Abstract
The introduced Sonneratia apetala Buch. Hamplantation plantations have occupied more than 3800 ha in China. The prevalence, fast growth rate, and high seed production of S. apetala have raised concerns about the risks to native mangrove habitats. Efforts are required to convert these introduced monocultures to mixed or native forests. In this study, we examined native mangrove colonization in the introduced S. apetala plantations at the Qi’ao Island, Zhuhai, China. A 12-month field study was conducted to evaluate the effects of intertidal elevation and light level on the survival and early growth of five native mangrove species, viz., Bruguiera gymnorrhiza (L.) Savigny, Kandelia obovata Sheue, Liu & Yong, Aegiceras corniculatum (L.) Blanco, Avicennia marina (Forssk.) Vierh., and Rhizophora stylosa Griff. Across intertidal elevations and light levels, the survival of B. gymnorrhiza was the highest. All the species had relatively higher survival rates under 30% canopy closure. Although the seedlings survived best at high intertidal elevation, the relative growth rate (RGR) was the highest at low intertidal elevation, and it was promoted by high light level. The stem height at low intertidal elevation was higher than that at high intertidal elevation, and it was the highest under 30% canopy closure. B. gymnorrhiza and R. stylosa at high intertidal elevation had relatively high leaf numbers, whereas K. obovata and A. marina showed a reverse tendency. The growth of stem diameter showed a decreasing trend initially and then increased with better performance at low intertidal elevations, and B. gymnorrhiza presented the best value under 30% canopy closure. Bruguiera gymnorrhiza showed the highest growth rate under similar conditions. Overall, intensive canopy thinning is an effective measure to promote native mangrove growth in S. apetala plantations. Additionally, increasing planting density especially at low intertidal elevations may improve native mangrove establishment and growth. Furthermore, Bruguiera gymnorrhiza is the best choice in the effort to plant native species in S. apetala plantations in the study area.
1. Introduction
Mangroves are the only forests bridging land and sea with a rich diversity of flora and fauna in the intertidal zones of tropical and subtropical coastlines [1,2]. Mangroves provide ecological services to humans, but they are also threatened by anthropogenic activities [3,4]. Mangrove habitats are becoming small or fragmented, which is attributable to anthropogenic activities, including aquaculture, agricultural reclamation, urbanization, and pollution explosion [5,6]. The mangrove forest area in China was 250,000 ha, but it was reduced to 42,000 ha by 1956, and further shrunk to 21,000 ha by the end of the 1980s and to 15,000 ha by the end of 1990s, according to the National Investigation of Forest Resource [6]. In the early 1990s, China launched a 10-year mangrove reforestation program in degraded mangrove areas, through which the mangrove forest areas have recovered to 22,000 ha [6]. However, the exotic mangrove species Sonneratia apetala replaced the main native species (Kandelia obovata (Sheue, Liu & Yong) and Bruguiera gymnorrhiza (L.) Savigny) in this program, owing to its higher survival rate and faster growth [7]. Since 1998, S. apetala has been widely planted as a pioneer species in Guangdong, Guangxi, Fujian, and Zhejiang Provinces. The planting area of S. apetala has exceeded 3800 ha in China [8]. For example, Spartina alterniflora Loisel. began to invade the Qi’ao Island in the early 1990s [9], and expanded its coverage to up to 227 ha by 1995. In 1999, S. apetala was introduced to control S. alterniflora invasion, eventually eradicating S. alterniflora in 2011 (only 0.63 ha remained for experimental purpose) [10,11]. However, S. apetala covered approximately 600 ha on Qi’ao Island by 2008 [7]. Such a large area of S. apetala plantation and its prevalence, fast growth rate, and high seed production has raised the concern whether the introduced species threaten the survival and development of native mangrove species [12].
Peng et al. [13] explored the dynamic changes in mixed stands under naturally spreading condition of native species in S. apetala plantations. The planting density of S. apetala directly affects the canopy gaps, which can affect the density of tree seedlings and saplings. For example, Ren et al. [14] reported that the native mangrove species, namely K. obovata and Rhizophora stylosa Griff., could invade 4-year-old S. apetala plantations, but disappeared after 10 years in Leizhou Bay, Guangdong. However, in the Sanjiang River of Qiongshan, Hainan, the native mangrove species such as K. obovata, Aegiceras corniculatum (L.) Blanco, and Bruguiera sexangula (Lour.) Pior. were naturally diffused in a 12-year-old S. apetala plantation. Furthermore, compared with those of a 5-year-old S. apetala plantation, the number of species remained basically unchanged, and the diversity index and uniformity index increased marginally [15]. The planting density of S. apetala in these two plantations was 2500 and 833 plants/ha, respectively. Similarly, shading has been reported to significantly limit Xylocarpus granatum Koenig seedling growth and might affect the establishment of X. granatum under forest canopies [16]. In contrast, Rhizophora apiculata Blume, B. gymnorrhiza, and Xylocarpus moluccensis could have higher sapling and seedling densities under closed canopy than under open gaps [17].
Since 1999, S. apetala has been planted in approximately 600 ha in the Qi’ao Island, successfully controlling the further spread of S. alterniflora [7]. In addition to different canopy closures, this plantation also occupied high tide beaches and low tide beaches. Usually, Avicennia marina (Forssk.) Vierh., B. gymnorrhiza, and R. stylosa survived or grew the best at high intertidal elevation. Ceriops tagal (Perr.) C.B. Rob. reached the maximum abundance at low intertidal elevation [18]. Therefore, the objective of the present study was to compare the growth and physiological responses of five native mangrove species seedlings at different light levels and intertidal elevations. We also attempted to examine the interactive effect of light level and intertidal elevation on the early development of five native mangrove species seedlings. The results will provide a theoretical basis for afforestation in S. apetala plantations using native species.
2. Materials and Methods
2.1. Study Sites
The study area is situated in the Qi’ao-Dangan Provincial Nature Reserve, located on the Qi’ao Island of Zhuhai in China. Its geographical location is 22°23′40″–22°27′38″ N and 113°36′40″–113°39′15″ E (Figure 1). The region has south subtropical marine climate with an average annual rainfall of 1964.4 mm, annual sunshine duration of 1907.4 h, and annual average temperature of 22.4 °C. The tide pattern is irregular and semidiurnal, and the average salinity of sea water is 18 ± 2‰. The average high tide level is 0.27 m, and the average low tide level is −0.24 m. The plantation of S. apetala is fan-shaped in the tidal flat, and a small area of K. candel and A. corniculatum plantations was nearby.
Figure 1.
Sketch map of field trial sites in mangrove plantation at the Qi’ao Island. The abbreviations of sites refer to 30% canopy closure (30% CC), 60% canopy closure (60% CC) and 90% canopy closure (90% CC), respectively.
Five native species in Southern China (namely, K. obovata, A. corniculatum, A. marina, B. gymnorrhiza, and R. stylosa) were selected for the present study. The propagules of K. obovata and A. corniculatum were collected from Qi’ao Island. The propagules of A. marina, B. gymnorrhiza, and R. stylosa were collected from the Zhanjiang Mangrove National Nature Reserve (20°14′–21°35′ N and 109°40′–110°35′ E). The seeds of A. corniculatum and A. marina, and the hypocotyls of K. obovata, B. gymnorrhiza, and R. stylosa were collected from under the canopy. The length of propagules (n = 50) of K. obovata, R. stylosa, and B. gymnorrhiza was 19.32 ± 2.72, 28.46 ± 3.48, and 15.49 ± 1.32, respectively, and their wet weight was 14.67 ± 3.75, 19.44 ± 2.83, and 22.37 ± 4.23 g, respectively. The mean wet weight of A. corniculatum and A. marina seeds was 0.008 ± 0.002 and 0.015 ± 0.004 g, respectively.
2.2. Experimental Design
We measured the canopy closure using fisheye lens camera (Nikon D750, Nikon Precision Shanghai Co., Ltd., Shanghai, China and SIGMA 8 mm F3.5 EX DG FISHEYE, Heshuo Optical Equipment Shanghai Co., Ltd., Shanghai, China) at the intersection of diagonals of the sample plot and selected the plots with 30%, 60%, and 90% canopy closure. The effects of wave action (tidal inundation time [18] and wave [19]) on young mangrove species across the intertidal zone were different, and the effects were relatively significant in the low intertidal zone. We measured the water level of the low tide zone and high tide zone using a water level logger (HOBO U20-001-0x, Onset computer corporation, Bourne, Massachusetts, America) at high tide; the average elevation difference of the tide zones was 0.87 ± 0.26 m. Quadrats of dimension 10 m × 10 m were created in the high tide beach and low tide beach with the canopy density of 30%, 60%, and 90%, respectively. Three repetitions per processing combination, a total of 18 sample plots, were performed.
In April 2017, the hypocotyls of K. obovata and B. gymnorrhiza were planted, and the seeds of A. corniculatum and A. marina, and the hypocotyls of R. stylosa were planted in June in each plot. Fifty propagules were planted in each sample plot to examine the frequency and period of germination under six processing combinations.
2.3. Measurement of Seedling Survival and Seedling Growth
From April 2017, a 12-month growth trial was set up, and seeding growth was measured once a month. The budding date of each propagule was recorded every 10 days, and the total number of propagules that survived was also counted in each sample plot. Other germination parameters, such as the stem height, stem basal diameter, and number of unfurled leaves, were measured at every 60 days after planting the propagules. The stem height and stem basal diameter of each seedling were determined directly using callipers. At the end of the trial, the seedlings were collected and separated into leaf, stem, and root components, and then dried at 65 °C to a constant mass to determine the biomass. The monthly relative growth rate (RGR) was determined, according to the method of Ye et al. [20].
2.4. Statistical Analyses
For one-parameter statistical tests, the analysis of variance (ANOVA) was performed using SPSS 21.0 for Windows (SPSS Inc., New York, NY, USA). The differences in growth and physiological responses of seedlings among the five species and six habitats were analyzed with the two-way ANOVA. Significant differences among multiple means were determined by the SNK test.
3. Result
3.1. Seedling Survival
During the 360-day trial, the number of seedlings that survived decreased gradually and differed significantly among the five species. There was a significant interactive effect of light level and intertidal elevation on the number of seedlings that survived among A. corniculatum, B. gymnorrhiza, K. obovata, and R. stylosa. There was no significant interactive effect of light level and intertidal elevation on A. marina (Table 1).
Table 1.
F values of two-way ANOVA tests indicating the differences of five mangrove species surviving in varying light level and intertidal elevation.
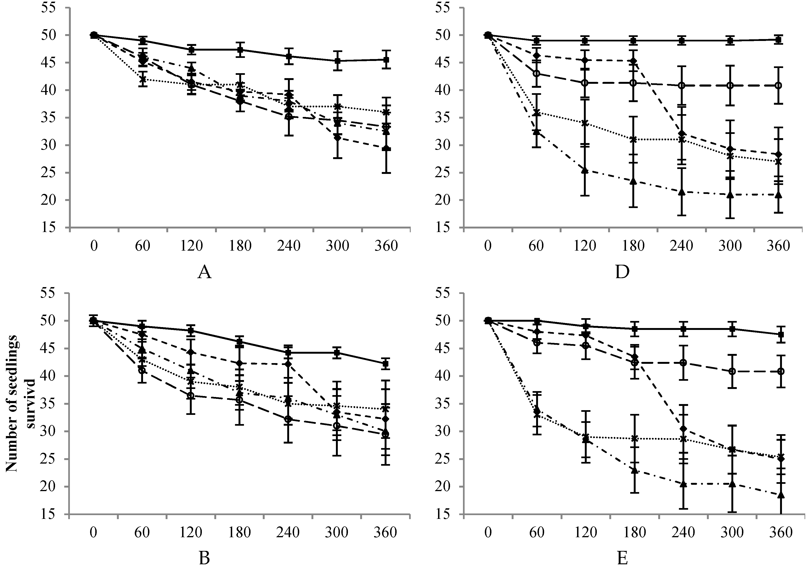
The survival rate of the five mangrove species seedlings was different at different intertidal elevations. The survival rate of B. gymnorrhiza was the highest in each habitat, followed by K. obovata seedlings at low intertidal elevation. Conversely, the survival rate of A. marina, A. corniculatum, and R. stylosa was lower at the low intertidal elevation than at the high intertidal elevation. The number of A. corniculatum, A. marina, and R. stylosa seedlings that survived at the high intertidal elevation was higher than that at low intertidal elevation, whereas the number of B. gymnorrhiza and K. obovata seedlings that survived at low intertidal elevation was more than that at high intertidal elevation. The number of A. corniculatum and A. marina seedlings that survived decreased rapidly at low intertidal elevation, which may be dislodged by wave action. The number of R. stylosa seedlings that survived decreased rapidly in every habitat during 180 to 240 days (Figure 2). The number of species that survived showed a marginal decreasing trend with time at high intertidal elevation, whereas the survival rate was stable from 240 days. With an increase in canopy closure, the number of seedlings that survived among the five mangrove species was also different. In the habitats of 60% and 90% canopy closure with lower light penetration, the average seedling survival rate of mangrove species decreased marginally (Figure 2). Intertidal elevation had a higher effect than light level on seedling survival.

Figure 2.
The number of seedlings of the five mangrove species surviving (Bg = Bruguiera gymnorrhiza, Ac = Aegiceras corniculatum, Ko = Kandelia obovata, Rs = Rhizophora stylosa, Am = Avicennia marina) (A) 30% canopy closure and high intertidal elevation, (B) 60% canopy closure and high intertidal elevation (C) 90% canopy closure and high intertidal elevation, (D) 30% canopy closure and low intertidal elevation, (E) 60% canopy closure and low intertidal elevation, (F) 90% canopy closure and low intertidal elevation.
3.2. Seedling Morphological Features and Growth Rates
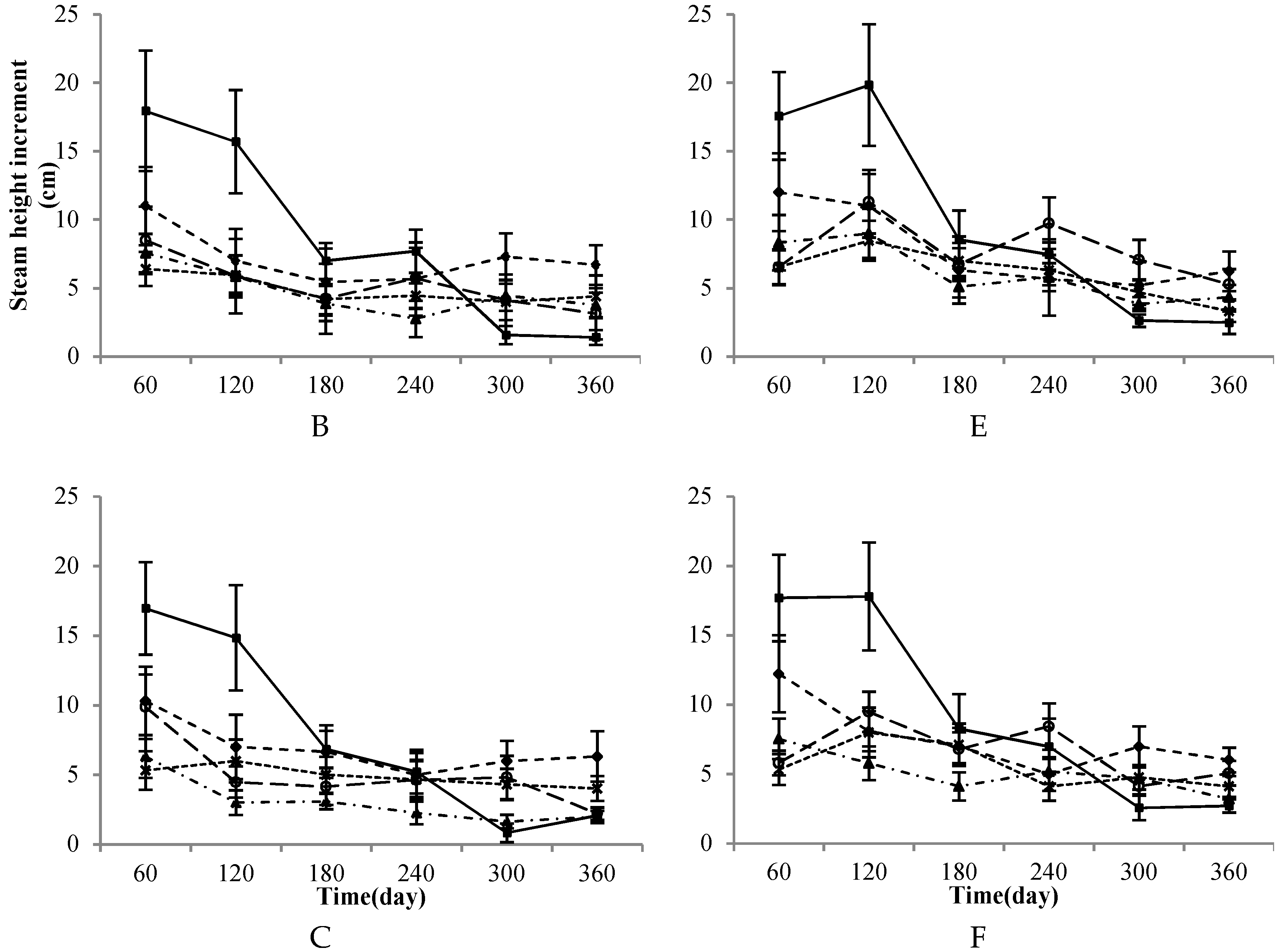
Both intertidal elevation and light level had significant effects on the stem height, leaf number, and stem diameter (Table 2). The stem height differed significantly among intertidal elevations and light levels (Table 2). The annual cumulative increase in the stem height at low intertidal elevation was generally high at the same light level. The stem height in the understory of 30% canopy closure was the highest irrespective of intertidal elevation. We found that the stem height of B. gymnorrhiza, A. corniculatum, and A. marina under 30% canopy closure in high tide beach was lower than that under 60% canopy closure in low tide beach, respectively. Conversely, the stem height of R. stylosa under 30% canopy closure was higher than that under 60% canopy closure. The highest stem height of B. gymnorrhiza, K. obovata, R. stylosa, A. corniculatum, and A. marina under 30% canopy closure was 63.79, 56.32, 54.34, 42.13, and 41.67 cm, which was 36.22%, 85.31%, 30.21%, 53.62%, and 31.45% higher than that under 90% canopy closure at low intertidal elevation, respectively. The relative growth of B. gymnorrhiza decreased with time after 120 days, whereas the other species tended to grow steadily after 180 days (Figure 3).
Table 2.
F values of two-way ANOVA tests indicating the differences in morphological parameters in varying light levels and intertidal elevation among different mangrove species.

Figure 3.
The steam height increment of seedlings of the five mangrove species (Bg = Bruguiera gymnorrhiza, Ac = Aegiceras corniculatum, Ko = Kandelia obovata, Rs = Rhizophora stylosa, Am= Avicennia marina) (A) 30% canopy closure and high intertidal elevation, (B) 60% canopy closure and high intertidal elevation (C) 90% canopy closure and high intertidal elevation, (D) 30% canopy closure and low intertidal elevation, (E) 60% canopy closure and low intertidal elevation, (F) 90% canopy closure and low intertidal elevation.
The increase in leaf number among the species was significantly different at different light intensities, and A. corniculatum presented a significant difference in leaf number at different intertidal elevations (Table 2). Bruguiera gymnorrhiza and R. stylosa at high intertidal elevation generally presented relatively high leaf numbers, whereas K. obovata and A. marina showed a reverse tendency. The number of A. corniculatum differed marginally between 30% and 60% canopy closure but declined sharply under 90% canopy closure irrespective of intertidal elevation. The relative growth of K. obovata and B. gymnorrhiza decreased rapidly with time after 120 days, and the other species tended to grow steadily during the same period (Figure 4).
Figure 4.
The leaf number of seedlings of the five mangrove species (Bg = Bruguiera gymnorrhiza, Ac = Aegiceras corniculatum, Ko = Kandelia obovata, Rs = Rhizophora stylosa, Am = Avicennia marina) (A) 30% canopy closure and high intertidal elevation, (B) 60% canopy closure and high intertidal elevation (C) 90% canopy closure and high intertidal elevation, (D) 30% canopy closure and low intertidal elevation, (E) 60% canopy closure and low intertidal elevation, (F) 90% canopy closure and low intertidal elevation.
The stem diameter of B. gymnorrhiza, K. obovata, and A. corniculatum differed significantly between light level, and high canopy closure decreased the increase in stem diameter at low and high elevations. The stem diameter of R. stylosa was generally higher at high intertidal elevations, approximately 1.34 times higher than that at the low intertidal elevations. Furthermore, A. marina was not significantly affected by intertidal elevation and light level (Table 2). The relative growth of B. gymnorrhiza was the highest under 30% canopy closure. The growth of all the species showed a decreasing trend initially and then increased with better performance at low intertidal elevations (Figure 5).
Figure 5.
The stem diameter of seedlings of the five mangrove species (Bg = Bruguiera gymnorrhiza, Ac = Aegiceras corniculatum, Ko = Kandelia obovata, Rs = Rhizophora stylosa, Am = Avicennia marina) (A) 30% canopy closure and high intertidal elevation, (B) 60% canopy closure and high intertidal elevation (C) 90% canopy closure and high intertidal elevation, (D) 30% canopy closure and low intertidal elevation, (E) 60% canopy closure and low intertidal elevation, (F) 90% canopy closure and low intertidal elevation.
A significant interactive effect of intertidal elevation and light intensity on the RGR was observed. The RGR of all the species significantly decreased with the decrease in light intensity. Bruguiera gymnorrhiza, K. obovata, and R. stylosa at high intertidal elevation presented higher RGR, whereas A. corniculatum and A. marina showed better performance at low intertidal elevation under 30% and 60% canopy closure. The RGR of K. obovata, A. corniculatum, and A. marina was significantly affected under 90% canopy closure at high and low intertidal elevations (Table 3).
Table 3.
The relative growth rate (RGR, mean ± SE) (mg g−1 day−1) of five mangrove species planted in varying light level and intertidal elevation.
4. Discussion
4.1. Seedling Survival in the Understory
The survival rate of mangrove species seedlings in a mangrove forest is primarily driven by the habitat structure [21]. Mangroves have an interspecific difference in tolerance limits to shading and intertidal position at the early stage [22,23]. The survival rate of four mangrove species, namely, A. marina, B. gymnorrhiza, C. tagal, and R. stylosa, was higher at high intertidal elevation than at low intertidal elevation, irrespective of the light level, and the seedlings survived better in light gaps than under the canopy in the high intertidal position [18]. In the present study, A. corniculatum, A. marina, and R. stylosa were relatively more sensitive at low intertidal elevation, whereas K. obovata exhibited better performance at low intertidal elevation. Rhizophora stylosa, B. gymnorrhiza, and K. obovata survived better than the other two species during the first two months, which may be related to their bigger hypocotyls [24].
Bruguiera gymnorhiza and K. obovata presented higher survival rate under low light irradiance condition than A. corniculatum in S. apetala plantations [25]. We also found that B. gymnorrhiza and K. obovata had higher survival rates than the other species under 90% canopy closure. Overall B. gymnorrhiza performed best in low intertidal position and under low light irradiance condition throughout the study.
4.2. Early Growth Response of Seedlings to Light Level
A 12-month study showed that B. gymnorrhiza was the most stable and exhibited an adaptive response to low light condition, followed by K. obovata and A. corniculatum in the understory of S. apetala plantations in China [25]. The height of R. apiculata and Bruguiera cylindrica (L.)Bl. in the gaps was more than 2 and 5 times higher than that in the canopy, respectively [26]. The seedlings of B. gymnorrhiza and K. obovata under the canopy had lower leaf number and stem basal diameter than those in the gaps [27,28]. Similarly, Chen et al. reported that the leaf number and stem basal diameter of A. marina were higher in the gaps than in the canopy, indicating that A. marina seedlings might be shade-intolerant [29]. The results of the present study conducted in S. apetala plantations grown at different light levels under field conditions confirm these previous findings.
It has been reported that the RGR of R. apiculata and B. gymnorrhiza decreased with decrease in irradiance from full sunlight to canopy shade environment [30]. In the present study, the RGR of K. obovata, A. corniculatum, and A. marina was significantly affected by the low light level regardless of the intertidal elevation, indicating light level is the main limiting factor affecting early biomass accumulation in seedlings.
4.3. Responses to Intertidal Elevation
High tidal inundations stimulated the early growth of seven mangrove species, especially the stem height [31]. It has been reported that the stem height of Laguncularia racemosa (L.) Gaertn. f. seedlings was considerably higher under tidal flooding than under no flooding condition [32]. Similarly, recent studies on growth and physiology have shown that A. marina seedlings are tolerant to low intertidal elevation, but not to canopy shade [29]. A growth trial with five native mangrove species also supported such a pattern. The leaf number of K. obovata [20] and A. marina [29] seedlings increased significantly with water level, which is consistent with the observations of the present study, mainly in K. obovata and A. marina seedlings. We also found the seedlings of K. obovata and A. marina at the low intertidal elevation improved their ability to capture light energy by increasing the stem height to adapt to flooding stimulation and increased leaf number to increase the ability to capture light energy.
In a present study, all species presented higher stem height at the low intertidal position, and the stem height growth exhibited no particular trend with waterlogging from seedlings to 300-day-old plants. This is similar to the findings of Hovenden et al. [33], who reported that the stem height of A. marina did not change significantly with flooding after the seedlings were 12-month old.
The present study showed that the RGR of B. gymnorrhiza, K. obovata, and R. stylosa was significantly enhanced by high inundation elevation, especially at high light level, whereas A. corniculatum and A. marina showed better performance at low intertidal elevation under 30% and 60% canopy closure. In another study, the seedlings of A. marina presented higher RGR at lower intertidal elevation, and B. gymnorrhiza and R. stylosa seedlings showed negligible disparity between eight different tidal flat elevations [32]. A previous study in Hong Kong showed that K. obovata had stronger resilience to high intertidal elevation than B. gymnorrhiza [34].
4.4. Interactive Effects of Intertidal Elevation and Light Level
Grime reported that morphological plasticity of plants is closely related to the individual’s ability to exploit habitats [35]. The relative growth of R. stylosa, A. marina, and C. tagal was higher at the high intertidal elevation than at the low intertidal elevation. Moreover, it was higher in gaps than in the canopy. The growth of B. gymnorrhiza was the highest under all conditions [18]. The specific leaf area of B. gymnorrhiza (71.0 ± 2.8 cm2 g−1) were significantly different from that of R. stylosa (45.4 ± 1.0 cm2 g−1) and K. obovata (48.6 ± 0.8 cm2 g−1), which may be related to the fact that B. gymnorrhiza can tolerate shaded conditions better than the other species [36]. The results showed that the survival of all five species studied and the growth of three species (A. corniculatum, A. marina, and R. stylosa) were high under adverse conditions. Moreover, B. gymnorrhiza showed the best performance in the six interactive treatments.
4.5. Turning Monocultures to Mixed Forests
Species diversity and structural complexity are important factors that enhance both ecosystem productivity and stability [37]. A previous study showed successful recruitment of natural mangrove species into artificial mangrove monocultures in Kenya. Bosire et al. confirmed that mixed stands of plantations with natural mangrove species are achievable [38]. Furthermore, Ren et al. [14] reported that the native species A. marina, A. corniculatum, K. obovata, and R. stylosa can occupy the understory of 4 to 10-year old S. apetala plantations in Leizhou Peninsula of Southern China. These studies proved the possibility of establishing mixed forests using native species under introduced species. Our study results also demonstrated the adaptability of different mangrove species to intertidal elevation and light intensity. Light gaps in mangrove forests are often created by episodic events such as violent wind storms [39], lightning strikes [40], and single tree falls [41]. Two ways to achieve stable mixed forests are as follows: (1) planting propagules of A. corniculatum, A. marina, and R. stylosa two times at low intertidal position, and (2) choosing natural gaps or thinning the canopy of S. apetala plantations with tree pruners at high intertidal position.
5. Conclusions
The adaptability to light levels and intertidal elevations of five native mangrove species in China was explored in a 12-month field experiment. Although the seedlings of all five native species survived better at high intertidal elevation, the stem height of all species at low intertidal elevation was higher than that at high intertidal elevation, and it was the highest under 30% canopy closure. The RGR was the highest at low intertidal elevation, and it was promoted by high light level. The survival rate and growth rate of B. gymnorrhiza were the highest across intertidal elevations and light levels. Bruguiera gymnorrhiza was the best acclimated native species in S. apetala plantations in the study area. Simultaneously, periodical thinning of canopy artificially in the dense canopies of S. apetala plantations is an effective measure. In addition, increasing the planting density of seedlings would promote the establishment and growth of native species especially at low intertidal elevations.
Author Contributions
B.L. conceived the idea and Y.X. designed the experiment; Z.J., W.G., M.L. and Y.C. carried out field and laboratory analyses; Z.J. wrote the manuscript and Y.X. helped with the revision.
Acknowledgments
This work was supported by the National Natural Science Foundation of China (grant numbers 41676080, 41876094); the National Key Research and Development Program of China (2017YFC0506103). We are grateful to Shuping Ding for establishment of the experimental plots and for data collection in Qi’ao Island.
Conflicts of Interest
The authors declare no conflict of interest.
References
- Luo, Z.; Sun, O.J.; Xu, H. A comparison of species composition and stand structure between planted and natural mangrove forests in Shenzhen Bay, South China. J. Plant Ecol. 2010, 3, 165–174. [Google Scholar] [CrossRef]
- Satyanarayana, B.; Mohamad, K.A.; Idris, I.F.; Husain, M.-L.; Dahdouh-Guebas, F. Assessment of mangrove vegetation based on remote sensing and ground-truth measurements at Tumpat, Kelantan Delta, east coast of Peninsular Malaysia. Int. J. Remote Sens. 2011, 32, 1635–1650. [Google Scholar] [CrossRef]
- Palacios, M.L.; Cantera, J.R. Mangrove timber use as an ecosystem service in the Colombian Pacific. Hydrobiologia 2017, 803, 345–358. [Google Scholar] [CrossRef]
- Duke, N.C.; Meynecke, J.-O.; Dittmann, S.; Ellison, A.M.; Anger, K.; Berger, U.; Cannicci, S.; Diele, K.; Ewel, K.C.; Field, C.D.; et al. A world without mangroves? Science 2007, 317, 41–43. [Google Scholar] [CrossRef] [PubMed]
- Rama Chandra Prasad, P.; Mamtha Lakshmi, P.; Rajan, K.S.; Bhole, V.; Dutt, C.B.S. Tsunami and tropical island ecosystems: A meta-analysis of studies in Andaman and Nicobar Islands. Biodivers. Conserv. 2012, 21, 309–322. [Google Scholar] [CrossRef]
- Zan, Q.; Wang, B.; Wang, Y.; Li, M. Ecological assessment on the introduced Sonneratia caseolaris and S. apetala at the mangrove forest of Shenzhen Bay, China. Acta Bot. Sin. 2003, 45, 544–551. [Google Scholar]
- Liao, B.; Guan, W.; Zhang, J.; Tang, G.; Lei, Z.; Yang, X. Studies on dynamic development of mangrove communities on Qi’ao Island, Zhuhai. J. South China Agric. Univ. 2008, 29, 59–64. [Google Scholar]
- Li, M.; Liao, B. Introduction and ecological impact of Sonneratia apetala. Prot. For. Sci. Technol. 2008, 3, 100–102. [Google Scholar]
- An, S.; Gu, B.; Zhou, C.; Wang, Z.; Deng, Z.; Zhi, Y.; Li, H.; Chen, L.; Yu, D.; Liu, Y. Spartina invasion in China: Implications for invasive species management and future research. Weed Res. 2007, 47, 183–191. [Google Scholar] [CrossRef]
- Chen, H.; Liao, B.; Liu, B.; Peng, C.; Zhang, Y.; Guan, W.; Zhu, Q.; Yang, G. Eradicating invasive Spartina alterniflora with alien Sonneratia apetala and its implications for invasion controls. Ecol. Eng. 2014, 73, 367–372. [Google Scholar] [CrossRef]
- Zhou, T.; Liu, S.; Feng, Z.; Liu, G.; Gan, Q.; Peng, S. Use of exotic plants to control Spartina alterniflora invasion and promote mangrove restoration. Sci. Rep. 2015, 5, 1–13. [Google Scholar] [CrossRef] [PubMed]
- Ren, H.; Lu, H.; Shen, W.; Huang, C.; Guo, Q.; Li, Z.; Jian, S. Sonneratia apetala Buch.Ham in the mangrove ecosystems of China: An invasive species or restoration species? Ecol. Eng. 2009, 35, 1243–1248. [Google Scholar] [CrossRef]
- Peng, Y.; Zhou, Y.; Chen, G. The restoration of mangrove wetland: A review. Acta Ecol. Sin. 2008, 28, 786–797. [Google Scholar]
- Ren, H.; Jian, S.; Lu, H.; Zhang, Q.; Shen, W.; Han, W.; Yin, Z.; Guo, Q. Restoration of mangrove plantations and colonisation by native species in Leizhou bay, South China. Ecol. Res. 2008, 23, 401–407. [Google Scholar] [CrossRef]
- Chen, Y.; Liao, B.; Zheng, S.; Li, M.; Song, X. Dynamics and species-diversities of artificial Sonneratia apetala, Sonneratia caseolaris and Kandelia candel communities. Chin. J. Appl. Ecol. 2004, 15, 924–928. [Google Scholar]
- Allen, J.A.; Krauss, K.W.; Hauff, R.D. Factors limiting the intertidal distribution of the mangrove species Xylocarpus granatum. Community Ecol. 2003, 135, 110–121. [Google Scholar] [CrossRef]
- Imai, N.; Takyu, M.; Nakamura, Y.; Nakamura, T. Gap formation and regeneration of tropical mangrove forests in Ranong, Thailand. Plant Ecol. 2006, 186, 37–46. [Google Scholar] [CrossRef]
- Smith, T.J., III. Effects of light and intertidal position on seedling survival and growth in tropical tidal forests. J. Exp. Mar. Biol. Ecol. 1987, 2, 133–146. [Google Scholar] [CrossRef]
- Chen, Y.; Chen, W.; Zheng, S.; Zheng, D.; Liao, B.; Song, X. Researches on the mangrove plantation in Panyu, Guangdong. Ecol. Sci. 2001, 20, 25–31. [Google Scholar]
- Ye, Y.; Tam, N.F.Y.; Wong, Y.S.; Lu, C.Y. Does sea level rise influence propagule establishment, early growth and physiology of Kandelia candel and Bruguiera gymnorrhiza? J. Exp. Mar. Biol. Ecol. 2004, 306, 197–215. [Google Scholar] [CrossRef]
- Clarke, P.J. Effects of experimental canopy gaps on mangrove recruitment: Lack of habitat partitioning may explain stand dominance. J. Ecol. 2004, 92, 203–213. [Google Scholar] [CrossRef]
- Minchinton, T.E. Canopy and substratum heterogeneity influence recruitment of the mangrove Avicennia marina. J. Ecol. 2001, 89, 888–902. [Google Scholar] [CrossRef]
- Berger, U.; Adams, M.; Grimm, V.; Hildenbrandt, H. Modelling secondary succession of neotropical mangroves: Causes and consequences of growth reduction in pioneer species. Perspect. Plant Ecol. 2006, 7, 243–252. [Google Scholar] [CrossRef]
- Kamruzzaman, M.; Osawa, A.; Mouctar, K.; Sharma, S. Comparative reproductive phenology of subtropical mangrove communities at Manko Wetland, Okinawa Island, Japan. J. For. Res. 2017, 22, 118–125. [Google Scholar] [CrossRef]
- Peng, Y.; Diao, J.; Zheng, M.; Guan, D.; Zhang, R.; Chen, G.; Lee, S.Y. Early growth adaptability of four mangrove species under the canopy of an introduced mangrove plantation: Implications for restoration. For. Ecol. Mavag. 2016, 373, 179–188. [Google Scholar] [CrossRef]
- Tamai, S.; Iampa, P. Establishment and growth of mangrove seedling in mangrove forests of southern Thailand. Ecol. Res. 1988, 3, 227–238. [Google Scholar] [CrossRef]
- Ye, Y.; Wong, Y.S.; Tam, N.F.Y. Acclimation of a dominant mangrove plant (Kandelia candel) to soil texture and its response to canopy shade. Hydrobiologia 2005, 539, 109–119. [Google Scholar] [CrossRef]
- Krauss, K.W.; Allen, J.A. Factors influencing the regeneration of the mangrove Bruguiera gymnorrhiza (L.) Lamk. on a tropical Pacific Island. For. Ecol. Manag. 2003, 176, 49–60. [Google Scholar] [CrossRef]
- Chen, Y.; Ye, Y. Early responses of Avicennia marina (Forsk.) Vierh. to intertidal elevation and light level. Aquat. Bot. 2014, 112, 33–40. [Google Scholar] [CrossRef]
- Ball, M.C. Interactive effects of salinity and irradiance on growth: Implications for mangrove forest structure along salinity gradients. Trees 2002, 16, 126–139. [Google Scholar] [CrossRef]
- Delgado, P.; Hensel, P.F.; Jiménez, J.A.; Day, J.W. The importance of propagule establishment and physical factors in mangrove distributional patterns in a Costa Rican estuary. Aquat. Bot. 2001, 71, 157–178. [Google Scholar] [CrossRef]
- He, B.; Lai, T.; Fan, H.; Wang, W.; Zheng, H. Comparison of flooding-tolerance in four mangrove species in a diurnal tidal zone in the Beibu Gulf. Estuar. Coast. Shelf Sci. 2007, 74, 254–262. [Google Scholar] [CrossRef]
- Hovenden, M.J.; Curran, M.; Cole, M.A.; Goulter, P.F.E.; Skelton, N.J.; Allaway, W.G. Ventilation and respiration in roots of one-year-old seedlings of grey mangrove Avicennia marina (Forsk.) Vierh. Hydrobiologia 1995, 295, 23–29. [Google Scholar] [CrossRef]
- Ye, Y.; Tam, N.F.Y.; Wong, Y.S.; Lu, C.Y. Growth and physiological responses of two mangrove species (Bruguiera gymnorrhiza and Kandelia candel) to waterlogging. Environ. Exp. Bot. 2003, 49, 209–221. [Google Scholar] [CrossRef]
- Grime, J.P. Plant strategies and vegetation processes. J. Ecol. 1980, 68, 704–706. [Google Scholar]
- Sharma, S.; Kamruzzaman, M.; Rafiqul Hoque, A.T.M.; Hagihara, A. Leaf phenological traits and leaf longevity of three mangrove species (Rhizophoraceae) on Okinawa Island, Japan. J. Oceanogr. 2012, 68, 831–840. [Google Scholar] [CrossRef]
- Wardle, D.A.; Zackrisson, O. Effects of species and functional group loss on island ecosystem properties. Nature 2005, 435, 806–810. [Google Scholar] [CrossRef]
- Bosire, J.O.; Dahdouh-Guebas, F.; Kairo, J.G.; Wartel, S.; Kazungu, J.; Koedam, N. Success rates of recruited tree species and their contribution to the structural development of reforested mangrove stands. Mar. Ecol. Prog. Ser. 2006, 325, 85–91. [Google Scholar] [CrossRef]
- SmithIm, T.J.; Robblee, M.B.; Wanless, H.R.; Doyle, T.W. Mangroves, hurricanes, and lightning strikes. BioScience 1994, 44, 256–262. [Google Scholar] [CrossRef]
- Paijmans, K.; Rollet, B. The mangroves of galley reach, Papua New Guinea. For. Ecol. Manag. 1977, 1, 119–140. [Google Scholar] [CrossRef]
- Ewel, K.C.; Zheng, S.; Pinzon, Z.S.; Bourgeois, J.A. Environmental effects of canopy gap formation in high-rainfall mangrove forests. Biotropica 1998, 30, 510–518. [Google Scholar] [CrossRef]
© 2019 by the authors. Licensee MDPI, Basel, Switzerland. This article is an open access article distributed under the terms and conditions of the Creative Commons Attribution (CC BY) license (http://creativecommons.org/licenses/by/4.0/).






