Predicting Stand Volume by Number of Trees Automatically Detected in UAV Images: An Alternative Method for Forest Inventory
Abstract
1. Introduction
2. Materials and Methods
2.1. Study Area
2.2. Field Data and Volume Estimation Modeling
2.3. UAV Data and TreeDetect Algorithm
2.4. Predicting Stand Volume: Area Versus Number of Trees
2.5. Validation and Comparison of the Two Approaches for Predicting Forest Stand Volume
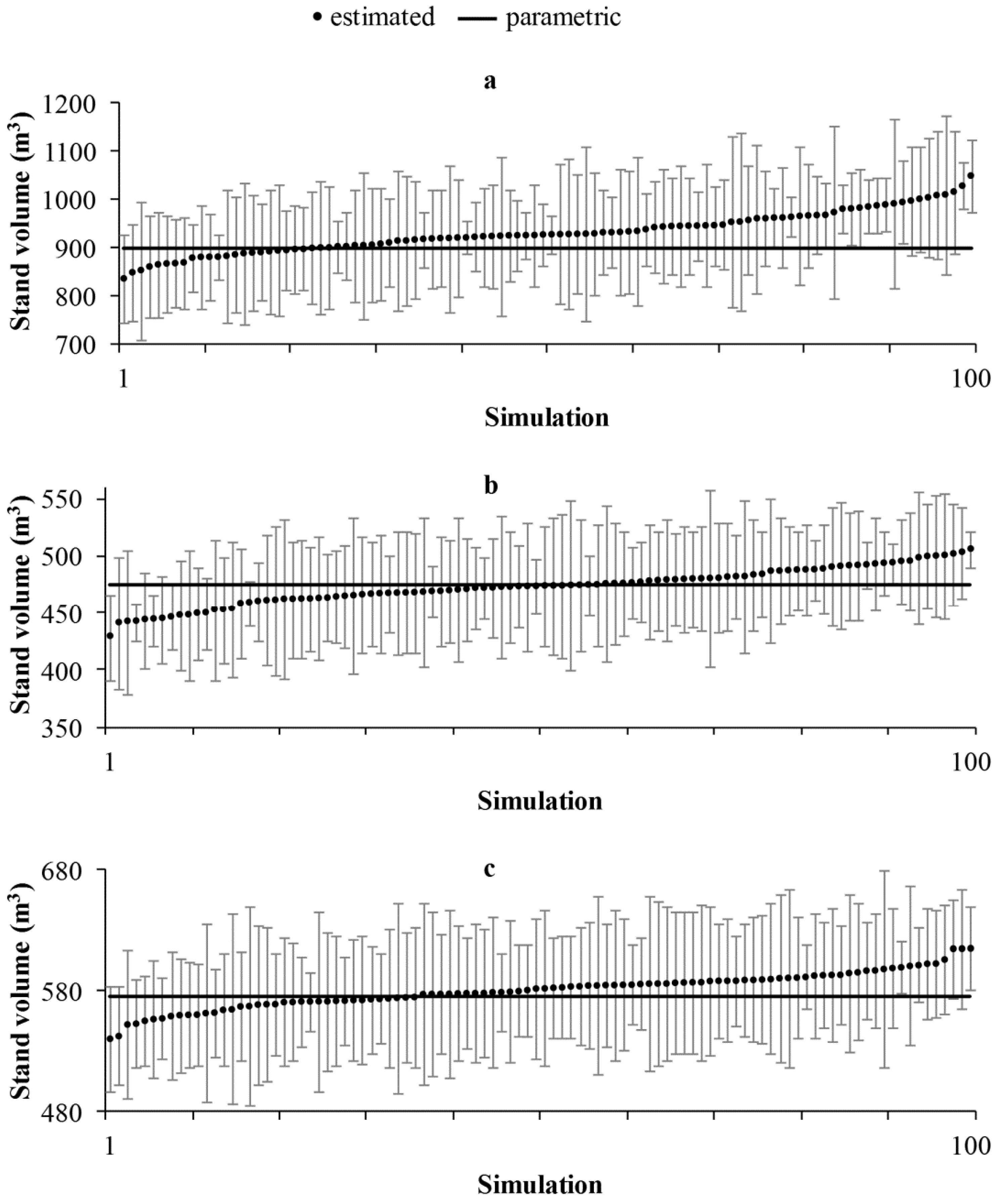
3. Results
4. Discussion
5. Conclusions
Author Contributions
Funding
Data Availability Statement
Acknowledgments
Conflicts of Interest
References
- Food and Agriculture Organization. Main Report; FAO: Roma, Italy, 2020. [Google Scholar]
- Oliveira, R.K.; de Higa, A.R.; Silva, L.D.; Silva, I.C.; da Penha Moreira Gonçalves, M. Emergy-Based Sustainability Assessment of a Loblolly Pine (Pinus Taeda) Production System in Southern Brazil. Ecol. Indic. 2018, 93, 481–489. [Google Scholar] [CrossRef]
- Nepal, P.; Korhonen, J.; Prestemon, J.P.; Cubbage, F.W. Projecting Global Planted Forest Area Developments and the Associated Impacts on Global Forest Product Markets. J. Environ. Manag. 2019, 240, 421–430. [Google Scholar] [CrossRef] [PubMed]
- Buongiorno, J.; Zhu, S. Assessing the Impact of Planted Forests on the Global Forest Economy. N. Z. J. For. Sci. 2014, 44, S2. [Google Scholar] [CrossRef]
- Martins, T.G.V.; Reis, G.G.; Reis, M.G.F.; Telles, L.A.A.; Lage, M.R.; Mendes, G.G.C.; Pinto, D.L.; Castro, N.L.M.; Lorenzon, A.S.; Silva, R.S.; et al. Potential Planting Areas for Native Tree Species in Minas Gerais State, Brazil, Based on Environmental Variables and Wood Demand. Ecol. Model. 2020, 432, 1–13. [Google Scholar] [CrossRef]
- Waring, B.; Neumann, M.; Prentice, I.C.; Adams, M.; Smith, P.; Siegert, M. Forests and Decarbonization—Roles of Natural and Planted Forests. Front. For. Glob. Chang. 2020, 3, 1–6. [Google Scholar] [CrossRef]
- Pawson, S.M.; Brin, A.; Brockerhoff, E.G.; Lamb, D.; Payn, T.W.; Paquette, A.; Parrotta, J.A. Plantation Forests, Climate Change and Biodiversity. Biodivers. Conserv. 2013, 22, 1203–1227. [Google Scholar] [CrossRef]
- Beets, P.N.; Brandon, A.M.; Goulding, C.J.; Kimberley, M.O.; Paul, T.S.H.; Searles, N. The National Inventory of Carbon Stock in New Zealand’s Pre-1990 Planted Forest Using a LiDAR Incomplete-Transect Approach. For. Ecol. Manag. 2012, 280, 187–197. [Google Scholar] [CrossRef]
- Gogoi, A.; Ahirwal, J.; Sahoo, U.K. Plant Biodiversity and Carbon Sequestration Potential of the Planted Forest in Brahmaputra Flood Plains. J. Environ. Manag. 2021, 280, 111671. [Google Scholar] [CrossRef] [PubMed]
- White, J.C.; Coops, N.C.; Wulder, M.A.; Vastaranta, M.; Hilker, T.; Tompalski, P. Remote Sensing Technologies for Enhancing Forest Inventories: A Review. Can. J. Remote Sens. 2016, 42, 619–641. [Google Scholar] [CrossRef]
- Green, P.C.; Burkhart, H.E.; Coulston, J.W.; Radtke, P. A Novel Application of Small Area Estimation in Loblolly Pine Forest Inventory. Forestry 2020, 93, 444–457. [Google Scholar] [CrossRef]
- Meneguzzi, C.C.; da Silva, G.F.; Mauri, G.R.; de Mendonça, A.R.; de Barros Junior, A.A. Routing Model Applied to Forest Inventory Vehicles Planning. Comput. Electron. Agric. 2020, 175, 105544. [Google Scholar] [CrossRef]
- Fekety, P.A.; Falkowski, M.J.; Hudak, A.T. Temporal Transferability of LiDAR-Based Imputation of Forest Inventory Attributes. Can. J. For. Res. 2015, 45, 422–435. [Google Scholar] [CrossRef]
- Panagiotidis, D.; Abdollahnejad, A.; Slavík, M. Assessment of Stem Volume on Plots Using Terrestrial Laser Scanner: A Precision Forestry Application. Sensors 2021, 21, 301. [Google Scholar] [CrossRef]
- West, P.W. Tree and Forest Measurement, 3rd ed.; Springer: Cham, Switzerland, 2015; ISBN 9783319147079. [Google Scholar]
- De Oliveira, L.T.; de Carvalho, L.M.T.; Ferreira, M.Z.; de Andrade Oliveira, T.C.; Batista, V.T.F.P. Influência Da Idade Na Contagem de Árvores de Eucalyptus Sp. Com Dados LiDAR. Cerne 2014, 20, 557–565. [Google Scholar] [CrossRef]
- Olofsson, P.; Arévalo, P.; Espejo, A.B.; Green, C.; Lindquist, E.; McRoberts, R.E.; Sanz, M.J. Mitigating the Effects of Omission Errors on Area and Area Change Estimates. Remote Sens. Environ. 2020, 236, 111492. [Google Scholar] [CrossRef]
- Vatraz, S.; Borges, F.Q. Procedimentos de Controle Do Volume de Madeira Estimado e Colhido Em Um Plantio de Pinus spp. No Paraná. Ciência Florest. 2014, 24, 445–453. [Google Scholar] [CrossRef]
- Wallace, L.; Musk, R.; Lucieer, A. An Assessment of the Repeatability of Automatic Forest Inventory Metrics Derived from UAV-Borne Laser Scanning Data. IEEE Trans. Geosci. Remote Sens. 2014, 52, 7160–7169. [Google Scholar] [CrossRef]
- Cosenza, D.N.; Soares, V.P.; Leite, H.G.; Gleriani, J.M.; do Amaral, C.H.; Júnior, J.G.; da Silva, A.A.L.; Soares, P.; Tomé, M. Airborne Laser Scanning Applied to Eucalyptus Stand Inventory at Individual Tree Level. Pesqui. Agropecuária Bras. 2018, 53, 1373–1382. [Google Scholar] [CrossRef]
- Maturbongs, B.; Wing, M.G.; Strimbu, B.; Burnett, J. Forest Inventory Sensitivity to UAS-Based Image Processing Algorithms. Ann. For. Res. 2019, 62, 87–108. [Google Scholar]
- Noordermeer, L.; Bollandsås, O.M.; Ørka, H.O.; Næsset, E.; Gobakken, T. Comparing the Accuracies of Forest Attributes Predicted from Airborne Laser Scanning and Digital Aerial Photogrammetry in Operational Forest Inventories. Remote Sens. Environ. 2019, 226, 26–37. [Google Scholar] [CrossRef]
- Krůček, M.; Král, K.; Cushman, K.C.; Missarov, A.; Kellner, J.R. Supervised Segmentation of Ultra-High-Density Drone Lidar for Large-Area Mapping of Individual Trees. Remote Sens. 2020, 12, 3260. [Google Scholar] [CrossRef]
- Puliti, S.; Breidenbach, J.; Astrup, R. Estimation of Forest Growing Stock Volume with UAV Laser Scanning Data: Can It Be Done without Field Data? Remote Sens. 2020, 12, 1245. [Google Scholar] [CrossRef]
- Stereńczak, K.; Kraszewski, B.; Mielcarek, M.; Piasecka, Ż.; Lisiewicz, M.; Heurich, M. Mapping Individual Trees with Airborne Laser Scanning Data in an European Lowland Forest Using a Self-Calibration Algorithm. Int. J. Appl. Earth Obs. Geoinf. 2020, 93, 102191. [Google Scholar] [CrossRef]
- Hawryło, P.; Wezyk, P. Predicting Growing Stock Volume of Scots Pine Stands Using Sentinel-2 Satellite Imagery and Airborne Image-Derived Point Clouds. Forests 2018, 9, 274. [Google Scholar] [CrossRef]
- Tinkham, W.T.; Swayze, N.C. Influence of Agisoft Metashape Parameters on Uas Structure from Motion Individual Tree Detection from Canopy Height Models. Forests 2021, 12, 250. [Google Scholar] [CrossRef]
- Morales, G.; Kemper, G.; Sevillano, G.; Arteaga, D.; Ortega, I.; Telles, J. Automatic Segmentation of Mauritia Flexuosa in Unmanned Aerial Vehicle (UAV) Imagery Using Deep Learning. Forests 2018, 9, 736. [Google Scholar] [CrossRef]
- Eugenio, F.C.; Schons, C.T.; Mallmann, C.L.; Schuh, M.S.; Fernandes, P.; Badin, T.L. Remotely Piloted Aircraft Systems and Forests: A Global State of the Art and Future Challenges. Can. J. For. Res. 2020, 50, 705–716. [Google Scholar] [CrossRef]
- Mohan, M.; Silva, C.A.; Klauberg, C.; Jat, P.; Catts, G.; Cardil, A.; Hudak, A.T.; Dia, M. Individual Tree Detection from Unmanned Aerial Vehicle (UAV) Derived Canopy Height Model in an Open Canopy Mixed Conifer Forest. Forests 2017, 8, 340. [Google Scholar] [CrossRef]
- Pulido, D.; Salas, J.; Rös, M.; Puettmann, K.; Karaman, S. Assessment of Tree Detection Methods in Multispectral Aerial Images. Remote Sens. 2020, 12, 2379. [Google Scholar] [CrossRef]
- Onishi, M.; Ise, T. Explainable Identification and Mapping of Trees Using UAV RGB Image and Deep Learning. Sci. Rep. 2021, 11, 903. [Google Scholar] [CrossRef]
- Oliveira, L.F.R.; Lassiter, H.A.; Wilkinson, B.; Whitley, T.; Ifju, P.; Logan, S.R.; Peter, G.F.; Vogel, J.G.; Martin, T.A. Moving to Automated Tree Inventory: Comparison of Uas-Derived Lidar and Photogrammetric Data with Manual Ground Estimates. Remote Sens. 2021, 13, 72. [Google Scholar] [CrossRef]
- Vauhkonen, J.; Ene, L.; Gupta, S.; Heinzel, J.; Holmgren, J.; Pitkänen, J.; Solberg, S.; Wang, Y.; Weinacker, H.; Hauglin, K.M.; et al. Comparative Testing of Single-Tree Detection Algorithms under Different Types of Forest. Forestry 2012, 85, 27–40. [Google Scholar] [CrossRef]
- Gülci, S. The Determination of Some Stand Parameters Using SfM-Based Spatial 3D Point Cloud in Forestry Studies: An Analysis of Data Production in Pure Coniferous Young Forest Stands. Environ. Monit. Assess. 2019, 191, 495. [Google Scholar] [CrossRef] [PubMed]
- Cochran, W.G. Sampling Techniques, 3rd ed.; John Wiley & Sons: New York, NY, USA, 1977. [Google Scholar]
- Netto, S.P.; Behling, A. Rational Volumetric Models: Tested in Forest Stands of Acacia Mearnsii de Wild in Southern Brazil. Cerne 2019, 25, 491–505. [Google Scholar] [CrossRef]
- Netto, S.P.; Behling, A. Additivity of Tree Biomass Components Using Ratio Estimate. An. Acad. Bras. Cienc. 2019, 91, 1–31. [Google Scholar] [CrossRef]
- Hentz, Â.M.K.; Corte, A.P.D.; Netto, S.P.; Strager, M.P.; Schoeninger, E.R. Treedetection: Automatic Tree Detection Using Uav-Based Data. Floresta 2018, 48, 393–402. [Google Scholar] [CrossRef]
- Hentz, Â.M.K. Obtenção de Informações Dendrométricas Para Inventário Florestal Automatizado Por Meio de Veículo Aéreo Não Tripulado (VANT). Ph.D. Thesis, Federal University of Paraná, Curitiba, PR, Brazil, 2018. [Google Scholar]
- Avery, T.E.; Burkhart, H.E. Forest Measurements, 5th ed.; Waveland Press: New York, NY, USA, 2015; ISBN 9781478629740. [Google Scholar]
- Machado, S.D.A. Tabela de Volume Para Pinus Taeda na Região de Telêmaco Borba-PR. Rev. Floresta 1979, 10, 29–35. [Google Scholar] [CrossRef]
- De Oliveira, M.L.R.; Leite, H.G.; Garcia, S.L.R.; Campos, J.C.C.; Soares, C.P.B.; Santana, R.C. Estimação Do Volume de Árvores de Clones de Eucalipto Pelo Método Da Similaridade de Perfis. Rev. Árvore 2009, 33, 133–141. [Google Scholar] [CrossRef]
- De Miranda, D.L.C.; Junior, V.B.; Gouveia, D.M. Fator de Forma e Equações de Volume Para Estimativa Volumétrica de Árvores Em Plantio de Eucalyptus Urograndis. Sci. Plena 2015, 11, 1–8. [Google Scholar]
- Kohler, S.V.; Koehler, H.S.; Filho, A.F.; Arce, J.E.; do Amaral Machado, S. Evolution of Tree Stem Taper in Pinus Taeda Stands. Ciência Rural 2016, 46, 1185–1191. [Google Scholar] [CrossRef]
- Sanquetta, C.R.; Do Carmo Dolci, M.; Corte, A.P.D.; Sanquetta, M.N.I.; Pelissari, A.L. Form Factors vs. Regression Models in Volume Estimation of Pinus Taeda L. Stem. Científica 2017, 45, 175–181. [Google Scholar] [CrossRef][Green Version]
- Pertille, C.T.; Sanquetta, C.R.; Nicoletti, M.F.; Topanotti, L.R. Volume Prediction through form Factor and Regression Models by Age Class for Pinus taeda L. Adv. For. Sci. 2018, 5, 431–436. [Google Scholar] [CrossRef]
- Strimbu, B.M. Comparing the Efficiency of Intensity-Based Forest Inventories with Sampling-Error-Based Forest Inventories. Forestry 2014, 87, 249–255. [Google Scholar] [CrossRef]
- Liang, X.; Hyyppä, J.; Kaartinen, H.; Lehtomäki, M.; Pyörälä, J.; Pfeifer, N.; Holopainen, M.; Brolly, G.; Francesco, P.; Hackenberg, J.; et al. International Benchmarking of Terrestrial Laser Scanning Approaches for Forest Inventories. ISPRS J. Photogramm. Remote Sens. 2018, 144, 137–179. [Google Scholar] [CrossRef]
- Junttila, V.; Finley, A.O.; Bradford, J.B.; Kauranne, T. Strategies for Minimizing Sample Size for Use in Airborne LiDAR-Based Forest Inventory. For. Ecol. Manag. 2013, 292, 75–85. [Google Scholar] [CrossRef]
- Li, W.; Guo, Q.; Jakubowski, M.K.; Kelly, M. A New Method for Segmenting Individual Trees from the Lidar Point Cloud. Photogramm. Eng. Remote Sens. 2012, 78, 75–84. [Google Scholar] [CrossRef]
- Picos, J.; Bastos, G.; Míguez, D.; Alonso, L.; Armesto, J. Individual Tree Detection in a Eucalyptus Plantation Using Unmanned Aerial Vehicle (UAV)-LiDAR. Remote Sens. 2020, 12, 885. [Google Scholar] [CrossRef]
- Berger, A.; Gschwantner, T.; McRoberts, R.E.; Schadauer, K. Effects of Measurement Errors on Individual Tree Stem Volume Estimates for the Austrian National Forest Inventory. For. Sci. 2014, 60, 14–24. [Google Scholar] [CrossRef]
- Saarinen, N.; Kankare, V.; Vastaranta, M.; Luoma, V.; Pyörälä, J.; Tanhuanpää, T.; Liang, X.; Kaartinen, H.; Kukko, A.; Jaakkola, A.; et al. Feasibility of Terrestrial Laser Scanning for Collecting Stem Volume Information from Single Trees. ISPRS J. Photogramm. Remote Sens. 2017, 123, 140–158. [Google Scholar] [CrossRef]
- Buck, A.L.B.; Lingnau, C.; Neto, S.P.; Machado, Á.M.L.; Martins-Neto, R.P. Stem Modelling of Eucalyptus by Terrestrial Laser Scanning. Floresta Ambiente 2019, 26. [Google Scholar] [CrossRef]
- Fan, G.; Nan, L.; Dong, Y.; Su, X.; Chen, F. AdQSM: A New Method for Estimating above-Ground Biomass from TLS Point Clouds. Remote Sens. 2020, 12, 3089. [Google Scholar] [CrossRef]
- Næsset, E. Practical Large-Scale Forest Stand Inventory Using a Small-Footprint Airborne Scanning Laser. Scand. J. For. Res. 2004, 19, 164–179. [Google Scholar] [CrossRef]
- Puliti, S.; Ørka, H.O.; Gobakken, T.; Næsset, E. Inventory of Small Forest Areas Using an Unmanned Aerial System. Remote Sens. 2015, 7, 9632–9654. [Google Scholar] [CrossRef]
- Leite, R.V.; Silva, C.A.; Mohan, M.; Cardil, A.; de Almeida, D.R.A.; de Pádua Chaves e Carvalho, S.; Jaafar, W.S.W.M.; Guerra-Hernández, J.; Weiskittel, A.; Hudak, A.T.; et al. Individual Tree Attribute Estimation and Uniformity Assessment in Fast-Growing Eucalyptus spp. Forest Plantations Using Lidar and Linear Mixed-E Ff Ects Models. Remote Sens. 2020, 12, 3599. [Google Scholar] [CrossRef]
- Guerra-Hernández, J.; González-Ferreiro, E.; Monleón, V.J.; Faias, S.P.; Tomé, M.; Díaz-Varela, R.A. Use of Multi-Temporal UAV-Derived Imagery for Estimating Individual Tree Growth in Pinus Pinea Stands. Forests 2017, 8, 300. [Google Scholar] [CrossRef]
- Guerra-Hernández, J.; Cosenza, D.N.; Cardil, A.; Silva, C.A.; Botequim, B.; Soares, P.; Silva, M.; González-Ferreiro, E.; Díaz-Varela, R.A. Predicting Growing Stock Volume of Eucalyptus Plantations Using 3-D Point Clouds Derived from UAV Imagery and ALS Data. Forests 2019, 10, 905. [Google Scholar] [CrossRef]
- Wallace, L.; Lucieer, A.; Malenovskỳ, Z.; Turner, D.; Vopěnka, P. Assessment of Forest Structure Using Two UAV Techniques: A Comparison of Airborne Laser Scanning and Structure from Motion (SfM) Point Clouds. Forests 2016, 7, 62. [Google Scholar] [CrossRef]
- Corte, A.P.D.; Souza, D.V.; Rex, F.E.; Sanquetta, C.R.; Mohan, M.; Silva, C.A.; Zambrano, A.M.A.; Prata, G.; de Almeida, D.R.A.; Trautenmüller, J.W.; et al. Forest Inventory with High-Density UAV-Lidar: Machine Learning Approaches for Predicting Individual Tree Attributes. Comput. Electron. Agric. 2020, 179, 105815. [Google Scholar] [CrossRef]
- Ota, T.; Ogawa, M.; Mizoue, N.; Fukumoto, K.; Yoshida, S. Forest Structure Estimation from a UAV-Based Photogrammetric Point Cloud in Managed Temperate Coniferous Forests. Forests 2017, 8, 343. [Google Scholar] [CrossRef]





| Stand | Variables | n | Min. | Max. | Mean | Standard Deviation | Standard Error |
|---|---|---|---|---|---|---|---|
| 1 | d (cm) | 200 | 6.3 | 38.9 | 23.5 | 5.10 | 0.36 |
| h (m) | 200 | 6.4 | 25.5 | 15.6 | 3.58 | 0.25 | |
| v (m3) | 200 | 0.0106 | 1.3242 | 0.3325 | 0.2027 | 0.0143 | |
| 2 | d (cm) | 180 | 6.4 | 25.5 | 16.2 | 4.05 | 0.30 |
| h (m) | 180 | 4.8 | 14.8 | 11.4 | 2.11 | 0.16 | |
| v (m3) | 180 | 0.0111 | 0.3009 | 0.1206 | 0.0624 | 0.0047 | |
| 3 | d (cm) | 53 | 7.6 | 24.5 | 16.6 | 3.75 | 0.52 |
| h (m) | 53 | 9.6 | 31.4 | 25.3 | 4.74 | 0.65 | |
| v (m3) | 53 | 0.0191 | 0.5986 | 0.2677 | 0.1341 | 0.0184 |
| Stand | n | Individual Tree Volume (m3) | Form Factor (f) | Relative Error (%) | ||
|---|---|---|---|---|---|---|
| Volume | Confidence Interval | f | Confidence Interval | |||
| 1 | 200 | 0.3325 | ±0.00473 | 0.446 | ±0.06952 | 1.42 |
| 2 | 180 | 0.1206 | ±0.00160 | 0.459 | ±0.02196 | 1.33 |
| 3 | 53 | 0.2677 | ±0.00501 | 0.442 | ±0.03691 | 1.87 |
| Stand | Min. | Max. | Mean | Standard Deviation | CV% | N | Total Volume (m3) | |
|---|---|---|---|---|---|---|---|---|
| 1 | d | 6.2 | 39.2 | 23.5 | 4.9 | 20.7 | 2611 | 900.7 |
| h | 6.6 | 25.5 | 16.5 | 2.6 | 15.9 | |||
| v | 0.011 | 1.03 | 0.3450 | 0.1633 | 47.3 | |||
| 2 | d | 3.2 | 28.2 | 16.1 | 3.9 | 24.6 | 4211 | 474.3 |
| h | 3.7 | 15.8 | 11.0 | 1.4 | 13.1 | |||
| v | 0.0019 | 0.3665 | 0.1126 | 0.057 | 50.4 | |||
| 3 | d | 5.4 | 28.3 | 18.7 | 2.9 | 15.6 | 2147 | 575.4 |
| h | 8.1 | 28.1 | 21.2 | 2.1 | 10.0 | |||
| v | 0.0083 | 0.6208 | 0.2680 | 0.088 | 32.8 | |||
| Stand | Individual Volume (m3) | N (TreeDetect) | Total Volume | ||
|---|---|---|---|---|---|
| V (m3) | CI (m3) | Relative Error (%) | |||
| 1 | 0.3325 | 2681 | 891.5 | 878.9–904.2 | 1.42 |
| 2 | 0.1206 | 3962 | 477.8 | 471.4–484.1 | 1.33 |
| 3 | 0.2677 | 2111 | 565.1 | 554.6–575.7 | 1.87 |
| Stand | Total Volume (Parametric) (m3) | Area (Bootstrap Resampling) | Individual | ||
|---|---|---|---|---|---|
| Confidence Interval (m3) | Relative Difference (%) | Confidence Interval (m3) | Relative Difference (%) | ||
| 1 | 900.7 | 924.0–940.3 | −3.5 | 878.9–904.2 | 1.0 |
| 2 | 474.3 | 469.6–476.0 | 0.3 | 471.4–484.1 | −0.7 |
| 3 | 575.4 | 577.5–583.3 | −0.9 | 554.6–575.7 | 1.8 |
Publisher’s Note: MDPI stays neutral with regard to jurisdictional claims in published maps and institutional affiliations. |
© 2021 by the authors. Licensee MDPI, Basel, Switzerland. This article is an open access article distributed under the terms and conditions of the Creative Commons Attribution (CC BY) license (https://creativecommons.org/licenses/by/4.0/).
Share and Cite
Stolle, L.; Corte, A.P.D.; Sanquetta, C.R.; Behling, A.; Hentz, Â.M.K.; Eisfeld, R.d.L. Predicting Stand Volume by Number of Trees Automatically Detected in UAV Images: An Alternative Method for Forest Inventory. Forests 2021, 12, 1508. https://doi.org/10.3390/f12111508
Stolle L, Corte APD, Sanquetta CR, Behling A, Hentz ÂMK, Eisfeld RdL. Predicting Stand Volume by Number of Trees Automatically Detected in UAV Images: An Alternative Method for Forest Inventory. Forests. 2021; 12(11):1508. https://doi.org/10.3390/f12111508
Chicago/Turabian StyleStolle, Lorena, Ana Paula Dalla Corte, Carlos Roberto Sanquetta, Alexandre Behling, Ângela Maria Klein Hentz, and Rozane de Loyola Eisfeld. 2021. "Predicting Stand Volume by Number of Trees Automatically Detected in UAV Images: An Alternative Method for Forest Inventory" Forests 12, no. 11: 1508. https://doi.org/10.3390/f12111508
APA StyleStolle, L., Corte, A. P. D., Sanquetta, C. R., Behling, A., Hentz, Â. M. K., & Eisfeld, R. d. L. (2021). Predicting Stand Volume by Number of Trees Automatically Detected in UAV Images: An Alternative Method for Forest Inventory. Forests, 12(11), 1508. https://doi.org/10.3390/f12111508

