Preparation and Characterization of Bioplastic-Based Green Renewable Composites from Tapioca with Acetyl Tributyl Citrate as a Plasticizer
Abstract
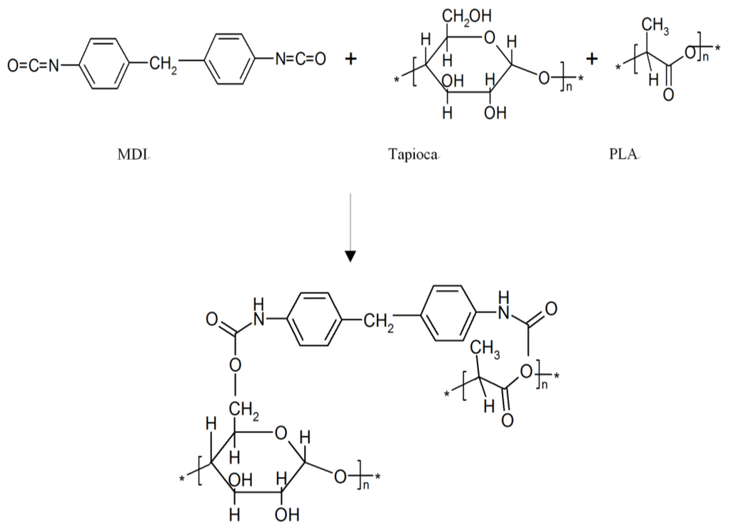
:1. Introduction
2. Results and Discussion
2.1. Tensile Property



2.2. Fourier Transform Infra-Red Spectroscopy


2.3. Morphology Analysis

2.4. Differential Scanning Calorimetry

2.5. Water Absorption

2.6. Enzymatic Hydrolysis

3. Experimental Section
3.1. Materials and Preparation
| Sample | PLA (%) | Tapioca (%) | ATBC (%) | MDI (phr) |
|---|---|---|---|---|
| PLA | 100 | 0 | 0 | 0 |
| PLA90tapioca10 | 90 | 10 | 0 | 0 |
| PLA80tapioca20 | 80 | 20 | 0 | 0 |
| PLA70tapioca30 | 70 | 30 | 0 | 0 |
| PLA60tapioca40 | 60 | 40 | 0 | 0 |
| PLA50tapioca50 | 50 | 50 | 0 | 0 |
| PLA40tapioca60 | 0 | 60 | 0 | 0 |
| PLA90tapioca10MDI | 90 | 10 | 0 | 0.5 |
| PLA80tapioca20MDI | 80 | 20 | 0 | 0.5 |
| PLA70tapioca30MDI | 70 | 30 | 0 | 0.5 |
| PLA60tapioca40MDI | 60 | 40 | 0 | 0.5 |
| PLA50tapioca50MDI | 50 | 50 | 0 | 0.5 |
| PLA60tapioca40MDI | 40 | 60 | 0 | 0.5 |
| (PLA90tapioca10MDI)95ATBC5 | 85.5 | 9.5 | 5 | 0.5 |
| (PLA80tapioca20MDI)95ATBC5 | 76 | 19 | 5 | 0.5 |
| (PLA70tapioca30MDI)95ATBC5 | 66.5 | 28.5 | 5 | 0.5 |
| (PLA60tapioca40MDI)95ATBC5 | 57 | 38 | 5 | 0.5 |
| (PLA50tapioca50MDI)95ATBC5 | 47.5 | 47.5 | 5 | 0.5 |
| (PLA90tapioca10MDI)90ATBC10 | 81 | 9 | 10 | 0.5 |
| (PLA80tapioca20MDI)90ATBC10 | 72 | 18 | 10 | 0.5 |
| (PLA70tapioca30MDI)90ATBC10 | 63 | 27 | 10 | 0.5 |
| (PLA60tapioca40MDI)90ATBC10 | 54 | 36 | 10 | 0.5 |
| (PLA50tapioca50MDI)90ATBC10 | 45 | 45 | 10 | 0.5 |
| (PLA90tapioca10MDI)85ATBC15 | 76.5 | 8.5 | 15 | 0.5 |
| (PLA80tapioca20MDI)85ATBC15 | 68 | 17 | 15 | 0.5 |
| (PLA70tapioca30MDI)85ATBC15 | 59.5 | 25.5 | 15 | 0.5 |
| (PLA60tapioca40MDI)85ATBC15 | 51 | 34 | 15 | 0.5 |
| (PLA50tapioca50MDI)85ATBC15 | 42.5 | 42.5 | 15 | 0.5 |
| (PLA90tapioca10MDI)80ATBC20 | 72 | 8 | 20 | 0.5 |
| (PLA80tapioca20MDI)80ATBC20 | 64 | 16 | 20 | 0.5 |
| (PLA70tapioca30MDI)80ATBC20 | 56 | 24 | 20 | 0.5 |
| (PLA60tapioca40MDI)80ATBC20 | 48 | 32 | 20 | 0.5 |
| (PLA50tapioca50MDI)80ATBC20 | 40 | 40 | 20 | 0.5 |
| (PLA90tapioca10MDI)75ATBC25 | 67.5 | 7.5 | 25 | 0.5 |
| (PLA80tapioca20MDI)75ATBC25 | 60 | 15 | 25 | 0.5 |
| (PLA70tapioca30MDI)75ATBC25 | 52.2 | 22.5 | 25 | 0.5 |
| (PLA60tapioca40MDI)75ATBC25 | 45 | 30 | 25 | 0.5 |
| (PLA50tapioca50MDI)75ATBC25 | 37.5 | 37.5 | 25 | 0.5 |
3.2. Tensile Property
3.3. Fourier Transform Infra-Red Spectroscopy
3.4. Morphology Analysis
3.5. Differential Scanning Calorimetry
3.6. Water Absorption
3.7. Enzymatic Hydrolysis
4. Conclusions
Acknowledgments
Author Contributions
Conflicts of Interest
References
- Handra, R.; Rustgi, R. Biodegradable polymers. Prog. Polym. Sci. 1998, 23, 1273–1335. [Google Scholar] [CrossRef]
- Warwel, S.; Brüse, F.; Demes, C.; Kunz, M.; Rüsch gen Klaas, M. Polymers and surfactants on the basis of renewable resources. Chemosphere 2001, 43, 39–48. [Google Scholar] [CrossRef]
- Tsutsumi, N.; Kono, Y.; Oya, M.; Sakai, W.; Nagata, M. Recent development of biodegradable network polyesters obtained from renewable natureal resources. Clean Soil Air Water 2008, 36, 682–686. [Google Scholar] [CrossRef]
- Sinclair, R.G.J. The case for polylactic acid as a commodity packaging plastic. Macromol. Sci. Pure Appl. Chem. 1996, 33, 585–597. [Google Scholar] [CrossRef]
- Kricheldorf, H.R.; Kreiser-Saunders, I. Polylactides—Synthesis, characterization and medical application. Macromol. Symp. 1996, 103, 85–102. [Google Scholar]
- Jang, W.Y.; Shin, B.Y.; Lee, T.J.; Narayan, R. Thermal properties and morphology of biodegradable PLA/starch compatibilized blends. J. Ind. Eng. Chem. 2007, 1, 457–464. [Google Scholar]
- Oksman, K.; Skrifvars, M.; Selin, J.F. Natural fibres as reinforcement in polylactic acid (PLA) composites. Compos. Sci. 2003, 63, 1317–1324. [Google Scholar] [CrossRef]
- Shanks, R.A.; Hodzic, A.; Ridderhof, D. Composites of poly(lactic acid) with flax fibers modified by interstitial polymerization. J. Appl. Polym. Sci. 2006, 101, 3620–3629. [Google Scholar] [CrossRef]
- Bodros, E.; Pillin, I.; Montrelay, N.; Baley, C. Could biopolymers reinforced by randomly scattered flax fiber be used in structural applications. Compos. Sci. Technol. 2007, 67, 462–470. [Google Scholar] [CrossRef]
- Alvarez, V.A.; Ruscekaite, R.A.; Vázquez, A. Mechanical properties and water absorption behavior of composites made from a biodegradable matrix and alkaline-treated sisal fibers. J. Compos. Mater. 2003, 37, 1575–1588. [Google Scholar] [CrossRef]
- Lee, S.Y.; Kang, I.A.; Doh, G.H.; Yoon, H.G.; Park, B.D.; Wu, Q. Thermal and mechanical properties of wood flour/talc-filled polylactic acid composites: Effect of filler content and coupling treatment. J. Thermoplast. Compos. Mater. 2008, 21, 209–223. [Google Scholar] [CrossRef]
- Shibata, M.; Ozawa, K.; Teramoto, N.; Yosomiya, R.; Takeishi, H. Biocomposites made from short abaca fiber and biodegradable polyesters. Macromol. Mater. Eng. 2003, 288, 35–43. [Google Scholar] [CrossRef]
- Plackett, D.; Andersen, T.L.; Pedersen, W.B.; Nielsen, L. Biodegradable composites based on l-polylactide and jute fibres. Compos. Sci. Technol. 2003, 63, 1287–1296. [Google Scholar] [CrossRef]
- Shibata, M.; Oyamada, S.; Kobayashi, S.I.; Yaginuma, D. Mechanical properties and biodegradability of green composites based on biodegradable polyesters and lyocell fabric. J. Appl. Polym. Sci. 2004, 92, 3857–3863. [Google Scholar] [CrossRef]
- Huda, M.S.; Drzal, L.T.; Misra, M.; Mohanty, A.K. Wood-fiber-reinforced poly(lactic acid) composites: Evaluation of the physicomechanical and morphological properties. J. Appl. Polym. Sci. 2006, 102, 4856–4869. [Google Scholar] [CrossRef]
- Huda, M.S.; Drzal, L.T.; Misra, M.; Mohanty, A.K.; Williams, K.; Mielewski, D.F. A study onbiocomposites from recycled newspaper fiber and poly(lactic acid). Ind. Eng. Chem. Res. 2005, 44, 5593–5601. [Google Scholar] [CrossRef]
- Liu, W.; Misra, M.; Askeland, P.; Drzal, L.; Mohanty, A.K. Green composites from soy based plastic and pineapple leaf fiber: Fabrication and properties evaluation. Polymer 2005, 46, 2710–2721. [Google Scholar] [CrossRef]
- Ardente, F.; Beccali, M.; Cellura, M.; Mistretta, M. Building energy performance: A LCA case study of kenaf-fibres insulation board. Energy Build. 2008, 40, 1–10. [Google Scholar] [CrossRef]
- Mathew, A.P.; Oksman, K.; Sain, M. Mechanical properties of biodegradable composites from poly lactic acid (PLA) and microcrystalline cellulose (MCC). J. Appl. Polym. Sci. 2005, 97, 10–20. [Google Scholar]
- Avella, M.; Buzarovska, A.; Errico, M.E. Gennaro gentile and grozdanov aeco-challenges of bio-based polymer composites. Materials 2009, 2, 911–925. [Google Scholar] [CrossRef]
- Wang, H.; Sun, X.Z.; Seib, P. Strengthening blends of poly(lactic acid) and starch with methylenediphenyl diisocyanate. J. Appl. Polym. Sci. 2001, 82, 1761–1767. [Google Scholar] [CrossRef]
- Ohkita, T.; Lee, S.H. Effect of aliphatic isocyanates (HDI and LDI) as a coupling agent on the properties of eco-composite from biodegradable polymers and corn starch. J. Adhes. Sci. Technol. 2004, 18, 905–924. [Google Scholar] [CrossRef]
- Teixeira, E.M.; Da Roz, A.L.; Carvalho, A.J.F.; Curvelo, A.A.S. The effect of glycerol/sugar/water and sugar/water mixtures on the plasticization of thermoplastic cassava starch. Carbohydr. Polym. 2007, 69, 619–624. [Google Scholar] [CrossRef]
- Rodriguez-Gonzalez, F.J.; Ramsay, B.A.; Favis, B.D. Rheological and thermal properties of thermoplastic starch with high glycerol content. Carbohydr. Polym. 2004, 58, 139–147. [Google Scholar] [CrossRef]
- Ma, X.F.; Yu, J.G.; Wan, J.J. Urea and ethanolamine as a mixed plasticizer for thermoplastic starch. Carbohydr. Polym. 2006, 64, 267–273. [Google Scholar] [CrossRef]
- Shi, R.; Zhang, Z.Z.; Liu, Q.Y.; Han, Y.M.; Zhang, L.Q.; Chen, D.F. Characterization of citric acid/glycerol co-plasticized thermoplastic starch prepared by melt blending. Carbohydr. Polym. 2007, 69, 748–755. [Google Scholar] [CrossRef]
- Jang, J.W.Y.; Shin, B.Y. Thermal properties and morphology of biodegradable PLA/starch Compatibilized Blends. Eng. Chem. 2007, 13, 457–464. [Google Scholar]
- Wang, J.W.; Zhai, W.T.; Zheng, W.G. Poly(ethylene glycol) grafted starch introducing a novel interphase in poly(lactic acid)/poly(ethylene glycol)/starch ternary composite. J. Polym. Environ. 2012, 2, 528–539. [Google Scholar] [CrossRef]
- Xiong, Z.; Yang, Y.; Feng, J.X.; Zhang, X.; Zhang, C.Z.; Tang, Z.B. Preparation and characterization of poly(lactic acid)/starch composites toughened with epoxidized soybean oil. Carbohydr. Polym. 2013, 92, 810–816. [Google Scholar] [CrossRef]
- Acioli-Moura, R.; Sun, X.S. Thermal degradation and physical aging of poly(lactic acid) and its blends with starch ricardo. Polym. Eng. Sci. 2008, 48, 829–836. [Google Scholar] [CrossRef]
- Xiong, Z.; Zhang, L.S.; Ma, S.Q.; Yang, Y.; Zhang, C.Z.; Tang, Z.B.; Zhu, J. Effect of castor oil enrichment layer produced by reaction on the properties of PLA/HDI-g-starch blends. Carbohydr. Polym. 2013, 94, 235–243. [Google Scholar] [CrossRef]
- Poramacom, N.; Ungsuratana, A.O.; Ungsuratana, P.; Supavititpattana, P. Cassava production, prices and related policy in Thailand. Am. Int. J. Contemp. Res. 2013, 3, 43–51. [Google Scholar]
- Tsou, C.H.; Hung, W.S.; Chen, J.C.; Huang, C.Y.; Wu, C.S.; Chiu, S.H.; Tsou, C.Y.; Chen, J.C.; Chu, C.K.; Hu, C.C.; et al. New composition of maleic-anhydride-grafted poly(lactic acid)/rice husk with methylenediphenyl diisocyanate. Mater.Sci. 2014, in press. [Google Scholar]
- Zhao, Y.L.; Cai, Q.; Shuai, X.T.; Bei, J.Z.; Chen, C.F.; Xi, F. Synthesis and thermal properties of novel star-shaped poly(l-lactide)s with starburst PAMAM–OH dendrimer macroinitiator. Polymer 2002, 43, 5819–5825. [Google Scholar] [CrossRef]
- Kim, E.S.; Kim, B.C.; Kim, S.H. Structural effect of linear and star-shaped poly(l-lactic acid) on physical properties. J. Polym. Sci. Part BPolym. Phys. 2004, 42, 939–946. [Google Scholar] [CrossRef]
- Liu, H.; Chen, F.; Liu, B.; Estep, G.; Zhang, J. Super toughened poly(lactic acid) ternary blends by simultaneous dynamic vulcanization and interfacial compatibilization. Macromolecules 2010, 43, 6058–6066. [Google Scholar] [CrossRef]
- Jiang, L.; Wolcott, M.P.; Zhang, J. Study of biodegradable polylactide/poly(butylene adipate-co-terephthalate) blends. Biomacromolecules 2006, 7, 199–207. [Google Scholar] [CrossRef]
- Williams, G.I.; Wool, R.P. Composites from natural fibers and soy oil resins. Wool. Appl. Compos. Mater. 2000, 7, 421–432. [Google Scholar] [CrossRef]
- Natural Fibre: Plastics and Composites; Wallenberger, F.T.; Weston, N.E. (Eds.) Kluwer Academic Publishers: Dordrecht, The Netherlands, 2004.
- Martin, P.; Maquet, C.; Legras, R.; Bailly, C.; Leemans, L.; van Gurp, M. Conjugated effects of the compatibilization and the dynamic vulcanization on the phase inversion behavior in poly(butylene terephthalate)/epoxide-containing rubber reactive polymer blends. Polymer 2004, 45, 5111–5125. [Google Scholar] [CrossRef]
- Martin, P.; Maquet, R.C.; Legras, C.; Bailly, L.; van Gurp Leemans, M. Particle-in-particle morphology in reactively compatibilized poly(butylene terephthalate)/epoxide-containing rubber blends. Polymer 2004, 45, 3277–3284. [Google Scholar] [CrossRef]
- Lim, J.S.; Park, K.I.; Chung, G.S.; Kim, J.H. Effect of composition ratio on the thermal and physical properties of semicrystalline PLA/PHB-HHx composites. Mater. Sci. Eng. 2013, 33, 2131–2137. [Google Scholar] [CrossRef]
- Gerard, T.; Budtova, T. Morphology and molten-state rheology of polylactide and polyhydroxyalkanoate blends. Eur. Polym. J. 2002, 48, 1110–1117. [Google Scholar] [CrossRef]
- Labrecque, L.V.; Dave, R.A.; Gross, R.A. Citrate esters as plasticizers for poly(lactic acid). J. Appl. Polym. Sci. 1997, 66, 1507–1513. [Google Scholar] [CrossRef]
- Kulinski, Z.; Piorkowska, E.; Gadzinowska, K. Plasticization of poly(l-lactide) with poly(propylene glycol). Biomacromolecules 2006, 7, 2128–2135. [Google Scholar] [CrossRef]
- Ljungberg, N.; Wesslen, B. Preparation and properties of plasticized poly(lactic acid) films. Biomacromolecules 2005, 6, 1789–1796. [Google Scholar] [CrossRef]
- Ljungberg, N.; Andersson, T.; Wesslen, B. Film extrusion and film weldability of poly(lactic acid) plasticized with triacetine and tributyl citrate. J. Appl. Polym. Sci. 2003, 88, 3239–3247. [Google Scholar] [CrossRef]
- Martin, O.; Averous, L. Poly(lactic acid): Plasticization and properties of biodegradable multiphase systems. Polymer 2001, 42, 6209–6219. [Google Scholar] [CrossRef]
- Jacobsen, S.; Fritz, H.G. Plasticizing polylactide-the effect of different plasticizers on the mechanical properties. Polym. Eng. Sci. 1999, 39, 1303–1310. [Google Scholar] [CrossRef]
- Yeh, J.T.; Huang, C.Y.; Chai, W.L.; Chen, K.N. Plasticized properties of poly (lactic acid) and triacetine blends. J. Appl. Polym. Sci. 2009, 112, 2757–2763. [Google Scholar] [CrossRef]
- Baiardo, M.; Frisoni, G.; Scandola, M.; Michel, R.; Lips, D.; Ruffieux, K.; Wintermantel, E. Thermal and mechanical properties of plasticized poly(l-lactic acid). J. Appl. Polym. Sci. 2003, 90, 1731–1738. [Google Scholar] [CrossRef]
- Standard Test Method for Tensile Properties of Plastics. Available online: http://www.astm.org/Standards/D638.htm (accessed on 31 July 2014).
© 2014 by the authors; licensee MDPI, Basel, Switzerland. This article is an open access article distributed under the terms and conditions of the Creative Commons Attribution license (http://creativecommons.org/licenses/by/3.0/).
Share and Cite
Tsou, C.-H.; Suen, M.-C.; Yao, W.-H.; Yeh, J.-T.; Wu, C.-S.; Tsou, C.-Y.; Chiu, S.-H.; Chen, J.-C.; Wang, R.Y.; Lin, S.-M.; et al. Preparation and Characterization of Bioplastic-Based Green Renewable Composites from Tapioca with Acetyl Tributyl Citrate as a Plasticizer. Materials 2014, 7, 5617-5632. https://doi.org/10.3390/ma7085617
Tsou C-H, Suen M-C, Yao W-H, Yeh J-T, Wu C-S, Tsou C-Y, Chiu S-H, Chen J-C, Wang RY, Lin S-M, et al. Preparation and Characterization of Bioplastic-Based Green Renewable Composites from Tapioca with Acetyl Tributyl Citrate as a Plasticizer. Materials. 2014; 7(8):5617-5632. https://doi.org/10.3390/ma7085617
Chicago/Turabian StyleTsou, Chi-Hui, Maw-Cherng Suen, Wei-Hua Yao, Jen-Taut Yeh, Chin-San Wu, Chih-Yuan Tsou, Shih-Hsuan Chiu, Jui-Chin Chen, Ruo Yao Wang, Shang-Ming Lin, and et al. 2014. "Preparation and Characterization of Bioplastic-Based Green Renewable Composites from Tapioca with Acetyl Tributyl Citrate as a Plasticizer" Materials 7, no. 8: 5617-5632. https://doi.org/10.3390/ma7085617
APA StyleTsou, C.-H., Suen, M.-C., Yao, W.-H., Yeh, J.-T., Wu, C.-S., Tsou, C.-Y., Chiu, S.-H., Chen, J.-C., Wang, R. Y., Lin, S.-M., Hung, W.-S., De Guzman, M., Hu, C.-C., & Lee, K.-R. (2014). Preparation and Characterization of Bioplastic-Based Green Renewable Composites from Tapioca with Acetyl Tributyl Citrate as a Plasticizer. Materials, 7(8), 5617-5632. https://doi.org/10.3390/ma7085617

