Comparative Analysis of Transaction Prices and the Values of Forest Properties in Poland
Abstract
1. Introduction
2. Materials and Methods
2.1. Data Collection
- BT—marketable value of forest stand as read from boards, depending on species, productivity rating and age,
- SI—forest stand stocking rate (stocking index),
- A—stand area,
- W—average price of wood raw material in Poland, as published by the Central Statistical Office (GUS).
2.2. Empirical Approach to Testing Valuation Accuracy
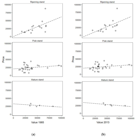
3. Results
4. Discussion
5. Conclusions
Author Contributions
Funding
Acknowledgments
Conflicts of Interest
Appendix A
| Sale Date | City /Region | Age | Species | Share | Stocking Index | Sale Price (PLN/ha) | Value According to the Tables [PLN/ha] | Price/Value Ratio | ||||
|---|---|---|---|---|---|---|---|---|---|---|---|---|
| FM | I | FM | I | V2013 | V1985 | V2013 | V1985 | |||||
| 2016 Sept. | Ołpiny south Poland | 76 | fir | 5 | 6 | 0.62 | 0.67 | 33,299 | 55,239 | 53,064 | 0.60 | 0.63 |
| 72 | pine | 3 | 3 | |||||||||
| 64 | spruce | 1 | 1 | |||||||||
| 86 | oak | 1 | - | |||||||||
| 2017 Jan. | Rychwałd south Poland | 84 | beech | 8 | 5 | 0.7 | 0.53 | 30,172 | 66,161 | 55,281 | 0.46 | 0.55 |
| 84 | hornbeam | 2 | 3 | |||||||||
| na | alder | - | 2 | |||||||||
| 2017 June | Czermna south Poland | 81 | beech | 9 | 8 | 0.7 | 1 | 20,000 | 47,821 | 39,462 | 0.42 | 0.51 |
| 69 | pine | 1 | 1 | |||||||||
| fir | - | 1 | ||||||||||
| 2017 April | Filipowiec south Poland | 74 | pine | 9 | 9 | 0.39 | 0.58 | 19,531 | 37,608 | 31,629 | 0.52 | 0.62 |
| 74 | fir | 1 | 1 | |||||||||

References
- Statistical Yearbook of Forestry 2019; Statistics Poland: Warsaw, Poland, 2020.
- Act of 28 September 1991 on the Forests, Journal of Laws from 1991, No. 101, Item 444. Available online: http://prawo.sejm.gov.pl/isap.nsf/DocDetails.xsp?id=WDU19911010444 (accessed on 11 December 2020).
- Harris, A.B.; Singleton, C.N.; Straka, T.J. Land value differentials resulting from variability between the sales comparison and income approaches in timberland valuation. Appra. J. 2018, Summer, 212–222. [Google Scholar]
- Faustmann, M. Calculation of the value which forest land and immature stands possess for forestry. J. Econ. 1995, 1, 7–44. [Google Scholar]
- Newman, D.H.; Gilbert, C.B.; Hyde, W.F. The optimal forest rotation with evolving prices. Land Econ. 1985, 61, 347–353. [Google Scholar] [CrossRef]
- Ben, S.; Lasserre, P. Forest land value and rotation with an alternative land use. J. For. Econ. 2017, 29, 118–127. [Google Scholar]
- Jacobsen, J.B.; Thorsen, B.J. A Danish example of optimal thinning strategies in mixed-species forest under changing growth conditions caused by climate change. For. Ecol. Manag. 2003, 180, 375–388. [Google Scholar] [CrossRef]
- Lancaster, K.J. A new approach to consumer theory. J. Polit. Econ. 1966, 74, 132–157. [Google Scholar] [CrossRef]
- Rosen, S. Hedonic prices and implicit markets: Product differentiation in pure competition. J. Polit. Econ. 1974, 82, 34–55. [Google Scholar] [CrossRef]
- Roos, A. The price for forest land on combined forest estates. Scand. J. For. Res. 1995, 10, 204–208. [Google Scholar] [CrossRef]
- Aronsson, T.; Carlén, O. The determinants of forest land prices: An empirical analysis. Can. J. For. Res. 2000, 30, 589–595. [Google Scholar] [CrossRef]
- Turner, R.; Newton, C.M.; Dennis, D.F. Economic relationships between parcel characteristics and price in the market for Vermont forestland. For. Sci. 1991, 37, 1150–1162. [Google Scholar]
- Zhang, D.; Meng, L.; Polyakov, M. Determinants of the prices of bare forestland and premerchantable timber stands: A spatial hedonic study. For. Sci. 2013, 59, 400–406. [Google Scholar] [CrossRef]
- Sundelin, T.; Högberg, J.; Lönnstedt, L. Determinants of the market price of forest estates: A statistical analysis. Scand. J. For. Res. 2015, 30, 547–557. [Google Scholar] [CrossRef]
- Weller, P.; Elsasser, P. Preferences for forest structural attributes in Germany—Evidence from a choice experiment. For. Policy Econ. 2018, 93, 1–9. [Google Scholar] [CrossRef]
- Koutroumanidis, T.; Zafeiriou, E.; Arabatzis, G. Asymmetry in price transmission between the producer and the consumer prices in the wood sector and the role of imports: The case of Greece. For. Policy Econ. 2009, 11, 56–64. [Google Scholar] [CrossRef]
- Olsson, O.; Hillring, B. The wood fuel market in Denmark—Price development, market efficiency and internationalization. Energy 2014, 78, 141–148. [Google Scholar] [CrossRef]
- Kim, T.J.; Wear, D.N.; Coulston, J.; Li, R. Forest land use responses to wood product markets. For. Policy Econ. 2018, 93, 45–52. [Google Scholar] [CrossRef]
- Pope, J. Do seller disclosures affect property values? Buyer information and the hedonic model. Land Econ. 2008, 84, 551–572. [Google Scholar] [CrossRef]
- Akerlof, G.A. The market for “lemons”: Quality uncertainty and the market mechanism. Q. J. Econ. 1970, 84, 488–500. [Google Scholar] [CrossRef]
- Snyder, S.A.; Kilgore, M.A.; Hudson, R.; Donnay, J. Influence of purchaser perceptions and intentions on price for forest land parcels: A hedonic pricing approach. J. For. Econ. 2008, 14, 47–72. [Google Scholar] [CrossRef]
- Pope, J.C. Buyer information and the hedonic: The impact of a seller disclosure on the implicit price for airport noise. J. Urban Econ. 2008, 63, 498–516. [Google Scholar] [CrossRef]
- Law of 21 August 1997 on Real Estate Management, Journal of Laws from 1997, No. 115, Item 741. Available online: http://isap.sejm.gov.pl/isap.nsf/download.xsp/WDU19971150741/O/D19970741.pdf (accessed on 11 December 2020).
- Zygmunt, R.; Gluszak, M. Uwarunkowania gospodarowania nieruchomościami leśnymi w Polsce. World Real Estate J. 2014, 87, 29–34. [Google Scholar]
- The Regulation of the Council of Ministers of the Republic of Poland of 21 September 2004 on Property Valuation and Development of Valuation Report, Journal of Laws from 2004, No. 207, Item 2109. Available online: https://isap.sejm.gov.pl/isap.nsf/download.xsp/WDU20042072109/O/D20042109.pdf (accessed on 11 December 2020).
- Wilkowski, W.; Standard, V. Określanie wartości nieruchomości leśnych oraz zadrzewionych i zakrzewionych. In Standardy Zawodowe Rzeczoznawców Majątkowych; Polska Federacja Stowarzyszeń Rzeczoznawców Majątkowych: Warszawa, Poland, 2004. [Google Scholar]
- Zając, S.; Klocek, A.; Sikora, A.; Fronczak, E.; Gniady, R. Nowelizacja tablic wskaźników wartości drzewostanów, sta-nowiących załącznik do rozporządzenia ministra środowiska z dnia 20 czerwca 2002 r. w sprawie jednorazowego odszko-dowania za przedwczesny wyrąb drzewostanów. Dokumentacja końcowa tematu badawczego BLP-378; Instytut Badawczy Leśnictwa: Sękocin Nowy, Poland, 2013; pp. 1–57. [Google Scholar]
- Ordinance of the Minister of the Environment of 20 June 2002 on One-off Compensation for Premature Felling of Forest Stands, Journal of Laws from 2002, No. 99, Item 905. Available online: http://isap.sejm.gov.pl/isap.nsf/download.xsp/WDU20020990905/O/D20020905.pdf (accessed on 11 December 2020).
- Forest Data Bank. Available online: https://www.bdl.lasy.gov.pl/. (accessed on 11 December 2020).
- Brown, G.R. Valuation accuracy: Developing the economic issues. J. Prop. Res. 1992, 9, 199–207. [Google Scholar] [CrossRef]
- McAllister, P. Valuation accuracy: A contribution to the debate. J. Prop. Res. 1995, 12, 203–216. [Google Scholar] [CrossRef]
- Matysiak, G.; Wang, P. Commercial property market prices and valuations: Analysing the correspondence. J. Prop. Res. 1995, 12, 181–202. [Google Scholar] [CrossRef]
- Baffour Awuah, K.G.; Gyamfi-Yeboah, F. The role of task complexity in valuation errors analysis in a developing real estate market. J. Prop. Res. 2017, 34, 54–76. [Google Scholar] [CrossRef]
- Paglin, M.; Fogarty, M. Equity and the property tax: A new conceptual focus. Natl. Tax J. 1972, 25, 557–565. [Google Scholar]
- Cheng, P.L. Bias and error detection in property tax administration. Manag. Sci. 1976, 22, 1251–1257. [Google Scholar] [CrossRef]
- Zygmunt, R.; Cieślik, Ł.; Pomorska, D. Wycena zasobów drzewnych różnymi technikami na przykładzie wybranych drzewostanów sosnowych. Biul. St. Rzecz. Maj. Woj. Wiel. 2016, 46, 130–138. [Google Scholar]
- Zygmunt, R. Porównanie metod wyceny zasobów drzewnych na przykładzie drzewostanów sosnowych. In Nieruchomości w przestrzeni 5. Wycena nieruchomości; Rącka, I., Ed.; Bogucki Wydawnictwo Naukowe: Poznan, Poland, 2019; pp. 59–69. [Google Scholar]
- Gaca, R. Price as a measure of market value on the real estate market. Real Estate Manag. Valuat. 2019, 26, 68–77. [Google Scholar] [CrossRef]
- Gaca, R. Parametric and non-parametric statistical methods in the assessment of the effect of property attributes on prices. Real Estate Manag. Valuat. 2018, 26, 83–91. [Google Scholar] [CrossRef]
- Broda, J. Dzieje najnowsze leśnictwa w Polsce 1918–2006; PTL: Warszawa, Poland, 2007. [Google Scholar]







| Variables | N | Mean | Std. Dev. | Min | Max |
|---|---|---|---|---|---|
| Saleprice (PLN/ha) | 52 | 26,111.92 | 12,455.39 | 8000 | 87,719 |
| Age (years) | 52 | 59.01 | 16.63 | 22 | 88 |
| Stocking index (SI) | 52 | 0.76 | 0.171 | 0.3 | 1.1 |
| Distance (km) | 52 | 67.84 | 26.04 | 16.45 | 114.88 |
| Genus of the Main Species | Age Class Years from-to | Number of Transactions | Av. Stocking Index (SI) | Av. Sale Price (P) (PLN/ha) | Av. Value (V) According to the 2013 Tables (PLN/ha) | Av. Value (V) According to the 1985 Tables (PLN/ha) |
|---|---|---|---|---|---|---|
| mix | 21–40 | 1 | 0.80 | 21,496 | 40,870 | 36,536 |
| 41–60 | 1 | 0.70 | 25,248 | 30,561 | 29,514 | |
| birch | 61–80 | 2 | 0.60 | 12,704 | 38,527 | 29,820 |
| beech | 61–80 | 5 | 0.78 | 32,910 | 50,380 | 46,055 |
| 81–100 | 4 | 0.80 | 26,910 | 67,586 | 60,078 | |
| pine | 21–40 | 6 | 0.88 | 22,472 | 21,678 | 18,783 |
| 41–60 | 18 | 0.80 | 23,481 | 33,332 | 27,904 | |
| 61–80 | 4 | 0.65 | 21,942 | 44,182 | 37,239 | |
| fir | 41–60 | 2 | 0.75 | 31,195 | 64,711 | 60,421 |
| 61–80 | 8 | 0.70 | 34,044 | 71,360 | 69,048 | |
| 81–100 | 1 | 0.30 | 33,473 | 42,254 | 36,076 |
| Variables | Valuation (2013 Tables) | Valuation (1985 Tables) | ||||
|---|---|---|---|---|---|---|
| ModA1 | ModA2 | ModA3 | ModB1 | ModB2 | ModB3 | |
| Valuation | 0.218 ** | 0.145 * | 0.133 | 0.224 ** | 0.150 * | 0.149 * |
| (2.704) | (2.427) | (1.801) | (2.776) | (2.490) | (2.040) | |
| Constant | 16,407.087 *** | 18,509.055 *** | 13,063.291 * | 17,190.639 *** | 19,031.296 *** | 12,608.484 * |
| (4.163) | (6.392) | (2.425) | (4.775) | (7.193) | (2.413) | |
| Specification: | ||||||
| No outliers | No | Yes | Yes | No | Yes | Yes |
| Year controls | No | No | Yes | No | No | Yes |
| R-squared | 0.128 | 0.107 | 0.166 | 0.134 | 0.112 | 0.183 |
| N | 52 | 51 | 51 | 52 | 51 | 51 |
| Variables | Valuation (2013 Tables) | Valuation (1985 Tables) | ||||
|---|---|---|---|---|---|---|
| ModC1 | ModC2 | ModC3 | ModD1 | ModD2 | ModD3 | |
| Valuation | 0.427 ** | 0.426 ** | 0.372 * | 0.462 ** | 0.457 ** | 0.424 ** |
| (3.145) | (2.820) | (2.506) | (3.240) | (2.884) | (2.724) | |
| Constant | 6.300 *** | 6.312 *** | 7.115 *** | 5.823 *** | 5.870 *** | 6.552 *** |
| (4.601) | (4.156) | (4.891) | (4.054) | (3.684) | (4.287) | |
| Specification: | ||||||
| No outliers | No | Yes | Yes | No | Yes | Yes |
| Year controls | No | No | Yes | No | No | Yes |
| R-squared | 0.165 | 0.140 | 0.391 | 0.174 | 0.145 | 0.392 |
| N | 52 | 51 | 51 | 52 | 51 | 51 |
Publisher’s Note: MDPI stays neutral with regard to jurisdictional claims in published maps and institutional affiliations. |
© 2020 by the authors. Licensee MDPI, Basel, Switzerland. This article is an open access article distributed under the terms and conditions of the Creative Commons Attribution (CC BY) license (http://creativecommons.org/licenses/by/4.0/).
Share and Cite
Gaca, R.; Zygmunt, R.; Gluszak, M. Comparative Analysis of Transaction Prices and the Values of Forest Properties in Poland. Forests 2020, 11, 1323. https://doi.org/10.3390/f11121323
Gaca R, Zygmunt R, Gluszak M. Comparative Analysis of Transaction Prices and the Values of Forest Properties in Poland. Forests. 2020; 11(12):1323. https://doi.org/10.3390/f11121323
Chicago/Turabian StyleGaca, Radosław, Robert Zygmunt, and Michal Gluszak. 2020. "Comparative Analysis of Transaction Prices and the Values of Forest Properties in Poland" Forests 11, no. 12: 1323. https://doi.org/10.3390/f11121323
APA StyleGaca, R., Zygmunt, R., & Gluszak, M. (2020). Comparative Analysis of Transaction Prices and the Values of Forest Properties in Poland. Forests, 11(12), 1323. https://doi.org/10.3390/f11121323

