Abstract
The study zone includes one of the largest montane old-growth forests in Europe (Slatioara UNESCO site), and understanding the structure and functioning of sill intact forests in Europe is essential for grounding management strategies for secondary forests. For this reason, we set out to analyze the dependencies between aboveground biomass (AgB), tree species and size diversity and terrain morphology, as well as the relationship between biomass and diversity, since neither of these issues have been sufficiently explored. We found that tree species diversity decreases with increased solar radiation and elevation. Tree size heterogeneity reaches its highest mean values at elevations between 1001 and 1100 m, on slopes between 50 and 60 degrees. AgB is differentiated with elevation; the highest mean AgB (293 tonnes per hectare) is recorded at elevations between 801 and 900 m, while it decreases to 79 tonnes per hectare at more than 1500 m a.s.l. It is also influenced by tree species diversity and tree size heterogeneity, with the highest AgB reached in the most complex forest ecosystems in terms of structural diversity. We showed that intact temperate montane forests develop maximum biomass for optimum species diversity and highest size heterogeneity; all three are modulated mainly by elevation.
1. Introduction
Intact forests are important repositories of precious irreplaceable and often endangered biodiversity, and they provide a wide range of valuable ecosystem services [1]. The reasons behind the increasing interest in studying intact forests are four-fold: (1) the need to improve the management of second-growth forests [2,3,4,5,6]; (2) the sheer scientific curiosity in studying the most complex natural terrestrial ecosystems still at hand in many geographical regions of the Earth [7,8]; (3) the need to protect fragile habitats, many of them hosted by intact forests [9,10]; and (4) the issue of forest carbon pool [11,12].
Forest biodiversity goes hand in hand with diversified horizontal and vertical structures and the so-called close-to-nature forestry relies to a large extent on the observations and measurements carried out in strict forest reserves [13] or forests affected by disturbances [14]. It is generally accepted that tree diversity enhances high forest productivity and ensures at least moderate levels of ecosystem multifunctionality [15,16,17,18,19,20,21], but the factors influencing this process and the environmental mechanisms that drive it are not fully known and are even controversial [22,23,24,25,26,27].
Global scale studies reveal a consistent positive relationship between tree species diversity and productivity [16], using tree species richness as surrogate for biodiversity because taxonomic diversity is considered to incorporate other traits such as functional, phylogenetic, and genomic diversity [16,28]. One of the complex and multiple implications of forest biodiversity is that globally, forests will produce less biomass and accordingly, their global capacity to absorb and store carbon will decrease [29,30]. Other large-scale studies (in North America and Europe) also indicate a positive relationship between species richness and tree productivity, while addressing the influence of environmental and climatic conditions [19,31]; the role of biodiversity tends to be stronger in harsher climates (dry Mediterranean or boreal) [15,32].
Because both biomass and biodiversity depend on a wide spectrum of factors, some controlled and some uncontrolled through forest management, the scientific hypotheses different scholars have put forward mostly refer to the interplayed roles of forests as carbon sinks [33,34] and shelters for biodiversity [4,35]. An important challenge for forest management and conservation is achieving a proper balance between biodiversity and the aboveground biomass. The adequate balance, wherever it may occur, may help forest managers and policy makers to develop managerial scenarios either for conservation purposes [7,36] or for increasing the resilience of the managed forests [37,38].
A number of studies have highlighted that structurally more complex forests may have higher productivity [39], and hence are at least as profitable as uniform forests [40], they can promote biodiversity of certain animal taxa [41] and are more resilient against disturbances and climate change [20,42]. Consequently, to provide as many ecological services as possible while maintaining their resilience, it is recommended that the composition and structure of managed forests be diversified. Preparing forests for future changing conditions may imply enriching the composition with species complementary in their functional traits [20,43], or controlling stand density, which can be an effective way of managing water availability in expected drier climates [44].
In research performed at smaller scales, in addition to the abovementioned dependencies, forest structure, canopy structural complexity [18,45,46] and the environmental factors modulate the interactions between forest diversity and productivity/biomass [47,48]. For example, it was found that solar radiation impacts on forest primary productivity [49] and influences species richness [50]. Additionally, there is a rich literature documenting: elevation impact on forest diversity [51,52] and forests biomass [53,54,55]; relationship between aspect and biomass [56,57]; or the influence of slope on the forest aboveground biomass [58].
Given the rare opportunity to study these interactions in natural forests located on sites with a wide range of topographical conditions, knowing that they are not fully understood and that Romania has 8% of Europe’s intact forests [8], we intend to exploit the existence of a permanent research platform (PRP) within the Slătioara UNESCO site and its surroundings [59] and to expand the research methodology to a wider network of intact forest sites. Through this analysis, we aim to highlight interaction patterns between aboveground biomass, biodiversity and topographical factors, and patterns transcending the micro-site context.
Thus, the following research objectives were addressed:
- assessing tree species diversity, tree size heterogeneity and aboveground biomass of living trees at sample plot level;
- identifying the effect of some abiotic factors on tree species diversity and aboveground biomass;
- identifying how aboveground biomass depends on tree species diversity and size heterogeneity, within the entire study area and at habitat type level.
2. Materials and Methods
2.1. Study Location
The study is located in Natura 2000 (N2000) site ROSCI0212 Rarău-Giumalău, covering 2205.85 ha, with 1724.57 ha of forests and overlapping Slătioara UNESCO site by 1038.55 ha (of which the core area occupies 609.12 ha) (Figure 1). It is situated in northern Romania, in the North-Eastern Carpathians, on the south-eastern side of the Rarău Mountains, at altitudes between 800 and 1510 m a.s.l. The climate is continental-temperate, with mean annual temperatures between 3.8 °C at high elevations and 5.9 °C at low elevations, and mean annual rainfall between 700 and 810 mm. Duduman et al. [59] provide a detailed description of the study area, in terms of biodiversity and topography.
Figure 1.
Study location—Slătioara-Rarău area (reserve boundaries from http://mmediu.ro/articol/date-gis/434, (accessed on 15 October 2020). overlaid on the satellite images from ESRI ArcGIS server). Maps throughout this book were created using ArcGIS® software by Esri. ArcGIS® and ArcMap™ are the intellectual property of Esri and are used herein under license. Copyright © Esri. All rights reserved. For more information about Esri® software, please visit www.esri.com (accessed on 15 October 2020).
The landscape is characterized by mixed temperate forests with coniferous trees and European beech at low and middle elevations, and by pure Norway spruce stands at high elevations, where they alternate with pasture lands. The forest included in the UNESCO core area was never subjected to logging operations (609.12 ha). After 2000, when the “Rarău-Pietrele Doamnei” Nature Reserve was established, the strictly protected area increased to 1580.73 ha. The inclusion was feasible due to the fact that the past management was based on very low intensity interventions, with no discernable alterations of natural stand structure. The rest of the forest area (143.84 ha) is still under regular management, under the provisions of the Rarău-Giumalău Natura 2000 site management plan.
2.2. Data Collection
Data were collected in 2015 from 193 sample plots, 500 m2 each (horizontal area), within a permanent research platform (PRP) covering the 1724.57 ha of forests and structured on two levels: the first level of PRP covers the entire area and corresponds to a square grid of 500 × 500 m; the second level of PRP was set up for the core area, according to a square grid of 100 × 100 m (see Figure 3 in [59]). All (living or dead) standing trees with diameter at breast height (dbh) larger than 5 cm were inventoried within every sample plot (SP) but, for this study, only the data regarding the 8296 living standing trees were analyzed. Every tree was tallied at SP level. In order to quantify the aboveground wood biomass, the species was identified, dbh was measured using an appropriate caliper (graded in millimeters) and the tree total height was measured and expressed in decimeters, using a Vertex dendrometer (Haglöf Sweden).
Additionally, in every SP, the forest habitat type was assessed, considering the N2000 habitat classification [60,61,62]. Thus, additional field observations and analysis of forest management plans (FMPs) [63,64,65] were carried out, aiming to determine—at forest compartment level—the habitat type, based on site conditions (elevation, aspect, slope, soil type), management type and management history, vascular species composition of the trees, shrub and herbaceous layers.
2.3. Data Processing
The data from the field inventory (FI) were cross-referenced with the forest management planning database (FMPD) and the digital terrain model to extract several site and vegetation data that were subsequently analyzed in relation to aboveground biomass and biodiversity (Figure 2).
Figure 2.
Methodological framework used in data collection and processing.
2.3.1. GIS Data Processing
The Digital Elevation Model (DEM) was built using contour lines, elevation points and stream lines extracted from the georeferenced topographic plans (scale 1:5000) within ArcGIS 9.3 software platform. The Topo to Raster module was used to generate the elevation model, which was further used to compute slope and aspect, within the 3D Analyst extension of ArcGIS, for a 10 m cell size.
The position of each SP center was used to extract the corresponding values of elevation, slope and aspect from the three raster files mentioned above within the Zonal statistics as a table function of ArcGIS. The output tables were joined with the initial shapefile containing the SPs. The aspect was expressed in degrees, from 0.1 to 360.0 but, for a proper interpretation of the results, the values larger than 180 degrees were corrected by subtracting them from 360 degrees. Thus, in this case, the values close to 0 correspond to shaded slopes, while those close to 180 degrees indicate sunny slopes. The incident solar radiation per area unit was computed using the Solar Analyst from ArcGIS 9.3, using the georeferenced Digital Elevation Model, average parameters for cloud cover, and the mean length of the growing season considered from 1 April to 15 October.
The forest compartment attributes from the management planning database were assigned correspondingly to SPs using the spatial join function.
For further data processing, discrete classes were distinguished as follows: 100 KWh·m−2 class size in the case of solar radiation, 100 m class size in the case of elevation, 10 degrees class size for slope, 22.5 degrees class size for aspect, 0.4 class size for the species diversity index, and 0.1 class size in the case of the Gini index.
2.3.2. Diversity Indices Computation
The species diversity (D) in every SP was derived from the Shannon [66] index (H), using the exponential of Renyi entropy [67]:
where k is the number of species within a given SP; ni represents the number of individuals of the ith species; and N is the total number of individuals within a SP. The D index ranges between 1 (all individuals are form the same species) and k (all individuals are evenly spread between the k species).
Tree size heterogeneity was assessed, as recommended in the literature [68,69,70], by using the Gini index, which ranges between 0 and 1. The more homogenous a population is, the smaller the Gini index is [71,72]. The formula used for computing the Gini index [70] is:
where bai (bai−1) is the cumulative fraction of the basal area (%) of the trees from all diameter classes thinner than or equal to the ith (i−1) diameter class (for i = 1, bai-1 = 0); ni (ni−1) is the cumulative fraction of the number of trees (%) from all diameter classes thinner than or equal to the ith (i − 1) diameter class (for i = 1, ni-1 = 0); and k represents the number of 2 cm-diameter classes.
For a better interpretation of the results related to size heterogeneity at SP level, the modified Lorenz [73] curve asymmetry (LA) was computed, considering the proportion of basal area accumulated by the trees with dbh above the quadratic mean diameter (M(xQMD)) and the proportion of stem density accumulated by the trees with dbh above the quadratic mean diameter (xQMD) [74]:
LA = [M(xQMD) + xQMD]/2
The quadratic mean diameter (cm) per SP (QMD) is computed with Formula (5):
where , g is the total basal area of a target SP (m2), and n is total number of trees in that SP.
As recommended by [70,75], the 0.51 value of Gini index was used as a threshold for separating the uneven-sized balanced forest stands [76] from those with a more simplified size heterogeneity, and also the border corresponding to LA = 0.5 (established by [74]) for differentiating the bimodal plots from reverse J-shaped plots.
2.3.3. Aboveground Biomass Assessment
The total aboveground wood volume per SP (V) was estimated by summing every single tree volume, regardless of species, and considering the dbh threshold of 5 cm:
where: k is the number of species within a SP; n is the total number of trees within a SP; vui;j is the single tree aboveground wood volume, which was computed for the jth single tree from ith species, using the logarithmic equation recommended in the literature [77] with the specific coefficients a0i, a1i, a2i, a3i, a4i (Table 1) for the ith species:
where dbhj represents the diameter at breast height of the jth tree; hj is the total height of the jth tree.
Table 1.
Coefficients used for computing the tree aboveground wood volume (according to [77]) and aboveground biomass (according to [78]). WID is the mean value of wood infra-density.
Having computed the aboveground wood volume per tree, the aboveground biomass computed for the jth single tree from ith species (AgBi;j) is:
where WID-j is the mean value of wood infra-density (tonnes per cubic meter) established by tree species in [78] (Table 1).
Finally, a database was obtained including information for every SP, referring to: SP number, forest district name, forest compartment, management type, elevation (m), slope (degrees), aspect (degrees), solar radiation (KWh·m−2) during the growing season, N2000 habitat type, number of tree species, stem density, species diversity, tree size heterogeneity, modified Lorenz curve asymmetry, aboveground wood volume (m3), and aboveground biomass (tonnes).
2.3.4. Data Analysis
In order to compare the distribution of variables among the inventoried SPs, a principal component analysis (PCA) was used as an exploratory data analysis, considering the number of tree species, stem density, species diversity (D), tree size heterogeneity (G), modified Lorenz curve asymmetry, aboveground biomass, elevation, aspect and slope as variables and the 193 plots as observations. The PCA was applied for two different situations: (i) considering all SPs; (ii) considering only the first level of PRP [59]. The FactoMineR package (version 2.3) [79] of R (version 3.6.2) was used.
In relation to the results of PCA, we used only the first level PRP and we selected the next pairs of variables for a more detailed analysis: tree species richness and diversity, tree size heterogeneity and AgB on one hand and elevation, slope and aspect on the other hand. Additionally, we noted the relationship between biomass and tree species and size diversity. The statistical analysis of differences between habitats, data regarding the interaction between tree’s diversity and AgB were further detailed separately per Natura 2000 habitat type.
The analysis of the differences among means, in the case of total biomass, number of species, D, and Gini, depending on five factors (habitat type and elevation, slope, aspect, radiation classes), was carried out using the Kruskal–Wallis nonparametric test (because all experimental distributions differ from the normal distribution (Shapiro–Wilk test), even after the data transformation (x’ = log (x + 1)). When significant differences were found, the Conover–Iman procedure for multiple pairwise comparations was used to compare means [80]. This analysis was performed with XLSTAT-PRO 2012 (Addinsoft, New York, NY, USA), plugged into EXCEL 2016 (Microsoft Corp., Redmond, Washington, DC, USA). Data processing was performed by employing the ArcGIS 9.3 and R software [81]. Maps throughout this paper were created using ArcGIS® software (Esri, West Redlands, CA, USA).
3. Results
3.1. Overview of Tree Species, Forest Habitats and Aboveground Biomass
Eleven tree species represented by 8296 living individuals and three N2000 forest habitats were found in 178 SPs, while the remaining 15 SPs were assigned to other types (non-Natura 2000 forest habitats (NN)) (Table 2). In only one SP (outside core area and classified as NN habitat type), tree composition included non-local species (European larch and Scots pine), artificially introduced 100 years ago [65].
Table 2.
Summary data regarding the tree species and forest habitats within the Slătioara-Rarău area.
All the 135 SPs from second level PRP, installed in the core area of the Slătioara UNESCO site were assigned to N2000 habitat types, most of them (88) as Dacian Beech forests (Symphyto-Fagion) (91V0), 35 SPs correspond to Luzulo-Fagetum beech forests (9110) and 12 to Acidophilous Picea forests of the montane to alpine levels (Vaccinio-Piceetea) (9410). If considering only the first level of PRP [59], 30 SPs correspond to 9410, 13 SP to 91V0 and 15 SP are NN.
All plots from UNESCO core area (135 SPs from the second level and 12 SPs from the first level PRP) have never been subjected to any logging operations. Another 31 SPs from the first level PRP overlap the buffer area of UNESCO site and the “Rarău-Pietrele Doamnei” Nature Reserve and have been excluded from logging since 2000. Only 15 SPs, classified as NN habitats, are still under regular management.
The Acidophilous Picea forests contain the lowest mean AgB (200.6 tonnes per hectare), while the beech forests reach about 275 tonnes per hectare. The most important three species in descending order of AgB in the habitat type 9110 are Norway spruce (35.8%), European beech (30.8%) and silver fir (29.0%). Within the habitat type 91V0, the European beech scores the highest AgB (36.8%), followed by silver fir (29.0%) and Norway spruce (22.8%), but the other species have an almost triple cumulated AgB compared to the 9110 habitat (11.3% versus 4.4%) and one additional species (wych elm). In the case of Acidophilous Picea forests, the main species is Norway spruce (more than 55% of AgB), followed by silver fir (24.3%), sycamore (10.4%) and European beech (7.6%).
3.2. Relationships between the Attributes of the SPs
In the case of the entire PRP (Figure 3a), the variance of principal components is 51.2%, mainly due to the high number of SPs and variables. The variables ”species_no”, G and D, are positively correlated with the first dimension, while ”elevation” and LA are negatively correlated. The variables “stem_density” and “aspect” are positively correlated with the second dimension. Thus, the stem density and aspect are not related to either species diversity or tree size heterogeneity. More than a half of inventory plots are similar, being grouped close to the origin of the graph, while those located on the left part of the first dimension are very different.

Figure 3.
Principal components analysis of abiotic, tree and stand variables applied to: (a) all plots; (b) plots from the first level of PRP (Abbreviations: DIM = Dimension; contrib = variable or plot contribution in terms of variance explained).
If considering only the first level of PRP (Figure 3b), three groups of SPs can be differentiated: the blue dotted line separates the SPs belonging to stands artificially regenerated in the past, with ages between 20 and 120 years; the red dashed line separates the SPs where the Norway spruce is the dominant species in terms of AgB (forest habitat 9410); and the continuous green line encloses the SPs belonging to forest habitats 91V0 and 9110. In both cases, the size heterogeneity is negatively correlated with the modified Lorenz curve asymmetry.
3.3. Influence of Ecological Factors on Forest Diversity and AgB
To better capture how the tree diversity and the AgB are influenced by site characteristics, a more detailed analysis was performed to complete the PCA output. The species richness showed a negative trend in relation to the mean solar radiation during the vegetation season (Figure 4a), for plots with one to five species, located in the intact forest area. The trend is relevant for the plots with one to five tree species, and a large number of SPs. The negative trend is maintained also for the diversity index (Figure 4b) and tree size heterogeneity (Figure 4c), although it is less obvious for the latter. However, the differences between the classes that give these tendencies are insignificant.

Figure 4.
Relationship between solar radiation in growing season and tree species number (a), tree species diversity (b), tree size heterogeneity (c), and aboveground biomass of living trees (d). K represents the Kruskal–Wallis constant, while p indicates the significance level.
The AgB shows important variations between solar radiation classes and also within the same class, but without significant differences between classes. Given such amplitudes within the data collected from the sample plots, we could not establish a simple trend of variation between the two variables.
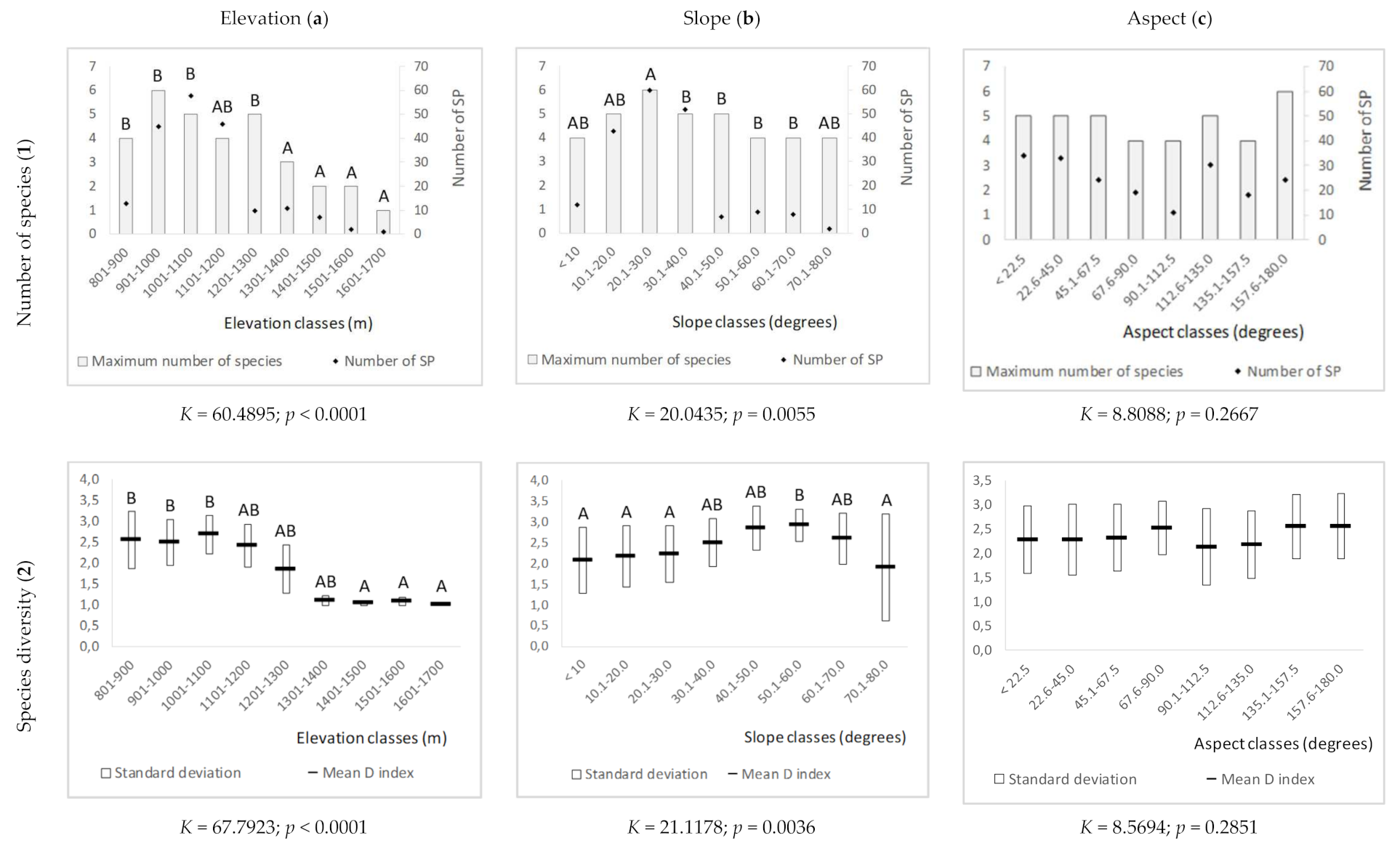
The species diversity is more obviously related to elevation. Both the species number (Figure 5a1) and diversity (Figure 5a2) significantly decrease from low to high elevations. Similarly, the mean value of D by elevation class is relatively constant at elevations between 801 and 1200 m (from 2.41 to 2.68), with a sudden decrease above 1200 m. Elevation also significantly influences tree size heterogeneity (K = 32.7919; p < 0.0001) (Figure 5a3), with a similar trend observed in the case of elevation influence on AgB, (K = 31.1851; p = 0.0001) (Figure 5a4).

Figure 5.
Distribution of tree species number (1), tree species diversity (2), tree size heterogeneity (3), and aboveground biomass of living trees (4) by elevation class (a), slope (b) and aspect classes (c). Different uppercase letters indicate significant differences between classes according to the Conover–Iman Multiple pairwise comparisons procedure (p < 0.05); K represents the Kruskal–Wallis constant, while p indicates the significance level.
Most SPs (87%) are located on slopes below 40 degrees. The maximum number of species per plot is found on slopes between 20 and 30 degrees (Figure 5b1). However, the highest species diversity is found on slopes between 50 and 60 degrees (Figure 5b2). Species diversity is relatively low on plateaus or small slopes, due to the proper site conditions for mixed coniferous-beech forests. In such situations, the dominant species are European beech, silver fir and Norway spruce, while the other tree species have low or very low relative frequencies.
On slopes between 40 and 60 degrees, the site conditions lead to more similar relative frequencies of tree individuals, explaining the higher values of D, while over 60 degrees, one species tends to dominate the relative frequency of individuals.
A comparable trend is observed in the case of size heterogeneity of trees (Figure 5b3) but, in this case, the influence of slope is insignificant (K = 7.1892; p = 0.4094). There is also no significant influence of the slope on AgB (Figure 5b4).
The majority of SPs (84) are located on partially shaded slopes, followed by sunny and shaded slopes. The highest number of species is found on shaded slopes (Figure 5c1). No significant differences were found between aspect class and mean species diversity, although a higher D is found on sunny slopes and partially shaded slopes (Figure 5c2). According to our data (Figure 5c3,4), aspect is not related to tree size heterogeneity (K = 6.0704; p = 0.5316) or AgB (K = 6.1636; p = 0.5208).
3.4. Tree Species Richness/Size Heterogeneity and AgB Relations
The number of SPs with a certain number of tree species varies according to a unimodal curve (Figure 6a). The mean AgB significantly differs when analyzed on the number of species within a plot (K = 23.6089; p = 0.0003). It increases from 161 to 287 tonnes per hectare between one and three species’ plots, then decreases constantly to about 213 tonnes per hectare in the case of six species’ plots, probably as a consequence of asymmetric competition for light. Additionally, the differences between AgB means per species diversity classes are significant (K = 32.1567; p < 0.0001), the highest AgB values being recorded for D between 1.41 and 3.80 (Figure 6b).
Figure 6.
Distribution of aboveground living biomass by tree species richness (a), species diversity (b) and size heterogeneity (c). Different uppercase letters indicate significant differences between classes according to Conover–Iman Multiple pairwise comparisons procedure (p < 0.05); K represents the Kruskal–Wallis constant, while p indicates the significance level.
The AgB significantly differs on size heterogeneity classes (K = 15.7138; p = 0.0154); however, the minimum mean AgB per G classes (204 tonnes per hectare) is reached in the case of G values between 0.41 and 0.50 (not for the lowest G values) (Figure 6c). Most SPs with G values below 0.4 (17 out of 18) are located outside the core area of UNESCO site, some of them still managed for timber production in the present or before 2006, which would explain the lower AgB.
This is further shown by the spatial representation of species diversity, tree size heterogeneity and AgB of living trees on the digital elevation model (Figure 7): the higher values of D are found in the Slătioara UNESCO site and especially its core area (Figure 7a). In terms of size heterogeneity, the core area is also on the top (Figure 7b), even in SPs with lower species diversity (assigned to 9410 N2000 habitat).
Figure 7.
Spatial variation in: tree species diversity; tree size heterogeneity and aboveground biomass of living trees within Slătioara-Rarău area.
A high level of species diversity and size heterogeneity can be found even in SPs with low AgB (Figure 7c). The spatial representation of AgB shows the high heterogeneity of the analyzed forests, which is, at least in the case of the core area of the Slătioara UNESCO site, only a consequence of natural processes.
A very strong and significant correlation was observed between G and LA (r = 0.902, p = 1.677·10−71) (Figure 8). Most of the SPs (81.3%) are uneven-sized balanced (G > 0.51), while from the rest, 15 plots are uneven-sized irregular (0.43 < G ≤ 0.51), 10 plots are two-sized (0.35 < G ≤ 0.43) and 11 plots are even-sized (G ≤ 0.35). If considering only the 157 uneven-sized balanced SPs, it is obvious that they are reverse J-shaped (LA ≥ 0.5), except one single plot (S097) with G = 0.814 and LA = 0.498.
Figure 8.
Linear regression of the Lorenz curve asymmetry by the Gini index (the differentiation of forest structural types is based on 0.5 and 0.51 thresholds of the dependent and predictor variable, respectively).
3.5. Influence of Forest Diversity on AgB of Living Trees by Habitat Type
The habitat type significantly influences the tree species richness, diversity, tree size heterogeneity and AgB (Figure 9); in all situations, the values of analyzed indicators are similar for the 9110 and 91V0 habitats and significantly different from the 9410 habitat (Figure 9). The highest values of biomass and tree diversity are found in the habitat types with beech (9110 and 91V0).
Figure 9.
Comparative analysis of habitats by tree species richness (a) and diversity (b), tree size heterogeneity (c) and aboveground biomass (d). Different uppercase letters indicate significant differences between classes according to Conover–Iman Multiple pairwise comparisons procedure (p < 0.05); K represents the Kruskal–Wallis constant, while p indicates the significance level.
Based on the results above, we further analyzed only the 178 SPs classified as Natura 2000 habitats: 101 SPs included in habitat type 91V0, 35 SPs from habitat type 9110, and 42 SPs from habitat type 9410 (Figure 10).

Figure 10.
Distribution of the aboveground living trees biomass by tree species diversity (a–c) and tree size heterogeneity class (d–f), in SPs assigned to different Natura 2000 habitat types. K represents the Kruskal–Wallis constant, while p indicates the significance level.
Tree species diversity influences AgB, with the particularities presented below. For habitat type 91V0, the highest means of AgB (about 260 tonnes per hectare) occur when D is between 1.4 and 3.0 (Figure 10a). If considering habitat type 9110, in all SPs the D index values are higher than 1.4 (Figure 10b). A similarly negative trend is recorded for habitat type 9410 (Figure 10c), even though this is reversed for D classes above 2.21.
The relationship between tree size heterogeneity and AgB, analyzed separately per habitat type, showed relatively similar trends as for all 193 SPs (Figure 6c). Thus, in the case of habitat type 91V0 (Figure 10d), the linear positive trend between tree size heterogeneity on Gini index classes and AgB is maintained.
The reduced number of SPs and Gini index classes recorded in the case of the 9110 habitat type have led to non-conclusive results. For this habitat type, the intact temperate forests are characterized by a high size heterogeneity (0.51 < G < 0.80), while the AgB is more stable and less influenced by the tree size heterogeneity (250 < AgB < 315 tonnes per hectare).
In the case of habitat type 9410, the relationship between tree size heterogeneity and AgB is affected by the larger heterogeneity of tree size achieved in natural conditions (Gini index per SP between 0.21 and 0.90) (Figure 10f).
4. Discussion
4.1. Tree Species/Size Diversity and AgB Relations
Tree species/size diversity was found to be influenced by topographical parameters. In the case of elevation, there is a significant decrease in diversity towards higher altitudes, the diversity reaching a maximum between 800 and 1200 m, with a sudden decline over 1200 m. The pattern is consistent with other findings in the literature, showing that the biodiversity–elevation relationship is modulated by soil parameters and available water capacity [82]. Additionally, [52] found that the tree abundance, richness, and phylogenetic diversity first increased with increasing elevation, then reached maximum values at intermediate elevations, and finally decreased at the highest elevations. The reduced diversity values in the lower part of the study site are partially explained by the more recent silvicultural interventions (last one in 2000, in the buffer area of the UNESCO site), which increased the proportion of coniferous [65].
Similar patterns are shown by the relationship between diversity and slope, which is not linear; the maximum number of species being found in the slope range between 20 and 40 degrees, while tree species diversity is maximum at slopes between 60 and 70 degrees. This is explained by the low declivity areas that are occupied by the dominant species (spruce, fir and beech) and the steeper slopes constrain the distribution of trees of different species between adequate microhabitats. Less favorable conditions for forest vegetation were previously proven to heighten the tree diversity and its contribution to the increase in productivity [83]. This pattern can also be explained by the fewer resources on steep slopes due to shallow soils [84]. In such cases, the main species leave room for less demanding species, which compensate less nutrients with more light, due to a different use of canopy space. The effect of aspect was found to be less important in the variation in biodiversity parameters and AgB, which is characteristic for temperate forests [82], but it was shown to be different in more arid environments [56], where aspect controls diversity and density both for mature stands and regeneration.
The size heterogeneity decreases with elevation, with significant differences between core area of UNESCO site (low-intermediate elevations) and the upper part of the study site, where the spruce forest stands tend to be naturally more homogenous [85,86]. The effects of the aspect and slope on size heterogeneity are less visible, since such microclimate indirect variables might be complementary in terms of nutrients [87] or soil moisture availability [44] and, in such cases, it becomes difficult to accurately distinguish the single variable influence on trees’ diversity or AgB.
4.2. Aboveground Biomass and Topographical Parameters
Knowing that environmental variation is a key regulator of AgB in forests [88], we investigated how solar radiation and topographic heterogeneity in elevation, slope and aspect indirectly influence the AgB. We could not infer a significant effect of the solar radiation on sample plot features, even though there is a significant gradient of radiation. Such relationships are mentioned in the literature especially in tropical forests, where this parameter is used to explain the decrease in productivity and stock along an altitudinal gradient [49].
The fact that the studied forests stretch over a relatively compact area with a limited elevation range did not allow us to check the way solar radiation influences tree size heterogeneity and AgB. Even though there is a slight decrease in tree species diversity with the increase in solar radiation, radiation use efficiency cannot be considered a primary factor to predict productivity and AgB in the study area as, for example, in studies conducted in Norway spruce stands [89]. Additionally, the reduced effect of slope aspect on AgB could be explained by the species behavior (both silver fir and beech are highly shade-tolerant) and the compensation of radiation differences with a satisfactory water regime [82].
The variation in AgB with topographical parameters follows a complex pattern, related also to the type of habitat. In terms of aspect–AgB relationship, our findings are similar with those obtained by [56], who observed that carbon stocks did not differ between aspects.
There is a significant decrease in AgB towards higher altitudes (above 1300 m), reaching very low values above 1500 m, similar to the observations made by [54], who conclude that tree biomass is highest at intermediate elevation in the montane belt. Such variation is also accompanied by shifts in composition towards stands with one or two species in composition, mainly due to limitations determined by lower temperatures during the growing season. The relationship between altitude and AgB could be used to upscale biomass assessments across wider ranges, as elevation is mentioned in the literature as a top contributor to explaining the biomass variation between topographical parameters [90]. Previous studies also explained that the relationship between elevation and AgB is in some cases monotonic [91] or, in other cases, unimodal, with a peak of biomass within certain altitudinal range, in forests without peak consumers [92].
4.3. Tree Diversity Influence on Aboveground Biomass
The relationship between AgB and diversity is complex and non-linear. The maximum biomass is found in plots with three species and intermediate diversity, somewhat in contradiction to the findings of [93], who mention the complex relationship between biodiversity and biomass, but with a general positive correlation. The pattern is explained by the relatively high biodiversity of plots found on steep slopes, where the scarcity of water and nutrients reduces the productivity and wood stock.
There is a positive trend between the AgB and tree size heterogeneity observed in the plots established in the core part of the UNESCO site, where the uneven-aged structure of the forest stands (G > 0.5) is decisive for the high biomass stock. Species diversity seems to be a good predictor for AgB due to functional variation brought about by more species that are able to take advantage of complementarity mechanisms such as niche partitioning [83].
5. Conclusions
Intact forests represent complex ecosystems to be scientifically exploited, as a source of information for studying bio-ecological processes and a potential model for close-to-nature forestry. We compiled data collected from natural forests in order to figure out the complex relationships between diversity, biomass and terrain conditions across different habitats.
The relationship between the aboveground woody biomass and elevation, slope and tree species diversity in intact forests represents a benchmark for managing secondary forests, especially in the context of climate change, when the effects of the environmental factors could be altered by a defective silviculture.
The biomass of highly diverse and undisturbed temperate forests can be considered a target for cultivated forests, aiming to enhance wood provisioning while optimizing species and size diversity. The analyzed relationships highlighted the optimum levels of tree species diversity and trees size heterogeneity that enable modelling the biomass within a well-defined set of conditions.
We revealed the importance of habitat type in galvanizing the effect of topographical parameters on the aboveground biomass of the living trees, as well as the potential species diversity of each habitat type. These relationships are complex and require the separation of the input data on habitat types and classes established for each parameter.
The applicability of our findings in different locations should be handled with caution, considering the site specificity including management background. Collecting similar data from sites located in different vegetation belts would complete the results, allowing the extension of variation patterns identified based on our dataset.
The outcomes open up further research opportunities that could approach the role of microclimate and soil nutrients in deciphering the complex relationship between topographical parameters, tree diversity and aboveground biomass. The following questions could be addressed to further our results: to what extent an effective policy to monitor biodiversity and AgB can rely on the Gini index? Or, even bolder, how forest ecosystems can be steered in order to produce future stands with optimal structural heterogeneity? The second question was partially addressed, but our results can be used to extend the previous findings, in order to identify the optimal values of the Gini index in terms of both high diversity and high biomass.
Author Contributions
Conceptualization, G.D. and I.B.; Data curation, G.D.; Formal analysis, G.D., I.B., A.M., M.-L.D. and M.D.; Funding acquisition, G.D., V.-C.C. and I.-C.D.; Investigation, G.D., I.B., D.A., C.-O.B., V.-C.C., I.-C.D., A.M. and M.D.; Methodology, G.D., I.B., D.A., M.-L.D. and V.-C.C.; Project administration, G.D.; Resources, G.D. and I.B.; Software, G.D., I.B., M.-L.D. and V.-C.C.; Supervision, G.D. and I.B.; Validation, G.D., I.B., D.A., C.-O.B., V.-C.C., I.-C.D., A.M., M.-L.D. and M.D.; Visualization, I.B.; Writing—original draft, G.D., I.B., D.A., C.-O.B., V.-C.C., I.-C.D., A.M.and M.D.; Writing—review and editing, G.D., I.B., M.-L.D. and V.-C.C. All authors have read and agreed to the published version of the manuscript.
Funding
This research was funded through the contract number 9784/2014. The contribution of Vasile-Cosmin Coşofreţ was funded through the European H2020 Grant 817903 EFFECT. The work of Iulian-Constantin Dănilă was supported by a grant of the Ministry of Research, Innovation and Digitization, CNCS/CCCDI—UEFISCDI, project number PN-III-P1-1.1-PD-2019-0388, within PNCDI III.
Institutional Review Board Statement
Not applicable.
Informed Consent Statement
Not applicable.
Data Availability Statement
Online data sources and software platformes World Imagery Sources: Esri, DigitalGlobe, GeoEye, i-cubed, USDA FSA, USGS, AEX, Getmapping, Aerogrid, IGN, IGP, swisstopo, and the GIS User Community.
Acknowledgments
We wish to thank the three anonymous reviewers for their valuable and constructive recommendations, which contributed to the improvement of the paper.
Conflicts of Interest
The authors declare no conflict of interest. The funders had no role in the design of the study; in the collection, analyses, or interpretation of data; in the writing of the manuscript, or in the decision to publish the results.
References
- Watson, J.E.M.; Evans, T.; Venter, O.; Williams, B.; Tulloch, A.; Stewart, C.; Thompson, I.; Ray, J.C.; Murray, K.; Salazar, A.; et al. The exceptional value of intact forest ecosystems. Nat. Ecol. Evol. 2018, 2, 599–610. [Google Scholar] [CrossRef] [PubMed]
- Lähde, E.; Eskelinen, T.; Väänänen, A. Growth and diversity effects of silvicultural alternatives on an old-growth forest in Finland. For. Int. J. For. Res. 2002, 75, 395–400. [Google Scholar] [CrossRef] [Green Version]
- Pastur, G.M.; Lencinas, M.V.; Cellini, J.M.; Peri, P.L.; Soler Esteban, R. Timber management with variable retention in Nothofagus pumilio forests of Southern Patagonia. For. Ecol. Manag. 2009, 258, 436–443. [Google Scholar] [CrossRef]
- Brunet, J.; Örjan, F.; Richnau, G. Biodiversity in European beech forests—A review with recommendations for sustainable forest management. Ecol. Bull. 2010, 53, 77–94. [Google Scholar]
- Larson, A.J.L.J.; Franklin, J.F.F.F. The tree mortality regime in temperate old-growth coniferous forests: The role of physical damage. Can. J. For. Res. 2010, 40, 2091–2103. [Google Scholar] [CrossRef] [Green Version]
- Pastur, G.J.M.; Peri, P.L.; Cellini, J.M.; Lencinas, M.V.; Barrera, M.; Ivancich, H. Canopy structure analysis for estimating forest regeneration dynamics and growth in Nothofagus pumilio forests. Ann. For. Sci. 2011, 68, 587–594. [Google Scholar] [CrossRef]
- Foster, D.R.; Orwig, D.A.; McLachlan, J.S. Ecological and conservation insights from reconstructive studies of temperate old-growth forests. Trends Ecol. Evol. 1996, 11, 419–424. [Google Scholar] [CrossRef]
- Sabatini, F.M.; Burrascano, S.; Keeton, W.S.; Levers, C.; Lindner, M.; Pötzschner, F.; Verkerk, P.J.; Bauhus, J.; Buchwald, E.; Chaskovsky, O.; et al. Where are Europe’s last primary forests? Divers. Distrib. 2018, 24, 1426–1439. [Google Scholar] [CrossRef] [Green Version]
- Nikolov, S.C. Effect of stand age on bird communities in late-successional Macedonian pine forests in Bulgaria. For. Ecol. Manag. 2009, 257, 580–587. [Google Scholar] [CrossRef]
- Zemanová, L.; Trotsiuk, V.; Morrissey, R.C.; Bače, R.; Mikoláš, M.; Svoboda, M. Old trees as a key source of epiphytic lichen persistence and spatial distribution in mountain Norway spruce forests. Biodivers. Conserv. 2017, 26, 1943–1958. [Google Scholar] [CrossRef]
- Zhou, G.; Liu, S.; Li, Z.; Zhang, D.; Tang, X.; Zhou, C.; Yan, J.; Mo, J. Old-growth forests can accumulate carbon in soils. Science 2006, 314, 1417. [Google Scholar] [CrossRef] [PubMed] [Green Version]
- Seedre, M.; Kopáček, J.; Janda, P.; Bače, R.; Svoboda, M. Carbon pools in a montane old-growth Norway spruce ecosystem in Bohemian Forest: Effects of stand age and elevation. For. Ecol. Manag. 2015, 346, 106–113. [Google Scholar] [CrossRef]
- Meyer, P. Network of Strict Forest Reserves as reference system for close to nature forestry in Lower Saxony, Germany|Request PDF. For. Snow Landsc. Res. 2005, 33–44. [Google Scholar]
- Nagel, T.A.; Mikac, S.; Dolinar, M.; Klopcic, M.; Keren, S.; Svoboda, M.; Diaci, J.; Boncina, A.; Paulic, V. The natural disturbance regime in forests of the Dinaric Mountains: A synthesis of evidence. For. Ecol. Manag. 2017, 388, 29–42. [Google Scholar] [CrossRef]
- Paquette, A.; Messier, C. The effect of biodiversity on tree productivity: From temperate to boreal forests. Glob. Ecol. Biogeogr. 2011, 20, 170–180. [Google Scholar] [CrossRef] [Green Version]
- Liang, J.; Crowther, T.W.; Picard, N.; Wiser, S.; Zhou, M.; Alberti, G.; Schulze, E.D.; McGuire, A.D.; Bozzato, F.; Pretzsch, H.; et al. Positive biodiversity-productivity relationship predominant in global forests. Science 2016, 354, 8957. [Google Scholar] [CrossRef] [Green Version]
- Van Der Plas, F.; Manning, P.; Allan, E.; Scherer-Lorenzen, M.; Verheyen, K.; Wirth, C.; Zavala, M.A.; Hector, A.; Ampoorter, E.; Baeten, L.; et al. Jack-of-all-trades effects drive biodiversity-ecosystem multifunctionality relationships in European forests. Nat. Commun. 2016, 7, 11109. [Google Scholar] [CrossRef] [Green Version]
- Bohn, F.J.; Huth, A. The importance of forest structure to biodiversity–productivity relationships. R. Soc. Open Sci. 2016, 4, 160521. [Google Scholar] [CrossRef] [PubMed] [Green Version]
- Ruiz-Benito, P.; Ratcliffe, S.; Jump, A.S.; Gómez-Aparicio, L.; Madrigal-González, J.; Wirth, C.; Kändler, G.; Lehtonen, A.; Dahlgren, J.; Kattge, J.; et al. Functional diversity underlies demographic responses to environmental variation in European forests. Glob. Ecol. Biogeogr. 2017, 26, 128–141. [Google Scholar] [CrossRef] [Green Version]
- Ammer, C. Diversity and forest productivity in a changing climate. New Phytol. 2019, 221, 50–66. [Google Scholar] [CrossRef] [Green Version]
- Brun, P.; Zimmermann, N.E.; Graham, C.H.; Lavergne, S.; Pellissier, L.; Münkemüller, T.; Thuiller, W. The productivity-biodiversity relationship varies across diversity dimensions. Nat. Commun. 2019, 10, 1–11. [Google Scholar] [CrossRef] [Green Version]
- Loreau, M.; Hector, A. Partitioning selection and complementarity in biodiversity experiments. Nature 2001, 412, 72–76. [Google Scholar] [CrossRef]
- Loreau, M.; Hector, A. Not even wrong: Comment by Loreau and Hector. Ecology 2019, 100, e02794. [Google Scholar] [CrossRef] [PubMed]
- Pillai, P.; Gouhier, T.C. Not even wrong: The spurious measurement of biodiversity’s effects on ecosystem functioning. Ecology 2019, 100, e02645. [Google Scholar] [CrossRef] [Green Version]
- Pillai, P.; Gouhier, T.C. Not even wrong: Reply to Loreau and Hector. arXiv 2019, arXiv:1910.13563. [Google Scholar]
- Pillai, P.; Gouhier, T.C. Not even wrong: Reply to Wagg et al. arXiv 2019, arXiv:1910.13670. [Google Scholar]
- Wagg, C.; Barry, K.E.; O’Brien, M.J.; McKenzie-Gopsill, A.; Roscher, C.; Eisenhauer, N.; Schmid, B. Not even wrong: Comment by Wagg et al. Ecology 2019, 100, e02805. [Google Scholar] [CrossRef]
- Naeem, S.; Duffy, J.E.; Zavaleta, E. The functions of biological diversity in an age of extinction. Science 2012, 336, 1401–1406. [Google Scholar] [CrossRef] [Green Version]
- Ruiz-Benito, P.; Gómez-Aparicio, L.; Paquette, A.; Messier, C.; Kattge, J.; Zavala, M.A. Diversity increases carbon storage and tree productivity in Spanish forests. Glob. Ecol. Biogeogr. 2014, 23, 311–322. [Google Scholar] [CrossRef]
- Dellasala, D.A.; Kormos, C.F.; Keith, H.; Mackey, B.; Young, V.; Rogers, B.; Mittermeier, R.A. Primary Forests Are Undervalued in the Climate Emergency. Bioscience 2020, 70, 445. [Google Scholar] [CrossRef]
- Vilà, M.; Carrillo-Gavilán, A.; Vayreda, J.; Bugmann, H.; Fridman, J.; Grodzki, W.; Haase, J.; Kunstler, G.; Schelhaas, M.; Trasobares, A. Disentangling Biodiversity and Climatic Determinants of Wood Production. PLoS ONE 2013, 8, e53530. [Google Scholar] [CrossRef] [Green Version]
- Ratcliffe, S.; Wirth, C.; Jucker, T.; Plas, F. van der; Scherer-Lorenzen, M.; Verheyen, K.; Allan, E.; Benavides, R.; Bruelheide, H.; Ohse, B.; et al. Biodiversity and ecosystem functioning relations in European forests depend on environmental context. Ecol. Lett. 2017, 20, 1414–1426. [Google Scholar] [CrossRef]
- Baritz, R.; Seufert, G.; Montanarella, L.; Van Ranst, E. Carbon concentrations and stocks in forest soils of Europe. For. Ecol. Manag. 2010, 260, 262–277. [Google Scholar] [CrossRef]
- Luyssaert, S.; Marie, G.; Valade, A.; Chen, Y.Y.; Njakou Djomo, S.; Ryder, J.; Otto, J.; Naudts, K.; Lansø, A.S.; Ghattas, J.; et al. Trade-offs in using European forests to meet climate objectives. Nature 2018, 562, 259–262. [Google Scholar] [CrossRef]
- Bodin, P.; Wiman, B.L.B. The usefulness of stability concepts in forest management when coping with increasing climate uncertainties. For. Ecol. Manag. 2007, 242, 541–552. [Google Scholar] [CrossRef]
- Oikonomakis, N.; Ganatsas, P. Land cover changes and forest succession trends in a site of Natura 2000 network (Elatia forest), in northern Greece. For. Ecol. Manag. 2012, 285, 153–163. [Google Scholar] [CrossRef]
- Silva Pedro, M.; Rammer, W.; Seidl, R. Tree species diversity mitigates disturbance impacts on the forest carbon cycle. Oecologia 2014, 177, 619–630. [Google Scholar] [CrossRef]
- Silva Pedro, M.; Rammer, W.; Seidl, R. Disentangling the effects of compositional and structural diversity on forest productivity. J. Veg. Sci. 2017, 28, 649–658. [Google Scholar] [CrossRef]
- Dănescu, A.; Albrecht, A.T.; Bauhus, J. Structural diversity promotes productivity of mixed, uneven-aged forests in southwestern Germany. Oecologia 2016, 182, 319–333. [Google Scholar] [CrossRef]
- Tahvonen, O.; Pukkala, T.; Laiho, O.; Lähde, E.; Niinimäki, S. Optimal management of uneven-aged Norway spruce stands. For. Ecol. Manag. 2010, 260, 106–115. [Google Scholar] [CrossRef]
- Schall, P.; Schulze, E.D.; Fischer, M.; Ayasse, M.; Ammer, C. Relations between forest management, stand structure and productivity across different types of Central European forests. Basic Appl. Ecol. 2018, 32, 39–52. [Google Scholar] [CrossRef]
- Schall, P.; Gossner, M.M.; Heinrichs, S.; Fischer, M.; Boch, S.; Prati, D.; Jung, K.; Baumgartner, V.; Blaser, S.; Böhm, S.; et al. The impact of even-aged and uneven-aged forest management on regional biodiversity of multiple taxa in European beech forests. J. Appl. Ecol. 2018, 55, 267–278. [Google Scholar] [CrossRef] [Green Version]
- Liu, Z.; Zhu, Y.; Wang, J.; Ma, W.; Meng, J. Species association of the dominant tree species in an old-growth forest and implications for enrichment planting for the restoration of natural degraded forest in subtropical China. Forests 2019, 10, 957. [Google Scholar] [CrossRef] [Green Version]
- Ammer, C. Unraveling the Importance of Inter- and Intraspecific Competition for the Adaptation of Forests to Climate Change. In Progress in Botany; Cánovas, F.M., Lüttge, U.M.R., Eds.; Springer: Cham, Switzerland, 2016; pp. 345–367. [Google Scholar]
- Ehbrecht, M.; Schall, P.; Ammer, C.; Seidel, D. Quantifying stand structural complexity and its relationship with forest management, tree species diversity and microclimate. Agric. For. Meteorol. 2017, 242, 1–9. [Google Scholar] [CrossRef]
- Gough, C.M.; Atkins, J.W.; Fahey, R.T.; Hardiman, B.S. High rates of primary production in structurally complex forests. Ecology 2019, 100, e02864. [Google Scholar] [CrossRef] [Green Version]
- Jucker, T.; Avăcăritei, D.; Bărnoaiea, I.; Duduman, G.; Bouriaud, O.; Coomes, D.A. Climate modulates the effects of tree diversity on forest productivity. J. Ecol. 2016, 104, 12522. [Google Scholar] [CrossRef] [Green Version]
- Duduman, G.; Roibu, C.-C.; Duduman, M.-L.; Miron-Onciul, M. The influence of competition and dimensional- spatial characteristics of trees on their radial growth in Old-Growth Slătioara forest, Romania. Adv. Environ. Sci.–Int. J. Bioflux Soc. 2010, 2, 215–230. [Google Scholar]
- Fyllas, N.M.; Bentley, L.P.; Shenkin, A.; Asner, G.P.; Atkin, O.K.; Díaz, S.; Enquist, B.J.; Farfan-Rios, W.; Gloor, E.; Guerrieri, R.; et al. Solar radiation and functional traits explain the decline of forest primary productivity along a tropical elevation gradient. Ecol. Lett. 2017, 20, 730–740. [Google Scholar] [CrossRef]
- Leathwick, J.R.; Burns, B.R.; Clarkson, B.D. Environmental correlates of tree alpha-diversity in New Zealand primary forests. Ecography 1998, 21, 235–246. [Google Scholar] [CrossRef]
- Stevens, G.C. The Latitudinal Gradient in Geographical Range: How so Many Species Coexist in the Tropics. Am. Nat. 1989, 133, 240–256. [Google Scholar] [CrossRef]
- Zhu, Z.X.; Nizamani, M.M.; Sahu, S.K.; Kunasingam, A.; Wang, H.F. Tree abundance, richness, and phylogenetic diversity along an elevation gradient in the tropical forest of Diaoluo Mountain in Hainan, China. Acta Oecol. 2019, 101, 103481. [Google Scholar] [CrossRef]
- Leuschner, C.; Moser, G.; Bertsch, C.; Röderstein, M.; Hertel, D. Large altitudinal increase in tree root/shoot ratio in tropical mountain forests of Ecuador. Basic Appl. Ecol. 2007, 8, 219–230. [Google Scholar] [CrossRef]
- Ensslin, A.; Rutten, G.; Pommer, U.; Zimmermann, R.; Hemp, A.; Fischer, M. Effects of elevation and land use on the biomass of trees, shrubs and herbs at Mount Kilimanjaro. Ecosphere 2015, 6, 1–15. [Google Scholar] [CrossRef] [Green Version]
- Khadanga, S.S.; Jayakumar, S. Tree biomass and carbon stock: Understanding the role of species richness, elevation, and disturbance. Trop. Ecol. 2020, 61, 128–141. [Google Scholar] [CrossRef]
- Måren, I.E.; Karki, S.; Prajapati, C.; Yadav, R.K.; Shrestha, B.B. Facing north or south: Does slope aspect impact forest stand characteristics and soil properties in a semiarid trans-Himalayan valley? J. Arid Environ. 2015, 121, 112–123. [Google Scholar] [CrossRef] [Green Version]
- Xue, R.; Yang, Q.; Miao, F.; Wang, X.; Shen, Y.; Xue, R.; Yang, Q.; Miao, F.; Wang, X.; Shen, Y. Slope aspect influences plant biomass, soil properties and microbial composition in alpine meadow on the Qinghai-Tibetan plateau. J. Soil Sci. Plant Nutr. 2018, 18, 1–12. [Google Scholar] [CrossRef]
- den Dubbelden, K.C.; Knops, J.M.H. The Effect of Competition and Slope Inclination on Aboveground Biomass Allocation of Understorey Ferns in Subtropical Forest. Oikos 1993, 67, 285. [Google Scholar] [CrossRef]
- Duduman, G.; Duduman, M.-L.; Avăcăriței, D.; Barnoaiea, I.; Barbu, C.-O.; Ciornei, I.; Clinovschi, F.; Coșofreț, V.C.; Cotos, M.-G.; Dănilă, G.; et al. A Permanent Research Platform for Ecological Studies in Intact Temperate Mountainous Forests from Slătioara UNESCO Site and Its Surroundings, Romania. Forests 2020, 11, 1004. [Google Scholar] [CrossRef]
- Doniţã, N.; Paucã-Comãnescu, M.; Popescu, A.; Mihãilescu, S.; Biriş, I.-A. Habitatele din România; Editura Tehnicã Silvicã Bucureşti: Bucharest, Romania, 2005; ISBN 973-96-0-014-X. [Google Scholar]
- European Commission. Interpretation Manual of European Union Habitats—EUR 27; European Commission: Brussels, Belgium, 2007. [Google Scholar]
- Gafta, D.; Mountford, O. Manual de Interpretare a Habitatelor Natura 2000 din România; Gafta, D., Mountford, O., Eds.; Risoprint: Cluj-Napoca, Romania, 2008; ISBN 978-973-751-697-8. [Google Scholar]
- Anonymus. Anonymus. Forest Management Plan of Forest Management Unit VI Chiril. ICAS; Crucea Forest District, Suceava State Forest Administration: Bistrita, Romania, 2010. [Google Scholar]
- Anonymus. Forest Management Plan of Forest Management Unit I Rarău. ICAS; Pojorâta Forest District, Suceava State Forest Administration: Bistrita, Romania, 2014. [Google Scholar]
- Anonymus. Forest Management Plan of Forest Management Unit VIII Slătioara. NCDS „Marin Drăcea”; Stulpicani Forest District, Suceava State Forest Administration: Bistrita, Romania, 2016. [Google Scholar]
- Shannon, C.E. A Mathematical Theory of Communication. Bell Syst. Tech. J. 1948, 27, 379–423, 623–656. [Google Scholar] [CrossRef] [Green Version]
- Jost, L. Entropy and diversity. Oikos 2006, 113, 363–375. [Google Scholar] [CrossRef]
- Lexerød, N.L.; Eid, T. An evaluation of different diameter diversity indices based on criteria related to forest management planning. For. Ecol. Manag. 2006, 222, 17–28. [Google Scholar] [CrossRef]
- O’Hara, K.L.; Hasenauer, H.; Kindermann, G. Sustainability in multi-aged stands: An analysis of long-term plenter systems. Forestry 2007, 80, 163–181. [Google Scholar] [CrossRef] [Green Version]
- Duduman, G. A forest management planning tool to create highly diverse uneven-aged stands. Forestry 2011, 84, 301–314. [Google Scholar] [CrossRef]
- Gini, C. Variabilità e mutabilità. In Memorie di Metodologica Statistica; Pizetti, E.S.T., Ed.; Libreria Eredi Virgilio Veschi: Rome, Italy, 1995. [Google Scholar]
- Gini, C. Measurement of Inequality of Incomes. Econ. J. 1921, 31, 124. [Google Scholar] [CrossRef]
- Lorenz, M.O. Methods of Measuring the Concentration of Wealth. Publ. Am. Stat. Assoc. 1905, 9, 209. [Google Scholar] [CrossRef]
- Valbuena, R.; Packalen, P.; Mehtätalo, L.; García-Abril, A.; Maltamo, M. Characterizing forest structural types and shelterwood dynamics from Lorenz-based indicators predicted by airborne laser scanning. Can. J. For. Res. 2013, 43, 1063–1074. [Google Scholar] [CrossRef]
- Duduman, G. An Ecological Approach for Establishing the Allowable Cut in Forests Where Single Tree Selection System is Applied; Editura Universităţii Suceava: Suceava, Romania, 2009. (In Romanian) [Google Scholar]
- Baker, J.B.; Cain, M.D.; Guldin, J.M.; Murphy, P.A.; Shelton, M.G. Uneven-Aged Silviculture for the Loblolly and Shortleaf Pine Forest Cover Types; General Technical Report SO-1 18; USDA: Washington, DC, USA, 1996. [Google Scholar]
- Giurgiu, V.; Drăghiciu, D. Metode și Tabele Dendrometrice; Ceres Publishing House: Bucharest, Romania, 2004. [Google Scholar]
- Giurgiu, V.; Decei, I.; Drăghiciu, D. Modele Matematico-Auxologice şi Tabele de Producţie Pentru Arborete; Ceres Publishing House: Bucharest, Romania, 2004. [Google Scholar]
- Lê, S.; Josse, J.; Husson, F. FactoMineR: An R Package for Multivariate Analysis. J. Stat. Softw. 2008, 25, 1–18. [Google Scholar] [CrossRef] [Green Version]
- Zar, J.H. Biostatistical Analysis, 5th ed.; Pearson Prentice Hall: Hoboken, NJ, USA, 2010. [Google Scholar]
- A Language and Environment for Statistical Computing; R Foundation for Statistical Computing: Vienna, Austria, 2013.
- Kobler, J.; Zehetgruber, B.; Dirnböck, T.; Jandl, R.; Mirtl, M.; Schindlbacher, A. Effects of aspect and altitude on carbon cycling processes in a temperate mountain forest catchment. Landsc. Ecol. 2019, 34, 325–340. [Google Scholar] [CrossRef] [Green Version]
- Potter, K.M.; Woodall, C.W. Does biodiversity make a difference? Relationships between species richness, evolutionary diversity, and aboveground live tree biomass across U.S. forests. For. Ecol. Manag. 2014, 321, 117–129. [Google Scholar] [CrossRef] [Green Version]
- Sabatini, F.M.; Zanini, M.; Dowgiallo, G.; Burrascano, S. Multiscale heterogeneity of topsoil properties in southern European old-growth forests. Eur. J. For. Res. 2015, 134, 911–925. [Google Scholar] [CrossRef]
- Kuuluvainen, T.; Penttinen, A.; Leinonen, K.; Nygren, M. Statistical opportunities for comparing stand structural heterogeneity in managed and primeval forests: An example from boreal spruce forest in southern Finland. Silva Fenn. 1996, 30, 315–328. [Google Scholar] [CrossRef] [Green Version]
- Schütz, J.P. Close-to-nature silviculture: Is this concept compatible with species diversity? Forestry 1999, 72, 359–366. [Google Scholar] [CrossRef]
- Zhang, Y.; Chen, H.Y.H. Individual size inequality links forest diversity and above-ground biomass. J. Ecol. 2015, 103, 1245–1252. [Google Scholar] [CrossRef]
- Fotis, A.T.; Murphy, S.J.; Ricart, R.D.; Krishnadas, M.; Whitacre, J.; Wenzel, J.W.; Queenborough, S.A.; Comita, L.S. Above-ground biomass is driven by mass-ratio effects and stand structural attributes in a temperate deciduous forest. J. Ecol. 2018, 106, 561–570. [Google Scholar] [CrossRef]
- Krupková, L.; Marková, I.; Havránková, K.; Pokorný, R.; Urban, O.; Šigut, L.; Pavelka, M.; Cienciala, E.; Marek, M.V. Comparison of different approaches of radiation use efficiency of biomass formation estimation in Mountain Norway spruce. Trees 2017, 31, 325–337. [Google Scholar] [CrossRef]
- Salinas-Melgoza, M.A.; Skutsch, M.; Lovett, J.C. Predicting aboveground forest biomass with topographic variables in human-impacted tropical dry forest landscapes. Ecosphere 2018, 9, e02063. [Google Scholar] [CrossRef]
- Lieberman, D.; Lieberman, M.; Peralta, R.; Hartshorn, G.S. Tropical Forest Structure and Composition on a Large-Scale Altitudinal Gradient in Costa Rica. J. Ecol. 1996, 84, 137–152. [Google Scholar] [CrossRef]
- Marshall, A.R.; Willcock, S.; Platts, P.J.; Lovett, J.C.; Balmford, A.; Burgess, N.D.; Latham, J.E.; Munishi, P.K.T.; Salter, R.; Shirima, D.D.; et al. Measuring and modelling above-ground carbon and tree allometry along a tropical elevation gradient. Biol. Conserv. 2012, 154, 20–33. [Google Scholar] [CrossRef]
- Day, M.; Baldauf, C.; Rutishauser, E.; Sunderland, T.C.H. Relationships between tree species diversity and above-ground biomass in Central African rainforests: Implications for REDD. Environ. Conserv. 2014, 41, 64–72. [Google Scholar] [CrossRef] [Green Version]
Publisher’s Note: MDPI stays neutral with regard to jurisdictional claims in published maps and institutional affiliations. |
© 2021 by the authors. Licensee MDPI, Basel, Switzerland. This article is an open access article distributed under the terms and conditions of the Creative Commons Attribution (CC BY) license (https://creativecommons.org/licenses/by/4.0/).













