Growth Responses of Eucalyptus pellita F. Muell Plantations in South Sumatra to Macronutrient Fertilisers Following Several Rotations of Acacia mangium Willd.
Abstract
:1. Introduction
2. Materials and Methods
2.1. Site and Soil
2.2. Treatment and Design
2.3. Measurements and Data Analysis
- N by H2SO4 digestion and then Kjeldahl analysis;
- P, K and Ca and Mg in HNO3 and HClO4 digests. P by spectrophotometer, K by flame photometer and Ca and Mg by atomic absorption spectrophotometer.
3. Results
3.1. Response to N Fertiliser
3.2. Response to P Fertiliser
3.3. Response to K and Ca Applications
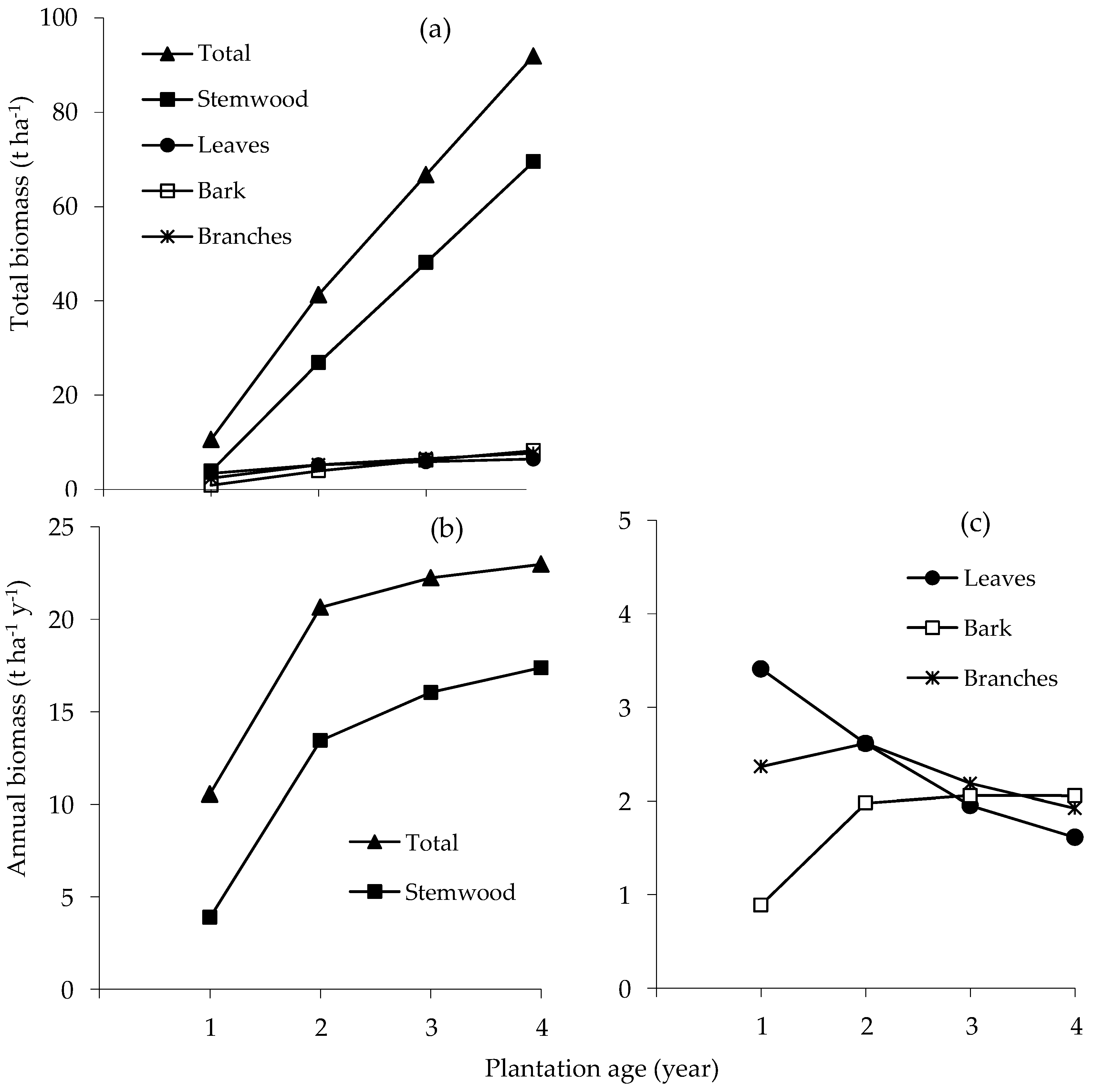
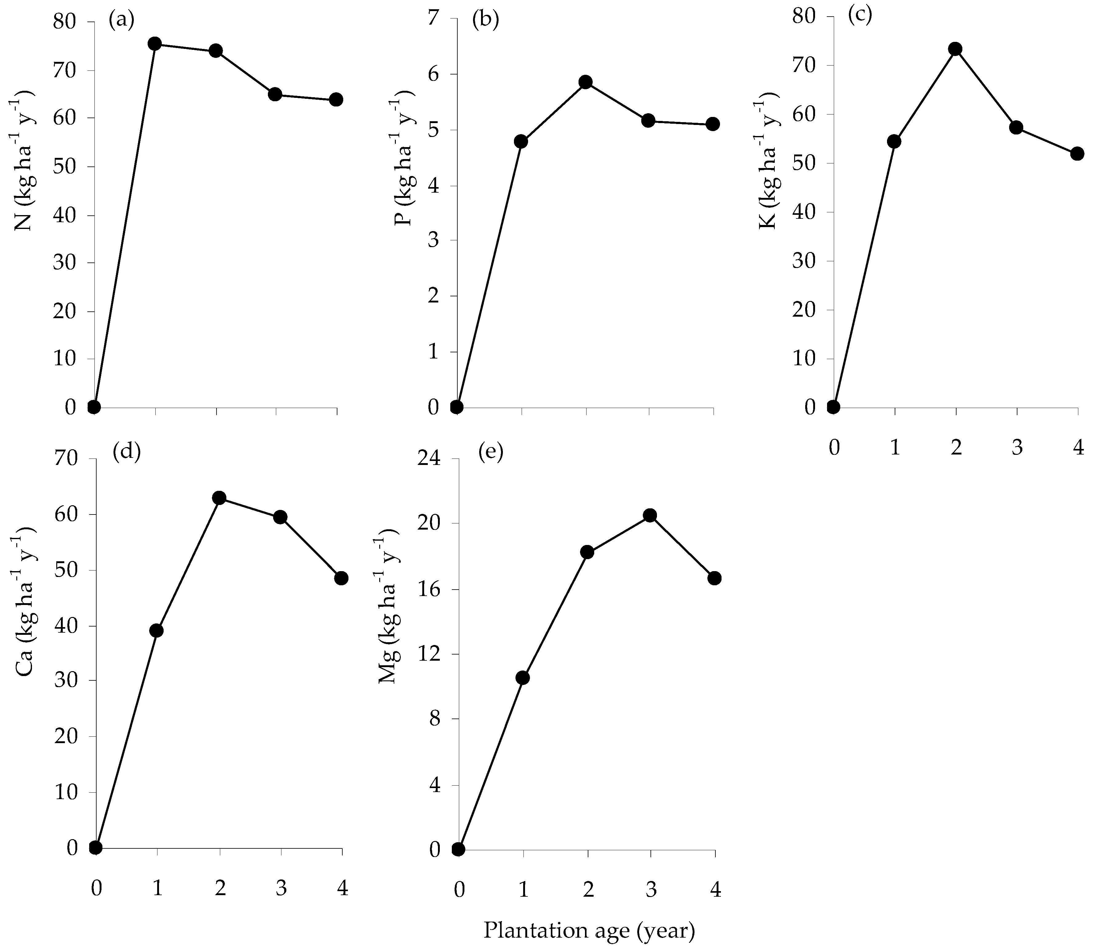
3.4. Biomass and Nutrient Accumulation
3.5. A. mangium versus E. pellita Productivity
4. Discussion
4.1. Phosphorus Response
4.2. Response of N, K and Ca Fertilisers
4.3. Biomass and Nutrient Accumulation in Standing Trees
4.4. Comparison of E. pellita and A. mangium Productivity
5. Conclusions
Author Contributions
Funding
Acknowledgments
Conflicts of Interest
References
- Mohammed, C.L.; Rimbawanto, A.; Page, D.E. Management of basidiomycetes root- and stem-rot diseases in oil palm, rubber, and tropical hardwood plantation crops. For. Pathol. 2014, 44, 428–446. [Google Scholar] [CrossRef]
- Tarigan, M.; Roux, J.; van Week, M.; Tjahjono, B.; Wingfield, M.J. A new wilt and die-back disease of A. mangium associated with Ceratocystis manginecans and C. acaciicvora sp. nov. in Indonesia. S. Afr. J. Bot. 2011, 77, 292–304. [Google Scholar] [CrossRef]
- Nambiar, E.K.S.; Harwood, C.E.; Mendham, D.S. Paths to sustainable wood supply to the pulp and paper industry in Indonesia after diseases have forced a change of species from acacia to eucalypts. Aust. For. 2018, 81, 148–161. [Google Scholar] [CrossRef]
- Hardiyanto, E.B.; Wicaksono, A. Inter-rotation site management, stand growth and soil properties in Acacia mangium plantations in South Sumatra, Indonesia. In Site Management and Productivity in Tropical Plantation Forests. Proceedings of Workshops in Piracicaba (Brazil) 22–26 November 2004 and Bogor (Indonesia) 6–9 November 2006; Nambiar, E.K.S., Ed.; CIFOR: Bogor, Indonesia, 2008; pp. 107–122. [Google Scholar]
- Sun, J.S.; Sands, R.; Simpson, R.J. Genotypic variation in growth and nodulation by seedlings of acacia species. For. Ecol. Manag. 1992, 55, 209–223. [Google Scholar] [CrossRef]
- Wibisono, G.; Veneklaas, E.; Mendham, D.; Hardiyanto, E.B. Nitrogen fixation of Acacia mangium Willd. from two sources grown at different levels of phosphorus in an Ultisol, South Sumatra, Indonesia. South. For. J. For. Sci. 2015, 77, 59–64. [Google Scholar] [CrossRef]
- Mendham, D.; Hardiyanto, E.B.; Sjarkowi, F.; Nurudin, M.; Soeprijadi, D.; Wicaksono, A.; Untung, S.; White, D.; Drake, P.; Rimbawanto, A. Realising Genetic Gains in Indonesia and Australian Plantations through Water and Nutrient Management Final Report FR2004/058; Australian Center for International Agricultural Research (ACIAR): Canberra, Australia, 2011; p. 88. [Google Scholar]
- Mendham, D.S.; Hardiyanto, E.B.; Wicaksono, A.; Nurudin, M. Nutrient management of contrasting Acacia mangium genotypes and weed management strategies in South Sumatra, Indonesia. Aust. For. 2017, 80, 127–134. [Google Scholar] [CrossRef]
- Hardiyanto, E.B.; Nambiar, E.K. Productivity of successive rotations of Acacia mangium plantations in Sumatra, Indonesia: Impacts of harvest and inter-rotation site management. New For. 2014, 45, 557–575. [Google Scholar] [CrossRef]
- Siregar, S.T.H.; Nurwahyudi; Mulawarman, K. Effects of inter-rotation management on Site Productivity of Acacia mangium plantation in Riau Province, Sumatra, Indonesia. In Site Management and Productivity in Tropical Plantation Forests, Proceedings of the Seventh Workshop in Piracicaba (Brazil) 22–26 November 2004 and Bogor (Indonesia) 6–9 November 2006; Nambiar, E.K.S., Ed.; CIFOR: Bogor, Indonesia, 2008; pp. 93–106. [Google Scholar]
- Gonçalves, J.L.M.; Stape, J.L.; Laclau, J.P.; Smethurst, P.; Gava, J.L. Silvicultural effects on the productivity and wood quality of eucalypt plantations. For. Ecol. Manag. 2004, 193, 45–61. [Google Scholar] [CrossRef]
- Xu, D.; Dell, B.; Yang, Z.; Malajczuk, N.; Gong, M. Effects of phosphorus application on productivity and nutrient accumulation of Eucalyptus urophylla plantation. J. Trop. For. Sci. 2005, 17, 447–461. [Google Scholar]
- Melo, E.A.S.C.; Goncalves, J.L.M.; Rocha, J.H.T.; Hakamada, R.E.; Bazani, J.H.; Wenzel, A.V.A.; Arthur-Junior, J.C.; Borges, J.S.; Malheiros, R.; Lemos, C.C.Z.; et al. Responses of clonal eucalypt plantations to N, P and K fertilizer application in different edaphoclimatic conditions. Forests 2016, 7, 2. [Google Scholar] [CrossRef]
- Silva, P.H.M.; Poggiani, F.; Libardi, P.L.; Goncalves, A.N. Fertilizer management of eucalypt plantations on sandy soil in Brazil: Initial growth and nutrient cycling. For. Ecol. Manag. 2013, 301, 67–78. [Google Scholar] [CrossRef]
- Laclau, J.P.; Deleporte, P.; Ranger, J.; Bouillet, J.P.; Kazotti, G. Nutrient dynamic throughout the rotation of Eucalyptus clonal stands in Congo. Ann. Bot. 2003, 91, 879–892. [Google Scholar] [CrossRef] [PubMed]
- ITS. The Economic Contribution of Indonesia’s Forest-Based Industries; ITS Global: Melbourne, Australia, 2011. [Google Scholar]
- Soil Survey Staff. Keys to Soil Taxonomy SMSS Technical Monograph No. 19, 5th ed.; Pocahontas Press: Blacksburg, VA, USA, 1992; p. 541. [Google Scholar]
- Siregar, S.T.H.; Alpan, U.; Ryantoko, A. Bilangan bentuk batang Acacia mangium umur 5 tahun di Subanjeriji. Technical Notes R&D. PT Musi Hutan Persada 1997, 7, 1–5. [Google Scholar]
- Supriyadi, B. Form factor of Eucalyptus pellita. Technical Notes R&D. PT Musi Hutan Persada 2011, 21, 1–5. [Google Scholar]
- Stape, J.L.; Binkley, D.; Ryan, M.G.; Fonseca, S.R.L.; Takahashi, E.N.; Silva, C.R.; Hakamada, S.R.; Ferreira, J.M.; Lima, A.M.; Gava, J.L.; et al. The Brazil Eucalyptus Potential Productivity Project: Influence of water, nutrients and stand uniformity on wood production. For. Ecol. Manag. 2010, 259, 1684–1694. [Google Scholar] [CrossRef]
- Harwood, C.E.; Nambiar, E.K.S. Productivity of acacia and eucalypt plantations in Southeast Asia. 2. Trends and variations. Int. For. Rev. 2014, 16, 249–260. [Google Scholar] [CrossRef]
- Hardiyanto, E.B.; Nambiar, E.K.S.; Inail, M.A. Challenges to Site Management During Large-scale Transition from Acacia mangium to Eucalyptus pellita in Short Rotation Forestry on Mineral Soils in Sumatra, Indonesia. In Proceedings of the IUFRO Eucalypt Conference 2015, Zhanjiang, China, 21–24 October 2015; p. 9. [Google Scholar]
- Siregar, S.T.H.; Wawan; Adiwirman. Effect of fertilization on the growth and biomass of Acacia mangium and Eucalyptus hybrid (E. grandis × E. pellita). J. Trop. Soils 2015, 20, 157–166. [Google Scholar]
- Inail, M.A.; Hardiyanto, E.B.; Supriyadi, B. Inter-rotation site management of Eucalyptus pellita after three successive rotations of Acacia mangium. In Proceedings of the IUFRO INAFOR Joint International conference, Yogyakarta, Indonesia, 24–27 July 2017; p. 91. [Google Scholar]
- Inagaki, M.; Kamo, K.; Miyamoto, K.; Titin, J.; Jamalung, L.; Lapongan, J.; Miura, S. Nitrogen and phosphorus retranslocation and N:P ratios of litterfall in three tropical plantations: Luxurious N and efficient P use by Acacia mangium. Plant Soil 2011, 341, 295–307. [Google Scholar] [CrossRef]
- Inail, M.A.; Thaher, E. Dosis optimum TSP dalam memaksimalkan produktifitas Eucalyptus pellita. Technical Notes R&D. PT Musi Hutan Persada 2016, 26, 1–6. [Google Scholar]
- Nurudin, M.; Ohta, S.; Hardiyanto, E.B.; Mendham, D.; Wicaksono, A.; Heriyanto, J.; Watanabe, M. Relationships between soil characteristics and productivity of Acacia mangium in South Sumatra. Tropics 2013, 22, 1–12. [Google Scholar] [CrossRef]
- Ferreira, J.M.A.; Stape, J.L. Productivity gains by fertilisation in Eucalyptus urophylla clonal plantations across gradients in site and stand conditions. South. For. 2009, 71, 253–258. [Google Scholar] [CrossRef]
- Mendham, D.; Rimbawanto, A.; Mohammed, C.; Glen, M.; Hardie, M.; Beadle, C.; Greenhill, M.; Walker, I.; Hardiyanto, E.; Inail, M.A.; et al. Increasing Productivity and Profitability of Indonesian Smallholder Plantations Final Report FR2015-17; Australian Center for International Agricultural Research (ACIAR): Canberra, Australia, 2015; p. 129. [Google Scholar]
- Pulito, A.P.; Goncalves, J.L.M.; Smethurst, P.J.; Arthur-Junior, J.C.; Alvares, A.; Rocha, J.H.T.; Hubner, A.; Moraes, L.F.; Miranda, A.C.; Kamogawa, M.Y.; et al. Available nitrogen and responses to nitrogen fertilizer in Brazilian eucalypt plantations on soils of contrasting texture. Forests 2015, 6, 973–991. [Google Scholar] [CrossRef]
- Khanna, P.K. Nutrient cycling under mixed-species tree systems in Southeast Asia. Agrofor. Syst. 1998, 38, 99–120. [Google Scholar] [CrossRef]
- Huong, V.D.; Nambiar, E.K.S.; Quang, L.T.; Mendham, D.S.; Dung, P.T. Improving productivity and sustainability of successive rotations of Acacia auriculiformis plantations in South Vietnam. South. For. 2015, 77, 51–58. [Google Scholar] [CrossRef]
- Bich, N.V.; Eyles, A.; Mendham, D.; Dong, T.L.; Ratkowsky, D.; Evans, K.J.; Hai, V.D.; Thanh, H.V.; Thinh, N.V.; Mohammmed, C. Contribution of Harvest Residues to Nutrient Cycling in a Tropical Acacia mangium Willd. Plantation. Forests 2018, 9, 577. [Google Scholar] [CrossRef]
- Battie-Laclau, P.; Laclau, J.P.; Domec, J.C.; Christina, M.; Bouillet, J.P.; Piccolo, M.C.; Goncalves, J.L.M.; Moreira, R.M.; Krusche, A.V.; Bouvet, J.M.; et al. Effects of potassium and sodium supply on drought-adaptive mechanisms in Eucalyptus grandis plantations. New Phytol. 2014, 203, 401–413. [Google Scholar] [CrossRef]
- Goncalves, J.L.M.; Stape, J.L.; Laclau, J.P.; Bouillet, J.P.; Ranger, J. Assessing the effect of early silvicultural management on long-term site productivity of fast growing eucalyptus plantations: The Brazilian experience. South. For. 2008, 70, 105–118. [Google Scholar] [CrossRef]
- Almeida, J.C.R.; Laclau, J.P.; Gonçalves, J.L.M.; Ranger, J.; Saint-André, L. A positive growth response to NaCl applications in Eucalyptus plantations established on K-deficient soils. For. Ecol. Manag. 2010, 259, 1786–1795. [Google Scholar] [CrossRef]
- Bernardo, A.L.; Reis, M.G.F.; Reis, G.G.; Harrison, R.B.; Firme, D.J. Effect of spacing on growth and biomass distribution in Eucalyptus camaldulensis, E. pellita and E. urophylla plantations in southeastern Brazil. For. Ecol. Manag. 1998, 104, 1–13. [Google Scholar] [CrossRef]
- Harrison, R.B.; Reis, G.G.; Reis, M.D.G.F.; Bernardo, A.L.; Firme, D.J. Effect of spacing and age on nitrogen and phosphorus distribution in biomass of Eucalyptus camaldulensis, Eucalyptus pellita and Eucalyptus urophylla plantations in southeastern Brazil. For. Ecol. Manag. 2000, 133, 167–177. [Google Scholar] [CrossRef]
- Nasution, A.; Glen, M.; Beadle, C.; Mohammed, M. Ceratocystis wilt and canker—A disease that compromises the growing of commercial Acacia-based plantations in the tropics. Aust. For. 2019, 82, 80–93. [Google Scholar] [CrossRef]
- Turvey, N.D. Growth at age 30 months of Acacia and Eucalyptus species planted in Imperata grasslands in Kalimantan Selatan, Indonesia. For. Ecol. Manag. 1996, 82, 185–195. [Google Scholar] [CrossRef]





| Site | Clay | Silt | Sand | P-Bray | Total N | Organic C | pH | Exchangeable Cations | ||
|---|---|---|---|---|---|---|---|---|---|---|
| K | Ca | Mg | ||||||||
| (%) | (mg kg −1) | (%) | (%) | (H2O) | (mg kg−1) | |||||
| Core Gemawang 30f | 51.6 | 25.1 | 23.3 | 6.2 | 0.08 | 2.9 | 4.38 | 64.9 | 95.2 | 38.9 |
| Satellite I Gemawang 30a ex. Acacia mangium | 54.4 | 11.9 | 33.8 | 7.3 | 0.07 | 3.0 | 4.35 | 46.0 | 67.1 | 12.6 |
| Satellite II Gemawang 30a ex. E. pellita | 54.4 | 13.5 | 32.1 | 7.3 | 0.07 | 3.5 | 4.30 | 41.4 | 53.7 | 13.4 |
| Satellite III Sodong Timur 26d ex-secondary forest | 31.5 | 19.0 | 49.5 | 9.3 | 0.17 | 2.8 | 4.85 | 83.3 | 110.4 | 88.8 |
| Treatment | Species | Nutrients Applied (kg ha−1, Elemental) | |||
|---|---|---|---|---|---|
| N | P | K | Ca | ||
| EP-N0P0K0 | E. pellita | 0 | 0 | 0 | 0 |
| EP-N0P0K0Ca | E. pellita | 0 | 0 | 0 | 2500 |
| EP-N0P30K0 | E. pellita | 0 | 30 | 0 | 0 |
| EP-N40P0K0 | E. pellita | 40 | 0 | 0 | 0 |
| EP-N40P30K0 | E. pellita | 40 | 30 | 0 | 0 |
| EP-N40P30K35 | E. pellita | 40 | 30 | 35 | 0 |
| EP-N40P30K70 | E. pellita | 40 | 30 | 70 | 0 |
| EP-N120P0K0 | E. pellita | 120 | 0 | 0 | 0 |
| EP-N120P30K0 | E. pellita | 120 | 30 | 0 | 0 |
| AM-N0P0K0 | A. mangium | 0 | 0 | 0 | 0 |
| AM-N0P30K0 | A. mangium | 0 | 30 | 0 | 0 |
| Tree Component | Equations | R2 | n | SE |
|---|---|---|---|---|
| Stemwood | y = 0.005 D3.576 | 0.97 | 54 | 16.11 |
| Bark | y = 0.005 D2.799 | 0.96 | 54 | 2.00 |
| Leaves | y = 0.631 D0.918 | 0.72 | 33 | 1.28 |
| Branches | y = 0.135 D1.560 | 0.81 | 49 | 2.32 |
| Treatment | Height, H | DBH, D | Volume, V | Survival |
|---|---|---|---|---|
| (m) | (cm) | (m3 ha −1) | (%) | |
| * P response (kg ha−1) | ||||
| 0 | 10.9 | 9.5 | 46.7 | 89.3 |
| 30 | 13.5 | 12.5 | 79.3 | 82.9 |
| p-value | <0.0001 | <0.0001 | <0.0001 | 0.08 |
| * N response (kg ha−1) | ||||
| 0 | 11.8 | 10.7 | 58.5 | 87.2 |
| 40 | 12.1 | 11.0 | 62.4 | 85.2 |
| 120 | 12.6 | 11.4 | 68.1 | 86.0 |
| p-value | 0.34 | 0.28 | 0.26 | 0.89 |
| P × N (p-value) | 0.46 | 0.52 | 0.52 | 0.63 |
| K response (kg ha−1) | ||||
| 0 | 13.8 | 12.3 | 83.5 | 86.4 |
| 35 | 13.8 | 12.8 | 84.5 | 82.0 |
| 70 | 14.0 | 13.0 | 88.5 | 83.2 |
| p-value | 0.89 | 0.32 | 0.87 | 0.78 |
| Ca response (kg hydrated lime ha−1) | ||||
| 0 | 10.8 | 9.3 | 43.4 | 88.0 |
| 2500 | 10.6 | 10.1 | 49.0 | 90.4 |
| p-value | 0.82 | 0.36 | 0.45 | 0.68 |
| Satellite Sites | Height, H | Diameter, D | Volume, V | Survival |
|---|---|---|---|---|
| (m) | (cm) | (m3 ha−1) | (%) | |
| S I: Gemawang 30a ex-A. mangium | ||||
| N-0 | 14.5 | 13.1 | 95.2 | 80.0 |
| N-120 | 15.4 | 13.8 | 101.9 | 76.0 |
| p-value | 0.03 | <0.01 | 0.45 | 0.55 |
| S II: Gemawang 30a ex-E. pellita | ||||
| N-0 | 15.2 | 12.7 | 96.4 | 84.0 |
| N-120 | 15.2 | 13.0 | 97.4 | 82.0 |
| p-value | 0.91 | 0.29 | 0.78 | 0.60 |
| *S III: Sodong Timur 26d ex-secondary forest | ||||
| N-0 | 13.7 | 11.8 | 92.3 | 88.2 |
| N-40 | 14.1 | 12.2 | 91.7 | 80.6 |
| N-120 | 14.2 | 12.2 | 93.7 | 82.5 |
| p-value | 0.17 | 0.08 | 0.32 | 0.20 |
| S IV: Merbau 25d ex-A. mangium | ||||
| N-0 | 12.5 | 11.4 | 71.1 | 81.1 |
| N-30 | 12.0 | 11.1 | 66.1 | 77.8 |
| N-60 | 12.7 | 11.7 | 76.0 | 80.0 |
| N-90 | 13.1 | 11.4 | 84.8 | 91.1 |
| N-120 | 12.7 | 11.5 | 79.0 | 83.3 |
| p-value | 0.12 | 0.61 | 0.32 | 0.51 |
| S V: Gemawang 14e ex-E. pellita | ||||
| N-0 | 13.7 | 12.6 | 76.4 | 64.6 |
| N-30 | 13.4 | 11.8 | 79.3 | 71.9 |
| N-60 | 14.0 | 12.8 | 77.6 | 62.5 |
| N-160 | 13.2 | 11.6 | 65.0 | 62.5 |
| p-value | 0.41 | 0.06 | 0.49 | 0.67 |
© 2019 by the authors. Licensee MDPI, Basel, Switzerland. This article is an open access article distributed under the terms and conditions of the Creative Commons Attribution (CC BY) license (http://creativecommons.org/licenses/by/4.0/).
Share and Cite
Inail, M.A.; Hardiyanto, E.B.; Mendham, D.S. Growth Responses of Eucalyptus pellita F. Muell Plantations in South Sumatra to Macronutrient Fertilisers Following Several Rotations of Acacia mangium Willd. Forests 2019, 10, 1054. https://doi.org/10.3390/f10121054
Inail MA, Hardiyanto EB, Mendham DS. Growth Responses of Eucalyptus pellita F. Muell Plantations in South Sumatra to Macronutrient Fertilisers Following Several Rotations of Acacia mangium Willd. Forests. 2019; 10(12):1054. https://doi.org/10.3390/f10121054
Chicago/Turabian StyleInail, Maydra Alen, Eko B. Hardiyanto, and Daniel S. Mendham. 2019. "Growth Responses of Eucalyptus pellita F. Muell Plantations in South Sumatra to Macronutrient Fertilisers Following Several Rotations of Acacia mangium Willd." Forests 10, no. 12: 1054. https://doi.org/10.3390/f10121054
APA StyleInail, M. A., Hardiyanto, E. B., & Mendham, D. S. (2019). Growth Responses of Eucalyptus pellita F. Muell Plantations in South Sumatra to Macronutrient Fertilisers Following Several Rotations of Acacia mangium Willd. Forests, 10(12), 1054. https://doi.org/10.3390/f10121054
