Reduction of Photoluminescence Quenching by Deuteration of Ytterbium-Doped Amorphous Carbon-Based Photonic Materials
Abstract
:1. Introduction
2. Results and Discussion
2.1. Photoluminescence Enhancement in a-C(Yb) Film by Deuteration of a-C Host


| Sample | Substrate temperature (°C) | C at % | O at % | F at % | Yb at % | [O]/[Yb] | [F]/[Yb] | [C]/[Yb] | [O]/[C] | [F]/[C] | [O]/[F] | Thickness (100 nm) |
|---|---|---|---|---|---|---|---|---|---|---|---|---|
| Yb(fod)3 | 34.1 | 6.8 | 23.9 | 1.1 | 6.00 | 21.00 | 30.00 | 0.20 | 0.70 | 0.29 | ||
| 1 | 60 | 48.5 | 2.7 | 45.2 | 3.6 | 0.75 | 12.72 | 13.64 | 0.06 | 0.93 | 0.06 | 33.21 |
| 2 | 70 | 59.9 | 2.5 | 35.0 | 2.6 | 0.94 | 13.23 | 22.64 | 0.04 | 0.58 | 0.07 | 27.65 |
| 3 | 80 | 63.4 | 3.6 | 30.9 | 2.1 | 1.68 | 14.61 | 29.94 | 0.06 | 0.49 | 0.12 | 20.23 |
| 4 | 90 | 68.9 | 3.2 | 26.3 | 1.6 | 1.99 | 16.25 | 42.63 | 0.05 | 0.38 | 0.12 | 14.52 |
| 5 | 120 | 86.4 | 7.2 | 5.5 | 0.9 | 8.00 | 6.05 | 95.73 | 0.08 | 0.06 | 1.32 | 5.67 |
| 6 | 150 | 91.8 | 6.1 | 1.7 | 0.4 | 17.50 | 4.84 | 261.64 | 0.07 | 0.02 | 3.62 | 3.51 |

2.2. Effect of Substrate Temperature on a-C:D:F(Yb) Film
2.3. Yb Oxidation State in a-C:D:F(Yb) Film
2.4. Structural Analyses of a-C:D:F(Yb) Film


3. Experimental Section
3.1. RF-PEMOCVD and Sample Preparation
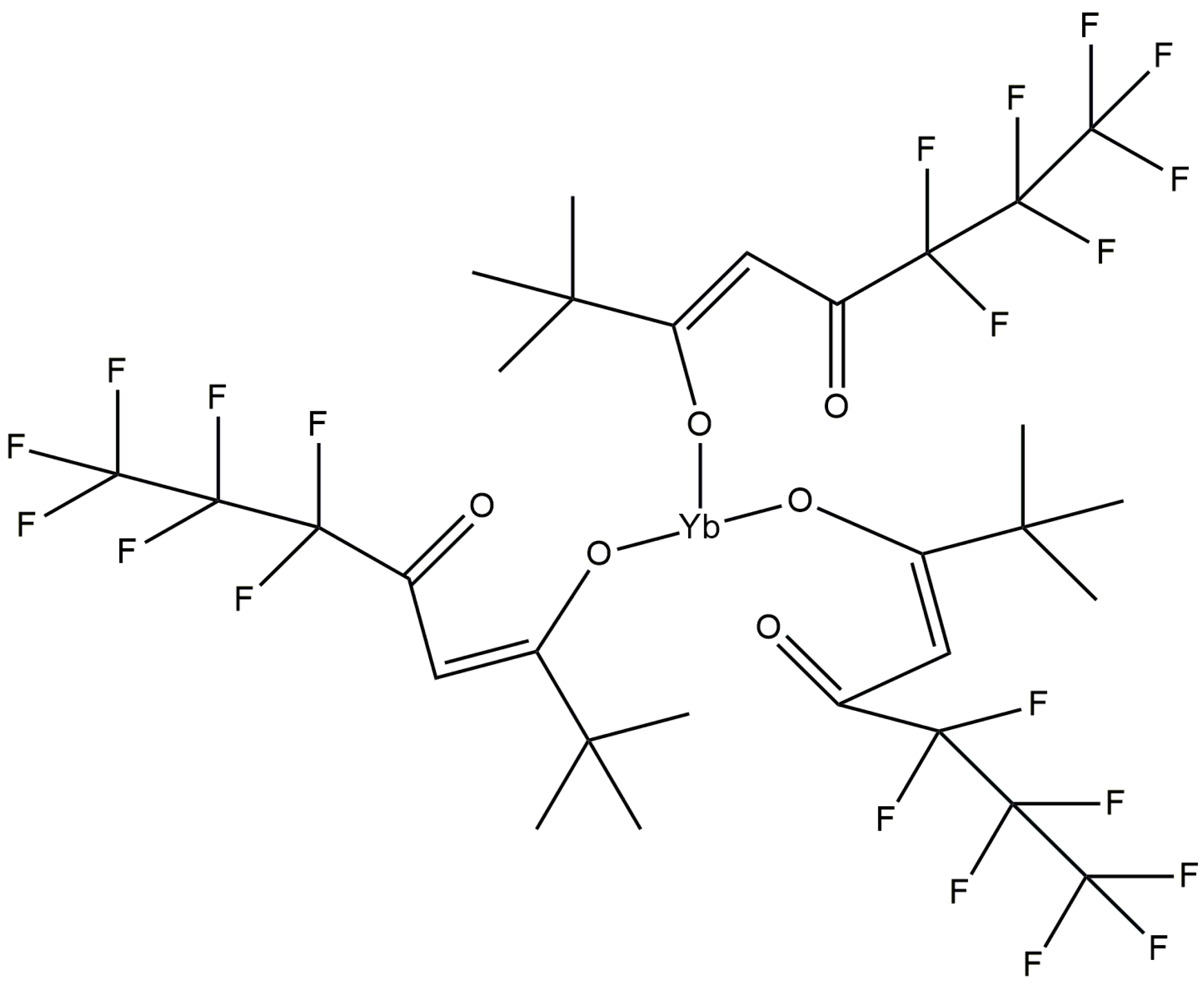
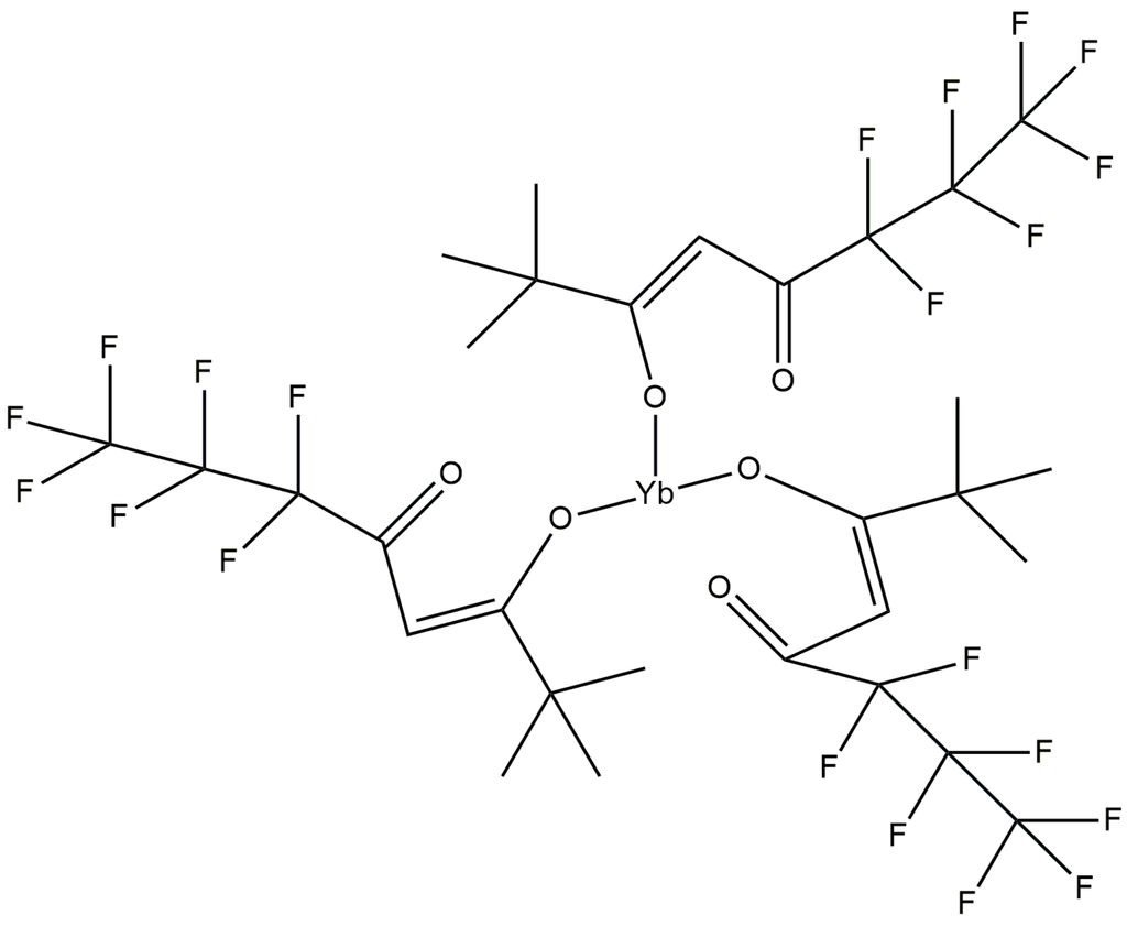
3.2. Incorporated Yb Metal-Organic Compound

3.3. Film Characterization
3.3.1. Photoluminescence
3.3.2. X-ray Photoelectron Spectroscopy
3.3.3. Fourier Transform Infrared Spectroscopy
3.3.4. Spectroscopic Ellipsometry
4. Conclusions
Acknowledgments
Author Contributions
Conflicts of Interest
References
- Paniccia, M. Integrating silicon photonics. Nat. Photonics 2010, 4, 498–499. [Google Scholar] [CrossRef]
- Polman, A. Erbium implanted thin film photonic materials. J. Appl. Phys. 1997, 82, 1–39. [Google Scholar] [CrossRef]
- Polman, A.; van Veggel, F.C.J.M. roadband sensitizers for erbium-doped planar optical amplifiers: Review. J. Opt. Soc. Am. B: Opt. Phys. 2004, 21, 871–892. [Google Scholar]
- Xiao, H. Introduction to Semiconductor Manufacturing Technology, 2nd ed.; SPIE Press: Bellingham, WA, USA, 2012. [Google Scholar]
- Taira, T.; Saikawa, J.; Kobayashi, T.; Byer, R.L. Diode-pumped tunable Yb:YAG miniature lasers at room temperature: Modeling and experiment. IEEE J. Sel. Top. Quantum Electron. 1997, 3, 100–104. [Google Scholar] [CrossRef]
- Antognini, A.; Schuhmann, K.; Amaro, F.D.; Biraben, F.; Dax, A.; Giesen, A.; Graf, T.; Hansch, T.W.; Indelicato, P.; Julien, L.; et al. Thin-disk Yb:YAG oscillator-amplifier laser, ASE, and effective Yb:YAG lifetime. IEEE J. Quantum Electron. 2009, 45, 993–1005. [Google Scholar] [CrossRef]
- Sumida, D.S.; Fan, T.Y. Room-temperature 50-mJ/pulse side-diode-pumped Yb:YAG laser. Opt. Lett. 1995, 20, 2384–2386. [Google Scholar] [CrossRef]
- Yang, P.; Deng, P.; Yin, Z. Concentration quenching in Yb:YAG. J. Lumin. 2002, 97, 51–54. [Google Scholar] [CrossRef]
- Dong, J.; Bass, M.; Mao, Y.; Deng, P.; Gan, F. Dependence of the Yb3+ emission cross section and lifetime on temperature and concentration in yttrium aluminum garnet. J. Opt. Soc. Am. B: Opt. Phys. 2003, 20, 1975–1979. [Google Scholar]
- Jacquemet, M.; Jacquemet, C.; Janel, N.; Druon, F.; Balembois, F.; Georges, P.; Petit, J.; Viana, B.; Vivien, D.; Ferrand, B. Efficient laser action of Yb:LSO and Yb:YSO oxyorthosilicates crystals under high-power diode-pumping. Appl. Phys. B 2005, 80, 171–176. [Google Scholar] [CrossRef]
- Ubizskii, S.B.; Matkovskii, A.O.; Melnyk, S.S.; Syvorotka, I.M.; Muller, V.; Peters, V.; Petermann, K.; Beyertt, A.; Giesen, A. Optical properties of epitaxial YAG:Yb films. Phys. Status Solidi A 2004, 201, 791–797. [Google Scholar]
- Wang, H.M.; Simmonds, M.C.; Huang, Y.Z.; Rodenburg, J.M. Synthesis of nanosize powders and thin films of Yb-doped YAG by sol-gel methods. Chem. Mater. 2003, 15, 3474–3480. [Google Scholar] [CrossRef]
- Shimoda, T.; Ishida, Y.; Adachi, K.; Obara, M. Fabrication of highly ytterbium (Yb3+)-doped YAG thin film by pulsed laser deposition. Opt. Commun. 2001, 194, 175–179. [Google Scholar] [CrossRef]
- Thibault, F.; Pelenc, D.; Chambaz, B.; Couchaud, M.; Petit, J.; Viana, B. Growth and characterization of Yb3+ doped Y2SiO5 layers on Y2SiO5 substrate for laser applications. Opt. Mater. 2008, 30, 1289–1296. [Google Scholar] [CrossRef]
- Denoyer, A.; Jandl, S.; Thibault, F.; Pelenc, D. Optical effects of annealing on Yb-doped Y2SiO5 thin films. J. Phys.: Condens. Matter 2007, 19. [Google Scholar] [CrossRef]
- Denoyer, A.; Levesque, Y.; Jandl, S.; Guillot-Noel, O.; Goldner, P.; Viana, B.; Thibault, F.; Pelenc, D. Crystal field study of ytterbium doped Lu2SiO5 and Y2SiO5 under a magnetic field. J. Phys.: Condens. Matter 2008, 20. [Google Scholar] [CrossRef]
- Romanyuk, Y.E.; Borca, C.N.; Pollnau, M.; Rivier, S.; Petrov, V.; Griebner, U. Yb-doped KY(WO4)2 planar waveguide laser. Opt. Lett. 2006, 31, 53–55. [Google Scholar] [CrossRef]
- Han, X.M.; Zaldo, C. Sol-gel synthesis of Yb-doped NaLu(WO4)2 films. Phys. Procedia 2010, 8, 18–21. [Google Scholar] [CrossRef]
- Xiao, Z.S.; Serna, R.; Afonso, C.N.; Cheng, G.A.; Vickridge, I. Improving the photoluminescence response of Er-Tm: Al2O3 films by Yb codoping. J. Lumin. 2007, 122, 32–35. [Google Scholar]
- Serna, R.; Suarez-Garcia, A.; de Castro, M.J.; Afonso, C.N. Improving the photoluminescence of thin films by nanostructuring the rare-earth ion distribution. Appl. Surf. Sci. 2005, 247, 8–17. [Google Scholar]
- Balestrieri, M.; Ferblantier, G.; Colis, S.; Schmerber, G.; Ulhaq-Bouillet, C.; Muller, D.; Slaoui, A.; Dinia, A. Structural and optical properties of Yb-doped ZnO films deposited by magnetron reactive sputtering for photon conversion. Sol. Energy Mater. Sol. Cells 2013, 117, 363–371. [Google Scholar] [CrossRef]
- Soumahoro, I.; Schmerber, G.; Douayar, A.; Colis, S.; Abd-Lefdil, M.; Hassanain, N.; Berrada, A.; Muller, D.; Slaoui, A.; Rinnert, H.; et al. Structural, optical, and electrical properties of Yb-doped ZnO thin films prepared by spray pyrolysis method. J. Appl. Phys. 2011, 109. [Google Scholar] [CrossRef]
- Qi, J.H.; Wang, F.X.; Lu, F.; Qin, X.F.; Liu, Z.H.; Yang, G.; Li, L.J.; Chen, Z.H.; Song, H.L. Optical and structural properties of Yb-doped ZnO thin waveguide films with Er+ ions implantation. In Advanced in Nanoscience and Technology; Cong, H.L., Ed.; Trans Tech Pubications Ltd.: Stafa-Zurich, Switzerland, 2012; Volume 465, pp. 150–154. [Google Scholar]
- Garskaite, E.; Flø, A.S.; van Helvoort, A.T.J.; Kareiva, A.; Olsen, E. Investigations of near IR photoluminescence properties in TiO2:Nd,Yb materials using hyperspectral imaging methods. J. Lumin. 2013, 140, 57–64. [Google Scholar] [CrossRef]
- Forissier, S.; Roussel, H.; Chaudouet, P.; Pereira, A.; Deschanvres, J.L.; Moine, B. Thulium and ytterbium-doped titanium oxide thin films deposited by ultrasonic spray pyrolysis. J. Therm. Spray Technol. 2012, 21, 1263–1268. [Google Scholar] [CrossRef]
- Dakhel, A.A. Effect of ytterbium doping on the optical and electrical properties of intrinsic In2O3 thin films. Microelectron. Reliab. 2010, 50, 211–216. [Google Scholar] [CrossRef]
- Weingartner, R.; Erlenbach, O.; Winnacker, A.; Welte, A.; Brauer, I.; Mendel, H.; Strunk, H.P.; Ribeiro, C.T.M.; Zanatta, A.R. Thermal activation, cathodo- and photoluminescence measurements of rare earth doped (Tm, Tb, Dy, Eu, Sm, Yb) amorphous/nanocrystalline AlN thin films prepared by reactive rf-sputtering. Opt. Mater. 2006, 28, 790–793. [Google Scholar] [CrossRef]
- Zhao, X.W.; Komuro, S. Time-resolved photoluminescence of ytterbium-doped nanocrystalline Si thin films. Appl. Phys. Lett. 2001, 79, 2151–2153. [Google Scholar] [CrossRef]
- Ferrand, B.; Chambaz, B.; Couchaud, M. Liquid phase epitaxy: A versatile technique for the development of miniature optical components in single crystal dielectric media. Opt. Mater. 1999, 11, 101–114. [Google Scholar] [CrossRef]
- Peeva, A.; Dikovska, A.O.; Atanasov, P.A.; de Castroc, M.; Skorupa, W. Rare-earth implanted Y2O3 thin films. Appl. Surf. Sci. 2007, 253, 8165–8168. [Google Scholar]
- Kumar, S.R.S.; Cha, D.K.; Alshareef, H.N. Lattice dynamics and substrate-dependent transport properties of (In, Yb)-doped CoSb3 skutterudite thin films. J. Appl. Phys. 2011, 110. [Google Scholar] [CrossRef]
- Jung, T.; Kim, S.; Song, P. Characteristics of amorphous Yb-doped ITO films deposited on polyimide substrate by DC magnetron sputtering. Surf. Coat. Technol. 2010, 205, S318–S323. [Google Scholar] [CrossRef]
- Kuzminykh, Y.; Scheife, H.; Bar, S.; Petermann, K.; Huber, G. PLD-grown Yb-doped sesquioxide films on sapphire and quartz substrates. In Proceedings of the COLA’05: 8th International Conference on Laser Ablation, Banff, AB, Canada, 11–16 September 2005; Hess, W.P., Herman, P.R., Bauerle, D., Koinuma, H., Eds.; IOP Publishing Ltd.: Bristol, UK, 2007; Volume 59, pp. 462–465. [Google Scholar]
- Tan, M.C.; Patil, S.D.; Riman, R.E. Transparent infrared-emitting CeF3:Yb-Er polymer nanocomposites for optical applications. ACS Appl. Mater. Interfaces 2010, 2, 1884–1891. [Google Scholar] [CrossRef]
- Yi, G.-S.; Chow, G.-M. Water-soluble NaYF4:Yb,Er(Tm)/NaYF4/polymer core/shell/shell nanoparticles with significant enhancement of upconversion fluorescence. Chem. Mater. 2006, 19, 341–343. [Google Scholar]
- Kim, H.; Cha, M.C.; Park, H.W.; Chang, J.Y. Preparation of a Yb(III)-incorporated porous polymer by post-coordination: Enhancement of gas adsorption and catalytic activity. J. Polym. Sci. Part A: Polym. Chem. 2013, 51, 5291–5297. [Google Scholar]
- Prajzler, V.; Hüttel, I.; Špirková, J.; Oswald, J.; Peřina, V.; Machovič, V.; Jeřábek, V. Properties of sputtered carbon layers containing erbium and ytterbium ions. Electron. Devices Syst. EDS 2006 IMAPS CS 2006, 403–408. [Google Scholar]
- Patsalas, P. Optical properties of amorphous carbons and their applications and perspectives in photonics. Thin Solid Films 2011, 519, 3990–3996. [Google Scholar] [CrossRef]
- Robertson, J. Diamond-like amorphous carbon. Mater. Sci. Eng. R 2002, 37, 129–281. [Google Scholar] [CrossRef]
- Huttel, I.; Gurovic, J.; Cerny, F.; Pospisil, J. Carbon and carbon nitride planar waveguides on silicon substrates. Diam. Relat. Mater. 1999, 8, 628–630. [Google Scholar] [CrossRef]
- Haas, Y.; Stein, G.; Wurzberg, E. Radiationless transitions in solutions: Isotope and proximity effects on Dy3+ by C-H and C-N bonds. J. Chem. Phys. 1974, 60, 258–263. [Google Scholar]
- Artizzu, F.; Quochi, F.; Saba, M.; Loche, D.; Mercuri, M.L.; Serpe, A.; Mura, A.; Bongiovanni, G.; Deplano, P. Silica sol-gel glasses incorporating dual-luminescent Yb quinolinolato complex: Processing, emission and photosensitising properties of the “antenna” ligand. Dalton Trans. 2012, 41, 13147–13153. [Google Scholar] [CrossRef]
- Boulon, G. Why so deep research on Yb3+-doped optical inorganic materials? J. Alloys Compd. 2008, 451, 1–11. [Google Scholar] [CrossRef]
- Hsu, H.-L.; Leong, K.R.; Teng, I.-J.; Halamicek, M.; Juang, J.-Y.; Jian, S.-R.; Qian, L.; Kherani, N.P. Erbium-doped amorphous carbon-based thin films: A photonic material prepared by low-temperature RF-PEMOCVD. Materials 2014, 7, 1539–1554. [Google Scholar] [CrossRef]
- Tsai, R.Y.C.; Qian, L.; Alizadeh, H.; Kherani, N.P. Room-temperature photoluminescence in erbium-doped deuterated amorphous carbon prepared by low-temperature MO-PECVD. Opt. Express 2009, 17, 21098–21107. [Google Scholar] [CrossRef]
- Lunstroot, K.; Driesen, K.; Nockemann, P.; van Hecke, K.; van Meervelt, L.; Gorller-Walrand, C.; Binnemans, K.; Bellayer, S.; Viau, L.; le Bideau, J.; et al. Lanthanide-doped luminescent ionogels. Dalton Trans. 2009, 14, 298–306. [Google Scholar]
- Denoyer, A.; Levesque, Y.; Jandl, S.; Goldner, P.; Guillot-Noel, O.; Viana, B.; Thibault, F.; Pelenc, D. Cooperative emission study in ytterbium-doped Y2SiO5. J. Lumin. 2008, 128, 1389–1393. [Google Scholar] [CrossRef]
- Wade, J.L.G. Organic Chemistry; Pearson Education: Upper Saddle River, NJ, USA, 2008. [Google Scholar]
- Siebrand, W. Radiationless transitions in polyatomic molecules. I. Calculation of Franck-Condon Factors. J. Chem. Phys. 1967, 46, 440–447. [Google Scholar]
- Saleh, B.E.A.; Teich, M.C. Fundamentals of Photonics; Wiley: Hoboken, NJ, USA, 2007. [Google Scholar]
- Ogasawara, H.; Kotani, A.; Thole, B.T. Lifetime effect on the multiplet structure of 4d X-ray-photoemission spectra in heavy rare-earth elements. Phys. Rev. B 1994, 50, 12332–12341. [Google Scholar] [CrossRef]
- Padalia, B.D.; Lang, W.C.; Norris, P.R.; Watson, L.M.; Fabian, D.J. X-ray photoelectron core-level studies of the heavy rare-earth metals and their oxides. Proc. R. Soc. Lond. Ser. A Math. Phys. Sci. 1977, 354, 269–290. [Google Scholar] [CrossRef]
- Signorelli, A.J.; Hayes, R.G. X-ray photoelectron spectroscopy of various core levels of Lanthanide Ions: The roles of monopole excitation and electrostatic coupling. Phys. Rev. B 1973, 8, 81–86. [Google Scholar] [CrossRef]
- Zanatta, A.R. Effect of thermal annealing treatments on the optical properties of rare-earth-doped AlN films. J. Phys. D: Appl. Phys. 2009, 42. [Google Scholar] [CrossRef]
- Tikhomirov, V.K.; Vosch, T.; Fron, E.; Rodriguez, V.D.; Velazquez, J.J.; Kirilenko, D.; van Tendeloo, G.; Hofkens, J.; van der Auweraer, M.; Moshchalkov, V.V. Luminescence of oxyfluoride glasses co-doped with Ag nanoclusters and Yb3+ ions. RSC Adv. 2012, 2, 1496–1501. [Google Scholar] [CrossRef]
- Chen, D.; Yu, Y.; Huang, P.; Wang, Y. Nanocrystallization of lanthanide trifluoride in an aluminosilicate glass matrix: Dimorphism and rare earth partition. Cryst. Eng. Comm. 2009, 11, 1686–1690. [Google Scholar] [CrossRef]
- Wang, X.; Yan, X. Ultraviolet and infrared photon-excited synergistic effect in Er3+-doped YbF3 phosphors. Opt. Lett. 2011, 36, 4353–4355. [Google Scholar] [CrossRef]
- Ahmed, M.H.; Byrne, J.A.; McLaughlin, J. Evaluation of glycine adsorption on diamond like carbon (DLC) and fluorinated DLC deposited by plasma-enhanced chemical vapour deposition (PECVD). Surf. Coat. Technol. 2012, 209, 8–14. [Google Scholar] [CrossRef]
- Bendavid, A.; Martin, P.J.; Randeniya, L.; Amin, M.S.; Rohanizadeh, R. The properties of fluorine-containing diamond-like carbon films prepared by pulsed DC plasma-activated chemical vapour deposition. Diam. Relat. Mater. 2010, 19, 1466–1471. [Google Scholar] [CrossRef]
- Ahmed, S.F.; Banerjee, D.; Chattopadhyay, K.K. The influence of fluorine doping on the optical properties of diamond-like carbon thin films. Vacuum 2010, 84, 837–842. [Google Scholar] [CrossRef]
- Foong, Y.M.; Hsieh, J.; Li, X.; Chua, D.H.C. The study on the effect of erbium on diamond-like carbon deposited by pulsed laser deposition technique. J. Appl. Phys. 2009, 106. [Google Scholar] [CrossRef]
- Foong, Y.M.; Hsieh, J.; Li, X.; Chua, D.H.C. Comparative study between erbium and erbium oxide-doped diamondlike carbon films deposited by pulsed laser deposition technique. J. Vac. Sci. Technol. A 2010, 28, 449–455. [Google Scholar] [CrossRef]
- Iakovlev, S.; Solterbeck, C.H.; Es-Souni, M.; Zaporojtchenko, V. Rare-earth ions doping effects on the optical properties of sol-gel fabricated PbTiO3 thin films. Thin Solid Films 2004, 446, 50–53. [Google Scholar] [CrossRef]
- Hsu, H.-L.; Leong, K.R.; Halamicek, M.; Teng, I.J.; Mahtani, P.; Juang, J.-Y.; Jian, S.-R.; Qian, L.; Kherani, N.P. In-situ doping of erbium in hydrogenated amorphous carbon by low temperature metalorganic radio frequency plasma enhanced chemical vapor deposition. Thin Solid Films 2014, in press. [Google Scholar]
- Hoang, J.; Schwartz, R.N.; Wang, K.L.; Chang, J.P. The effects of energy transfer on the Er3+ 1.54 μm luminescence in nanostructured Y2O3 thin films with heterogeneously distributed Yb3+ and Er3+ codopants. J. Appl. Phys. 2012, 112. [Google Scholar] [CrossRef]
- Forouhi, A.R.; Bloomer, I. Optical dispersion-relations for amorphous-semiconductors and amorphous dielectrics. Phys. Rev. B 1986, 34, 7018–7026. [Google Scholar] [CrossRef]
© 2014 by the authors; licensee MDPI, Basel, Switzerland. This article is an open access article distributed under the terms and conditions of the Creative Commons Attribution license (http://creativecommons.org/licenses/by/3.0/).
Share and Cite
Hsu, H.-L.; Leong, K.R.; Teng, I.-J.; Halamicek, M.; Juang, J.-Y.; Jian, S.-R.; Qian, L.; Kherani, N.P. Reduction of Photoluminescence Quenching by Deuteration of Ytterbium-Doped Amorphous Carbon-Based Photonic Materials. Materials 2014, 7, 5643-5663. https://doi.org/10.3390/ma7085643
Hsu H-L, Leong KR, Teng I-J, Halamicek M, Juang J-Y, Jian S-R, Qian L, Kherani NP. Reduction of Photoluminescence Quenching by Deuteration of Ytterbium-Doped Amorphous Carbon-Based Photonic Materials. Materials. 2014; 7(8):5643-5663. https://doi.org/10.3390/ma7085643
Chicago/Turabian StyleHsu, Hui-Lin, Keith R. Leong, I-Ju Teng, Michael Halamicek, Jenh-Yih Juang, Sheng-Rui Jian, Li Qian, and Nazir P. Kherani. 2014. "Reduction of Photoluminescence Quenching by Deuteration of Ytterbium-Doped Amorphous Carbon-Based Photonic Materials" Materials 7, no. 8: 5643-5663. https://doi.org/10.3390/ma7085643
APA StyleHsu, H.-L., Leong, K. R., Teng, I.-J., Halamicek, M., Juang, J.-Y., Jian, S.-R., Qian, L., & Kherani, N. P. (2014). Reduction of Photoluminescence Quenching by Deuteration of Ytterbium-Doped Amorphous Carbon-Based Photonic Materials. Materials, 7(8), 5643-5663. https://doi.org/10.3390/ma7085643

