Thermal Conductivity of Poplar Wood Veneer Impregnated with Graphene/Polyvinyl Alcohol
Abstract
1. Introduction
2. Materials and Methods
2.1. Experimental Materials
2.2. Experimental Design
2.3. Procedure
2.3.1. Impregnating Mixture Preparation
2.3.2. Vacuum Impregnation
2.4. Measurement and Characterization
2.4.1. Statistical Analysis
2.4.2. Absorbance
2.4.3. Viscosity
2.4.4. Weight Percent Gain (WPG)
2.4.5. Chromatic Aberration
2.4.6. Thermal Conductivity
2.4.7. Fourier Infrared Spectroscopy (FT-IR)
2.4.8. X-ray Diffraction (XRD)
2.4.9. Thermal Gravity (TG)
3. Results and Discussion
3.1. Gr/PVA Ratio Effects on Impregnation Mixtures
3.1.1. Absorbance
3.1.2. Viscosity
3.2. Gr/PVA Ratio Effects on Veneer Characteristics
3.2.1. Gr/PVA Ratio Effects on Veneer WPG
3.2.2. Gr/PVA Ratio Effects on Veneer Chromatic Aberration
3.2.3. Gr/PVA Ratio Effects on Veneer Thermal Conductivity
3.3. GP-MW Characterization Analysis
3.3.1. FT-IR Analysis
3.3.2. XRD Analysis
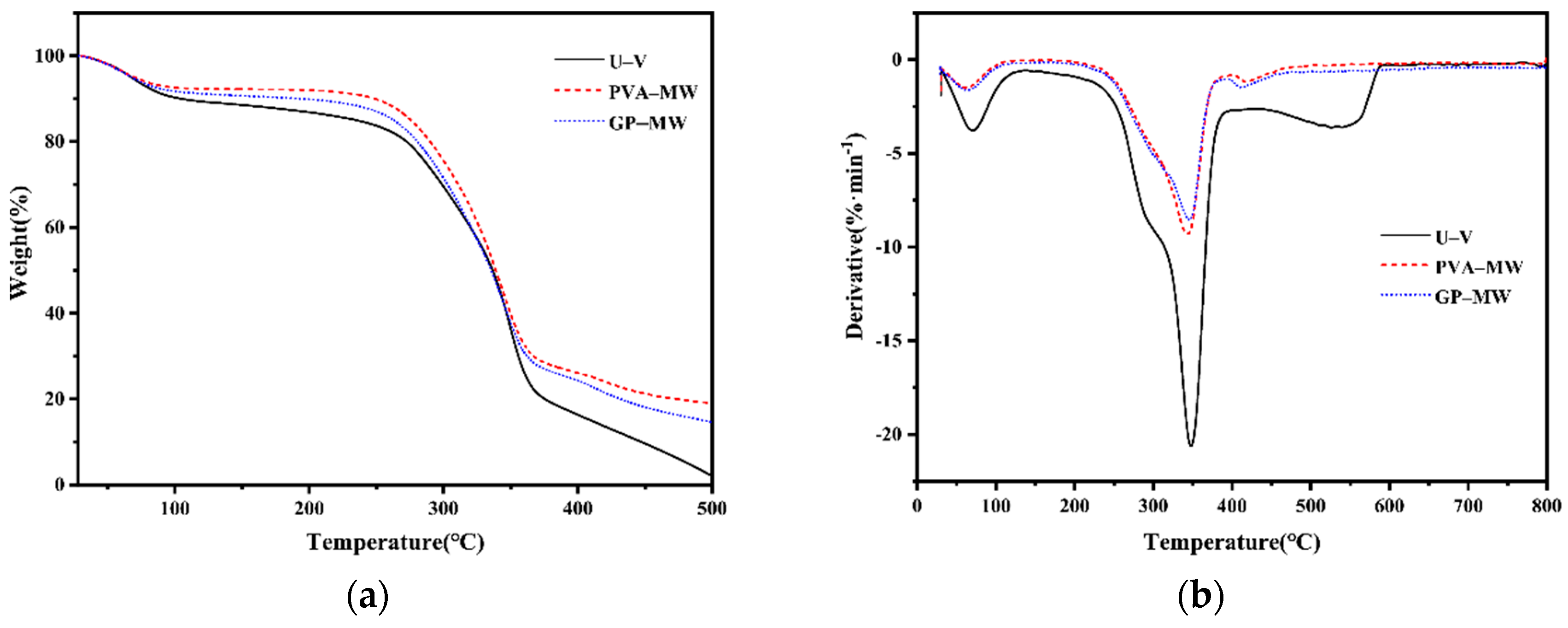
3.3.3. TG/DTG Analysis
4. Conclusions
- The WPG of the modified veneer increased with the PVA concentration and the content of the MGEIN powders. The PVA concentration plays a more critical role in WPG. Besides, the average density gradually increased with the WPG. The thermal conductivity of the modified veneer would increase as the average density increase. However, it would also be affected by other factors, especially at high PVA concentration and high MGEIN powders loading.
- At the same concentration of PVA, when the MGEIN powders loading is up to 2 wt.%, the dispersion effect of the Gr/PVA impregnation mixture is the best, and the thermal conductivity of the corresponding sample is also the greatest.
- The thermal conductivity of the modified veneer is the best at 10% PVA concentration with 2 wt.% MGEIN addition.
- Both FI-TR and XRD characterization results prove that the internal structure of the modified material has changed and that of MGEIN, which enters the amorphous region of the cellulose, reacts with the hydroxyl group in the amorphous region, resulting in a decrease in the crystallinity value.
- The TG analysis shows that the thermal stability of the Gr/PVA impregnated modified material has been improved. Therefore, the thermal properties of veneers could be improved by the Gr/PVA impregnation mixture, but the improvement effect is related to the dispersion and viscosity of the mixture to a certain extent.
- In addition, we can further study how to make graphene form a better heat channel inside the wood.
Author Contributions
Funding
Data Availability Statement
Acknowledgments
Conflicts of Interest
References
- Seo, J.; Jeon, J.; Lee, J.H.; Kim, S. Thermal performance analysis according to wood flooring structure for energy conservation in radiant floor heating systems. Energy Build. 2011, 43, 2039–2042. [Google Scholar] [CrossRef]
- Vozár, L.; Labudová, G.; Babiak, M. Thermal diffusivity of selected wood species. Wood Res. 1999, 44, 1–8. [Google Scholar]
- Krišťák, Ľ.; Igaz, R.; Ružiak, I. Applying the EDPS Method to the Research into Thermophysical Properties of Solid Wood of Coniferous Trees. Adv. Mater. Sci. Eng. 2019, 2019, 2303720. [Google Scholar] [CrossRef]
- Kawasaki, T.; Kawai, S. Thermal Insulation Properties of Wood-Based Sandwich Panel for Use as Structural Walls and Floors. J. Wood Sci. 2006, 52, 75–83. [Google Scholar] [CrossRef]
- Kim, S. Control of Formaldehyde and TVOC Emission from Wood-Based Flooring Composites at Various Manufacturing Processes by Surface Finishing. J. Hazard. Mater. 2010, 176, 14–19. [Google Scholar] [CrossRef] [PubMed]
- Sonderegger, W.; Niemz, P. Thermal conductivity and Water Vapour Transmission Properties of Wood-Based Materials. Eur. J. Wood Wood Prod. 2009, 67, 313–321. [Google Scholar] [CrossRef]
- Seo, J.; Cha, J.; Kim, S. Enhancement of the Thermal Conductivity of Adhesives for Wood Flooring Using xGnP. Energy Build. 2012, 51, 153–156. [Google Scholar] [CrossRef]
- Chen, Q.Q.; Guo, X.L.; Ji, F.T.; Wang, J.; Cao, P.X. Effects of Decorative Veneer and Structure on the Thermal Conductivity of Engineered Wood Flooring. Bioresources 2015, 10, 2213–2222. [Google Scholar] [CrossRef]
- Zhang, X.L.; Hao, X.L.; Hao, J.X.; Wang, Q.W. Heat Transfer and Mechanical Properties of Wood-Plastic Composites Filled with Flake Graphite. Thermochim. Acta 2018, 664, 26–31. [Google Scholar] [CrossRef]
- Khorasanizadeh, H.; Sheikhzadeh, G.A.; Azemati, A.A.; Shirkavand Hadavand, B. Numerical Study of Air Flow and Heat Transfer in a Two-Dimensional Enclosure with Floor Heating. Energy Build. 2014, 78, 98–104. [Google Scholar] [CrossRef]
- Lewis, C.S. Green Synthesis, Characterization, and Application of Metal-Based Nanomaterials. Ph.D. Thesis, Stony Brook University, New York, NY, USA, 2016. [Google Scholar]
- Mcinerney, V. Computer Anxiety: Assessment and Treatment. Ph.D. Thesis, University of Tokyo Press, Tokyo, Japan, 1997. [Google Scholar]
- De Filpo, G.; Palermo, A.M.; Rachiele, F.; Nicoletta, F.P. Preventing Fungal Growth in Wood by Titanium Dioxide Nanoparticles. Int. Biodeterior. Biodegrad. 2013, 85, 217–222. [Google Scholar] [CrossRef]
- Yan, X.X.; Wang, L.; Qian, X.Y. Influence of the PVC of Glass Fiber Powder on the Properties of a Thermochromic Waterborne Coating for Chinese Fir Boards. Coatings 2020, 10, 588. [Google Scholar] [CrossRef]
- Yan, X.X.; Zhao, W.T.; Qian, X.Y. Effect of Urea-Formaldehyde (UF) with Waterborne Emulsion Microcapsules on Properties of Waterborne Acrylic Coatings Based on Coating Process for American Lime. Appl. Sci. 2020, 10, 6341. [Google Scholar] [CrossRef]
- Kong, L.Z.; Tu, K.K.; Guan, H.; Wang, X.Q. Growth of High-Density ZnO Nanorods on Wood with Enhanced Photostability, Flame Retardancy and Water Repellency. Appl. Surf. Sci. 2017, 407, 479–484. [Google Scholar] [CrossRef]
- Fan, S.T.; Gao, X.; Zhu, D.J.; Guo, S.C.; Li, Z. Enhancement Mechanism of the Organic Nano-Montmorillonite and Its Effect on the Properties of Wood Fiber/HAPE Composite. Ind. Crop. Prod. 2021, 169, 113634. [Google Scholar] [CrossRef]
- Balandin, A.A. Thermal Properties of Graphene and Nanostructured Carbon Materials. Nat. Mater. 2011, 10, 569–581. [Google Scholar] [CrossRef] [PubMed]
- Yang, N.; Xu, X.F.; Zhang, G.; Li, B.W. Thermal Transport in Nanostructures. AIP Adv. 2012, 2, 041410. [Google Scholar] [CrossRef]
- Tang, B.; Hu, G.X.; Gao, H.Y.; Hai, L.Y. Application of Graphene as Filler to Improve Thermal Transport Property of Epoxy Resin for Thermal Interface Materials. Int. J. Heat Mass Transf. 2015, 85, 420–429. [Google Scholar] [CrossRef]
- Liem, H.; Choy, H.S. Superior Thermal Conductivity of Polymer Nanocomposites by Using Graphene and Boron Nitride as Fillers. Solid State Commun. 2013, 163, 41–45. [Google Scholar] [CrossRef]
- Yang, S.Y.; Lin, W.N.; Huang, Y.L.; Tien, H.W.; Wang, J.Y.; Ma, C.C.M.; Li, S.M.; Wang, Y.S. Synergetic Effects of Graphene Platelets and Carbon Nanotubes on the Mechanical and Thermal Properties of Epoxy Composites. Carbon 2011, 49, 793–803. [Google Scholar] [CrossRef]
- Hu, W.G.; ZHANG, J.L. Bolt-Bearing Yield Strength of Three-Layered Cross-Laminated Timber Treated with Phenol Formaldehyde Resin. Forests 2020, 11, 551. [Google Scholar] [CrossRef]
- Tao, X.; Wu, Y.; Xu, W.; Zhan, X.X.; Zhang, J.L. Preparation and Characterization of Heating Floor Impregnated by Graphene /Phenol-Formaldehyde Resin. J. For. Eng. 2019, 4, 167–173. [Google Scholar]
- Wang, Z.F.; Xu, J.K.; Yao, Y.Y.; Zhang, L.; Wen, Y.P.; Song, H.J.; Zhu, D.H. Facile Preparation of Highly Water-Stable and Flexible PEDOT:PSS Organic/inorganic Composite Materials and Their Application in Electrochemical Sensors. Sens. Actuators B Chem. 2014, 196, 357–369. [Google Scholar] [CrossRef]
- Azizi, M.; Honarvar, B. Investigation of Thermophysical Properties of Nanofluids Containing Poly(vinyl alcohol)-Functionalized Graphene. J. Therm. Anal. Calorim. 2018, 133, 1259–1269. [Google Scholar] [CrossRef]
- Vetter, L.D.; Depraetere, G.; Janssen, C.; Stevens, M.; Acker, J.V. Methodology to Assess Both the Efficacy and Ecotoxicology of Preservative-Treated and Modified Wood. Ann. For. Sci. 2008, 65, 504. [Google Scholar] [CrossRef][Green Version]
- Ranjbarzadeh, R.; Akhgar, A.; Musivand, S.; Afrand, M. Effects of Graphene Oxide-Silicon Oxide Hybrid Nanomaterials on Rheological Behavior of Water at Various Time Durations and Temperatures: Synthesis, Preparation and Stability. Powder Technol. 2018, 335, 375–387. [Google Scholar] [CrossRef]
- Xie, W.; Zhou, Y.; Peng, S.W.; Kuang, J.C.; Zheng, Y.Y.; Yi, S.H.; Deng, Y.J. Thermal Analysis of Aphanitic Graphite/PVA Composites. J. Funct. Mater. 2015, 47, 3170–3174, 3180. [Google Scholar]
- Özcan, C.; Korkmaz, M. Relationship between the Thermal Conductivity and Mechanical Properties of Uludağ Fir and Black Poplar. Bioresources 2018, 4, 8154–8184. [Google Scholar] [CrossRef]
- Dan, R.; Teaca, C.A.; Bodirlau, R. Rosu, L. FTIR and Color Change of the Modified Wood as a Result of Artificial Light Irradiation. J. Photochem. Photobiol. B 2010, 99, 144–149. [Google Scholar]
- Chen, H.Y.; Lang, Q.; Bi, Z.; Miao, X.W.; Li, Y.; Pu, J.W. Impregnation of Poplar Wood (Populus Euramericana) with Methylolurea and Sodium Silicate Sol and Induction of In-Situ Gel Polymerization by Heating. Holzforschung 2014, 68, 45–52. [Google Scholar] [CrossRef]
- Müller, G.; Schöpper, C.; Vos, H.; Kharazipour, A.; Polle, A. FTIR-ATR Spectroscopic Analysis of Changes in Wood Properties during Particle and Fiberboard Production of Hard and Softwood Trees. Bioresources 2009, 4, 49–71. [Google Scholar]










| Number | PVA Concentration/wt.% | Ratio | MGEIN Powders Loading/wt.%(g) |
|---|---|---|---|
| GP-1 | 5 | 5 g PVA 100 mL Distilled Water | 0(0) |
| GP-2 | 1(0.03) | ||
| GP-3 | 2(0.06) | ||
| GP-4 | 3(0.09) | ||
| GP-5 | 10 | 10 g PVA 100 mL Distilled Water | 0(0) |
| GP-6 | 1(0.06) | ||
| GP-7 | 2(0.12) | ||
| GP-8 | 3(0.18) | ||
| GP-9 | 15 | 15 g PVA 100 mL Distilled Water | 0(0) |
| GP-10 | 1(0.09) | ||
| GP-11 | 2(0.18) | ||
| GP-12 | 3(0.27) |
| Number | Λ(W·m−1·K−1) | λ Growth Rate/% | |
|---|---|---|---|
| Compared with Untreated Veneer | Compared with Veneer Dipped by the Same PVA Concentration Solution without MGEIN | ||
| GP-1 | 0.06 | −33 | / |
| GP-2 | 0.08 | −11 | 33 |
| GP-3 | 0.14 | 56 | 133 |
| GP-4 | 0.06 | −33 | 0 |
| GP-5 | 0.10 | 11 | / |
| GP-6 | 0.15 | 67 | 50 |
| GP-7 | 0.22 | 144 | 120 |
| GP-8 | 0.08 | −11 | −20 |
| GP-9 | 0.09 | 0 | / |
| GP-10 | 0.12 | 33 | 33 |
| GP-11 | 0.19 | 111 | 111 |
| GP-12 | 0.13 | 44 | 44 |
Publisher’s Note: MDPI stays neutral with regard to jurisdictional claims in published maps and institutional affiliations. |
© 2021 by the authors. Licensee MDPI, Basel, Switzerland. This article is an open access article distributed under the terms and conditions of the Creative Commons Attribution (CC BY) license (https://creativecommons.org/licenses/by/4.0/).
Share and Cite
Wu, S.-S.; Tao, X.; Xu, W. Thermal Conductivity of Poplar Wood Veneer Impregnated with Graphene/Polyvinyl Alcohol. Forests 2021, 12, 777. https://doi.org/10.3390/f12060777
Wu S-S, Tao X, Xu W. Thermal Conductivity of Poplar Wood Veneer Impregnated with Graphene/Polyvinyl Alcohol. Forests. 2021; 12(6):777. https://doi.org/10.3390/f12060777
Chicago/Turabian StyleWu, Shuang-Shuang, Xin Tao, and Wei Xu. 2021. "Thermal Conductivity of Poplar Wood Veneer Impregnated with Graphene/Polyvinyl Alcohol" Forests 12, no. 6: 777. https://doi.org/10.3390/f12060777
APA StyleWu, S.-S., Tao, X., & Xu, W. (2021). Thermal Conductivity of Poplar Wood Veneer Impregnated with Graphene/Polyvinyl Alcohol. Forests, 12(6), 777. https://doi.org/10.3390/f12060777

