Taper Function for Pinus nigra in Central Italy: Is a More Complex Computational System Required?
Abstract
1. Introduction
2. Materials and Methods
2.1. Sampling Method
2.2. Stem Taper Functions
2.3. Measurement Technique
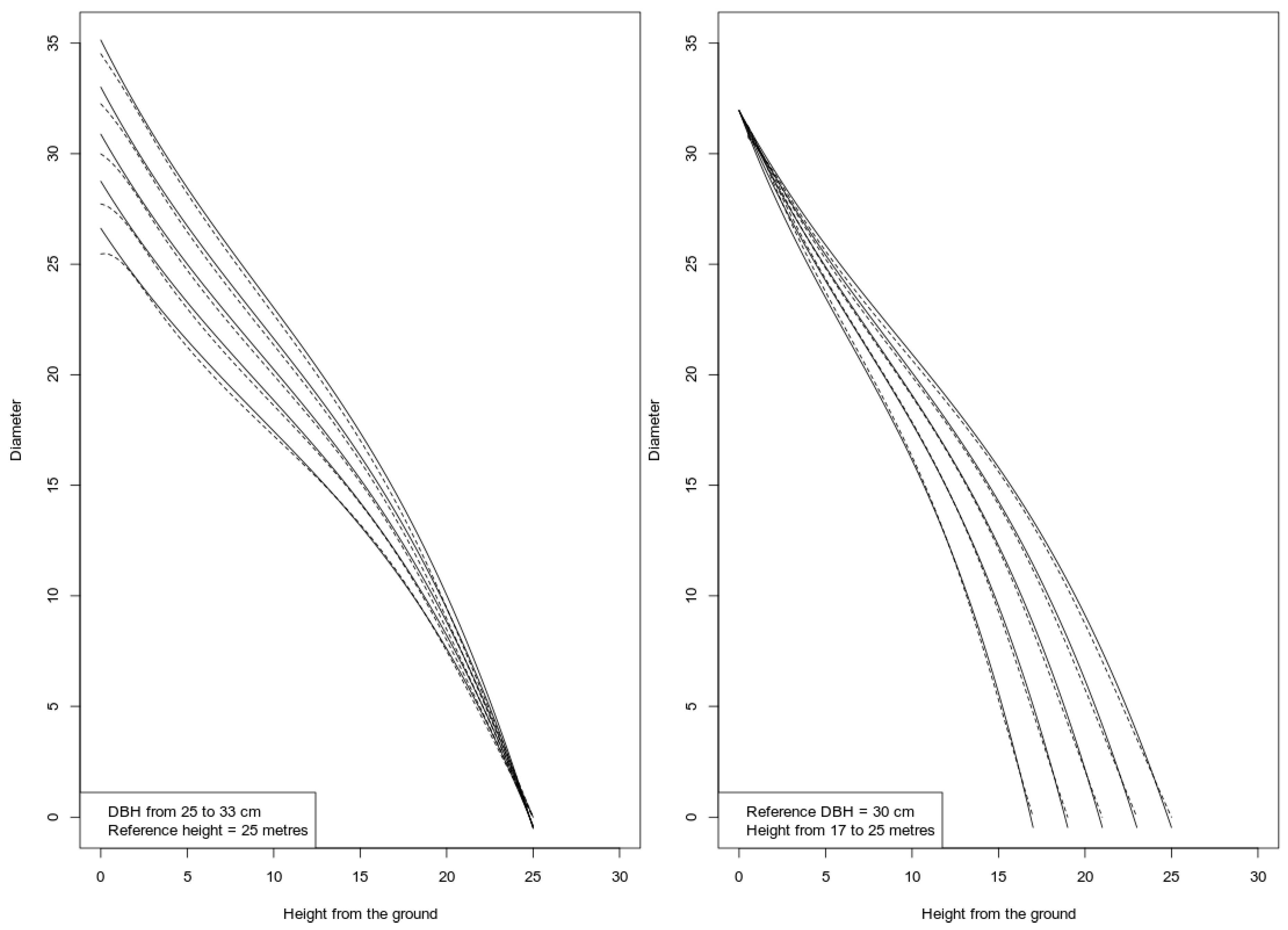
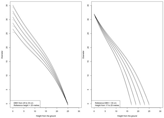
3. Results
4. Discussion
5. Conclusions
Author Contributions
Funding
Acknowledgments
Conflicts of Interest
References
- Isajev, V.; Fady, B.; Semerci, H.; Andonovski, V. EUFORGEN Technical Guidelines for Genetic Conservation and Use for European Black Pine (Pinus nigra); International Plant Genetic Resources Institute: Rome, Italy, 2014; ISBN 92-9043-659-X. [Google Scholar]
- Piermattei, A.; Renzaglia, F.; Urbinati, C. Recent expansion of Pinus nigra Arn. above the timberline in the central Apennines, Italy. Ann. For. Sci. 2012, 69, 509–517. [Google Scholar] [CrossRef]
- Cantiani, P.; Chiavetta, U. Estimating the mechanical stability of Pinus nigra Arn. using an alternative approach across several plantations in central Italy. iFor. Biogeosci. For. 2015, 8, 846–852. [Google Scholar] [CrossRef]
- Barbati, A.; Corona, P.; Salvati, L.; Gasparella, L. Natural forest expansion into suburban countryside: Gained ground for a green infrastructure? Urban For. Urban Green. 2013, 12, 36–43. [Google Scholar] [CrossRef]
- Marchi, M.; Paletto, A.; Cantiani, P.; Bianchetto, E.; De Meo, I. Comparing Thinning System Effects on Ecosystem Services Provision in Artificial Black Pine (Pinus nigra J. F. Arnold) Forests. Forests 2018, 9, 188. [Google Scholar] [CrossRef]
- Tabacchi, G.; De Natale, F.; Di Cosmo, L.; Floris, A.; Gagliano, C.; Gasparini, P.; Genchi, L.; Scrinzi, G.; Tosi, V. Le Stime di Superficie 2005. Inventario Nazionale delle Foreste e dei Serbatoi Forestali di Carbonio; CRA-ISAFA: Trento, Italy, 2007. [Google Scholar]
- Santini, F.; Serrano, L.; Kefauver, S.C.; Abdullah-Al, M.; Aguilera, M.; Sin, E.; Voltas, J. Morpho-physiological variability of Pinus nigra populations reveals climate-driven local adaptation but weak water use differentiation. Environ. Exp. Bot. 2019, 166, 103828. [Google Scholar] [CrossRef]
- Ciancio, O.; Iovino, F.; Menguzzato, G.; Nicolaci, A.; Nocentini, S. Structure and growth of a small group selection forest of calabrian pine in Southern Italy: A hypothesis for continuous cover forestry based on traditional silviculture. For. Ecol. Manag. 2006, 224, 229–234. [Google Scholar] [CrossRef]
- Ivetić, V.; Škorić, M. The impact of seeds provenance and nursery production method on Austrian pine (Pinus nigra Arn.) seedlings quality. Ann. For. Res. 2013, 56, 297–305. [Google Scholar]
- Cantiani, P.; Marchi, M. A spatial dataset of forest mensuration collected in black pine plantations in central Italy. Ann. For. Sci. 2017, 74, 50. [Google Scholar] [CrossRef]
- Marchi, M.; Castaldi, C.; Merlini, P.; Nocentini, S.; Ducci, F. Stand structure and influence of climate on growth trends of a Marginal forest population of Pinus nigra spp. nigra. Ann. Silvic. Res. 2015, 39, 100–110. [Google Scholar]
- Puletti, N.; Grotti, M.; Scotti, R. Evaluating the Eccentricities of Poplar Stem Profiles with Terrestrial Laser Scanning. Forests 2019, 10, 239. [Google Scholar] [CrossRef]
- Neumann, M.; Starlinger, F. The significance of different indices for stand structure and diversity in forests. For. Ecol. Manag. 2001, 145, 91–106. [Google Scholar] [CrossRef]
- Pommerening, A.; Särkkä, A. What mark variograms tell about spatial plant interactions. Ecol. Model. 2013, 251, 64–72. [Google Scholar] [CrossRef]
- Marchi, M. Nonlinear versus linearised model on stand density model fitting and stand density index calculation: Analysis of coefficients estimation via simulation. J. For. Res. 2019, 30, 1595–1602. [Google Scholar] [CrossRef]
- Crookston, N.L.; Rehfeldt, G.E.; Dixon, G.E.; Weiskittel, A.R. Addressing climate change in the forest vegetation simulator to assess impacts on landscape forest dynamics. For. Ecol. Manag. 2010, 260, 1198–1211. [Google Scholar] [CrossRef]
- Holopainen, M.; Vastaranta, M.; Hyyppä, J. Outlook for the next generation’s precision forestry in Finland. Forests 2014, 5, 1682–1694. [Google Scholar] [CrossRef]
- Fardusi, M.J.; Chianucci, F.; Barbati, A. Concept to practices of geospatial information tools to assist forest management & planning under precision forestry framework: A review. Ann. Silvic. Res. 2017, 41, 3–14. [Google Scholar]
- Scotti, R.; Mura, M.; Piredda, I.; Campus, S.; Lovreglio, R. Gestione forestale sostenibile in Sardegna: Dal legno al legname, le funzioni di profilo. In Atti del II Congresso Internazionale di Selvicoltura. Progettare il Futuro per il Settore Forestale; Accademia Italiana di Scienze Forestali: Florence, Italy, 2014; Volume 2, pp. 1056–1061. [Google Scholar]
- Paletto, A.; De Meo, I.; Grilli, G.; Nikodinoska, N. Selective and traditional forest management options for black pine forests in Central Italy: Effects on ecosystem services. Ann. For. Res. 2017, 60, 313–326. [Google Scholar] [CrossRef]
- Cantiani, P.; De Meo, I.; Becagli, C.; Bianchetto, E.; Cazau, C.; Mocali, S.; Salerni, E. EffEcts of thinnings on plants and fungi biodiversity in a Pinus nigra plantation: A case study in central Italy. For. Ideas 2015, 21, 149–162. [Google Scholar]
- Barbato, D.; Perini, C.; Mocali, S.; Bacaro, G.; Tordoni, E.; Maccherini, S.; Marchi, M.; Cantiani, P.; De Meo, I.; Bianchetto, E.; et al. Teamwork makes the dream work: Disentangling cross-taxon congruence across soil biota in black pine plantations. Sci. Total Environ. 2019, 656, 659–669. [Google Scholar] [CrossRef]
- Ciccarese, L.; Mattsson, A.; Pettenella, D. Ecosystem services from forest restoration: Thinking ahead. New For. 2012, 43, 543–560. [Google Scholar] [CrossRef]
- Salerni, E.; D’Aguanno, M.; Leonardi, P.; Perini, C. Ectomycorrhizal communities above and below ground and truffle productivity in a Tuber aestivum orchard. For. Syst. 2014, 23, 329–338. [Google Scholar] [CrossRef]
- García-Montero, L.G.; Manjón, J.L.; Martín-Fernández, S.; Di Massimo, G. Problems of using pines in Tuber melanosporum culture: Soils and truffle harvest associated with Pinus nigra and P. sylvestris. Agrofor. Syst. 2007, 70, 243–249. [Google Scholar] [CrossRef]
- Jäghagen, K.; Lageson, H. Timber quality after thinning from above and below in stands of pinus sylvestris. Scand. J. For. Res. 1996, 11, 336–342. [Google Scholar] [CrossRef]
- Kublin, E.; Breidenbach, J.; Kändler, G. A flexible stem taper and volume prediction method based on mixed-effects B-spline regression. Eur. J. For. Res. 2013, 132, 983–997. [Google Scholar] [CrossRef]
- Marchi, M.; Ferrara, C.; Bertini, G.; Fares, S.; Salvati, L. A sampling design strategy to reduce survey costs in forest monitoring. Ecol. Indic. 2017, 81, 182–191. [Google Scholar] [CrossRef]
- R Development Core Team. R: A language and environment for statistical computing. R Found. Stat. Comput. 2019. [Google Scholar]
- Miehle, P.; Battaglia, M.; Sands, P.J.; Forrester, D.I.; Feikema, P.M.; Livesley, S.J.; Morris, J.D.; Arndt, S.K. A comparison of four process-based models and a statistical regression model to predict growth of Eucalyptus globulus plantations. Ecol. Model. 2009, 220, 734–746. [Google Scholar] [CrossRef]
- Simpson, D.; Fagerli, H.; Hellsten, S.; Knulst, J.C.; Westling, O. Comparison of modelled and monitored deposition fluxes of sulphur and nitrogen to ICP-forest sites in Europe. Biogeosciences 2006, 3, 335–337. [Google Scholar] [CrossRef]
- Di Biase, R.M.; Fattorini, L.; Marchi, M. Statistical inferential techniques for approaching forest mapping. A review of methods. Ann. Silvic. Res. 2018, 42, 46–58. [Google Scholar]
- Marchi, M.; Chiavetta, U.; Castaldi, C.; Ducci, F. Does complex always mean powerful ? A comparison of eight methods for interpolation of climatic data in Mediterranean area. Ital. J. Agrometeorol. 2017, 1, 59–72. [Google Scholar]
- Wang, T.; Wang, G.; Innes, J.; Nitschke, C.; Kang, H. Climatic niche models and their consensus projections for future climates for four major forest tree species in the Asia-Pacific region. For. Ecol. Manag. 2016, 360, 357–366. [Google Scholar] [CrossRef]
- Dickson, M.M.; Giuliani, D.; Espa, G.; Bee, M.; Taufer, E.; Santi, F. Design-based estimation in environmental surveys with positional errors. Environ. Ecol. Stat. 2018, 25, 155–169. [Google Scholar] [CrossRef]
- Pagliarella, M.C.; Corona, P.; Fattorini, L. Spatially-balanced sampling versus unbalanced stratified sampling for assessing forest change: Evidences in favour of spatial balance. Environ. Ecol. Stat. 2018, 25, 111–123. [Google Scholar] [CrossRef]
- Pecchi, M.; Marchi, M.; Burton, V.; Giannetti, F.; Moriondo, M.; Bernetti, I.; Bindi, M.; Chirici, G. Species distribution modelling to support forest management. A literature review. Ecol. Model. 2019, 411, 108817. [Google Scholar] [CrossRef]
- Barbet-Massin, M.; Jiguet, F.; Albert, C.H.; Thuiller, W. Selecting pseudo-absences for species distribution models: How, where and how many? Methods Ecol. Evol. 2012, 3, 327–338. [Google Scholar] [CrossRef]
- Leroy, B.; Delsol, R.; Hugueny, B.; Meynard, C.N.; Barhoumi, C.; Barbet-Massin, M.; Bellard, C. Without quality presence–absence data, discrimination metrics such as TSS can be misleading measures of model performance. J. Biogeogr. 2018, 45, 1994–2002. [Google Scholar] [CrossRef]
- Marchetti, M.; Vizzarri, M.; Lasserre, B.; Sallustio, L.; Tavone, A. Natural capital and bioeconomy: Challenges and opportunities for forestry. Ann. Silvic. Res. 2014, 38, 62–73. [Google Scholar]
- Profft, I.; Mund, M.; Weber, G.-E.; Weller, E.; Schulze, E.-D. Forest management and carbon sequestration in wood products. Eur. J. For. Res. 2009, 128, 399–413. [Google Scholar] [CrossRef]
- Ray, D.; Petr, M.; Mullett, M.; Bathgate, S.; Marchi, M.; Beauchamp, K. A simulation-based approach to assess forest policy options under biotic and abiotic climate change impacts: A case study on Scotland’s National Forest Estate. For. Policy Econ. 2019, 103, 17–27. [Google Scholar] [CrossRef]
- Pacheco, A.; Camarero, J.J.; Ribas, M.; Gazol, A.; Gutierrez, E.; Carrer, M. Disentangling the climate-driven bimodal growth pattern in coastal and continental Mediterranean pine stands. Sci. Total Environ. 2018, 615, 1518–1526. [Google Scholar] [CrossRef]




| Relative Height Class | Mean Relative Diameter | Standard Deviation | CV | Number of Samples |
| 0.00–0.05 | 1.028 | 0.023 | 0.022 | 1 |
| 0.05–0.10 | 0.988 | 0.020 | 0.021 | 1 |
| 0.10–0.15 | 0.941 | 0.035 | 0.037 | 2 |
| 0.15–0.20 | 0.890 | 0.035 | 0.039 | 2 |
| 0.20–0.25 | 0.842 | 0.040 | 0.047 | 3 |
| 0.25–0.30 | 0.798 | 0.043 | 0.055 | 5 |
| 0.30–0.35 | 0.758 | 0.047 | 0.063 | 6 |
| 0.35–0.40 | 0.716 | 0.049 | 0.068 | 7 |
| 0.40–0.45 | 0.680 | 0.051 | 0.075 | 9 |
| 0.45–0.50 | 0.635 | 0.052 | 0.082 | 10 |
| 0.50–0.55 | 0.594 | 0.058 | 0.098 | 15 |
| 0.55–0.60 | 0.552 | 0.057 | 0.104 | 17 |
| 0.60–0.65 | 0.504 | 0.064 | 0.126 | 24 |
| 0.65–0.70 | 0.456 | 0.067 | 0.146 | 33 |
| 0.70–0.75 | 0.404 | 0.075 | 0.185 | 52 |
| 0.75–0.80 | 0.345 | 0.072 | 0.209 | 67 |
| 0.80–0.85 | 0.278 | 0.077 | 0.277 | 118 |
| 0.85–0.90 | 0.194 | 0.070 | 0.363 | 207 |
| 0.90–0.95 | 0.105 | 0.056 | 0.536 | 441 |
| 0.95–1.00 | 0.017 | 0.030 | 1.783 | 4885 |
| Iteration | DF | t | Number of Samples to Be Measured | |
| 1 | 79 | 1.9905 | 206 | |
| 2 | 205 | 1.9716 | 202 | |
| 3 | 201 | 1.9718 | 202 | |
| Model | Mean Relative Absolute Error | Explained Variance |
|---|---|---|
| Linear | 0.03273 (±0.96 × 10–3) | 96.1% (±0.60 × 10–3) |
| Second order polynomial | 0.03195 (±0.85 × 10–3) | 97.1% (±0.55 × 10–3) |
| Third order polynomial | 0.01362 (±0.83 × 10–3) | 97.4% (±0.49 × 10–3) |
| GAM | 0.01254 (±0.84 × 10–3) | 97.5% (±0.50 × 10–3) |
| Coefficient | Estimate | Standard Error | t value | Pr(>|t|) | |
|---|---|---|---|---|---|
| α | 0.590 | 0.00072 | 817.57 | < 2.2 × 10−16 | *** |
| β | −1.265 | 0.03827 | −25.92 | < 2.2 × 10−16 | *** |
| γ | −2.075 | 0.04882 | −42.50 | < 2.2 × 10−16 | *** |
| δ | −20.44 | 0.02213 | −418.71 | < 2.2 × 10−16 | *** |
| p-value: < 2.2 × 10−16 - R-squared: 0.9749 - Residuals Standard error: 0.04882 | |||||
© 2020 by the authors. Licensee MDPI, Basel, Switzerland. This article is an open access article distributed under the terms and conditions of the Creative Commons Attribution (CC BY) license (http://creativecommons.org/licenses/by/4.0/).
Share and Cite
Marchi, M.; Scotti, R.; Rinaldini, G.; Cantiani, P. Taper Function for Pinus nigra in Central Italy: Is a More Complex Computational System Required? Forests 2020, 11, 405. https://doi.org/10.3390/f11040405
Marchi M, Scotti R, Rinaldini G, Cantiani P. Taper Function for Pinus nigra in Central Italy: Is a More Complex Computational System Required? Forests. 2020; 11(4):405. https://doi.org/10.3390/f11040405
Chicago/Turabian StyleMarchi, Maurizio, Roberto Scotti, Giulia Rinaldini, and Paolo Cantiani. 2020. "Taper Function for Pinus nigra in Central Italy: Is a More Complex Computational System Required?" Forests 11, no. 4: 405. https://doi.org/10.3390/f11040405
APA StyleMarchi, M., Scotti, R., Rinaldini, G., & Cantiani, P. (2020). Taper Function for Pinus nigra in Central Italy: Is a More Complex Computational System Required? Forests, 11(4), 405. https://doi.org/10.3390/f11040405

