Characterization of Archaeological European White Elm (Ulmus laevis P.) and Black Poplar (Populus nigra L.)
Abstract
1. Introduction
2. Materials and Methods
2.1. Raw Materials and Samples Preparations
2.2. X-Ray Photoelectron Spectroscopy (XPS)
2.3. X-Ray Diffraction Analysis (XRD)
2.4. DVS Analysis
2.5. Scanning Electron Microscope (SEM)
3. Results and Discussion
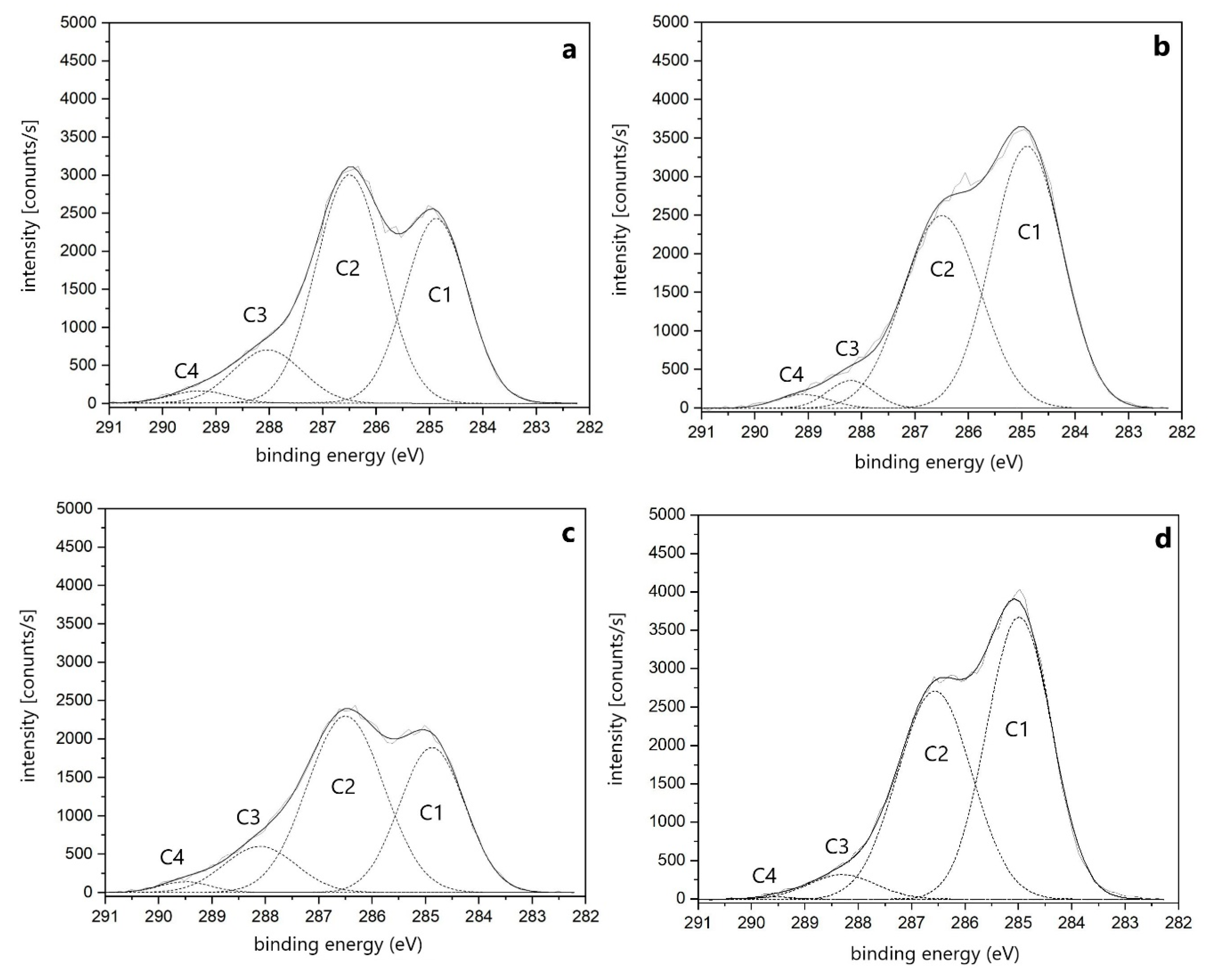
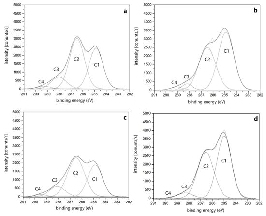
3.1. XPS
3.2. XRD
3.3. Sorption Isotherms
3.4. Scanning Electron Microscope (SEM)
4. Conclusions
Author Contributions
Funding
Acknowledgments
Conflicts of Interest
References
- Unger, A.; Schniewind, A.P.; Unger, W. Conservation of Wood Artifacts; Springer: Berlin/Heidelberg, Germany, 2001. [Google Scholar]
- Walsh-Korb, Z.; Avérous, L. Recent developments in the conservation of materials properties of historical wood. Prog. Mater. Sci. 2019, 102, 167–221. [Google Scholar] [CrossRef]
- Sandu, I.C.A.; Brebu, M.; Luca, C.; Sandu, I.; Vasile, C. Thermogravimetric study on the ageing of lime wood supports of old paintings. Polym. Degrad. Stab. 2003, 80, 83–91. [Google Scholar] [CrossRef]
- Florian, M.L.E. Scope and history of archaeological wood. In Archaeological Wood: Properties, Chemistry, and Preservation; Rowell, R.M., Barbour, R.J., Eds.; American Chemical Society: Washington, DC, USA, 1990; pp. 3–32. [Google Scholar]
- Reinprecht, L. Wood Deterioration, Protection and Maintenance; John Wiley and Sons: West Sussex, UK, 2016. [Google Scholar]
- Ghavidel, A.; Gelbrich, J.; Kuqo, A.; Vasilache, V.; Sandu, I. Investigation of archaeological European white elm (Ulmus laevis) for identifying and characterizing the kind of biological degradation. Heritage 2020, 3, 1083–1093. [Google Scholar] [CrossRef]
- Björdal, C.G.; Nilsson, T.; Daniel, G.F. Microbial decay of waterlogged archaeological wood found in Sweden—Applicable to archaeology and conservation. Int. Biodeterior. Biodegrad. 1999, 43, 63–71. [Google Scholar] [CrossRef]
- Ghavidel, A.; Hofmann, T.; Bak, M.; Sandu, I.; Vasilache, V. Comparative archaeometric characterization of recent and historical oak (Quercus spp.) Wood. Wood Sci. Technol. 2020, 54, 1121–1137. [Google Scholar] [CrossRef]
- Christiernin, M.; Notley, S.M.; Zhang, L.; Nilsson, T.; Henriksson, G. Comparison between 10,000-year old and contemporary spruce lignin. Wood Sci. Technol. 2009, 43, 23–41. [Google Scholar] [CrossRef]
- Ghavidel, A.; Scheglov, A.; Karius, V.; Mai, C.; Tarmian, A.; Vioel, W.; Vasilache, V.; Sandu, I. In-depth studies on the modifying effects of natural ageing on the chemical structure of European spruce (Picea abies) and silver fir (Abies alba) woods. J. Wood Sci. 2020, 66, 77. [Google Scholar] [CrossRef]
- Popescu, C.M.; Tibirna, C.M.; Vasile, C. XPS characterization of naturally aged wood. Appl. Surf. Sci. 2009, 256, 1355–1360. [Google Scholar] [CrossRef]
- Lucejko, J.J.; Tamburini, D.; Zborowska, M.; Babiński, L.; Modugno, F.; Colombini, M.P. Oak wood degradation processes induced by the burial environment in the archaeological site of Biskupin (Poland). Herit. Sci. 2020, 8, 1–12. [Google Scholar] [CrossRef]
- Kacík, F.; Šmíra, P.; Kaˇcíková, D.; Reinprecht, L.; Nasswettrová, A. Chemical changes in fir wood from old buildings due to ageing. Cellul. Chem. Technol. 2014, 48, 79–88. [Google Scholar]
- Han, L.; Wang, K.; Wang, W.; Guo, J.; Zhou, H. Nanomechanical and topochemical changes in elm wood from ancient timber constructions in relation to natural aging. Materials 2019, 12, 786. [Google Scholar] [CrossRef] [PubMed]
- Bader, T.K.; de Borst, K.; Fackler, K.; Ters, T.; Braovac, S. A nano to macroscale study on structure-mechanics relationships of archaeological oak. J. Cult. Herit. 2013, 14, 377–388. [Google Scholar] [CrossRef]
- Polle, A.; Otter, T.; Sandermann, H. Biochemistry and physiology of lignin synthesis. In Plant Physiology of Trees; Rennenberg, H., Eschrich, W., Ziegler, H., Eds.; Backhuys Publishers: Leiden, The Netherlands, 1997; pp. 455–475. [Google Scholar]
- Hedges, J.I. The chemistry of archaeological wood. In Archaeological Wood: Properties, Chemistry, and Preservation; Rowell, R.M., Barbour, R.J., Eds.; Advances in Chemistry Series 225; American Chemical Society: Washington, DC, USA, 1990; pp. 111–140. [Google Scholar]
- Fengel, D. Aging and fossilization of wood and its components. Wood Sci. Technol. 1991, 25, 153–177. [Google Scholar] [CrossRef]
- Hofstetter, K.; Hinterstoisser, B.; Salmén, L. Moisture uptake in native cellulose—The roles of different hydrogen bonds: A dynamic FT-IR study using deuterium exchange. Cellulose 2006, 13, 131–145. [Google Scholar] [CrossRef]
- Hill, C.A.S.; Norton, A.J.; Newman, G. The water vapour sorption properties of Sitka spruce determined using a dynamic vapour sorption apparatus. Wood Sci. Technol. 2010, 44, 497–514. [Google Scholar] [CrossRef]
- Engelund, E.T.; Thygesen, L.G.; Svensson, S.; Hill, C.A. A critical discussion of the physics of wood–water interactions. Wood Sci. Technol. 2013, 47, 141–161. [Google Scholar] [CrossRef]
- Bjurhager, I.; Ljungdahl, J.; Wallström, L.; Gamstedt, E.K.; Berglund, L.A. Towards improved understanding of PEG-impregnated waterlogged archaeological wood: A model study on recent oak. Holzforschung 2010, 64, 243–250. [Google Scholar] [CrossRef]
- Popescu, C.M.; Hill, A.S.C. The water vapour adsorption desorption behaviour of naturally aged Tilia cordata Mill wood. Polym. Degrad. Stab. 2013, 98, 1804–1813. [Google Scholar] [CrossRef]
- Sonderegger, W.; Kránitz, K.; Bues, C.T.; Niemz, P. Aging effects on physical and mechanical properties of spruce, fir and oak wood. J. Cult. Herit. 2015, 16, 883–889. [Google Scholar] [CrossRef]
- Kranitz, K.; Sonderegger, W.; Bues, C.-T.; Niemz, P. Effects of aging on wood: A literature review. Wood Sci. Technol. 2016, 50, 7–22. [Google Scholar] [CrossRef]
- Hosseinpourpia, R.; Echart, A.S.; Adamopoulos, S.; Gabilondo, N.; Eceiza, A. Modification of pea starch and dextrin polymers with isocyanate functional groups. Polymers 2018, 10, 939. [Google Scholar] [CrossRef] [PubMed]
- Hosseinpourpia, R.; Adamopoulos, S.; Parsland, C. Utilization of different tall oils for improving the water resistance of cellulosic fibers. J. Appl. Polym. Sci. 2019, 136, 47303. [Google Scholar] [CrossRef]
- Hosseinpourpia, R.; Adamopoulos, S.; Mai, C. Effects of acid pre-treatments on the swelling and vapor sorption of thermally modified Scots pine (Pinus sylvestris L.) wood. BioResources 2018, 13, 331–345. [Google Scholar] [CrossRef]
- Bodîrlău, R.; Teacă, C.A. Fourier transform infrared spectroscopy and thermal analysis of lignocellulose fillers treated with organic anhydrides. Rom. J. Phys. 2009, 54, 93–104. [Google Scholar]
- Cheng, S.; Huang, A.; Wang, S.; Zhang, Q. Effect of different heat treatment temperatures on the chemical composition and structure of Chinese fir wood. BioResources 2016, 11, 4006–4016. [Google Scholar] [CrossRef]
- Chai, X.S.; Hou, Q.X.; Zhu, J.Y. Carboxyl groups in wood fibers. 2. The fate of carboxyl groups during alkaline delignification and its application for fiber yield prediction in alkaline pulping. Ind. Eng. Chem. Res. 2003, 42, 5445–5449. [Google Scholar] [CrossRef]
- Nzokou, P.; Kamdem, D.P. X-ray photoelectron spectroscopy study of red oak- (Quercus rubra), black cherry- (Prunus serotina) and red pine- (Pinus resinosa) extracted wood surfaces. Surf. Interface Anal. 2005, 37, 689–694. [Google Scholar] [CrossRef]
- Fors, Y. Sulfur-Related Conservation Concerns for Marine Archaeological Wood The Origin, Speciation and Distribution of Accumulated Sulfur withSome Remedies for the Vasa. Ph.D. Thesis, Stockholm University, Stockholm, Sweden, 2008. [Google Scholar]
- Kirk, T.K.; Farrell, R.L. Enzymatic “combustion”: The microbial degradation of lignin. Microbiology 1987, 41, 465–505. [Google Scholar] [CrossRef]
- Lundell, T.K.; Mäkelä, M.R.; de Vries, R.P.; Hildén, K.S. Genomics, lifestyles and future prospects of wood-decay and litter-decomposing basidiomycota. In Advances in Botanical Research, 1st ed.; Martin, F., Ed.; Academic Press: New York, NY, USA, 2014. [Google Scholar] [CrossRef]
- Hammel, K.E.; Cullen, D. Role of fungal peroxidases in biological ligninolysis. Curr. Opin. Plant Biol. 2008, 11, 349–355. [Google Scholar] [CrossRef]
- Kim, Y.S.; Singh, A.P. Wood as cultural heritage material and its deterioration by biotic and abiotic agents. In Secondary Xylem Biology Origins, Functions, and Applications; Kim, I.S., Funada, R., Singh, A.P., Eds.; Academic Press: New York, NY, USA, 2016; pp. 233–257. [Google Scholar]
- Tolvaj, L.; Varga, D. Photodegradation of timber of three hardwood species caused by different light sources. Acta Silv. Lignaria Hung. 2012, 8, 145–155. [Google Scholar] [CrossRef]
- Tolvaj, L.; Mitsui, K. Light source dependence of the photodegradation of wood. J. Wood Sci. 2005, 51, 468–473. [Google Scholar] [CrossRef]
- Lionetto, F.; Sole, R.D.; Cannoletta, D.; Vasapollo, G.; Maffezzoli, A. Monitoring wood degradation during weathering by cellulose crystallinity. Materials 2012, 5, 1910–1922. [Google Scholar] [CrossRef]
- Bryne, L.E.; Lausmaa, J.; Ernstsson, M.; Englund, F.; Wålinder, M.E.P. Ageing of modified wood. Part 2: Determination of surface composition of acetylated, furfurylated, and thermally modified wood by XPS and ToF-SIMS. Holzforschung 2010, 64, 305–313. [Google Scholar] [CrossRef]
- Chirkova, J.; Irbe, I.; Andersons, B.; Andersone, I. Study of the structure of biodegraded wood using the water vapour sorption method. Int. Biodeterior. Biodegrad. 2006, 58, 162–167. [Google Scholar] [CrossRef]
- Esteban, L.G.; de Palacios, P.; Fernandez, F.G.; Guindeo, A.; Conde, M.; Baonza, V. Sorption and hermodynamic properties of juvenile Pinus sylvestris L. wood after 103 years of submersion. Holzforschung 2008, 62, 745–751. [Google Scholar] [CrossRef]
- Hosseinpourpia, R.; Adamopoulos, S.; Mai, C. Dynamic vapour sorption of wood and holocellulose modified with thermosetting resins. Wood Sci. Technol. 2016, 50, 165–178. [Google Scholar] [CrossRef]
- García-Iruela, A.; Esteban, L.G.; Fernández, F.G.; Palacios, P.; Rodriguez-Navarro, A.B.; Sánchez, L.G.; Hosseinpourpia, R. Effect of degradation on wood hygroscopicity: The case of a 400-year-old coffin. Forests 2020, 11, 712. [Google Scholar] [CrossRef]
- Lu, Y.; Pignatello, J.J. Demonstration of the ‘conditioning effect’ in soil organic matter in support of a pore deformation mechanism for sorption hysteresis. Environ. Sci. Technol. 2002, 36, 4553–4561. [Google Scholar] [CrossRef]
- Ghauhan, S.S.; Nagaveni, H.C. Moisture adsorption behaviour of decayed rubber wood. J. Inst. Wood Sci. 2009, 19, 1–6. [Google Scholar]
- Esteban, L.G.; Fernandez, F.G.; Garcia, F.; Casasus, A.G.; Palacios, P.P.; Gril, J. Comparison of the hygroscopic behavior of 205-year-old and recently cut juvenile wood from Pinus sylvestris L. Ann. Forest Sci. 2006, 63, 309–317. [Google Scholar] [CrossRef]
- Pettersen, R.C. The Chemistry of Solid Wood; Advances in Chemistry Series 20; US Department of Agriculture: Washington, DC, USA, 1984.
- EN 350. Durability of Wood and Wood-based Products—Testing and Classification of the Durability to Biological Agents of Wood and Wood-Based Materials; European Committee for Standardization: Brussels, Belgium, 2016. [Google Scholar]







| Wood Samples | C1 (atm.%) | C2 (atm.%) | C3 (atm.%) | C4 (atm.%) | Atomic Ratio O/C | Cox/Cunox |
|---|---|---|---|---|---|---|
| Fresh elm | 36.2 (±8.0) | 51.1 (±4.4) | 10.3 (±2.5) | 2.3 (±1.4) | 0.42 | 1.75 |
| Archaeological elm | 54.1 (±2.9) | 38.9 (±3.8) | 5.2 (±0.5) | 1.8 (±0.4) | 0.32 | 0.84 |
| Fresh poplar | 43.5 (±7.0) | 42.6 (±1.3) | 11.4 (±6.6) | 2.5 (±1.0) | 0.42 | 1.29 |
| Archaeological poplar | 48.8 (±2.7) | 42.0 (±4.9) | 7.2 (±5.1) | 2.0 (±2.3) | 0.28 | 1.04 |
| Wood Samples | I200 | Iam | CrI (%) | L (200) (nm) |
|---|---|---|---|---|
| Fresh-elm | 20.14 | 17.26 | 42.26 | 8.23 |
| Archaeological-elm | 22.06 | 16.82 | 26.13 | 5.69 |
| Fresh-poplar | 22.5 | 18.14 | 49.91 | 8.18 |
| Archaeological-poplar | 20.78 | 17.62 | 29.11 | 6.85 |
Publisher’s Note: MDPI stays neutral with regard to jurisdictional claims in published maps and institutional affiliations. |
© 2020 by the authors. Licensee MDPI, Basel, Switzerland. This article is an open access article distributed under the terms and conditions of the Creative Commons Attribution (CC BY) license (http://creativecommons.org/licenses/by/4.0/).
Share and Cite
Ghavidel, A.; Hosseinpourpia, R.; Militz, H.; Vasilache, V.; Sandu, I. Characterization of Archaeological European White Elm (Ulmus laevis P.) and Black Poplar (Populus nigra L.). Forests 2020, 11, 1329. https://doi.org/10.3390/f11121329
Ghavidel A, Hosseinpourpia R, Militz H, Vasilache V, Sandu I. Characterization of Archaeological European White Elm (Ulmus laevis P.) and Black Poplar (Populus nigra L.). Forests. 2020; 11(12):1329. https://doi.org/10.3390/f11121329
Chicago/Turabian StyleGhavidel, Amir, Reza Hosseinpourpia, Holger Militz, Viorica Vasilache, and Ion Sandu. 2020. "Characterization of Archaeological European White Elm (Ulmus laevis P.) and Black Poplar (Populus nigra L.)" Forests 11, no. 12: 1329. https://doi.org/10.3390/f11121329
APA StyleGhavidel, A., Hosseinpourpia, R., Militz, H., Vasilache, V., & Sandu, I. (2020). Characterization of Archaeological European White Elm (Ulmus laevis P.) and Black Poplar (Populus nigra L.). Forests, 11(12), 1329. https://doi.org/10.3390/f11121329

