The Effects of Forest Litter and Waterlogging on the Ecotoxicity of Soils Strongly Enriched in Arsenic in a Historical Mining Site
Abstract
1. Introduction
2. Materials and Methods
2.1. Soils
2.2. Forest Litter
2.3. Incubation Experiment
2.4. Chemical Analysis of Pore Water
2.5. Bioassays
2.5.1. Microtox®
2.5.2. Rapidtox
2.5.3. Thamnotoxkit FTM
2.5.4. Ostracodtoxkit FTM
2.6. Statistics
3. Results
3.1. Properties of Soils and Forest Litter
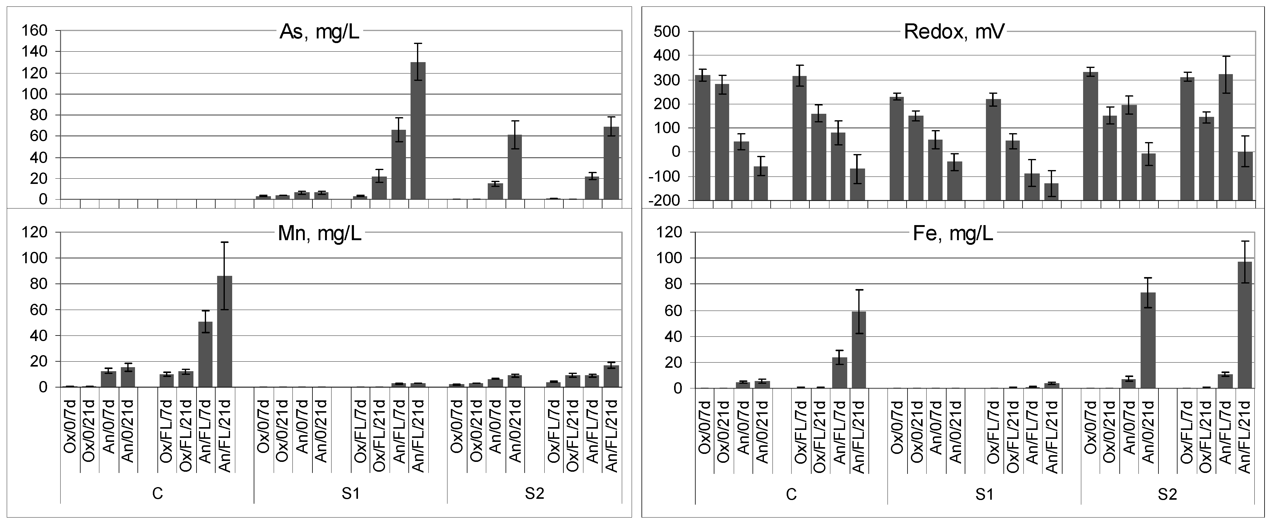
3.2. Chemistry of Soil Pore Water
3.3. Bioasssays
4. Discussion
5. Conclusions
Author Contributions
Funding
Acknowledgments
Conflicts of Interest
References
- Krysiak, A.; Karczewska, A. Arsenic extractability in soils in the areas of former arsenic mining and smelting, SW Poland. Sci. Total Environ. 2007, 379, 190–200. [Google Scholar] [CrossRef]
- Karczewska, A.; Krysiak, A.; Mokrzycka, D.; Jezierski, P.; Szopka, K. Arsenic distribution in soils of a former as mining area and processing. Pol. J. Environ. Stud. 2013, 22, 175–181. [Google Scholar]
- Drahota, P.; Filippi, M. Secondary arsenic minerals in the environment: A review. Environ. Intern. 2009, 35, 1243–1255. [Google Scholar] [CrossRef]
- Basu, A.; Schreiber, M.E. Arsenic release from arsenopyrite weathering: Insights from sequential extraction and microscopic studies. J. Hazard. Mater. 2013, 262, 896–904. [Google Scholar] [CrossRef] [PubMed]
- Wenzel, W.W. Arsenic. In Heavy Metals in Soils. Trace Metals and Metalloids in Soils and Their Bioavailability, 3rd ed.; Alloway, B.J., Ed.; Springer: Berlin, Germany, 2013; pp. 241–282. [Google Scholar]
- Campbell, K.M.; Nordstrom, D.K. Arsenic speciation and sorption in natural environments. Rev. Miner. Geochem. 2014, 79, 185–216. [Google Scholar] [CrossRef]
- Bauer, M.; Blodau, C. Mobilization of arsenic by dissolved organic matter from iron oxides, soils and sediments. Sci. Total Environ. 2006, 354, 179–190. [Google Scholar] [CrossRef] [PubMed]
- Bolan, N.S.; Mahimairaja, S.; Kunhikrishnan, A.; Choppala, G. Phosphorus–arsenic interactions in variable-charge soils in relation to arsenic mobility and bioavailability. Sci. Total Environ. 2013, 463, 1154–1162. [Google Scholar] [CrossRef] [PubMed]
- Arco-Lázaro, E.; Agudo, I.; Clemente, R.; Bernal, M. Arsenic (V) adsorption-desorption in agricultural and mine soils: Effects of organic matter addition and phosphate competition. Environ. Pollut. 2016, 216, 71–79. [Google Scholar] [CrossRef] [PubMed]
- Karczewska, A.; Lewińska, K.; Siepak, M.; Gałka, B.; Dradrach, A.; Szopka, K. Transformation of beech forest litter as a factor that triggers arsenic solubility in soils developed on historical mine dumps. J. Soils Sed. 2018, 18, 2749–2758. [Google Scholar] [CrossRef]
- Lewińska, K.; Karczewska, A.; Siepak, M.; Szopka, K.; Gałka, B.; Iqbal, M. Effects of waterlogging on the solubility of antimony and arsenic in variously treated shooting range soils. Appl. Geochem. 2019, 105, 7–16. [Google Scholar] [CrossRef]
- Dradrach, A.; Szopka, K.; Karczewska, A. Ecotoxicity of soil pore water on historical arsenic mine dumps the effects of forest litter. Ecotoxicol. Environ. Saf. 2019, 181, 202–213. [Google Scholar] [CrossRef]
- Violante, A.; Cozzolino, V.; Perelomov, L.; Caporale, A.G.; Pigna, M. Mobility and bioavailability of heavy metals and metalloids in soil environments. J. Soil Sci. Plant Nutr. 2010, 10, 268–292. [Google Scholar] [CrossRef]
- Huang, J.H. Impact of microorganisms on arsenic biogeochemistry: A review. Water Air Soil Pollut. 2014, 225, 1–25. [Google Scholar] [CrossRef]
- Suda, A.; Makino, T. Functional effects of manganese and iron oxides on the dynamics of trace elements in soils with a special focus on arsenic and cadmium: A review. Geoderma 2016, 270, 68–75. [Google Scholar] [CrossRef]
- Han, Y.S.; Park, J.H.; Kim, S.J.; Jeong, H.Y.; Ahn, J.S. Redox transformation of soil minerals and arsenic in arsenic-contaminated soil under cycling redox conditions. J. Hazard. Mater. 2019, 378, 120745. [Google Scholar] [CrossRef]
- Dixit, S.; Hering, J.G. Comparison of arsenic (V) and arsenic (III) sorption onto iron oxide minerals: Implications for arsenic mobility. Environ. Sci. Technol. 2003, 37, 4182–4189. [Google Scholar] [CrossRef]
- Yamamura, S.; Amachi, S. Microbiology of inorganic arsenic: From metabolism to bioremediation. J. Biosci. Bioeng. 2014, 118, 1–9. [Google Scholar] [CrossRef]
- Grafe, M.; Eick, M.J.; Grossl, P.R. Adsorption of arsenate (V) and arsenite (III) on goethite in the presence and absence of dissolved organic carbon. Soil Sci. Soc. Am. J. 2001, 65, 1680–1687. [Google Scholar] [CrossRef]
- Zhu, J.; Pigna, M.; Cozzolino, V.; Caporale, A.G.; Violante, A. Sorption of arsenite and arsenate on ferrihydrite: Effect of organic and inorganic ligands. J. Hazard. Mater. 2011, 189, 564–571. [Google Scholar] [CrossRef]
- Karczewska, A.; Lewińska, K.; Gałka, B. Arsenic extractability and uptake by velvetgrass Holcus lanatus and ryegrass Lolium perenne in variously treated soils polluted by tailing spills. J. Hazard. Mater. 2013, 262, 1014–1021. [Google Scholar] [CrossRef] [PubMed]
- Moreno-Jiménez, E.; Clemente, R.; Mestrot, A.; Meharg, A.A. Arsenic and seleniummobilisation fromorganic matter treatedmine spoil with and without inorganic fertilization. Environ. Pollut. 2013, 173, 238–244. [Google Scholar] [CrossRef]
- Qiao, W.; Guo, H.; He, C.; Shi, Q.; Xiu, W.; Zhao, B. Molecular evidence of arsenic mobility linked to biodegradable organic matter. Environ. Sci. Technol. 2020, 54, 7280–7290. [Google Scholar] [CrossRef]
- Rocco, C.; Seshadri, B.; Adamo, P.; Bolan, N.S.; Mbene, K.; Naidu, R. Impact of waste-derived organic and inorganic amendments on the mobility and bioavailability of arsenic and cadmium in alkaline and acid soils. Environ. Sci. Pollut. 2018, 25, 896–905. [Google Scholar] [CrossRef] [PubMed]
- Labaz, B.; Galka, B.; Bogacz, A.; Waroszewski, J.; Kabala, C. Factors influencing humus forms and forest litter properties in the mid-mountains under temperate climate of southwestern Poland. Geoderma 2014, 230, 265–273. [Google Scholar] [CrossRef]
- Bradford, M.A.; Berg, B.; Maynard, D.S.; Wieder, W.R.; Wood, S.A. Understanding the dominant controls on litter decomposition. J. Ecol. 2016, 104, 229–238. [Google Scholar] [CrossRef]
- Kawałko, D.; Halarewicz, A.; Kaszubkiewicz, J.; Jezierski, P. Decomposition rate of the litter fall in the course of riparian habitat changes. Sylwan 2017, 161, 565–572. [Google Scholar]
- Alves, P.R.L.; Cardoso, E.J.B.N. Overview of the standard methods for soil ecotoxicology testing. Invertebr.–Exp. Models Tox. Screen. 2016, 35–56. [Google Scholar] [CrossRef]
- Paton, G.I.; Killham, K.; Weitz, H.J.; Semple, K.T. Biological tools for the assessment of contaminated land: Applied soil ecotoxicology. Soil Use Manag. 2005, 21, 487–499. [Google Scholar] [CrossRef]
- Wieczerzak, M.; Namieśnik, J.; Kudłak, B. Bioassays as one of the Green Chemistry tools for assessing environmental quality: A review. Environ. Int. 2016, 94, 341–361. [Google Scholar] [CrossRef]
- Kokkali, V.; van Delft, W. Overview of commercially available bioassays for assessing chemical toxicity in aqueous samples. TrAC Trends Anal. Chem. 2014, 61, 133–155. [Google Scholar] [CrossRef]
- Karczewska, A.; Kabała, C. Environmental risk assessment as a new basis for evaluation of soil contamination in Polish law. Soil Sci. Ann. 2017, 68, 67–80. [Google Scholar] [CrossRef]
- Häder, D.P. Historical development of bioassays. In Bioassays; Elsevier: Amsterdam, The Netherlands, 2018; pp. 41–49. [Google Scholar]
- Kudłak, B.; Wolska, L.; Namieśnik, J. Determination of EC 50 toxicity data of selected heavy metals toward Heterocypris incongruens and their comparison to “direct-contact” and microbiotests. Environ. Monit. Assess. 2011, 174, 509–516. [Google Scholar] [CrossRef]
- Palma, P.; Ledo, L.; Alvarenga, P. Ecotoxicological endpoints, are they useful tools to support ecological status assessment in strongly modified water bodies? Sci. Total Environ. 2016, 541, 119–129. [Google Scholar] [CrossRef]
- Tan, K. Soil Sampling, Preparation, and Analysis, 2nd ed.; CRC Press, Taylor & Francis Group: Boca Raton, FL, USA, 2005. [Google Scholar]
- Gregorich, E.G.; Beare, M.H.; Stoklas, U.; St-Georges, P. Biodegradability of soluble organic matter in maize-cropped soils. Geoderma 2003, 113, 237–252. [Google Scholar] [CrossRef]
- U.S. EPA Method 3051A: Microwave Assisted Acid Digestion of Sediments, Sludges, and Oils. 2007. Available online: https://www.epa.gov/sites/production/files/2015-12/documents/3051a.pdf (accessed on 15 March 2021).
- ISO 19730: 2008. Soil Quality—Extraction of Trace Elements from Soil Using Ammonium Nitrate Solution; International Organization for Standardization: Geneva, Switzerland, 2008.
- ISO 11348-3:2007/AMD 1:2018. Water Quality—Determination of the Inhibitory Effect of Water Samples on the Light Emission of Vibrio fischeri (Luminescent Bacteria Test)—Part 3: Method Using Freeze-Dried Bacteria—Amendment 1; International Organization for Standardization: Geneva, Switzerland, 2018.
- Doherty, F. A review of the Microtox® toxicity test system for assessing the toxicity of sediments and soils. Water Qual. Res. J. 2001, 36, 475–518. [Google Scholar] [CrossRef]
- Abbas, M.; Adil, M.; Ehtisham-ul-Haque, S.; Munir, B.; Yameen, M.; Gha_ar, A.; Iqbal, M. Vibrio fischeri bioluminescence inhibition assay for ecotoxicity assessment: A review. Sci. Total Environ. 2018, 626, 1295–1309. [Google Scholar] [CrossRef]
- Urbanczyk, H.; Ast, J.C.; Higgins, M.J.; Carson, J.; Dunlap, P.V. Reclassification of Vibrio fischeri, Vibrio logei, Vibrio salmonicida and Vibrio wodanis as Aliivibrio fischeri gen. nov., comb. nov., Aliivibrio logei comb. nov., Aliivibrio salmonicida comb. nov. and Aliivibrio wodanis comb. nov. Int. J. Syst. Evol. Microbiol. 2007, 57, 2823–2829. [Google Scholar] [CrossRef]
- SDI, 1992; Microtox Manual. Microbics Corporation: Carlsbad, CA, USA, 1992.
- Törökné, A.; Vasdinnyei, R.; Asztalos, B.M. A rapid microbiotest for the detection of cyanobacterial toxins. Environ. Toxicol. Intern. 2007, 22, 64–68. [Google Scholar] [CrossRef]
- Dries, J.; Daens, D.; Geuens, L.; Blust, R. Evaluation of acute ecotoxicity removal from industrial wastewater using a battery of rapid bioassays. Water Sci. Technol. 2014, 70, 2056–2061. [Google Scholar] [CrossRef]
- Vidal, T.; Santos, J.I.; Queirós, L.; Ré, A.; Abrantes, N.; Gonçalves, F.J.M.; Pereira, J.L. Environmental benchmarks based on ecotoxicological assessment with planktonic species might not adequately protect benthic assemblages in lotic systems. Sci. Total Environ. 2019, 668, 1289–1297. [Google Scholar] [CrossRef] [PubMed]
- Sieroslawska, A. Evaluation of the Sensitivity of Organisms Used in Commercially Available Toxkits to Selected Cyanotoxins. Pol. J. Environ. Stud. 2013, 22, 1817–1823. [Google Scholar]
- ISO 14380:2011 Water Quality—Determination of the Acute Toxicity to Thamnocephalus Platyurus (Crustacea, Anostraca). 2011. Available online: https://standards.iteh.ai/catalog/standards/sist/b09176b1-9c2e-4fce-8c97-6aa92b1fd53c/sist-iso-14380-2012 (accessed on 15 March 2021).
- Hiki, K.; Tobino, T.; Nakajima, F.; Tsukahara, K. Duration of life-cycle toxicity tests with the ostracod Heterocypris incongruens. Environ. Toxicol. Chem. 2017, 36, 3443–3449. [Google Scholar] [CrossRef]
- Płaza, G.A.; Nałęcz-Jawecki, G.; Pinyakong, O.; Illmer, P.; Margesin, R. Ecotoxicological and microbiological characterization of soils from heavy-metal-and hydrocarbon-contaminated sites. Environ. Monit. Assess. 2010, 163, 477–488. [Google Scholar] [CrossRef]
- ISO 14371:2012 Water Quality—Determination of Fresh Water Sediment Toxicity to Heterocypris incongruens (Crustacea, Ostracoda); International Organization for Standardization: Geneva, Switzerland, 2012.
- Melnyk, A.; Kuklińska, K.; Wolska, L.; Namieśnik, J. Chemical pollution and toxicity of water samples from stream receiving leachate from controlled municipal solid waste (MSW) landfill. Environ. Res. 2014, 135, 253–261. [Google Scholar] [CrossRef]
- Kappler, A.; Amstaetter, K.; Borch, T.; Larese-Casanova, P.; Jiang, J.; Bauer, I.; Paul, A. Arsenic redox transformation by humic substances and Fe minerals. Appl. Geochem. 2011, 26, S317. [Google Scholar] [CrossRef]
- Anawar, H.M.; Akai, J.; Yoshioka, T.; Konohira, E.; Lee, J.Y.; Fukuhara, H.; Tari Kul Alam, M.; Garcia-Sanchez, A. Mobilization of arsenic in groundwater of Bangladesh: Evidence from an incubation study. Environ. Geochem. Health 2006, 28, 553–565. [Google Scholar] [CrossRef] [PubMed]
- Burton, E.D.; Johnston, S.G.; Kocar, B.D. Arsenic mobility during flooding of contaminated soil: The effect of microbial sulfate reduction. Environ. Sci. Technol. 2014, 48, 13660–13667. [Google Scholar] [CrossRef] [PubMed]
- Langner, P.; Mikutta, C.; Kretzschmar, R. Arsenic sequestration by organic sulphur in peat. Nat. Geosci. 2012, 5, 66–73. [Google Scholar] [CrossRef]
- Oleszczuk, P. Heterocypris incongruens as a tool to estimate sewage sludge toxicity. Environ. Toxicol. Chem. 2008, 27, 864–872. [Google Scholar] [CrossRef]
- Lin, X.; Sun, Z.; Zhao, L.; Ma, J.; Li, X.; He, F.; Hou, H. The toxicity of exogenous arsenic to soil-dwelling springtail Folsomia candida in relation to soil properties and aging time. Ecotox. Environ. Saf. 2019, 171, 530–538. [Google Scholar] [CrossRef]






| Parameter | Unit | Control C | Dump Soil S1 | Forest Soil S2 | Forest Litter FL |
|---|---|---|---|---|---|
| Skeleton (fine gravel, 2–5 mm) | % | 8 | 60 | 20 | n/a |
| 0.05–2.0 mm | % | 52 | 83 | 55 | |
| 0.002–0.5 mm | % | 42 | 14 | 44 | n/a |
| <0.002 mm | % | 6 | 3 | 1 | |
| Textural group (USDA) | - | Sandy loam | Loamy sand | Sandy loam | n/a |
| Corg | g/kg | 16.8 | 1.3 | 34.2 | 510 |
| DOC (cold water) | g/kg | 0.1 | <0.1 | 0.5 | 4.1 |
| N total | g/kg | 1.4 | 0.3 | 2.6 | 21.5 |
| pH | - | 6.1 | 5.5 | 4.0 | 5.2 |
| CEC | cmol(+)/kg | 27.3 | 14.4 | 16.6 | n/a |
| As total | mg/kg | 3.6 | 19600 | 2020 | 2.7 |
| 1 M NH4NO3-extractable As | mg/kg | <0.05 | 3.61 | 1.91 | <0.05 |
| Parameter | Tested Pairs of Variables: Ox/Anox | Tested Pairs of Variables: 0/FL | ||||||||
|---|---|---|---|---|---|---|---|---|---|---|
| Mean Ox | SD Ox | Mean Anox | SD Anox | p | Mean 0 | SD 0 | Mean FL | SD FL | p | |
| As, mg/L | 2.8 * | 6.2 | 31.3 * | 41.4 | p < 0.05 | 8.0 | 17.3 | 26.1 | 41.4 | |
| Microtox—5′, % | 41.5 * | 14.0 | 57.4 * | 21.3 | p < 0.05 | 43.5 | 18.9 | 56.4 | 20.3 | |
| Microtox—15′, % | 42.3 * | 12.4 | 58.1 * | 23.3 | p < 0.05 | 45.5 | 17.9 | 56.8 | 17.4 | |
| Rapidtox, % | 59.2 | 30.1 | 79.1 | 23.6 | 63.6 | 30.3 | 74.8 | 26.3 | ||
| Thamnotox, % | 40.0 * | 37.3 | 75.6 * | 40.9 | p < 0.05 | 52.5 | 45.4 | 63.1 | 40.4 | |
| Ostracod-growth, % | 49.9 | 28.8 | 81.1 | 29.4 | 53.2 * | 30.1 | 77.8 * | 24.4 | p < 0.05 | |
| Ostracod-mortality, % | 53.0 | 30.4 | 80.8 | 30.5 | 52.2 ** | 37.5 | 81.7 ** | 20.0 | p < 0.01 | |
| Mn mg/L | Fe mg/L | Redox | Microtox 5′ | Microtox 15′ | Thamnotox | Rapidotox | Ostracod-Growth | Ostracod-Mortality | |
|---|---|---|---|---|---|---|---|---|---|
| Incubation time | - | - | −0.506 * | - | - | - | - | - | - |
| pH | - | - | - | - | - | - | - | −0.489 * | −0.598 ** |
| As, mg/L | - | - | - | 0.827 *** | 0.873 *** | 0.883 *** | 0.847 *** | 0.484 * | 0.502 ** |
| Mn, mg/L | x | 0.821 *** | - | - | - | - | - | - | - |
| Fe, mg/L | x | −0.431 * | - | - | - | - | 0.452 * | 0.464 * | |
| Redox | x | - | - | - | −0.557 ** | - | - | ||
| Microtox-5′ | x | 0.985 *** | 0.826 *** | 0.780 *** | 0.610 ** | 0.641 *** | |||
| Microtox-15′ | x | 0.865 *** | 0.822 *** | 0.568 ** | 0.605 ** | ||||
| Thamnotox | x | 0.723 *** | 0.473 * | 0.506 * | |||||
| Rapidotox toxicity | x | 0.450 * | 0.484 * | ||||||
| Ostracod-growth | x | 0.954 *** |
Publisher’s Note: MDPI stays neutral with regard to jurisdictional claims in published maps and institutional affiliations. |
© 2021 by the authors. Licensee MDPI, Basel, Switzerland. This article is an open access article distributed under the terms and conditions of the Creative Commons Attribution (CC BY) license (http://creativecommons.org/licenses/by/4.0/).
Share and Cite
Szopka, K.; Gruss, I.; Gruszka, D.; Karczewska, A.; Gediga, K.; Gałka, B.; Dradrach, A. The Effects of Forest Litter and Waterlogging on the Ecotoxicity of Soils Strongly Enriched in Arsenic in a Historical Mining Site. Forests 2021, 12, 355. https://doi.org/10.3390/f12030355
Szopka K, Gruss I, Gruszka D, Karczewska A, Gediga K, Gałka B, Dradrach A. The Effects of Forest Litter and Waterlogging on the Ecotoxicity of Soils Strongly Enriched in Arsenic in a Historical Mining Site. Forests. 2021; 12(3):355. https://doi.org/10.3390/f12030355
Chicago/Turabian StyleSzopka, Katarzyna, Iwona Gruss, Dariusz Gruszka, Anna Karczewska, Krzysztof Gediga, Bernard Gałka, and Agnieszka Dradrach. 2021. "The Effects of Forest Litter and Waterlogging on the Ecotoxicity of Soils Strongly Enriched in Arsenic in a Historical Mining Site" Forests 12, no. 3: 355. https://doi.org/10.3390/f12030355
APA StyleSzopka, K., Gruss, I., Gruszka, D., Karczewska, A., Gediga, K., Gałka, B., & Dradrach, A. (2021). The Effects of Forest Litter and Waterlogging on the Ecotoxicity of Soils Strongly Enriched in Arsenic in a Historical Mining Site. Forests, 12(3), 355. https://doi.org/10.3390/f12030355

