Abstract
A novel series of the title compound 4-(5-arylazo-2-hydroxystyryl)-1-methylpyridinium iodide 6 has been synthesized via condensation reactions of the arylazosalicylaldehyde derivatives 4a–i with 1-methyl-picolinium iodide 5. The structures of the new arylazo compounds were characterized by 1H NMR, IR, mass spectroscopy, as well as spectral and elemental analyses. The electronic absorption spectra of arylazomerocyanine compounds 6 were measured in different buffer solutions and solvents. The pK′s and pK*′s in both the ground and excited states, respectively, were determined for the series and their correlations with the Hammett equation were examined. The results indicated that the title arylazomerocyanine dyes 6 exist in the azo form 6A in both ground and excited states. The substituent and solvent effects (solvatochromism) of the title compound arylazomerocyanine dyes were determined using the Kamlet-Taft equation and subsequently discussed.
1. Introduction
Many arylazo compounds are represented in important classes of widely studied colored organic compounds. They are used in a variety of industrial applications including laser materials, ink-jet inks, disperse dyes, and in reprographic technology, laser printing and hair dyeing [1,2,3,4,5]. Also, arylazo function groups are important in progressing antineoplastics activity [6,7]. In addition other arylazo dyes have also attracted much attention due to their diverse photodynamic therapy, as lasers and second order non-linear optical materials (NLO) suitable for applications such as optical switching and harmonic generation [8,9,10].
Merocyanine or styryl dyes have been utilized as sensitizing additives in color photography [11], as photoelectrodes in dye-sensitized light-weight plastic solar cells [12], and as molecular probes to measure the potential of the membrane in biological systems [13]. Also merocyanines are well known to be sensitive to the polarity of solvents so these dyes show very interesting spectral, photochemical behavior and solvatochromic properties [14], as well as being photoreactive compounds sensitive to the acidity of the medium [15], so that in acidic or basic medium these dyes can undergo protonation or deprotonation reactions [16]. Due to these properties, these dyes are very attractive for numerous photonic applications [17] such as laser phototherapy [18], molecular electronics [19], nonlinear optics [20], solar photovoltaic′s [21] and laser materials [22].
In the light of the above findings we have continued our efforts to synthesize and study spectrophotometrically arylazo derivatives of heterocyclic compounds and merocyanine dyes to explore their applications as photoprobes, and for pH sensing and water sensing in organic solvents [23,24,25,26,27,28]. We display here our interest in the synthesis of 4-(5-arylazo-2-hydroxystyryl)-1-methylpyridinium iodide using and applying the physical constraints approach to evaluate its acid dissociation constant to elucidate the actual tautomeric structure in both its ground and excited states via correlated pK′s and pK*′s by the Hammett equation. To the best of our knowledge there have been no reports hitherto on the synthesis of the latter derivatives. Furthermore, it was thought interesting to elucidate the actual tautomeric structure of the compounds in question (Scheme 1) and determine their solvatochromic properties via application of the Kamlet-Taft equations with discussion prior to investigating their biological activities and applications as potential photoprobes.
Scheme 1.
Synthesis of arylazosalicylaldehyde 4a–i and 4-(5-arylazo-2-hydroxystyryl)-1-methylpyridinium iodide 6a–i.
2. Results and Discussion
2.1. Synthesis and Characterizations
The required series of arylazosalicylaldehyde 4d–f,h were prepared by selective coupling of the salicyladehyde with the appropriate diazotized aniline in 80% ethanol-water mixture in the presence of a NaOH and Na2CO3. This coupling reaction was accomplished selectivity at the position-5 of the salicyladehyde ring as outlined in (Scheme 1). The structures were confirmed by elemental analyses and spectral (Infrared spectra (IR), 1H NMR and mass spectrum (MS)) data. For example, the IR spectrum of arylazo compound 4h (see Experimental Section), taken as a typical example of the series arylazosalicylaldehyde, revealed three stretching bands at νmax = 3435, 1706, and 1657 cm−1 for the OH, ester C=O and aldehyde C=O groups, respectively. The 1H NMR spectrum revealed two triplet signals at δ 1.35 and a quartet at 4.31 ppm attributable to the CH3 and CH2 of the ester group, respectively, and another two singlet signals one of them at δ 10.37 ppm assignable to CHO group and the other a broad singlet at δ 11.61 ppm assignable to the OH group, in addition to the aromatic protons. A molecular ion peak in the mass spectrum at m/z 298 was apparent which is in agreement with the molecular formula C16H14N2O4. The other arylazosalicylaldehydes 4a [29] and 4b,c,g,i [30] were prepared as previously reported.
Next, refluxing equimolar amounts of the appropriate arylazosalicylaldehyde 4a–i and 1-methyl-4-methylpyridinium iodide 5 in EtOH containing catalytic amounts (few drops) of piperidine as basic catalyst, afforded in each case one isolable product (as evidenced by TLC analysis of the crude product) which was identified as the 4-(5-arylazo-2-hydroxystyryl)-1-methylpyridinium iodide derivatives 6a–i formed in good yields 76%–95% yield as outlined in (Scheme 1). The structure of compounds 6a–i were elucidated by elemental and spectral (IR, 1H NMR and mass) data. For example, the IR spectra revealed an absorption band in each case near νmax = 3430 cm−1 corresponding to the stretching OH group in addition to the expected bands of aliphatic CH and aromatic C=C stretching. 1H NMR spectra of compounds 6 revealed in addition to the expected signals of the aromatic protons, and singlet at δ = 4.09–4.26 ppm a signal of the protons of one methyl group (NCH3), a singlet at δ = 6.25–6.77 ppm assigned to the OH proton. The mass spectra of all products 6 exhibited in each case, a molecular ion peak at the correct molecular weight for the respective compound (see Experimental Section).
Finally coupling equimolar amounts of the appropriate diazotized anilines and 1-methyl-4-(2-hydroxystryl) pyridinium iodide 7 [31] in ethanol in the presence of a catalytic amount of NaOH gave the corresponding products, 6g–i which were identical in all respects (melting point (mp) and IR spectra) with those obtained from condensation reaction of compounds 4 with 5.
Their mass spectral data of azo disperse dyes 6a–i showed in each case the respective molecular ion peak (M+). Although the foregoing spectroscopic data are consistent with the assigned structures 6a–i, they cannot distinguish between the two possible tautomeric structures namely, the hydroxy-azo and keto-hydrazone forms 6A and 6B, respectively (Scheme 1). To elucidate the actual tautomeric form to compound 6, we studied their electronic absorption spectra in different buffer solutions.
2.2. Determination of Acid Dissociation Constants and Tautomeric Structure for the Prepared Azo Disperse Dyes 6a–i
The UV-Vis spectra of 4-(5-arylazo-2-hydroxystyryl)-1-methylpyridinium iodide 6a–i in ethanol revealed, in each case, three characteristic absorption maxima, one above 500 nm, the second in the region 484–411 nm and the third in the range of 361–345 nm (Table 1). These electronic absorption patterns are similar to those of hydroxyazo compounds [32]. On the basis of such an absorption pattern, it can be concluded that the studied compounds 6 have in solution one tautomeric form, namely the hydroxyazo tautomeric form 6A. This conclusion was confirmed by the 1H NMR spectra of the studied compounds 6. Such spectra showed the OH proton signals in the region of δ = 6.25–6.77 ppm (see Experimental Section).
Table 1.
UV Spectra of 4-(5-arylazo-2-hydroxystyryl)-1-methylpyridinium iodide 6a–i in ethanol.
To provide further evidence for the hydroxy-azo form 6A assigned to the studied condensation and coupling products, the acid dissociation constants pKa of the synthesized series were determined and their correlation by the Hammett equation was examined [33]. The pKa values for the series 6a–i were determined spectrophotometrically in 80% dioxane-water mixture (v/v) at 27 °C and μ = 0.10. In all runs the ionic strength was kept constant at 0.10. From the pH-absorbance spectra, typical absorption spectra of compound 6e in such buffer solutions are shown in (Figure 1). The value of the pKa was calculated (See Experimental Section).
Figure 1.
(a) UV absorption spectra of (6e), in solution of different pH values (80% dioxane-water) at 27 °C and μ = 0.10; (b) Spectrophotometric titration curve of (6e), at λmax = 525 nm in 80% dioxane-water mixture at 27 °C and μ = 0.10.
The acid dissociation constants pKa values determined for the compounds 6a–i are listed in (Table 2). The pKa values were plotted versus the Hammett substituent constant σX and exalted Hammett substituent constant using the least-squares method as shown in (Figure 2) [33] and the equations corresponding to the straight lines obtained are:
where r is the correlation coefficient and s the standard deviation. From these values of r and s, the pKa data from 6a–i seem to be better correlated with the Hammett substituent constant σX rather than the enhanced Hammett substituent constant . Such excellent linear correlations with σ indicate that the studied compounds exist in the 1H-structure, namely the hydroxyazo form 6A (Scheme 1). This is because if they existed in one of the mixed hydroxyazo-ketohydrazone tautomeric forms 6A or 6B, their acid dissociation constants pK values would be better correlated with the exalted Hammett substituent constant σ− rather than σ as the substituent would be in a direct interaction with the negative charge on the nitrogen atom in the conjugate base. This finding indicates that compounds 6a–i exist in the hydroxyazo form 6A in solution. Furthermore, the assignment of form 6A is substantiated by the similarity of the reaction constant ρ value 1.07 for the series studied 6a–I with that reported for 2-arylazophenols, ρ = 1.22 [34]. However, for a typical hydrazone, the ρ value was reported to be 2.57 [35].
pKa = 7.57 − 1.07σX, r2 = 0.983, s = ±0.05
Table 2.
Acid dissociation constants pK and pK* of 4-(5-arylazo-2-hydroxystyryl)-1-methylpyridinium iodide 6a–i.
Figure 2.
(a) Correlation of pK and pK* of 4-(5-arylazo-2-hydroxystyryl)-1-methylpyridinium iodide 6a–i with Hammett substituent constants σ; (b) Correlation of pK and pK* of 4-(5-arylazo-2-hydroxystyryl)-1-methylpyridinium iodide 6a–i with enhanced Hammett substituent constants σ−.
Next, the acid dissociation constants pK*′s of the studied compounds in their corresponding singlet excited states were calculated by utilizing the so-called Forester energy cycle [36]. According to this energy cycle:
where pK and pK* are the acid dissociation constants in the ground and excited states, respectively and Δν represents the frequency difference in cm−1 between the values of the absorption maximum λmax of the compound in acid and alkaline media [37,38,39].
pK* = pK + (Δν) (0.625/T)
The results of such calculations are summarized in Table 2. We examined the correlation of these acidity constants pK* of 6 with the Hammett substituent constant as shown in Figure 2. Plots of pK* for the series 6 vs. σX and were linear. The equations of the regression lines are:
pK* = −12.70 − 2.05σX, r2 = 0.92, s = ±0.10
Such linear equations indicate that the studied series 6a–i have also predominantly the hydroxyazo tautomeric form in their excited states. As shown, the reaction constants in the excited state (ρ*) obtained are larger than those of the ground state. Assuming that the atom connectivity is the same in both ground and excited states, such results emphasize the importance of the electronic interaction in the excited state [37,38,39]. Furthermore, such linear correlations together with the similarity of the ρ* values collectively indicate that the studied compounds 6 exist predominantly in the 1H-structure, namely form 6A (Scheme 1) in their excited states too. This is only to be expected if the lifetime of the excited state before electronic relaxation is too short to allow equilibration with the other tautomeric structure.
2.3. Solvatochromic Behavior
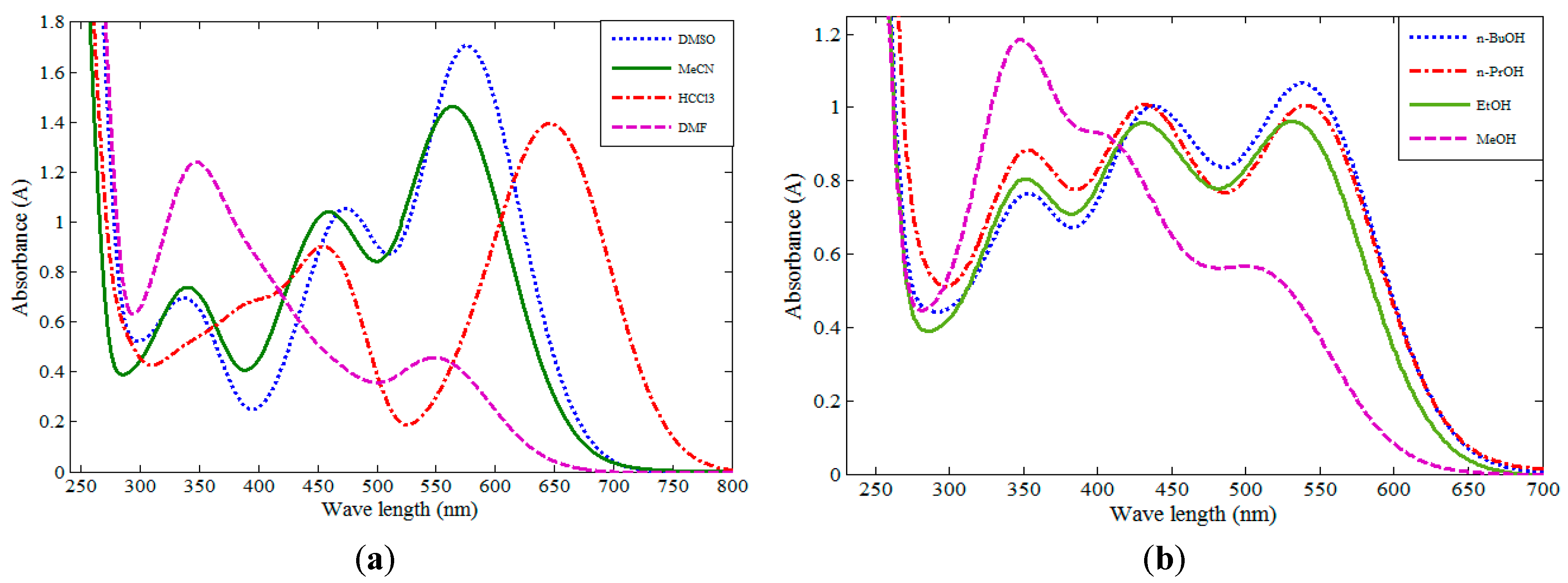
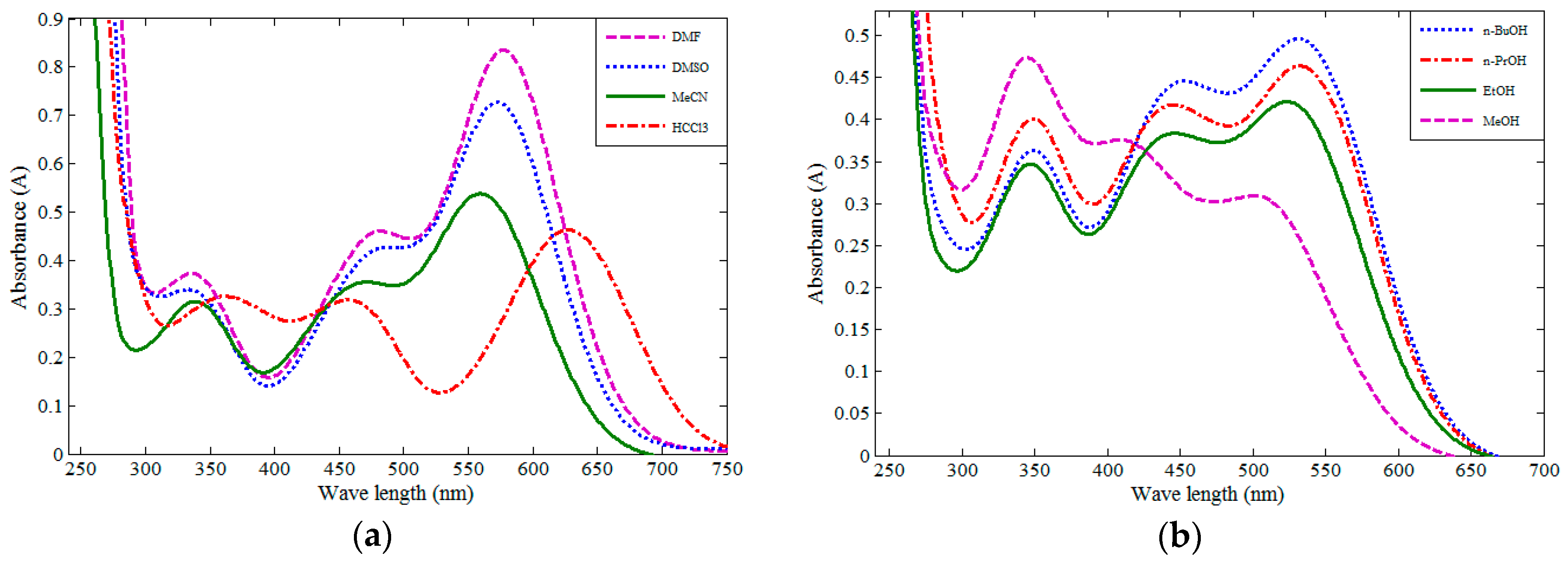
The electronic absorption spectra of the title compounds 6a–i were recorded at concentration of 10−5 M over the range 300–800 nm in eight various organic solvents of different physical properties, namely acetonitrile, n-propanol, n-butanol, methanol, ethanol, chloroform, dimethylformamide (DMF) and dimethylsulfoxide (DMSO). The results of the λmax bands are listed in Table 1 and Table 3. As shown in these tables, the spectra of each compound of the studied series showed that they are comprised of mainly two or three bands, depending upon the molecular structure of the substituent and the nature of the solvent. Each of the studied compounds exhibits absorption bands in the ranges 340–360 nm, 400–510 nm and 630–760 nm in all solvents used. The latter UV λmax peaks have a charge transfer character, due to π-π* electron transfer during the S0–S1 transition. With increasing solvent polarity a bathochromic shift (positive solvatochromism) and a splitting of the UV–Vis absorption band, caused by hydrogen bond formation and deprotonation, is observed [40]. The main Vis band displayed by all substituted compounds in the region 630–760 nm is a highly intense one and is relatively affected by the changing of the solvent and the substituent present; such as, the absorption spectra of the two compounds 6e in Figure 3 and 6f in Figure 4. Table 1 and Table 3 in different solvents show a band appearing at longer λmax indicating that such dyes may be liable to form a solvated complex [41,42].
Table 3.
Electronic spectral data of 4-(5-arylazo-2-hydroxystyryl)-1-methylpyridinium iodide 6a–i in various solvents.
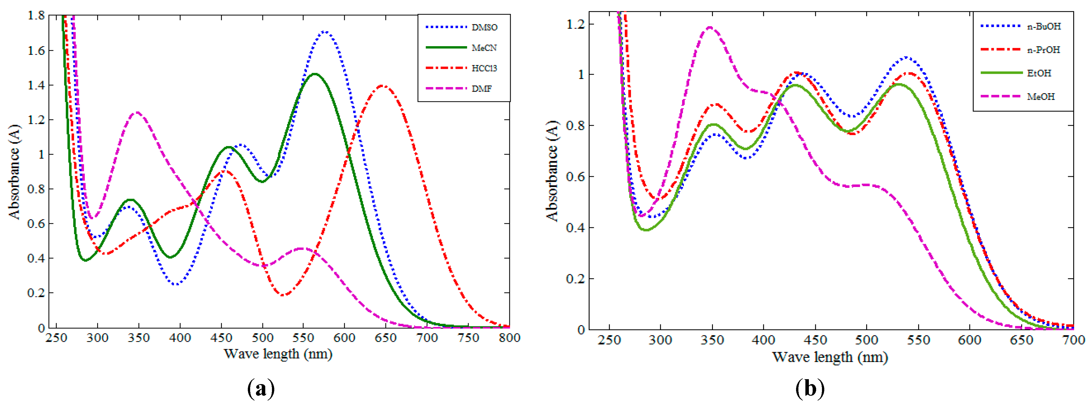
Figure 3.
Electronic absorption spectra of 2.0 × 10−5 M compound 4e: (a) In dimethylsulfoxide (DMSO), MeCN, HCCl3 and dimethylformamide (DMF); (b) In n-butanol, n-propanol, ethanol and methanol.
Figure 4.
Electronic spectra of 2.0 × 10−5 M compound 4f: (a) In DMSO, MeCN, HCCl3 and DMF; (b) In n-butanol, n-propanol, ethanol and methanol.
Next, the effects of solvents on the absorption spectra of the synthesizedcompounds 6a–i were evaluated and interpreted by use of multiliner regression analysis. The spectral shifts in different solvents, solute solvent interactions were measured by polarity/polarizability, hydrogen bonding and basicity of solvents which are considered as the main contributions to compare acidity by means of the linear solvation energy relationship (LSER), namely the Kamlet-Taft equation (Equation (1)) [43,44]:
where υ is the solvatochromic property of interest (wave number in the maximum of absorption band in cm−1), π* is the measure of solvent dipolarity/polarizability, β is the scale of the solvent hydrogen bond acceptor (HBA) basicities, α is the scale of the solvent hydrogen-bond donor (HBD) acidities, and υo is the solute property of a reference system and represents the regression intercept which corresponds to the gaseous state of the spectrally active substance. The solvent parameters are given in Table 4 and the values of such solvent regression factors are depicted in Table 5.
υ = υo + sπ* + bβ + aα
Table 4.
Solvent parameters.
Table 5.
Regression fits to solvatochromic parameters (Equation (1)).
The regression coefficients s, a and b are fitted at the 95% confidence level, whose values depend on the degree of contribution of each solvent parameter (π*, β and α) to the expected values. The AS multiple correlation coefficient value reflects the goodness of the fit, the values (0.993–0.810) of the correlation coefficient indicated that the correlation between spectroscopic data and the certain solvent parameter is acceptable [45].
The negative sign of (b) regression coefficient indicated a bathochromic shift with regard to the increasing solvent hydrogen bond acceptor basicities and solvent dipolarity/polarizability and vice versa. This increases the stability of the resonance structure in the absorption of merocyanine dyes and decreases the reorientation of the solvents molecules around the dyes. The positive sign of the (a) and (s) coefficients for all the dyes indicated a hypsochromic shift relative to the increasing solvent hydrogen bond donor acidities. This refers to stabilization of the ground state with respect to the electronic excited state.
From the values of regression coefficients, Table 3, the percentage contributions of all parameters to solvatochromism π*, β and α, were calculated for the studied compounds and are listed in Table 6 and showed in Figure 5.
Table 6.
Contribution percentages of solvatochromic parameters π*, β and α.
Figure 5.
Percentage contribution of the solvatochromic parameters: π*, β and α.
The percentage contributions of the solvatochromic interactions, Table 6 shows that most of the solvatochromism is due to solvent dipolarity/polarizability (non-specific solvent interactions) and HBD ability (α term) which increases their electron density and thus decreases the push-pull character of the chromophore [46]. However, in cases of compounds 6g and 6h where β values (HBA ability) of the solvent are greater than α values, this could be explained by the interaction of HBA solvents with the carbonyl groups of the acetyl and ester groups of the 6g and 6h molecules, respectively. In case of compound 6i the value of α is greater than the values of both β and dipolarity/polarizability as shown in Figure 5.
3. Materials and Methods
3.1. General Experimental Procedures
Melting points of crystalline azo compounds were measured on an electrothermal Gallenkamp apparatus and are not corrected. Solvents were generally distilled and dried by standard literature procedure prior to use. The UV-Vis spectra were recorded on a Perkin-Elmer Lambada 40 spectrometer (Perkin-Elmer, Überlingen, Germany). The IR spectra were taken with a Pye-Unicam SP300 spectrometer using KBr discs (Shimadzu, Tokyo, Japan) The 1H NMR (300 MHz) spectra were obtained with a Varian Mercury VXR-300 spectrometer (Varian, Inc., Karlsruhe, Germany). Mass spectra were recorded on a GC-MS Q1000-EX (Shimadzu, Tokyo, Japan) and GC-MS 5988-A HP spectrometers (Shimadzu, Tokyo, Japan), the ionizing voltage was 70 eV. Elemental analyses were carried out by the Micro analytical Center of Cairo University, Giza, Egypt. 5-arylazosalicylaldehyde 4a [29] and 4b,c,g,i [30] were prepared by literature methods and 1-methyl-4-(2-hydroxystryl)pyridinium iodide 7 [31]. Typical reaction procedures and spectroscopic data for the all new products are listed below.
3.2. Synthetic Procedures
3.2.1. General Procedure for the Synthesis of Arylazosalicylaldehyde 4a–j
A mixture of 20 mmol of an aniline derivative in concentrated hydrochloric acid (30 mL) and water (5 mL) was heated until complete dissolution and diazotized with sodium nitrite (1.4 g, 20 mmol) dissolved in little amount of water, over a period of 20 min at 0 °C. The diazonium solution was added dropwise to a solution of salicylaldehyde (2.13 mL, 20 mmol) in water (40 mL) containing sodium carbonate (7.4 g) and sodium hydroxide (0.8 g) over the course of 30 min at 0 °C. During the addition process, the solution was vigorously stirred; the reaction mixture was stirred for 30 min in an ice bath and subsequently stirred for 1 h at room temperature. The solid product was collected by filtration and washed with sodium chloride solution (10%), dried and finally crystallized from the appropriate solvent to give the respective arylazosalicylaldehyde 4a–i. The physical constants of the new compounds prepared 4d–h are given below.
3.2.2. 5-(3-Chlorophenylazo)salicylaldehyde (4d)
Yellow solid; Yield: 4.43 g (85%); mp 167–168 °C (from EtOH); IR (KBr) νmax: 3434 (OH), 1664 (C=O) cm−1; 1H NMR (DMSO-d6): δ = 7.19 (d, J = 9.0 Hz, 1H, ArH), 7.42–7.46 (m, 3H, ArH), 7.62 (d, J = 9.0 Hz, 1H, ArH), 8.06 (d, J = 9.0 Hz, 1H, ArH), 8.17 (d, J = 6.6 Hz, 1H, ArH), 10.37 (s, 1H, CHO), 11.59 (s, 1H, OH); MS (EI, 70 eV) m/z (rel. int.): 263 (M+ + 3, 1), 262 (M+ + 2, 7), 261 (M+ + 1, 3), 260 (M+, 20), 149 (34), 139 (12), 121 (76), 113 (26), 111 (111), 93 (50), 75 (77), 65 (100), 64 (19), 63 (38), 53 (32), 50 (31); Anal. Calcd for C13H9ClN2O2 (260.67): C, 59.90; H, 3.48; N, 10.75; Cl, 13.60. Found: C, 59.85; H, 3.42; N, 10.70; Cl, 13.58%.
3.2.3. 5-(4-Bromophenylazo)salicylaldehyde (4e)
Yellow solid; Yield: 5.49 g (90%); mp 212–213 °C (from EtOH); IR (KBr) νmax: 3430 (OH), 1665 (C=O) cm−1; 1H NMR (DMSO-d6): δ = 7.18 (d, J = 9.0 Hz, 1H, ArH), 7.75–7.76 (m, 3H, ArH), 7.78 (d, J = 9.0 Hz, 1H, ArH), 8.06 (d, J = 9.0 Hz, 1H, ArH), 8.18 (d, J = 6.6 Hz, 1H, ArH), 10.36 (s, 1H, CHO), 11.53 (s, 1H, OH); MS (EI, 70 eV) m/z (rel. int.): 307 (M+ + 2, 0.5), 306 (M+ + 1, 0.4), 305 (M+, 1.8), 201 (3), 189 (4) 173 (2), 159 (3), 135 (3), 117 (18), 113 (19), 101 (17), 87 (20), 59, (100), 57 (12);Anal. Calcd for C13H9BrN2O2 (305.12): C, 51.17; H, 2.97; N, 9.18.; Br, 26.19. Found: C, 51.15; H, 2.95; N, 9.15; Br, 26.17%.
3.2.4. 5-(3-Nitrophenylazo)salicylaldehyde (4f)
Orange solid; Yield: 4.99 g (92%); mp > 300 °C (from EtOH/DMF); IR (KBr) νmax: 3432 (OH), 1662 (C=O) cm−1; 1H NMR (DMSO-d6): δ = 7.20 (d, J = 8.7 Hz, 1H, ArH), 8.05–8.06 (m, 3H, ArH), 8.12 (d, J = 9.0 Hz, 1H, ArH), 8.23 (d, J = 8.8 Hz, 1H, ArH), 8.39 (d, J = 7.2 Hz, 1H, ArH), 10.37 (s, 1H, CHO), 11.72 (s, 1H, OH); MS (EI, 70 eV) m/z (rel. int.): 273 (M+ + 2, 0.18), 272 (M+ + 1, 0.1), 271 (M+, 0.02), 270 (M+ − 1, 0.02), 269 (M+ − 2, 0.03), 113 (12), 103 (9), 101(13) 87 (19), 69 (9), 59, (100), 57 (14), 55 (6); Anal. Calcd for C13H9N3O4 (271.22): C, 57.57; H, 3.34; N, 15.49. Found: C, 57.50; H, 3.32; N, 15.45%.
3.2.5. 5-(4-Acetylphenylazo)salicylaldehyde (4g)
Orange solid; Yield: 5.09 g (95%); mp 174–176 °C (from EtOH); IR (KBr) νmax: 3436 (OH), 1700 (acetyl C=O), 1667 (C=O) cm−1; 1H NMR (DMSO-d6): δ = 2.64 (s, 3H, CH3), 7.20 (d, J = 9.0 Hz, 1H, ArH), 7.93 (d, J = 8.4 1H, ArH), 7.96 (d, J = 8.4 Hz, 1H, ArH), 8.10 (d, J = 9.0 Hz, 1H, ArH), 8.14–8.23 (m, 3H, ArH), 10.37 (s, 1H, CHO), 11.62 (s, 1H, OH); MS (EI, 70 eV) m/z (rel. int.): 270 (M+ + 2, 1), 269 (M+ + 1, 8), 268 (M+, 42), 149 (28), 121 (100) 104 (15), 93 (48), 91 (43), 76 (31), 65 (77), 57 (6), 52 (10), 51, (11), 50 (15); Anal. Calcd for C15H12N2O3 (268.26): C, 67.16; H, 4.51; N, 10.44. Found: C, 67.15; H, 4.50; N, 10.40%.
3.2.6. 5-(4-Ethoxycarbonylphenylazo)salicylaldehyde (4h)
Orange solid; Yield: 5.48 g (92%); mp 170–172 °C (from EtOH); IR (KBr) νmax: 3435 (OH), 1706 (ester C=O), 1657 (C=O) cm−1; 1H NMR (DMSO-d6): δ = 1.35 (t, 3H, CH3), 4.31 (q, 2H, CH2), 7.19 (d, J = 8.7 Hz, 1H, ArH), 7.92 (d, J = 6.9 Hz, 1H, ArH), 7.96 (d, J = 7 Hz, 1H, ArH), 8.11 (d, J = 7.5 Hz, 1H, ArH), 8.13–8.22 (m, 3H, ArH), 10.37 (s, 1H, CHO), 11.61 (s, 1H, OH); MS (EI, 70 eV) m/z (rel. int.): 300 (M+ + 2, 0.6), 299 (M+ + 1, 4), 298 (M+, 20), 149 (57), 121 (100) 104 (31), 93 (49), 76 (46), 65 (99), 53 (15), 51 (14), 50 (27); Anal. Calcd for C16H14N2O4 (298.29): C, 64.42; H, 4.73; N, 9.39. Found: C, 64.40; H, 4.70; N, 9.30%.
3.2.7. General Procedure for the Synthesis of 4-(5-Arylazo-2-hydroxystyryl)-1-methylpyridinium Iodide (6a–i)
Method A To a mixture of 1-methylpyridiniumiodide (1.17 g, 5 mmol) and arylazosalicylaldehyde 4a–i (5 mmol) in absolute ethanol (40 mL) was added a catalytic amount (few drops) of piperidine. The reaction mixture was refluxed for 5 h and then cooled to room temperature. The precipitate formed was filtered off, washed with water and ethanol, and finally crystallized twice from the appropriate solvent to give the corresponding 1-methyl-4-(5-arylazo-2-hydroxystyryl)pyridinium iodide 6a–i. The compounds 6a–i prepared together with their physical constants are listed below.
Method B Diazotized analine derivatives 2g–i which were prepared as previously described were added dropwise with stirring to a cooled solution (0 °C) of compouned 7 (1.06 g, 5 mmol) in aq. ethanol (5 mL H2O in 45 mL EtOH) containing 1 g of NaOH. Following the addition, the pH of the reaction mixture was adjusted to 7, the precipitate was filtered and recrystallised from the appropriate solvent to give the respective 4-(5-arylazo-2-hydroxystyryl)-1-methylpyridinium iodide. By this method the compouneds 6g–i were prepared and proved identical in all respects (mp, mixed mp and IR) with the respective dyes prepared by method A.
3.2.8. 4-(2-Hydroxy-5-(4-methoxyphenylazo)styryl)-1-methylpyridinium Iodide (6a)
Dark yellow solid; Yield: 2.01 g (85%); mp 114–115 °C (from EtOH); IR (KBr) νmax: 3438 (OH), 2931 (aliphatic CH),1599 (aromatic C=C) cm−1; 1H NMR (DMSO-d6): δ = 3.83 (s, 3H, OCH3), 4.17 (s, 3H, NCH3), 6.77 (s, 1H, OH), 7.06–7.08 (m, 3H, ArH), 7.70–7.77 (m, 4H, ArH), 8.04–8.13 (m, 4H, ArH), 8.64–8.66 (d, 2H, J = 6 Hz, olefinic H); MS (EI, 70 eV) m/z (rel. int.): 475 (M+ + 2, 27), 474 (M+ + 1, 34), 473 (M+, 47), 458 (36), 419 (41), 385 (41), 354 (48), 319 (41), 254 (100), 224 (41), 203 (47), 192 (43), 188 (42), 174 (45), 108 (42), 104 (45), 95 (45), 68 (46), 57 (90). Anal. Calcd for C21H20IN3O2 (473.31): C, 53.29; H, 4.26; N, 8.88. Found: C, 53.25; H, 4.20; N, 8.85%.
3.2.9. 4-(2-Hydroxy-5-(4-methylphenylazo)styryl)-1-methylpyridinium Iodide (6b)
Yellow solid; Yield: 1.83 g (80%); mp 152–154 °C (from EtOH); IR (KBr) νmax: 3423 (OH), 3038 (aromatic CH), 1592 (aromatic C=C) cm−1; 1H NMR (DMSO-d6): δ = 2.36 (s, 3H, CH3), 4.16 (s, 3H, NCH3), 6.66 (s, 1H, OH),7.29–7.32 (m, 3H, ArH), 7.63–7.78 (m, 4H, ArH), 8.04 (d, J = 8 Hz, 2H, ArH), 8.12 (d, J = 8 Hz, 2H, ArH), 8.61–8.63 (d, 2H, J = 6 Hz, olefinic H); MS (EI, 70 eV) m/z (rel. int.): 458 (M+ + 1, 22), 457 (M+, 28), 436 (26), 424 (29), 408 (28), 381 (31), 377 (29),363 (29), 354 (34), 348 (29), 330 (29), 317 (32), 298 (43), 276 (39), 260 (34), 198 (34), 135 (59), 120 (100), 106 (20), 64 (39). Anal. Calcd for C21H20IN3O (457.31): C, 55.15; H, 4.41; N, 9.19. Found: C, 55.10; H, 4.35; N, 9.15%.
3.2.10. 4-(2-Hydroxy-5-phenylazostyryl)-1-methylpyridinium Iodide (6c)
Yellow solid; Yelid: 1.75 g, (78%); mp 112–113 °C (from EtOH); IR (KBr) νmax: 3418 (OH), 3041 (aromatic CH), 1607 (aromatic C=C) cm−1; 1H NMR (DMSO-d6): δ = 4.26 (s, 3H, NCH3), 6.69 (s, 1H, OH), 7.53–7.61 (m, 5H, ArH), 7.66–7.89 (m, 3H, ArH), 8.11(d, J = 8.2 Hz, 2H, ArH), 8.25 (d, J = 8.4 Hz, 2H, ArH), 8.84–8.86 (d, 2H, J = 6 Hz, olefinic H); MS (EI, 70 eV) m/z (rel. int.): 444 (M+ + 1, 12), 443 (M+, 21), 430 (31), 414 (35), 400 (25), 376 (39), 368 (34), 363 (26), 353 (44), 344 (32), 330 (29), 317 (25), 297 (45), 275 (33), 261 (39), 198 (35), 135 (59), 120 (58), 105 (88), 65 (45), 59 (100), 57 (11). Anal. Calcd for C20H18IN3O (443.28): C, 54.19; H, 4.09; N, 9.48. Found: C, 54.10; H, 4.00; N, 9.45%.
3.2.11. 4-(2-Hydroxy-5-(3-chlorophenylazo)styryl)-1-methylpyridinium Iodide (6d)
Orange solid; Yield: 2.26 g, (95%); mp 167–168 °C (from EtOH); IR (KBr) νmax: 3430 (OH), 3040 (aromatic CH), 2925 (aliphatic CH), 1597 (aromatic C=C) cm−1; 1H NMR (DMSO-d6): δ = 4.26 (s, 3H, NCH3), 6.72 (s, 1H, OH), 7.36–7.40 (m, 3H, ArH), 7.41–7.80 (m, 4H, ArH), 8.05–8.11 (m, 4H, ArH), 8.66–8.68 (d, 2H, J = 6 Hz, olefinic H); MS (EI, 70 eV) m/z (rel. int.): 479 (M+ + 2, 19), 478 (M+ + 1, 20), 477 (M+, 19), 435 (23), 418 (29), 407 (20), 389 (20), 379 (28), 350 (22), 338 (38), 327 (20), 313 (33), 304 (24), 291 (28), 278 (23), 267 (32), 245 (23), 228 (29), 216 (22), 209 (24), 192 (21), 171 (20), 162 (31), 137 (23), 109 (35), 98 (48), 73 (43), 69 (68),57 (100). Anal. Calcd for C20H17ClIN3O (477.73): C, 50.28; H, 3.59; Cl, 7.42; N, 8.80. Found: C, 450.20; H, 3.55; Cl, 7.40 N, 8.80%.
3.2.12. 4-(2-Hydroxy-5-(4-bromophenylazo)styryl)-1-methylpyridinium Iodide (6e)
Orange; Yield: 2.14 g, (82%); mp 211–212 °C (from EtOH); IR (KBr) νmax: 3426 (OH), 2995 (aliphatic CH), 1589 (aromatic C=C) cm−1; 1H NMR (DMSO-d6): δ = 4.09 (s, 3H, NCH3), 6.26 (s, 1H, OH), 7.60–7.64 (m, 3H, ArH), 7.78–7.92 (m, 4H, ArH), 7.98–8.03 (m, 4H, ArH), 8.48–8.50 (d, 2H, J = 6 Hz, olefinic H); MS (EI, 70 eV) m/z (rel. int.): 525 (M+ + 3, 32), 524 (M+ + 2, 47), 519 (44), 518 (38), 517 (42), 512 (44), 509 (42),458 (40), 432 (40), 375 (48), 362 (40), 355 (44), 342 (41), 323 (43), 299 (41), 287 (50), 279 (54), 271 (43), 223 (41), 211 (44), 187 (55), 173 (84), 142 (42), 127 (45), 95 (47), 65 (100), 60 (44), 54 (54), 52 (61). Anal. Calcd for C20H17BrIN3O (522.18): C, 46.00; H, 3.28; N, 8.05. Found: C, 46.02; H, 3.25; N, 8.01%.
3.2.13. 4-(2-Hydroxy-5-(3-nitrophenylazo)styryl)-1-methylpyridinium Iodide (6f)
Reddish yellow solid; Yield: 1.58 g, (65%), mp 280–282 °C (from EtOH); IR (KBr) νmax: 3434 (OH), 1594 (aromatic C=C) cm−1; 1H NMR (DMSO-d6): δ = 4.12 (s, 3H, NCH3), 6.25 (s, 1H, OH),7.66–7.73 (m, 3H, ArH), 7.80–7.96 (m, 4H, ArH), 7.99–8.34 (m, 4H, ArH), 8.54–8.56 (d, 2H, J=6 Hz, olefinic H); MS (EI, 70 eV) m/z (rel. int.): 489 (M+ +1, 15), 488 (M+, 17), 448 (25), 431 (19), 405 (19), 381 (29), 349 (21),341 (23), 328 (34), 301 (22), 274 (25), 242 (20), 236 (23), 198 (21), 144 (19), 120 (100), 106 (69), 90 (14), 59 (14). Anal. Calcd for C20H17IN4O3 (488.28): C, 49.20; H, 3.51; N, 11.47. Found: C, 49.10; H, 3.50; N, 11.42%.
3.2.14. 4-(2-Hydroxy-5-(4-acetylphenylazo)styryl)-1-methylpyridinium Iodide (6g)
Orange solid; Yield 2.06 g, (85%); mp 174–175 °C (from EtOH); IR (KBr) νmax: 3429 (OH), 3040 (aromatic CH), 1590 (aromatic C=C) cm−1; 1H NMR (DMSO-d6): δ = 2.61 (s, 3H, COCH3), 4.19 (s, 3H, NCH3), 6.72 (s, 1H, OH), 7.74–7.78 (m, 3H, ArH), 7.80–8.09 (m, 4H, ArH), 8.13–8.14 (m, 4H, ArH), 8.67–8.69 (d, 2H, J = 6 Hz, olefinic H); MS (EI, 70 eV) m/z (rel. int.): 486 (M+ + 1, 12), 485 (M+, 18), 482 (12), 460 (13), 452 (13), 428 (15), 422 (18), 403 (16), 377 (16), 362 (20), 339 (18), 324 (16), 307 (16), 283 (17), 276 (18), 264 (17), 252 (21), 232 (17), 196 (24), 186 (15), 173 (18), 158 (21), 155 (22), 120 (64), 108 (17), 93 (100), 78 (39), 66 (32), 65 (56). Anal. Calcd for C22H20IN3O2 (485.32): C, 54.45; H, 4.15; N, 8.66. Found: C, 54.44; H, 4.10; N, 8.60%.
3.2.15. 4-(2-Hydroxy-5-(4-Ethoxycarbonylphenylazo)styryl)-1-methylpyridinium Iodide (6h)
Reddish yellow solid; Yield: 2.26 g, (88%); mp 170–172 °C (from EtOH); IR (KBr) νmax: 3407 (OH), 3055 (aromatic CH), 2923 (aliphatic CH), 1700 (C=O), 1589 (aromatic C=C) cm−1; 1H NMR (DMSO-d6): δ = 1.33 (t, 3H, J = 6.9 Hz, CH3), 4.10 (s, 3H, NCH3), 4.33 (q, 2H, J = 6.9 Hz, CH2), 6.31 (s, 1H, OH), 7.65–7.69 (m, 3H, ArH), 7.71–7.84 (m, 4H, ArH), 7.92–8.03 (m, 4H, ArH), 8.50–8.52 (d, 2H, J = 6 Hz, olefinic H); MS (EI, 70 eV) m/z (rel. int.): 517 (M+ + 2, 45), 516 (M+ + 1, 100), 515 (M+, 61), 506 (70), 477 (61), 443 (63), 430 (68), 383 (63), 355 (61), 336 (68), 331 (62), 327 (65), 321 (66), 295 (94), 283 (68), 280 (68), 273 (61), 249 (84), 224 (68), 183 (61), 109 (61), 71 (61), 65 (63). Anal. Calcd for C23H22IN3O3 (515.34): C, 53.60; H, 4.30; N, 8.15. Found: C, 53.55; H, 4.28; N, 8.10%.
3.2.16. 4-(2-Hydroxy-5-(4-nitrophenylazo)styryl)-1-methylpyridinium Iodide (6i)
Red solid; Yield 2.19 g, (90%); mp 304 °C (from EtOH/dioxane); IR (KBr) νmax: 3434 (OH), 1597 (aromatic C=C) cm−1; 1H NMR (DMSO-d6): δ = 4.16 (s, 3H, NCH3), 6.47 (s, 1H, OH), 7.73–7.77 (m, 3H, ArH), 7.81–8.05 (m, 4H, ArH), 8.29–8.32 (m, 4H, ArH), 8.61–8.63 (d, 2H, J = 6 Hz, olefinic H); MS (EI, 70 eV) m/z (rel. int.): 490 (M+ + 2, 53), 489 (M+ + 1, 68), 485 (60), 341 (70), 323 (61), 307 (60), 288 (71), 4273 (71),233 (100), 189 (71), 187 (83), 160 (67), 123 (79), 101 (68), 94 (67), 78 (76), 55 (66). Anal. Calcd for C20H17IN4O3 (488.28): C, 49.20; H, 3.51; N, 11.47. Found: C, 49.15; H, 3.49; N, 11.45%.
3.3. pK′s and pK*′s Determination of the Prepared Azo Merocyanine Dyes 6a–i
The dissociation constants pKa′s of compounds 6 were calculated spectrophotometrically in 80% dioxane-water mixture at 27 ± 0.1 °C and ionic strength (KNO3) 0.1. The Orion pH meter 420A (Cole-Parmer, Vernon Hills, IL, USA) fitted with combined glass electrode type 518635 was used for measurement of pH values. The instrument was accurate to ±0.01 pH unit. It was calibrated using two Beckman standard buffer solutions of pH 4.01 and 7.00. The pH meter readings (B) recorded in dioxane-water solutions were converted to the concentration of hydrogen ion [H+] by means of the equation of van Uitert and Haas [16] namely:
where log UH is the correction factor for the solvent composition and ionic strength used for which B is read. The value of log UH was determined by recording the pH values for a series of hydrochloric acid and sodium chloride solutions such that the ionic strength was 0.1 in 20% (v/v) water-dioxane mixture at 27 °C. The value of log UH was calculated and found to be −0.48. The experimental procedures obey in the evaluation of acid dissociation constants pKa and their calculations from the A-pH data and are as literature described in the literature [17]. The pKa values were reproducible to ±0.02 pKa unit. The results are listed in Table 2.
−log [H+] = B + log UH
4. Conclusions
In conclusion, the pK and pK* values of the studied hydroxyazo compounds decreases in the following order 6a > 6b > 6c > 6e > 6d > 6h > 6g > 6f > 6i, alsothe foregoing data indicate that the studied compounds exist in one tautomeric form namely the hydroxyazo form 6A in both ground and excited states and solvatochromic behavior of the title compounds are studied in eight organic solvent using Kamlet-Taft equation to increases the opportunity uses of these compounds as potential photoprobe.
Acknowledgments
The authors would like to thank the Cairo University and Ain Shams University for their financial support to facilitate the publication of this study.
Author Contributions
Farag Altalbawy and Hagar Saleh conceived, designed the experiments, performed the experiments, analyzed the data, contributed reagents/materials/analysis tools; Farag Altalbawy, Elham Darwish, Mohamed Medhat, Sayed El-Zaiat and Hagar Saleh wrote and revised the manuscript.
Conflicts of Interests
The authors declare no conflict of interest.
References
- Shawali, A.S.; Zeid, I.F.; Abdelkader, M.H.; Elsherbini, A.A.; Altalbawy, F.M.A. Synthesis, acidity constants and tautomeric structure of 7-arylhydrazono[1,2,4]triazole[3,4-b][1,3,4]thiadiazines in ground and excited states. J. Chin. Chem. Soc. 2001, 48, 65–72. [Google Scholar] [CrossRef]
- Shawali, A.S.; Abdelkader, M.H.; Altalbawy, F.M.A. Synthesis and tautomeric structure of novel 3,7-bis(arylazo)-2,6-diphenyl-1H-imidazo-[1,2-b]pyrazoles in ground and excited states. Tetrahedron 2002, 58, 2875–2880. [Google Scholar] [CrossRef]
- Shawali, A.S.; Mosselhi, A.M.; Altalbawy, F.M.A.; Farghaly, T.A.; Tawfik, N.M. Synthesis and tautomeric structure of 3,7-bis(arylazo)-6-methyl-2-phenyl-1H-imidazo-[1,2-b]pyrazoles in ground and excited states. Tetrahedron 2008, 64, 5524–5530. [Google Scholar] [CrossRef]
- Pawar, G.G.; Bineesh, P.; Kumar, P.S.R.; Rangnekar, D.W.; Kanetkar, V.R. The synthesis and application of 3-arylazo-4-phenylthieno-2,3-c-isothiazole and ethyl 3-arylazo-4-phenylthieno-2,3-c-isothiazole-5-carboxylate. J. Serb. Chem. Soc. 2005, 70, 799–805. [Google Scholar] [CrossRef]
- Waring, D.R.; Hallas, G. The Chemistry and Application of Dyes; Plenum Press: New York, NY, USA, 1990; p. 381. [Google Scholar]
- Matsuoka, M. Infrared Absorbing Dyes; Plenum Press: New York, NY, USA, 1990; p. 95. [Google Scholar]
- Garg, H.G.; Prakash, C. Potential antidiabetics. 7. N1-(beta-hydroxybenzylmethyl)-3-methyl-4-arylhydrazono-2-pyrazolin-5-ones and N1-(beta-hydroxybenzylmethyl)-3-methyl-4-arylazo-5-methyl- or -phenylpyrazoles. J. Med. Chem. 1971, 14, 175–176. [Google Scholar] [CrossRef] [PubMed]
- Shawali, A.S.; Darwish, S.S.; Altalbawy, F.M.A. Synthesis of (4-amino-5-phenyl-1,2,4-triazol-3-yl)-thiohydrazonates and spectrophotometric study of their cyclization products in ground and excited states. Asian J. Spectrosc. 2007, 11, 115–125. [Google Scholar]
- Habibi, M.H.; Hassanzadeh, A.; Zeini-Isfahani, A. Spectroscopic studies of solophenyl red 3BL polyazo dye tautomerism in different solvents using UV-visible, 1H NMR and steady-state fluorescence techniques. Dyes Pigm. 2006, 69, 93–101. [Google Scholar] [CrossRef]
- Otutu, J.O.; Osabohien, E.; Efurhievwe, E.M. Synthesis and spectral properties of hetarylmonoazo dyes derived from 2-amino-5-nitrothiazole. Orient. J. Chem. 2011, 27, 1389–1396. [Google Scholar]
- Li, Q.; Lin, G.L.; Peng, B.X.; Li, Z.X. Synthesis, characterization and photographic properties of some new styryl cyanine dyes. Dyes Pigm. 1998, 38, 211–218. [Google Scholar]
- Yoshida, T.; Zhang, J.; Komatsu, D.; Seiichi, S.; Hideki, M.; Thierry, P.; Daniel, L.; Torsten, O.; Derck, S.; Hirokazu, T.; et al. Electrodeposition of Inorganic/Organic Hybrid Thin Films. Adv. Funct. Mater. 2009, 19, 17–43. [Google Scholar] [CrossRef]
- Campagnola, P.J.; Low, L.M. Second-harmonic imaging microscopy for visualizing biomolecular arrays in cells, tissues and organisms. Nat. Biotechnol. 2003, 21, 1356–1360. [Google Scholar] [CrossRef] [PubMed]
- Morley, J.O.; Morley, R.M.; Docherty, R.; Charlton, M.H. Fundamental Studies on Brooker’s Merocyanine. J. Am. Chem. Soc. 1997, 119, 10192–10202. [Google Scholar] [CrossRef]
- Safavi, A.; Abdollahi, H. Thermodynamic characterization of weak association equilibria accompanied with spectral overlapping by a SVD-based chemometric method. Talanta 2001, 53, 1001–1007. [Google Scholar] [CrossRef]
- Hisamoto, H.; Tohma, H.; Yamada, T.; Yamauchi, K.-I.; Siswanta, D.; Yoshioka, N.; Suzuki, K. Molecular design, characterization, and application of multi-information dyes for multi-dimensional optical chemical sensing. Molecular design concepts of the dyes and their fundamental spectral characteristics. Anal. Chim. Acta 1998, 373, 271–289. [Google Scholar] [CrossRef]
- Jeong, J.; Kim, J.; Campo, J.; Lee, S.; Jeon, W.; Wenseleers, W.; Jazbinsek, M.; Yun, H.; Kwon, O. N-methylquinolinium derivatives for photonic applications: Enhancement of electron-withdrawing character beyond that of the widely-used N-methylpyridinium. Dyes Pigm. 2015, 113, 8–17. [Google Scholar] [CrossRef]
- Castro, D.J.; Saxton, R.E.; Haghighat, S.; Reisler, E.; Plant, D.; Soudant, J. The synergistic effects of rhodamine-123 and merocyanine-540 laser dyes on human tumor cell lines: A new approach to laser phototherapy. Otolaryngol. Head Neck Surg. 1993, 108, 233–242. [Google Scholar] [CrossRef] [PubMed]
- Lv, A.; Stolte, M.; Würthner, F. Head-to-tail zig-zag packing of dipolar merocyanine dyes affords high-performance organic thin-film transistors. Angew. Chem. Int. Ed. 2015, 54, 10512–10515. [Google Scholar] [CrossRef] [PubMed]
- Poronik, Y.M.; Hugues, V.; Blanchard-Desce, M.; Gryko, D.T. Octupolarmerocyanine dyes: A new class of nonlinear optical chromophores. Chem. Eur. J. 2012, 18, 9258–9266. [Google Scholar] [CrossRef] [PubMed]
- Yamin, P.; Piechowski, A.P.; Bird, G.R.; Morel, D. Comparison of the action of some merocyanine dyes as solar photovoltaic elements and as photographic sensitizers. J. Phys. Chem. 1982, 86, 3796–3802. [Google Scholar] [CrossRef]
- Würthner, F.; Wortmann, R.; Matschiner, R.; Lukaszuk, K.; Meerholz, K.; DeNardin, Y.; Bittner, R.; Bräuchle, C.; Sens, R. Merocyanine dyes in the cyanine limit: A new class of chromophores for photorefractive materials. Angew. Chem. Int. Ed. 1997, 36, 2765–2768. [Google Scholar] [CrossRef]
- Altalbawy, F.M.A.; Al-Sherbini, E.A.M. Absorption, fluorescence, photochemical and thermal cis/transisomerization reactivity of 1-methyl-4-(4′-aminostyryl)pyridinium iodide. Chem. Sci. Trans. 2015, 4, 1018–1030. [Google Scholar]
- Altalbawy, F.M.A.; Al-Sherbini, E.A.M. Spectrophotometric determination of acidity constant of 1-methyl-4-[4′-aminostyryl]quinolinium iodide in aqueous buffer and micellar solutions in the ground and excited states. Asian J. Chem. 2013, 25, 6181–6185. [Google Scholar]
- Darwish, E.S.; Mosselhi, M.A.; Altalbawy, F.M.; Saad, H.A. Synthesis, acidity constants and tautomeric structure of the diazonium coupling products of 2-(benzylsulfanyl)-7H-purin-6-one in its ground and excited. Molecules 2011, 16, 8788–8802. [Google Scholar] [CrossRef]
- Shawali, A.S.; Darwish, S.S.; Altalbawy, F.M.A. Site selectivity in diazonium coupling of Ethyl (3-phenyl-7H-[1,2,4]-triazolo[3,4-b][1,3,4] thiadiazin-6-yl)acetate and tautomeric structure of the coupling products in ground and excited states. Asian J. Spectrosc. 2008, 12, 113–120. [Google Scholar]
- Altalbawy, F.M.A.; Darwish, E.S.S. Synthesis and tautomeric structure of 7-arylhydrazono-3,5-diphenyl-5H-pyrazolo[5,1-c][1,2,4]triazol-6(7H)-ones in its ground and excited states. Asian J. Spectrosc. 2012, 16, 45–54. [Google Scholar]
- Altalbawy, F.M.A.; Darwish, E.S.S.; Abdelkader, M.H.; Elnagdi, M.H. Synthesis, electronic absorption, fluorescence and life time spectroscopic study of some new coumarin dyes. Asian J. Chem. 2016, 28, 2303–2310. [Google Scholar] [CrossRef]
- Padmini, V. Synthesis and characterization of new sciff’s bases containing an azo group. Arch. Apll. Sci. Res. 2010, 2, 356–363. [Google Scholar]
- Yahyazadeh, A.; Azimi, V. Synthesis of some unsymmetrical new schiff bases from azo dyes. Eur. Chem. Bull. 2013, 2, 453–455. [Google Scholar]
- Eldaly, S.A.; Abdelkader, M.H.; Issa, R.M.; Elsherbini, E.A. Influence of solvent polarity and medium acidity on the UV-Vis spectral behavior of 1-methyl-4-[4-amino-styryl] pyridinum iodide. Spectrochim. Acta A 2003, 59, 405–411. [Google Scholar] [CrossRef]
- Hanna, M.A.; Girges, M.M.; El-Hossini, M.S.; Sofan, M.A. Spectrophotometric studies on some 4-hydroxy-5-arylazopyrazoles-3-(N-pyrid-2-yl)carboxamide in organic solvents of varying polarities and in buffer solutions. Bull. Chem. Soc. Fr. 1989, 1, 68–72. [Google Scholar]
- John, C.D. The Hammett Equation; Press Syndicate of Cambridge University: New York, NY, USA, 1973. [Google Scholar]
- Tsuno, Y.; Ibata, T.; Yukawa, Y. Resonance effect in hammett relationship. I. The substituent effect in the acid catalyzed decompositions of ω-diazoacetophenones in acetic acid. Bull. Chem. Soc. Jpn. 1595, 32, 960–965. [Google Scholar] [CrossRef]
- Shawali, A.S.; Harb, N.M.; Badahdah, K.O. A study of tautomerism in diazonium coupling products of 4-hydroxycoumarin. J. Heterocycl. Chem. 1985, 22, 1397–1403. [Google Scholar] [CrossRef]
- Förster, T. Elektrolytische dissoziation angeregter moleküle. Z. Elektrochem. Angew. Phys. Chem. 1950, 54, 42–46. [Google Scholar]
- Jaffe, H.H.; Jones, H.L. Excited state pK values: III. The application of the Hammett equation. J. Org. Chem. 1965, 30, 964–969. [Google Scholar] [CrossRef]
- Jaffe, H.H.; Jones, H.L.; Isaks, M. Excited State pK′s. II. Δv-σ Relations. J. Am. Chem. Soc. 1964, 86, 2934–2935. [Google Scholar] [CrossRef]
- Jaffe, H.H.; Beveridge, D.L.; Jones, H.L. Excited state pK′s: I. Azobenzene and azoxybenzene. J. Am. Chem. Soc. 1964, 86, 2932–2934. [Google Scholar] [CrossRef]
- Reichardt, C. Solvents and Solvent Effects in Organic Chemistry, 3rd ed.; Wiley–VCH: Weinheim, Germany, 2004. [Google Scholar]
- Rageh, N.M. Electronic spectra, solvatochromic behavior and acid-base properties of some azo cinnoline compounds. Spectrochim. Acta A 2004, 60, 103–109. [Google Scholar] [CrossRef]
- Mahmoud, M.R.; Abde-El-Gaber, A.A.; Roudi, A.M.; Soliman, E.M. More light on the low electronic transition energy bands of dithizone. Spectrochim. Acta A 1987, 43, 1281–1285. [Google Scholar] [CrossRef]
- Taft, R.W.; Kamlet, M.J.; Abboud, J.L.M. An examination of linear solvation energy relationships. Prog. Phys. Org. Chem. 1981, 13, 485–630. [Google Scholar]
- Kamlet, M.J.; Abboud, J.L.M.; Abraham, M.H.; Taft, R.W. Linear solvation energy relationships. 23. A comprehensive collection of the solvatochromic parameters, pi*, alpha, and beta, and some methods for simplifying the generalized solvatochromic equation. J. Org. Chem. 1983, 48, 2877–2887. [Google Scholar] [CrossRef]
- Zakerhamidi, M.S.; Keshavarz, M.; Tajalli, H.; Ghanadzadeh, A.; Ahmadi, S.; Moghadam, M.; Hosseini, S.H.; Hooshangi, V. Isotropic and anisotropic environment effects on the UV/vis absorption spectra of three disperse azo dyes. J. Mol. Liq. 2010, 154, 94–101. [Google Scholar] [CrossRef]
- Yazdanbakhsh, M.R.; Mohammad, A. Synthesis, substituent effects and solvatochromic properties of some disperse azo dyes derived from N-phenyl-2,2′-iminodiethanol. J. Mol. Liq. 2009, 148, 35–39. [Google Scholar] [CrossRef]
© 2016 by the authors; licensee MDPI, Basel, Switzerland. This article is an open access article distributed under the terms and conditions of the Creative Commons Attribution (CC-BY) license (http://creativecommons.org/licenses/by/4.0/).





