Fertilization and Tree Species Influence on Stable Aggregates in Forest Soil
Abstract
1. Introduction
1.1. Tree Species Influence on Aggregation
1.2. Acidity and Ionic Composition Influence on Aggregation
2. Materials and Methods
2.1. Site Description
2.2. Soil Sample Collection
2.3. Water-Stable Aggregate and Organic Matter Analyses
2.4. Data Analysis
3. Results
3.1. Clay Mineralogy
3.2. Bulk Soil OM, pH, and POXC by Watershed and Species
3.3. Total Sand-Free Aggregate Weight
3.4. Aggregate-Associated Organic Matter
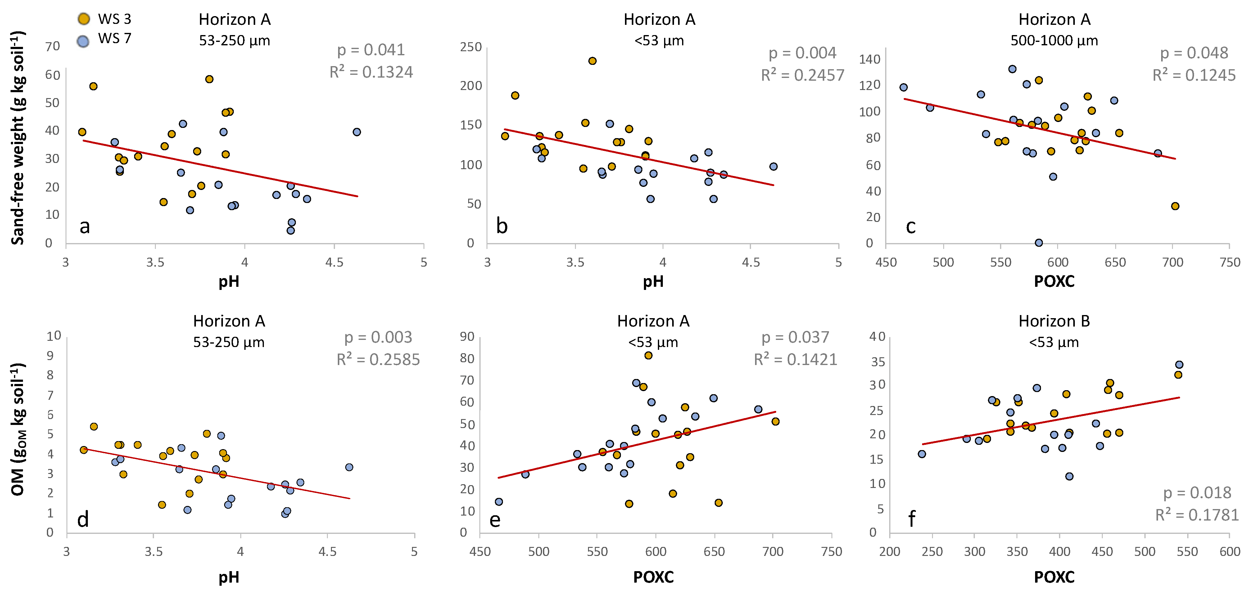
3.5. Relationship between Micro-Aggregate Proportion and pH or POXC
4. Discussion
4.1. Bulk Soil OM, pH, and POXC
4.2. Aggregate Weight
4.3. Aggregate-Associated Organic Matter
4.4. Relationship between pH, POXC, and Micro-Aggregate Size Fraction
5. Conclusions
Author Contributions
Funding
Institutional Review Board Statement
Informed Consent Statement
Data Availability Statement
Conflicts of Interest
Appendix A
| Aggregate Size Fraction | ||||||||
|---|---|---|---|---|---|---|---|---|
| Parameter | Soil Horizon | Factor | >2000 | 1000–2000 | 500–1000 | 250–500 | 53–250 | >53 |
| Aggregate sand-free weight (g kg−1 soil) | A | Watershed | 2.34 (0.019) | 0.89 (0.376) | 0.62 (0.534) | 0.58 (0.559) | −2.47 (0.014) | −3.75 (<0.001) |
| Species | 2.57 (0.462) | 3.19 (0.363) | 7.89 (0.048) | 11.26 (0.010) | 4.76 (0.190) | 2.21 (0.530) | ||
| Fungal Association | −0.89 (0.375) | −1.87 (0.235) | 2.24 (0.025) | 2.77 (0.006) | 1.68 (0.094) | 0 (1.000) | ||
| B | Watershed | 1.74 (0.082) | 4.28 (<0.001) | 3.49 (<0.001) | 0.24 (0.807) | −2.69 (0.007) | −4.35 (<0.001) | |
| Species | 3.08 (0.380) | 0.13 (0.988) | 0.43 (0.935) | 4.77 (0.189) | 1.56 (0.669) | 1.13 (0.771) | ||
| Fungal Association | 0.70 (0.485) | 0.32 (0.749) | −0.51 (0.611) | −1.94 (0.0523) | −0.89 (0.376) | 0.05 (0.955) | ||
| Aggregate OM (gOM kg−1 soil) | A | Watershed | 2.02 (0.043) | −0.17 (0.865) | −0.17 (0.865) | 0.09 (0.925) | −2.54 (0.011) | −0.18 (0.859) |
| Species | 2.57 (0.462) | 4.91 (0.178) | 1.21 (0.751) | 5.04 (0.168) | 3.41 (0.333) | 9.07 (0.028) | ||
| Fungal Association | −1.42 (0.157) | −1.79 (0.073) | 0.92 (0.356) | 1.94 (0.052) | 1.49 (0.137) | 1.01 (0.314) | ||
| B | Watershed | 1.49 (0.136) | 3.71 (<0.001) | 3.26 (0.001) | 1.87 (0.062) | −0.21 (0.836) | −1.88 (0.060) | |
| Species | 2.73 (0.435) | 0.42 (0.936) | 1.40 (0.705) | 4.53 (0.210) | 4.70 (0.195) | 1.55 (0.670) | ||
| Fungal Association | 0.59 (0.558) | −0.36 (0.720) | −0.58 (0.559) | −1.68 (0.094) | −1.11 (0.266) | −0.53 (0.594) | ||
References
- Elliot, E.T.; Coleman, D.C. Let the soil work for us. Ecol. Bull. 1988, 39, 23–32. [Google Scholar]
- Martin, J.P.; Martin, W.P.; Page, J.B.; Raney, W.A.; De Ment, J.D. Soil aggregation. In Advances in Agronomy; Norman, A.G., Ed.; Academic Press Inc.: New York, NY, USA, 1955; Volume 7, pp. 1–37. [Google Scholar]
- Tisdall, J.M.; Oades, J.M. Organic matter and water-stable aggregates in soils. Eur. J. Soil Sci. 1982, 33, 141–163. [Google Scholar] [CrossRef]
- Elliott, E.T. Aggregate Structure and carbon, nitrogen, and phosphorus in native and cultivated soils. Soil Sci. Soc. Am. J. 1986, 50, 627–633. [Google Scholar] [CrossRef]
- Jastrow, J.D. Soil aggregate formation and the accrual of particulate and mineral-associated organic matter. Soil Biol. Biochem. 1996, 28, 665–676. [Google Scholar] [CrossRef]
- Six, J.A.; Elliott, E.T.; Paustian, K. Soil macroaggregate turnover and microaggregate formation: A mechanism for C sequestration under no-tillage agriculture. Soil Biol. Biochem. 2000, 32, 2099–2103. [Google Scholar] [CrossRef]
- Miller, R.M.; Jastrow, J.D. Mycorrhizal fungi influence soil structure. In Arbuscular Mycorrhizas: Physiology and Function; Kapulnik, Y., Douds, D.D., Jr., Eds.; Springer: Dordrecht, The Netherlands, 2000; pp. 3–18. [Google Scholar] [CrossRef]
- Ranjard, L.; Poly, F.; Combrisson, J.; Richaume, A.; Gourbiere, F.; Thioulouse, J.; Nazaret, S. Heterogeneous cell density and genetic structure of bacterial pools associated with various soil microenvironments as determined by enumeration and DNA fingerprinting approach (RISA). Microb. Ecol. 2000, 39, 263–272. [Google Scholar] [CrossRef]
- Wilpiszeski, R.L.; Aufrecht, J.A.; Retterer, S.T.; Sullivan, M.B.; Graham, D.E.; Pierce, E.M.; Zablocki, O.D.; Palumbo, A.V.; Elias, D.A. Soil aggregate microbial communities: Towards understanding microbiome interactions at biologically relevant scales. Appl. Environ. Microbiol. 2019, 85, e00324-19. [Google Scholar] [CrossRef]
- Plante, A.F.; McGill, W.B. Soil aggregate dynamics and the retention of organic matter in laboratory-incubated soil with differing simulated tillage frequencies. Soil Tillage Res. 2002, 66, 79–92. [Google Scholar] [CrossRef]
- Mikha, M.M.; Rice, C.W. Tillage and manure effects on soil and aggregate-associated carbon and nitrogen. Soil Sci. Soc. Am. J. 2004, 68, 809–816. [Google Scholar] [CrossRef]
- Lynch, J.M.; Bragg, E. Microorganisms and soil aggregate stability. In Advances in Soil Science; Stewart, B.A., Ed.; Springer: New York, NY, USA, 1985; pp. 133–171. [Google Scholar] [CrossRef]
- Denef, K.; Six, J.A.; Merckx, R.; Paustian, K. Short-term effects of biological and physical forces on aggregate formation in soils with different clay minerology. Plant Soil 2002, 246, 185–200. [Google Scholar] [CrossRef]
- Tombácz, E.; Libor, Z.; Illes, E.; Majzik, A.; Klumpp, E. The role of reactive surface sites and complexation by humic acids in the interaction of clay mineral and iron oxide particles. Org. Geochem. 2004, 35, 257–267. [Google Scholar] [CrossRef]
- Hepper, E.N.; Buschiazzo, D.E.; Hevia, G.G.; Urioste, A.; Antón, L. Clay mineralogy, cation exchange capacity and specific surface area of loess soils with different volcanic ash contents. Geoderma 2006, 135, 216–223. [Google Scholar] [CrossRef]
- Chapman, S.K.; Langley, J.A.; Hart, S.C.; Koch, G.W. Plants actively control nitrogen cycling: Uncorking the microbial bottleneck. New Phytol. 2006, 169, 27–34. [Google Scholar] [CrossRef] [PubMed]
- Cotrufo, M.F.; Wallenstein, M.D.; Boot, C.M.; Denef, K.; Paul, E. The Microbial Efficiency-Matrix Stabilization (MEMS) framework integrates plant litter decomposition with soil organic matter stabilization: Do labile plant inputs form stable soil organic matter? Glob. Chang. Biol. 2013, 19, 988–995. [Google Scholar] [CrossRef]
- Midgley, M.G.; Brzostek, E.; Phillips, R.P. Decay rates of leaf litters from arbuscular mycorrhizal trees are more sensitive to soil effects than litters from ectomycorrhizal trees. J. Ecol. 2015, 103, 1454–1463. [Google Scholar] [CrossRef]
- Craig, M.E.; Turner, B.L.; Liang, C.; Clay, K.; Johnson, D.J.; Phillips, R.P. Tree mycorrhizal type predicts within-site variability in the storage and distribution of soil organic matter. Glob. Chang. Biol. 2018, 24, 3317–3330. [Google Scholar] [CrossRef]
- Pritsch, K.; Garbaye, J. Enzyme secretion by ECM fungi and exploitation of mineral nutrients from soil organic matter. Ann. For. Sci. 2011, 68, 25–32. [Google Scholar] [CrossRef]
- Rillig, M.C.; Wright, S.F.; Eviner, V.T. The role of arbuscular mycorrhizal fungi and glomalin in soil aggregation: Comparing effects of five plant species. Plant Soil 2002, 238, 325–333. [Google Scholar] [CrossRef]
- Leifheit, E.F.; Veresoglou, S.D.; Lehmann, A.; Morris, E.K.; Rillig, M.C. Multiple factors influence the role of arbuscular mycorrhizal fungi in soil aggregation—a meta-analysis. Plant Soil 2014, 374, 523–537. [Google Scholar] [CrossRef]
- Piotrowski, J.S.; Denich, T.; Klironomos, J.N.; Graham, J.M.; Rillig, M.C. The effects of arbuscular mycorrhizas on soil aggregation depend on the interaction between plant and fungal species. New Phytol. 2004, 164, 365–373. [Google Scholar] [CrossRef]
- Jastrow, J.D.; Miller, R.M. Soil aggregate stabilization and carbon sequestration: Feedbacks through organomineral associations. In Soil Processes and the Carbon Cycle; Lal, R., Kimble, J.M., Follett, R.F., Stewart, B.A., Eds.; CRC Press: Boca Raton, FL, USA, 1997; p. 207. [Google Scholar]
- Waksman, S.A.; Martin, J.P. The role of microorganisms in the conservation of the soil. Science 1939, 90, 304–305. [Google Scholar] [CrossRef] [PubMed]
- Harris, R.F.; Chesters, G.; Allen, O.N. Dynamics of soil aggregation. In Advances in Agronomy; Norman, A.G., Ed.; Academic Press Inc.: New York, NY, USA, 1966; Volume 18, pp. 107–169. [Google Scholar] [CrossRef]
- Zhang, Y.; Mathur, R.; Bash, J.O.; Hogrefe, C.; Xing, J.; Roselle, S.J. Long-term trends in total inorganic nitrogen and sulfur deposition in the US from 1990 to 2010. Atmos. Chem. Phys. 2018, 18, 9091. [Google Scholar] [CrossRef]
- Driscoll, C.T.; Lawrence, G.B.; Bulger, A.J.; Butler, T.J.; Cronan, C.S.; Eagar, C.; Lambert, K.F.; Likens, G.E.; Stoddard, J.L.; Weathers, K.C. Acidic Deposition in the Northeastern United States: Sources and Inputs, Ecosystem Effects, and Management Strategies: The effects of acidic deposition in the northeastern United States include the acidification of soil and water, which stresses terrestrial and aquatic biota. BioScience 2001, 51, 180–198. [Google Scholar] [CrossRef]
- Söderström, B.; Bååth, E.; Lundgren, B. Decrease in soil microbial activity and biomasses owing to nitrogen amendments. Can. J. Microbiol. 1983, 29, 1500–1506. [Google Scholar] [CrossRef]
- Treseder, K.K. Nitrogen additions and microbial biomass: A meta-analysis of ecosystem studies. Ecol. Lett. 2008, 11, 1111–1120. [Google Scholar] [CrossRef]
- Carrara, J.E.; Walter, C.A.; Hawkins, J.S.; Peterjohn, W.T.; Averill, C.; Brzostek, E.R. Interactions among plants, bacteria, and fungi reduce extracellular enzyme activities under long-term N fertilization. Glob. Chang. Biol. 2018, 24, 2721–2734. [Google Scholar] [CrossRef]
- Zak, D.R.; Argiroff, W.A.; Freedman, Z.B.; Upchurch, R.A.; Entwistle, E.M.; Romanowicz, K.J. Anthropogenic N deposition, fungal gene expression, and an increasing soil carbon sink in the Northern Hemisphere. Ecology 2019, 100, e02804. [Google Scholar] [CrossRef]
- DeForest, J.L.; Zak, D.R.; Pregitzer, K.S.; Burton, A.J. Atmospheric Nitrate Deposition, Microbial Community Composition, and Enzyme Activity in Northern Hardwood Forests. Soil Sci. Soc. Am. J. 2004, 68, 132–138. [Google Scholar] [CrossRef]
- Stătescu, F.; Zaucă, D.C.; Pavel, L.V. Soil structure and water-stable aggregates. Environ. Eng. Manag. J. 2013, 12, 741–746. [Google Scholar] [CrossRef]
- Haynes, R.; Naidu, R. Influence of lime, fertilizer and manure applications on soil organic matter content and soil physical conditions: A review. Nutr. Cycl. Agroecosys. 1998, 51, 123–137. [Google Scholar] [CrossRef]
- Boix-Fayos, C.; Calvo-Cases, A.; Imeson, A.C.; Soriano-Soto, M.D. Influence of soil properties on the aggregation of some Mediterranean soils and the use of aggregate size and stability as land degradation indicators. Catena 2001, 44, 47–67. [Google Scholar] [CrossRef]
- Bronick, C.J.; Lal, R. Soil structure and management: A review. Geoderma 2005, 124, 3–22. [Google Scholar] [CrossRef]
- Heil, D.; Sposito, G. Organic matter role in illitic soil colloids flocculation: I. Counter ions and pH. Soil Sci. Soc. Am. J. 1993, 57, 1241–1246. [Google Scholar] [CrossRef]
- Emerson, W.W.; Greenland, D.J. Soil aggregates—formation and stability. In Soil Colloids and Their Associations in Aggregates; De Boodt, M.F., Hayes, M.H.B., Herbillon, A., de Strooper, E.B.A., Tuck, J.J., Eds.; Springer: Boston, MA, USA, 1990; pp. 485–511. [Google Scholar] [CrossRef]
- Groffman, P.M.; Driscoll, C.T.; Durán, J.; Campbell, J.L.; Christenson, L.M.; Fahey, T.J.; Fisk, M.C.; Fuss, C.; Likens, G.E.; Lovett, G.; et al. Nitrogen oligotrophication in northern hardwood forests. Biogeochemistry 2018, 141, 523–539. [Google Scholar] [CrossRef]
- Kochenderfer, J.N. Fernow and the Appalachian hardwood region. In The Fernow Watershed Acidification Study; Adams, M.B., DeWalle, D.R., Hom, J.L., Eds.; Springer: Dordrecht, The Netherlands, 2007; pp. 17–39. [Google Scholar] [CrossRef]
- Web Soil Survey. Available online: http://websoilsurvey.sc.egov.usda.gov/ (accessed on 30 April 2020).
- Ditzler, C.; Scheffe, K.; Monger, H.C. Soil Science Division Staff. Soil survey manual. In USDA Handbook 18; Government Printing Office: Washington, DC, USA, 2017. [Google Scholar]
- Lusk, M.G. Sulfate Dynamics and Base Cation Release in a High Elevation Appalachian Forest Soil. Ph.D. Thesis, Virginia Polytechnic Institute and State University, Blacksburg, VA, USA, 1998. [Google Scholar]
- Adams, M.B.; DeWalle, D.R.; Hom, J.L. The Fernow Watershed Acidification Study; Springer: Dordrecht, The Netherlands, 2007. [Google Scholar] [CrossRef]
- Adams, M.B.; DeWalle, D.R.; Peterjohn, W.T.; Gilliam, F.S.; Sharpe, W.E.; Williard, K.W. Soil chemical response to experimental acidification treatments. In The Fernow Watershed Acidification Study; Adams, M.B., DeWalle, D.R., Hom, J.L., Eds.; Springer: Dordrecht, The Netherlands, 2007; pp. 41–69. [Google Scholar] [CrossRef]
- Yoder, R.E. A direct method of aggregate analysis of soils and a study of the physical nature of erosion losses 1. Agron. J. 1936, 28, 337–351. [Google Scholar] [CrossRef]
- Ekwuea, E.I.; Anya, T.D.; Chakansinghc, A. A Wet Sieving Apparatus for Determining Aggregate Stability of Soils. Assoc. Prof. 2018, 46, 35–40. [Google Scholar]
- Kelly, C.N.; Benjamin, J.; Calderon, F.C.; Mikha, M.M.; Rutherford, D.W.; Rostad, C.E. Incorporation of biochar carbon into stable soil aggregates: The role of clay mineralogy and other soil characteristics. Pedosphere 2017, 27, 694–704. [Google Scholar] [CrossRef]
- Demolon, A.; Hénin, S. The structure of loams and the synthesis of aggregates. Soil Res. 1932, 3, 1–9. [Google Scholar]
- Qian, B.; Liu, L.; Xiao, X. Comparative tests on different methods for content of soil organic matter. J. Hohai Univ. Nat. Sci. 2011, 39, 34–38. [Google Scholar]
- Culman, S.W.; Snapp, S.S.; Freeman, M.A.; Schipanski, M.E.; Beniston, J.; Lal, R.; Drinkwater, L.E.; Franzluebbers, A.J.; Glover, J.D.; Grandy, A.S.; et al. Permanganate oxidizable carbon reflects a processed soil fraction that is sensitive to management. Soil Sci. Soc. Am. J. 2012, 76, 494–504. [Google Scholar] [CrossRef]
- Hurlburt, S.H. Pseudoreplication and the Design of Ecological Field Experiments. Ecol. Monogr. 1984, 54, 187–211. [Google Scholar] [CrossRef]
- Adams, M.B.; Angradi, T.R. Decomposition and nutrient dynamics of hardwood leaf litter in the Fernow whole-watershed acidification experiment. For. Ecol. Manag. 1996, 83, 61–69. [Google Scholar] [CrossRef]
- Adams, M.B.; Edwards, P.J.; Wood, F.; Kochenderfer, J.N. Artificial watershed acidification on the Fernow Experimental Forest, USA. J. Hydrol. 1993, 150, 505–519. [Google Scholar] [CrossRef]
- Gilliam, F.S.; Yurish, B.M.; Adams, M.B. Ecosystem nutrient responses to chronic nitrogen inputs at Fernow Experimental Forest, West Virginia. Can. J. For. Res. 1996, 26, 196–205. [Google Scholar] [CrossRef]
- Gilliam, F.S.; Welch, N.T.; Phillips, A.H.; Billmyer, J.H.; Peterjohn, W.T.; Fowler, Z.K.; Walter, C.A.; Burnham, M.B.; May, J.D.; Adams, M.B. Twenty-five-year response of the herbaceous layer of a temperate hardwood forest to elevated nitrogen deposition. Ecosphere 2016, 7, 1–16. [Google Scholar] [CrossRef]
- Burnham, M.B.; Cumming, J.R.; Adams, M.B.; Peterjohn, W.T. Soluble soil aluminum alters the relative uptake of mineral nitrogen forms by six mature temperate broadleaf tree species: Possible implications for watershed nitrate retention. Oecologia 2017, 185, 327–337. [Google Scholar] [CrossRef]
- Nave, L.E.; Vance, E.D.; Swanston, C.W.; Curtis, P.S. Impacts of elevated N inputs on north temperate forest soil C storage, C/N, and net N-mineralization. Geoderma 2009, 153, 231–240. [Google Scholar] [CrossRef]
- Janssens, I.A.; Dieleman, W.; Luyssaert, S.; Subke, J.A.; Reichstein, M.; Ceulemans, R.; Ciais, P.; Dolman, A.J.; Grace, J.; Matteucci, G.; et al. Reduction of forest soil respiration in response to nitrogen deposition. Nat. Geosci. 2010, 3, 315–322. [Google Scholar] [CrossRef]
- Frey, S.D.; Ollinger, S.; Nadelhoffer, K.E.; Bowden, R.; Brzostek, E.; Burton, A.; Caldwell, B.A.; Crow, S.; Goodale, C.L.; Grandy, A.S.; et al. Chronic nitrogen additions suppress decomposition and sequester soil carbon in temperate forests. Biogeochemistry 2014, 121, 305–316. [Google Scholar] [CrossRef]
- Fowler, Z.K. The Effects of Accelerated Soil Acidification on Aggrading Temperate Deciduous Forests: The Fernow Experimental Forest Long Term Soil Productivity (LTSP) Study at 13 Years. Ph.D. Thesis, West Virginia University, Morgantown, WV, USA, 2014. [Google Scholar] [CrossRef]
- Binkley, D.; Giardina, C. Why do tree species affect soils? The Warp and Woof of tree-soil interactions. In Plant-Induced Soil Changes: Processes and Feedbacks; Van Breemen, N., Ed.; Springer: Dordrecht, The Netherlands, 1998; pp. 89–106. [Google Scholar] [CrossRef]
- Shear, G.M.; Stewart, W.D. Moisture and pH studies of the soil under forest trees. Ecology 1934, 15, 145–153. [Google Scholar] [CrossRef]
- Brzostek, E.R.; Dragoni, D.; Brown, Z.A.; Phillips, R.P. Mycorrhizal type determines the magnitude and direction of root-induced changes in decomposition in a temperate forest. New Phytol. 2015, 206, 1274–1282. [Google Scholar] [CrossRef] [PubMed]
- Yin, H.; Wheeler, E.; Phillips, R.P. Root-induced changes in nutrient cycling in forests depend on exudation rates. Soil Biol. Biochem. 2014, 78, 213–221. [Google Scholar] [CrossRef]
- Strickland, M.S.; Rousk, J. Considering fungal: Bacterial dominance in soils–methods, controls, and ecosystem implications. Soil Biol. Biochem. 2010, 42, 1385–1395. [Google Scholar] [CrossRef]
- Gilliam, F.S.; Yurish, B.M.; Adams, M.B. Temporal and spatial variation of nitrogen transformations in nitrogen-saturated soils of a central Appalachian hardwood forest. Can. J. For. Res. 2001, 31, 1768–1785. [Google Scholar] [CrossRef]
- Dai, J.; Hu, J.; Lin, X.; Yang, A.; Wang, R.; Zhang, J.; Wong, M.H. Arbuscular mycorrhizal fungal diversity, external mycelium length, and glomalin-related soil protein content in response to long-term fertilizer management. J. Soils Sediments 2012, 13, 1–11. [Google Scholar] [CrossRef]
- Vallack, H.W.; Leronni, V.; Metcalfe, D.B.; Högberg, P.; Ineson, P.; Subke, J.A. Application of nitrogen fertilizer to a boreal pine forest has a negative impact on the respiration of ectomycorrhizal hyphae. Plant Soil 2012, 352, 405–417. [Google Scholar] [CrossRef]
- Cullings, K.; Ishkhanova, G.; Henson, J. Defoliation effects on enzyme activities of the ectomycorrhizal fungus Suillus granulatus in a Pinus contorta (lodgepole pine) stand in Yellowstone National Park. Oecologia 2008, 158, 77. [Google Scholar] [CrossRef]
- Chorom, M.; Rengasamy, P.; Murray, R.S. Clay dispersion as influenced by pH and net particle charge of sodic soils. Soil Res. 1994, 32, 1243–1252. [Google Scholar] [CrossRef]
- Lynch, J.M. Promotion and inhibition of soil aggregate stabilization by micro-organisms. Microbiology 1981, 126, 371–375. [Google Scholar] [CrossRef]
- Kallenbach, C.M.; Frey, S.D.; Grandy, A.S. Direct evidence for microbial-derived soil organic matter formation and its ecophysiological controls. Nat. Commun. 2016, 7, 13630. [Google Scholar] [CrossRef]
- Plaza-Bonilla, D.; Álvaro-Fuentes, J.; Cantero-Martínez, C. Soil aggregate stability as affected by fertilization type under semiarid no-tillage conditions. Soil Sci. Soc. Am. J. 2013, 77, 284–292. [Google Scholar] [CrossRef]
- Nguetnkam, J.P.; Dultz, S. Clay dispersion in typical soils of north Cameroon as a function of pH and electrolyte concentration. Land Degrad. Dev. 2014, 25, 153–162. [Google Scholar] [CrossRef]
- Slawinski, C.; Nosalewicz, A.; Witkowska-Walczak, B. Effect of aggregate size on water movement in soils. Int. Agrophysics 2011, 25, 53–58. [Google Scholar]
- Rousk, J.; Bååth, E.; Brookes, P.C.; Lauber, C.L.; Lozupone, C.; Caporaso, J.G.; Knight, R.; Fierer, N. Soil bacterial and fungal communities across a pH gradient in an arable soil. ISME J. 2010, 4, 1340–1351. [Google Scholar] [CrossRef] [PubMed]
- Bethlenfalvay, G.J.; Cantrell, I.C.; Mihara, K.L.; Schreiner, R.P. Relationships between soil aggregation and mycorrhizae as influenced by soil biota and nitrogen nutrition. Biol. Fertil. Soils 1999, 28, 356–363. [Google Scholar] [CrossRef]
- Emerson, W.W.; Dettmann, M.G. The effect of ph on the wet strength of soil crumrs. J. Soil Sci. 1960, 11, 149–158. [Google Scholar] [CrossRef]






| Watershed and Horizon | Bulk Soil OM (g kg−1) n = 16 | Soil pHCaCl2 n = 16 | POXC (mg kg−1) n = 16 | Total Aggregate Sand-Free Weight (g kg−1) * n = 16 | Total Aggregate OM (g kg−1) * n = 16 | Tree Species | Bulk Soil OM (g kg−1) n = 4 | Soil pHCaCl2 n = 4 | POXC (mg kg−1) n = 4 |
|---|---|---|---|---|---|---|---|---|---|
| 3A-FERT | 198.65 | 3.57 a | 606.70 | 305.57 | 62.15 | Birch | 170.14 (17.62) | 3.60 (0.12) | 607.58 (31.80) |
| (13.29) | (0.07) | (9.72) | (61.52) | (19.02) | Cherry | 221.08 (36.18) | 3.50 (0.14) | 597.22 (14.98) | |
| Oak | 212.07 (32.34) | 3.65 (0.14) | 599.92 (16.80) | ||||||
| Poplar | 191.29 (18.77) | 3.53 (0.18) | 622.10 (16.07) | ||||||
| 7A-REF | 209.89 | 3.97 b | 575.61 | 316.48 | 60.73 | Birch | 195.44 (18.83) | 3.77 (0.06) b | 567.79 (32.82) |
| (9.52) | (0.10) | (13.85) | (80.28) | (16.09) | Cherry | 240.78 (21.04) | 4.04 (0.14) b | 610.14 (26.25) | |
| Oak | 208.36 (2.32) | 3.68 (0.23) b | 564.73 (17.71) | ||||||
| Poplar | 195.00 (23.39) | 4.39 (0.08) a | 559.77 (34.83) | ||||||
| 3B-FERT | 86.68 a | 4.09 | 404.70 | 342.30 a | 29.23 a | Birch | 78.74 (8.70) ab | 4.07 (0.09) | 424.11 (49.05) |
| (4.12) | (0.06) | (16.27) | (75.54) | (11.18) | Cherry | 107.04 (3.23) a | 3.98 (0.09) | 429.90 (24.52) | |
| Oak | 79.08 (3.58) b | 4.25 (0.09) | 387.23 (34.11) | ||||||
| Poplar | 81.85 (7.36) b | 4.07 (0.14) | 377.56 (30.53) | ||||||
| 7B-REF | 106.91 b | 4.16 | 371.23 | 425.18 b | 44.47 b | Birch | 107.25 (15.14) | 4.04 (0.08) | 341.98 (67.56) |
| (4.44) | (0.06) | (18.74) | (53.51) | (10.48) | Cherry | 107.04 (6.75) | 4.23 (0.11) | 396.03 (20.23) | |
| Oak | 109.31 (5.28) | 4.01 (0.15) | 397.67 (8.90) | ||||||
| Poplar | 104.04 (9.32) | 4.38 (0.08) | 349.23 (32.92) |
Publisher’s Note: MDPI stays neutral with regard to jurisdictional claims in published maps and institutional affiliations. |
© 2020 by the authors. Licensee MDPI, Basel, Switzerland. This article is an open access article distributed under the terms and conditions of the Creative Commons Attribution (CC BY) license (http://creativecommons.org/licenses/by/4.0/).
Share and Cite
Kemner, J.E.; Adams, M.B.; McDonald, L.M.; Peterjohn, W.T.; Kelly, C.N. Fertilization and Tree Species Influence on Stable Aggregates in Forest Soil. Forests 2021, 12, 39. https://doi.org/10.3390/f12010039
Kemner JE, Adams MB, McDonald LM, Peterjohn WT, Kelly CN. Fertilization and Tree Species Influence on Stable Aggregates in Forest Soil. Forests. 2021; 12(1):39. https://doi.org/10.3390/f12010039
Chicago/Turabian StyleKemner, Jacob E., Mary Beth Adams, Louis M. McDonald, William T. Peterjohn, and Charlene N. Kelly. 2021. "Fertilization and Tree Species Influence on Stable Aggregates in Forest Soil" Forests 12, no. 1: 39. https://doi.org/10.3390/f12010039
APA StyleKemner, J. E., Adams, M. B., McDonald, L. M., Peterjohn, W. T., & Kelly, C. N. (2021). Fertilization and Tree Species Influence on Stable Aggregates in Forest Soil. Forests, 12(1), 39. https://doi.org/10.3390/f12010039

