Using GatorEye UAV-Borne LiDAR to Quantify the Spatial and Temporal Effects of a Prescribed Fire on Understory Height and Biomass in a Pine Savanna
Abstract
1. Introduction
2. Materials and Methods
2.1. Site Description
2.2. Field Data Collection
2.3. UAV-Borne LiDAR
2.4. Statistical Analysis
3. Results
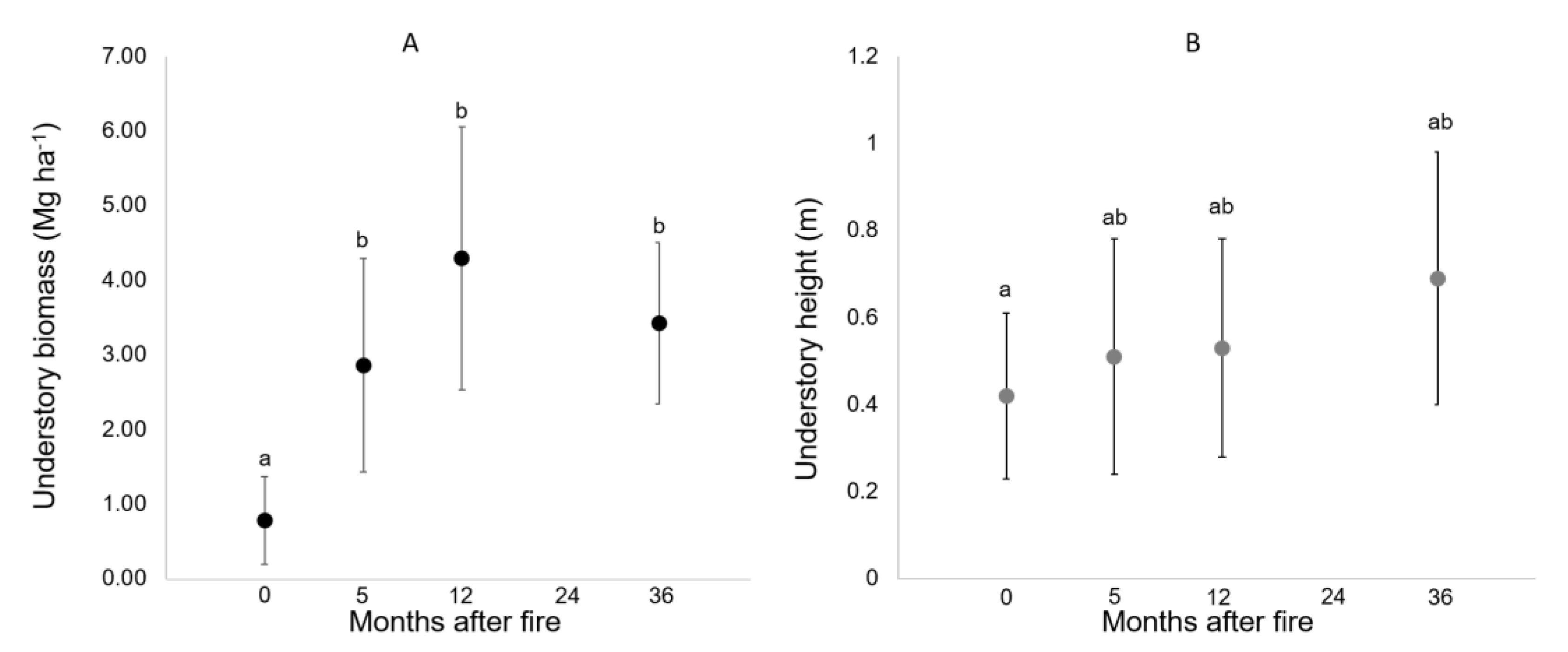
3.1. Field-Measured Aboveground Understory Biomass and Height
3.2. LiDAR Relationship with Field-Measured Understory Height and Biomass
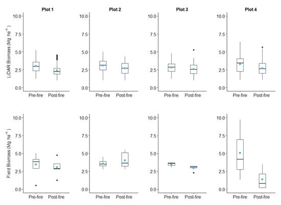
3.3. LiDAR Biomass and Change at the Plot Scale
4. Discussion
5. Conclusions
Supplementary Materials
Author Contributions
Funding
Acknowledgments
Conflicts of Interest
References
- Frost, C.C. Four centuries of changing landscape patterns in the longleaf pine ecosystem. In Proceedings of the Tall Timbers Fire Ecology Conference, Tallahassee, FL, USA, 3–6 November 1993; pp. 17–43. [Google Scholar]
- Landers, J.L.; Van Lear, D.H.; Boyer, W.D. The longleaf pine forests of the southeast: Requiem or renaissance? J. For. 1995, 93, 39–44. [Google Scholar]
- Abrams, M.D. Fire and the development of oak forests. BioScience 1992, 42, 346–353. [Google Scholar] [CrossRef]
- Earley, L.S. Looking for Longleaf: The Fall and Rise of an American Forest; Univ of North Carolina Press: Chapel Hill, NC, USA, 2004. [Google Scholar]
- Mitchell, R.J.; Hiers, J.K.; O’Brien, J.J.; Jack, S.; Engstrom, R. Silviculture that sustains: The nexus between silviculture, frequent prescribed fire, and conservation of biodiversity in longleaf pine forests of the southeastern united states. Can. J. For. Res. 2006, 36, 2724–2736. [Google Scholar] [CrossRef]
- Frost, C. History and future of the longleaf pine ecosystem. In The Longleaf Pine Ecosystem; Springer: New York, NY, USA, 2007; pp. 9–48. [Google Scholar]
- McEwan, R.W.; Dyer, J.M.; Pederson, N. Multiple interacting ecosystem drivers: Toward an encompassing hypothesis of oak forest dynamics across eastern north america. Ecography 2011, 34, 244–256. [Google Scholar] [CrossRef]
- Kirkman, L.K.; Mitchell, R.J. Conservation management of pinus palustris ecosystems from a landscape perspective. Appl. Veg. Sci. 2006, 9, 67–74. [Google Scholar] [CrossRef]
- Pecot, S.D.; Mitchell, R.J.; Palik, B.J.; Moser, E.B.; Hiers, J.K. Competitive responses of seedlings and understory plants in longleaf pine woodlands: Separating canopy influences above and below ground. Can. J. For. Res. 2007, 37, 634–648. [Google Scholar] [CrossRef]
- Nowell, H.; Holmes, C.; Robertson, K.; Teske, C.; Hiers, J. A new picture of fire extent, variability, and drought interaction in prescribed fire landscapes: Insights from florida government records. Geophys. Res. Lett. 2018, 45, 7874–7884. [Google Scholar] [CrossRef]
- Sharma, A.; Brethauer, D.K.; McKeithen, J.; Bohn, K.K.; Vogel, J.G. Prescribed burn effects on natural regeneration in pine flatwoods: Implications for uneven-aged stand conversion from a florida study. Forests 2020, 11, 328. [Google Scholar] [CrossRef]
- Robertson, K.M.; Platt, W.J.; Faires, C.E. Patchy fires promote regeneration of longleaf pine (pinus palustris mill.) in pine savannas. Forests 2019, 10, 367. [Google Scholar] [CrossRef]
- Riano, D.; Meier, E.; Allgöwer, B.; Chuvieco, E.; Ustin, S.L. Modeling airborne laser scanning data for the spatial generation of critical forest parameters in fire behavior modeling. Remote Sens. Environ. 2003, 86, 177–186. [Google Scholar] [CrossRef]
- García, M.; Riaño, D.; Chuvieco, E.; Salas, J.; Danson, F.M. Multispectral and lidar data fusion for fuel type mapping using support vector machine and decision rules. Remote Sens. Environ. 2011, 115, 1369–1379. [Google Scholar] [CrossRef]
- Wulder, M.; White, J.; Alvarez, F.; Han, T.; Rogan, J.; Hawkes, B. Characterizing boreal forest wildfire with multi-temporal landsat and lidar data. Remote Sens. Environ. 2009, 113, 1540–1555. [Google Scholar] [CrossRef]
- Bishop, B.D.; Dietterick, B.C.; White, R.A.; Mastin, T.B. Classification of plot-level fire-caused tree mortality in a redwood forest using digital orthophotography and lidar. Remote Sens. 2014, 6, 1954–1972. [Google Scholar] [CrossRef]
- Sato, L.Y.; Gomes, V.C.F.; Shimabukuro, Y.E.; Keller, M.; Arai, E.; Dos-Santos, M.N.; Brown, I.F. Post-fire changes in forest biomass retrieved by airborne lidar in amazonia. Remote Sens. 2016, 8, 839. [Google Scholar] [CrossRef]
- McCarley, T.R.; Kolden, C.A.; Vaillant, N.M.; Hudak, A.T.; Smith, A.M.; Wing, B.M.; Kellogg, B.S.; Kreitler, J. Multi-temporal lidar and landsat quantification of fire-induced changes to forest structure. Remote Sens. Environ. 2017, 191, 419–432. [Google Scholar] [CrossRef]
- Kwak, D.-A.; Chung, J.; Lee, W.-K.; Kafatos, M.; Lee, S.Y.; Cho, H.-K.; Lee, S.-H. Evaluation for damaged degree of vegetation by forest fire using lidar and a digital aerial photograph. Photogramm. Eng. Remote Sens. 2010, 76, 277–287. [Google Scholar] [CrossRef]
- Kane, V.R.; Lutz, J.A.; Roberts, S.L.; Smith, D.F.; McGaughey, R.J.; Povak, N.A.; Brooks, M.L. Landscape-scale effects of fire severity on mixed-conifer and red fir forest structure in yosemite national park. For. Ecol. Manag. 2013, 287, 17–31. [Google Scholar] [CrossRef]
- Clark, K.L.; Skowronski, N.; Hom, J.; Duveneck, M.; Pan, Y.; Van Tuyl, S.; Cole, J.; Patterson, M.; Maurer, S. Decision support tools to improve the effectiveness of hazardous fuel reduction treatments in the new jersey pine barrens. Int. J. Wildland Fire 2009, 18, 268–277. [Google Scholar] [CrossRef]
- Skowronski, N.S.; Clark, K.L.; Duveneck, M.; Hom, J. Three-dimensional canopy fuel loading predicted using upward and downward sensing lidar systems. Remote Sens. Environ. 2011, 115, 703–714. [Google Scholar] [CrossRef]
- Su, J.G.; Bork, E.W. Characterization of diverse plant communities in aspen parkland rangeland using lidar data. Appl. Veg. Sci. 2007, 10, 407–416. [Google Scholar] [CrossRef]
- Estornell, J.; Ruiz, L.; Velázquez-Martí, B.; Fernández-Sarría, A. Estimation of shrub biomass by airborne lidar data in small forest stands. For. Ecol. Manag. 2011, 262, 1697–1703. [Google Scholar] [CrossRef]
- Jakubowksi, M.K.; Guo, Q.; Collins, B.; Stephens, S.; Kelly, M. Predicting surface fuel models and fuel metrics using lidar and cir imagery in a dense, mountainous forest. Photogramm. Eng. Remote Sens. 2013, 79, 37–49. [Google Scholar] [CrossRef]
- Greaves, H.E.; Vierling, L.A.; Eitel, J.U.; Boelman, N.T.; Magney, T.S.; Prager, C.M.; Griffin, K.L. High-resolution mapping of aboveground shrub biomass in arctic tundra using airborne lidar and imagery. Remote Sens. Environ. 2016, 184, 361–373. [Google Scholar] [CrossRef]
- Beland, M.; Parker, G.; Sparrow, B.; Harding, D.; Chasmer, L.; Phinn, S.; Antonarakis, A.; Strahler, A. On promoting the use of lidar systems in forest ecosystem research. For. Ecol. Manag. 2019, 450, 117484. [Google Scholar] [CrossRef]
- De Almeida, D.R.A.; Almeyda Zambrano, A.M.; Broadbent, E.N.; Wendt, A.L.; Foster, P.; Wilkinson, B.E.; Salk, C.; Papa, D.d.A.; Stark, S.C.; Valbuena, R. Detecting successional changes in tropical forest structure using gatoreye drone-borne lidar. Biotropica 2020, 52, 1155–1167. [Google Scholar] [CrossRef]
- Dalla Corte, A.P.; Souza, D.V.; Rex, F.E.; Sanquetta, C.R.; Mohan, M.; Silva, C.A.; Zambrano, A.M.A.; Prata, G.; de Almeida, D.R.A.; Trautenmüller, J.W. Forest inventory with high-density uav-lidar: Machine learning approaches for predicting individual tree attributes. Comput. Electron. Agric. 2020, 179, 105815. [Google Scholar] [CrossRef]
- Thiel, C.; Schmullius, C. Comparison of uav photograph-based and airborne lidar-based point clouds over forest from a forestry application perspective. Int. J. Remote Sens. 2017, 38, 2411–2426. [Google Scholar] [CrossRef]
- D’Oliveira, M.V.; Broadbent, E.N.; Oliveira, L.C.; Almeida, D.R.; Papa, D.A.; Ferreira, M.E.; Zambrano, A.M.A.; Silva, C.A.; Avino, F.S.; Prata, G.A. Aboveground biomass estimation in amazonian tropical forests: A comparison of aircraft-and gatoreye uav-borne lidar data in the chico mendes extractive reserve in acre, brazil. Remote Sens. 2020, 12, 1754. [Google Scholar] [CrossRef]
- Peet, R.K.; Allard, D.J. Longleaf Pine Vegetation of the Southern Atlantic and Eastern Gulf Coast Regions: A Preliminary Classification. In Proceedings of the Tall Timbers Fire Ecology Conference, Tallahassee, FL, USA, 3–6 November 1993; pp. 45–81. [Google Scholar]
- Powell, T.L.; Starr, G.; Clark, K.L.; Martin, T.A.; Gholz, H.L. Ecosystem and understory water and energy exchange for a mature, naturally regenerated pine flatwoods forest in north florida. Can. J. For. Res. 2005, 35, 1568–1580. [Google Scholar] [CrossRef]
- Powell, T.L.; Gholz, H.L.; Clark, K.L.; Starr, G.; Cropper Jr, W.P.; Martin, T.A. Carbon exchange of a mature, naturally regenerated pine forest in north florida. Glob. Chang. Biol. 2008, 14, 2523–2538. [Google Scholar] [CrossRef]
- National Centers for Environmental Information: National Oceanic and Atmospheric Administration. Available online: https://www.Ncdc.Noaa.Gov./cdo-web/datatools/findstation (accessed on 5 August 2020).
- Heady, H.F. The measurement and value of plant height in the study of herbaceous vegetation. Ecology 1957, 38, 313–320. [Google Scholar] [CrossRef]
- Gholz, H.; Guerin, D.; Cropper, W. Phenology and productivity of saw palmetto (serenoa repens) in a north florida slash pine plantation. Can. J. For. Res. 1999, 29, 1248–1253. [Google Scholar] [CrossRef]
- Kirkman, L.K.; Mitchell, R.J.; Helton, R.C.; Drew, M.B. Productivity and species richness across an environmental gradient in a fire-dependent ecosystem. Am. J. Bot. 2001, 88, 2119–2128. [Google Scholar] [CrossRef] [PubMed]
- Abrahamson, W.G.; Abrahamson, C.R. Post-fire canopy recovery in two fire-adapted palms, serenoa repens and sabal etonia (arecaceae). Fla. Sci. 2006, 69, 69–79. [Google Scholar]
- Lavoie, M.; Starr, G.; Mack, M.; Martin, T.; Gholz, H. Effects of a prescribed fire on understory vegetation, carbon pools, and soil nutrients in a longleaf pine-slash pine forest in florida. Nat. Areas J. 2010, 30, 82–94. [Google Scholar] [CrossRef]
- Fisher, P.F.; Tate, N.J. Causes and consequences of error in digital elevation models. Prog. Phys. Geogr. 2006, 30, 467–489. [Google Scholar] [CrossRef]







| LiDAR Flight | Plot | N | Min | Max | Mean | Stdev |
|---|---|---|---|---|---|---|
| Before fire | 1 | 4635 | 1.00 | 6.31 | 3.01 | 0.87 |
| 2 | 3441 | 0.86 | 17.13 | 3.13 | 0.92 | |
| 3 | 6185 | 1.03 | 17.13 | 2.87 | 0.97 | |
| 4 | 6262 | 0.94 | 17.15 | 3.34 | 1.39 | |
| After fire | 1 | 4633 | 0.94 | 7.93 | 2.40 | 0.74 |
| 2 | 3441 | 0.83 | 17.01 | 2.74 | 0.92 | |
| 3 | 6186 | 0.92 | 17.15 | 2.63 | 0.94 | |
| 4 | 6329 | 0.80 | 17.15 | 2.75 | 1.29 | |
| Change (after-before) | 1 | - | - | - | −0.61 | - |
| 2 | - | - | - | −0.39 | - | |
| 3 | - | - | - | −0.24 | - | |
| 4 | - | - | - | −0.59 | - |
Publisher’s Note: MDPI stays neutral with regard to jurisdictional claims in published maps and institutional affiliations. |
© 2020 by the authors. Licensee MDPI, Basel, Switzerland. This article is an open access article distributed under the terms and conditions of the Creative Commons Attribution (CC BY) license (http://creativecommons.org/licenses/by/4.0/).
Share and Cite
Shrestha, M.; Broadbent, E.N.; Vogel, J.G. Using GatorEye UAV-Borne LiDAR to Quantify the Spatial and Temporal Effects of a Prescribed Fire on Understory Height and Biomass in a Pine Savanna. Forests 2021, 12, 38. https://doi.org/10.3390/f12010038
Shrestha M, Broadbent EN, Vogel JG. Using GatorEye UAV-Borne LiDAR to Quantify the Spatial and Temporal Effects of a Prescribed Fire on Understory Height and Biomass in a Pine Savanna. Forests. 2021; 12(1):38. https://doi.org/10.3390/f12010038
Chicago/Turabian StyleShrestha, Maryada, Eben N. Broadbent, and Jason G. Vogel. 2021. "Using GatorEye UAV-Borne LiDAR to Quantify the Spatial and Temporal Effects of a Prescribed Fire on Understory Height and Biomass in a Pine Savanna" Forests 12, no. 1: 38. https://doi.org/10.3390/f12010038
APA StyleShrestha, M., Broadbent, E. N., & Vogel, J. G. (2021). Using GatorEye UAV-Borne LiDAR to Quantify the Spatial and Temporal Effects of a Prescribed Fire on Understory Height and Biomass in a Pine Savanna. Forests, 12(1), 38. https://doi.org/10.3390/f12010038
