garriou, D.; Girard, S.; Guehl, J.M.; Généré, B. Effect of desiccation during cold storage on planting stock quality and field performance in forest species. Ann. For. Sci. 2002, 57, 101–111. [Google Scholar] [CrossRef]
- Vitra, A.; Lenz, A.; Vitasse, Y. Frost hardening and dehardening potential in temperate trees from winter to budburst. New Phytol. 2017, 216, 113–123. [Google Scholar] [CrossRef] [PubMed]
- Wong, C.Y.; Gamon, J.A. The photochemical reflectance index provides an optical indicator of spring photosynthetic activation in evergreen conifers. New Phytol. 2015, 206, 196–208. [Google Scholar] [CrossRef]
- Bárta, A. Experience with the storage and handling of the forest planting stock in operating conditions of the LESCUS forest nursery Cetkovice, s.r.o. In Manipulace a Skladování Sadebního Materiálu Lesních Dřevin: Handling and Storage of Forest Planting Stock; Houšková, K., Ed.; Mendelova Univerzita v Brně: Brno, Czech Republic, 2015; Volume 5, pp. 24–28. [Google Scholar]
- Bigras, F.S.; Colombo, S.J. (Eds.) Conifer Cold Hardiness; Kluwer: Dordrecht, The Netherlands, 2001; pp. 223–252. [Google Scholar]
- Lindström, A.; Stattin, E.; Gräns, D.; Wallin, E. Storability measures of Norway spruce and Scots pine seedlings and assessment of post-storage vitality by measuring shoot electrolyte leakage. Scand. J. For. Res. 2014, 29, 717–724. [Google Scholar] [CrossRef]
- Janda, T.; Majláth, I.; Szalai, G. Interaction of temperature and light in the development of freezing tolerance in plants. J. Plant Growth Regul. 2014, 33, 460–469. [Google Scholar] [CrossRef]
- Kozlowski, T.T.; Pallardy, S.G. Acclimation and adaptive responses of woody plants to environmental stresses. Bot. Rev. 2002, 68, 270–334. [Google Scholar] [CrossRef]
- Yadav, S.K. Cold stress tolerance mechanisms in plants. Agron. Sustain. Dev. 2010, 30, 515–527. [Google Scholar] [CrossRef]
- Solanke, A.U.; Sharma, A.K. Signal transduction during cold stress in plants. Physiol. Mol. Biol. Plants 2008, 14, 69–79. [Google Scholar] [CrossRef] [PubMed]
- Wesoly, W.; Chabowska, A. Winter storage of pedunculate oak (Quercus robur L.) seedlings. Zarządzanie Ochr. Przyr. Lasach 2016, 10. [Google Scholar] [CrossRef]
- Dumroese, R.K.; Barnett, J.P. Container seedling handling and storage in the Southeastern States. In Proceedings of the National Proceedings: Forest and Conservation Nursery Associations—2003, Coeur d’Alene, ID, USA, 9–12 June 2003; Riley, L.E., Dumroese, R.K., Landis, T.D., Eds.; USDA Forest Service Proceedings RMRS-P-33. US Department of Agriculture, Forest Service, Rocky Mountain Research Station: Fort Collins, CO, USA, 2004; pp. 22–25. [Google Scholar]
- Repo, T.; Korhonen, A.; Lehto, T.; Silvennoinen, R. Assessment of frost damage in mycorrhizal and non-mycorrhizal roots of Scots pine seedlings using classification analysis of their electrical impedance spectra. Trees 2016, 30, 483–495. [Google Scholar] [CrossRef]
- Wang, Y.; Zwiazek, J.J. Physiological characteristics and carbohydrate contents of spring-lifted Picea glauca bareroot seedlings following low–temperature storage. Scand. J. For. Res. 2001, 16, 415–421. [Google Scholar] [CrossRef]
- Mena-Petite, A.; Ortega-Lasuen, U.; González-Moro, B.; Lacuesta, M.; Muñoz–Rueda, A. Storage duration and temperature effect on the functional integrity of container and bare-root Pinus radiata D. Don stock types. Trees 2001, 15, 289–296. [Google Scholar] [CrossRef]
- Jacobs, D.F.; Wilson, B.C.; Ross-Davis, A.L.; Davis, A.S. Cold hardiness and transplant response of Juglans nigra seedlings subjected to alternative storage regimes. Ann. For. Sci. (EDP Sci.) 2008, 65, 606–613. [Google Scholar] [CrossRef]
- Skalak, P.; Stepanek, P.; Zahradnicek, P.; Trnka, M. Extreme Drought of 2018 in the Czech Republic. Geophys. Res. Abstr. 2019, 21, 9–11. [Google Scholar]






| Year of Planting | Storage Treatment | Species | Type of Planting Stock | Age of Plants | Range of Height of Above−Ground Part | Storage Duration |
|---|---|---|---|---|---|---|
| 2016 | −8 °C | Spruce | Bare-rooted | 4 years | 26−35 cm | 61 days |
| −6 °C | Containerized | 2 years | 26−35 cm | |||
| −3 °C | Beech | Containerized | 1 year | 36−50 cm | ||
| 2017 | −7 °C | Spruce | Bare-rooted | 4 years | 36−50 cm | 119 days |
| −3 °C | Containerized | 2 years | 26−35 cm | |||
| −1 °C | ||||||
| +2 °C | Beech | Bare-rooted | 2 years | 26−35 cm | ||
| Open storage | Containerized | 1 year | 36−50 cm | |||
| 2018 | −8 °C | Spruce | Bare-rooted | 4 years | 26−35 cm | 135 days |
| −6 °C | Containerized | 2 years | 26−35 cm | |||
| −3 °C Cave Open storage | Beech | Bare-rooted | 2 years | 26−35 cm | ||
| Containerized | 1 year | 26−35 cm |
| Woody Species | Type of Planting Stock | Storage Treatment | |||||
|---|---|---|---|---|---|---|---|
| −3 °C | −6 °C | −8 °C | |||||
| Number of Sprouting Plants (%) | Mortality (%) | Number of Sprouting Plants (%) | Mortality (%) | Number of Sprouting Plants (%) | Mortality (%) | ||
| Spruce | Bare-rooted | 100 | 0 | 100 | 0 | 0 | 100 |
| Containerized | 100 | 0 | 100 | 0 | 100 | 0 | |
| Beech | Containerized | 100 | 0 | 100 | 0 | 0 | 100 |
| Species | Type of Planting Stock | Height of Plants (cm) in | ||||||||||||
|---|---|---|---|---|---|---|---|---|---|---|---|---|---|---|
| 2016 | 2017 | 2018 | ||||||||||||
| Storage Treatment | ||||||||||||||
| −8 °C | −6 °C | −3 °C | −7 °C | −3 °C | −1 °C | +2 °C | Open Storage | −8 °C | −6 °C | −3 °C | Cave | Open Storage | ||
| Spruce | Bare-rooted | 40.0 a | 32.8 c | 37.3 b | 45.4 c | 52.6 b | 44.1 d | 62.0 a | 46.6 c | 24.5 d | 27.3 c | 29.2 b | −−−− * | 31.1 a |
| Containerized | 35.1 b | 37.0 a | 34.0 b | 43.2 a | 43.6 a | 41.2 b | 41.5 b | 34.9 c | 45.3 a | 41.4 b | 36.3 d | 38.3 c | 38.3 c | |
| Beech | Bare-rooted | 30.0 c | 44.2 a | 44.0 a | 39.2 b | 45.5 a | −−−− * | 38.3 a | 38.8 a | −−−− * | 34.9 b | |||
| Containerized | −−−− * | 32.0 a | 40.0 a | 46.2 a | 47.2 a | 40.3 b | 45.2 a | 39.3 c | −−−− * | 37.0 a | 31.5 b | 38.2 a | 32.4 b | |
| Species | Type of Planting Stock | Root Collar Diameter (mm) in | ||||||||||||
|---|---|---|---|---|---|---|---|---|---|---|---|---|---|---|
| 2016 | 2017 | 2018 | ||||||||||||
| −8 °C | −6 °C | −3 °C | −7 °C | −3 °C | −1 °C | +2 °C | Open Storage | −8 °C | −6 °C | −3 °C | Cave | Open Storage | ||
| Spruce | Bare-rooted | 7.0 b | 7.9 a | 7.7 a | 6.7 d | 7.9 c | 8.3 b | 9.4 a | 8.8 b | 6.5 a | 6.1 a | 6.7 a | −−−− * | 6.9 a |
| Containerized | 7.4 a | 6.7 b | 6.8 b | 7.1 a | 7.2 a | 7.4 a | 7.4 a | 7.1 a | 7.6 b | 7.5 b | 8.2 a | 7.6 b | 6.4 c | |
| Beech | Bare-rooted | 7.7 b | 8.8 a | 7.7 b | 6.8 b | 7.7 b | −−−− * | 6.0 a | 6.7 a | −−−− * | 6.0 a | |||
| Containerized | −−−− * | 6.3 a | 6.8 a | 6.2 b | 7.0 a | 6.8 b | 6.4 a | 6.4 b | 5.2 b | 5.6 b | 8.1 a | 5.8 b | 5.5 b | |
Publisher’s Note: MDPI stays neutral with regard to jurisdictional claims in published maps and institutional affiliations. |
© 2021 by the authors. Licensee MDPI, Basel, Switzerland. This article is an open access article distributed under the terms and conditions of the Creative Commons Attribution (CC BY) license (https://creativecommons.org/licenses/by/4.0/).
Share and Cite
Pantová, P.; Houšková, K.; Mauer, O. Overwinter Storage of European Beech and Norway Spruce Planting Stock: Effect of Different Methods and Temperature Conditions. Forests 2021, 12, 1286. https://doi.org/10.3390/f12091286
Pantová P, Houšková K, Mauer O. Overwinter Storage of European Beech and Norway Spruce Planting Stock: Effect of Different Methods and Temperature Conditions. Forests. 2021; 12(9):1286. https://doi.org/10.3390/f12091286
Chicago/Turabian StylePantová, Petra, Kateřina Houšková, and Oldřich Mauer. 2021. "Overwinter Storage of European Beech and Norway Spruce Planting Stock: Effect of Different Methods and Temperature Conditions" Forests 12, no. 9: 1286. https://doi.org/10.3390/f12091286
APA StylePantová, P., Houšková, K., & Mauer, O. (2021). Overwinter Storage of European Beech and Norway Spruce Planting Stock: Effect of Different Methods and Temperature Conditions. Forests, 12(9), 1286. https://doi.org/10.3390/f12091286

