In-Situ One-Step Hydrothermal Synthesis of LiTi2(PO4)3@rGO Anode for High Performance Lithium-Ion Batteries
Abstract
1. Introduction
2. Materials and Methods
2.1. Synthesis of LiTi2(PO4)3@rGO
2.2. Structural and Morphological Characterizations
2.3. Electrochemical Measurements
3. Results and Discussion
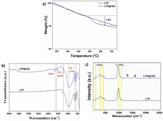
3.1. Materials Characterization
3.2. Electrochemical Characterization
4. Conclusions
Supplementary Materials
Author Contributions
Funding
Institutional Review Board Statement
Informed Consent Statement
Data Availability Statement
Conflicts of Interest
References
- Kang, B.; Ceder, G. Battery Materials for Ultrafast Charging and Discharging. Nature 2009, 458, 190–193. [Google Scholar] [CrossRef]
- Tarascon, J.-M.; Armand, M. Issues and Challenges Facing Rechargeable Lithium Batteries. Nature 2001, 414, 359–367. [Google Scholar] [CrossRef] [PubMed]
- Spotnitz, R.; Franklin, J. Abuse Behavior of High-Power, Lithium-Ion Cells. J. Power Sources 2003, 113, 81–100. [Google Scholar] [CrossRef]
- Bruce, P.G.; Scrosati, B.; Tarascon, J.-M. Nanomaterials for Rechargeable Lithium Batteries. Angew. Chem. Int. Ed. 2008, 47, 2930–2946. [Google Scholar] [CrossRef] [PubMed]
- Kang, K.; Meng, Y.S.; Breger, J.; Grey, C.P.; Ceder, G. Electrodes with High Power and High Capacity for Rechargeable Lithium Batteries. Science 2006, 311, 977–980. [Google Scholar] [CrossRef]
- Mahmood, N.; Tang, T.; Hou, Y. Nanostructured Anode Materials for Lithium Ion Batteries: Progress, Challenge and Perspective. Adv. Energy Mater. 2016, 6, 1600374. [Google Scholar] [CrossRef]
- Cheng, H.; Shapter, J.G.; Li, Y.; Gao, G. Recent Progress of Advanced Anode Materials of Lithium-Ion Batteries. J. Energy Chem. 2021, 57, 451–468. [Google Scholar] [CrossRef]
- Zhu, G.-N.; Wang, Y.-G.; Xia, Y.-Y. Ti-Based Compounds as Anode Materials for Li-Ion Batteries. Energy Environ. Sci. 2012, 5, 6652–6667. [Google Scholar] [CrossRef]
- Wang, S.; Yang, Y.; Dong, Y.; Zhang, Z.; Tang, Z. Recent Progress in Ti-Based Nanocomposite Anodes for Lithium Ion Batteries. J. Adv. Ceram. 2019, 8, 1–18. [Google Scholar] [CrossRef]
- Shichalin, O.O.; Ivanov, N.P.; Seroshtan, A.I.; Nadaraia, K.V.; Simonenko, T.L.; Gurin, M.S.; Kornakova, Z.E.; Shchitovskaya, E.V.; Barkhudarov, K.V.; Tsygankov, D.K. Spark Plasma Sintering of Ti2AlC/TiC MAX-Phase Based Composite Ceramic Materials and Study of Their Electrochemical Characteristics. Ceram. Int. 2024, 50, 53120–53128. [Google Scholar] [CrossRef]
- Buravlev, I.Y.; Vornovskikh, A.A.; Shichalin, O.O.; Lembikov, A.O.; Simonenko, T.L.; Seroshtan, A.I.; Buravleva, A.A.; Belov, A.A.; Kosyanov, D.Y.; Papynov, E.K. Reactive Spark Plasma Synthesis of Mo2C/Mo3Co3C Ceramic for Heterostructured Electrodes Used for Hydrogen Energy Technology. Ceram. Int. 2024, 50, 14445–14457. [Google Scholar] [CrossRef]
- Fang, S.; Bresser, D.; Passerini, S. Transition Metal Oxide Anodes for Electrochemical Energy Storage in Lithium-and Sodium-ion Batteries. In Transition Metal Oxides for Electrochemical Energy Storage; Wiley-VCH GmbH: Hoboken, NJ, USA, 2022; pp. 55–99. [Google Scholar]
- Wang, G.; Xu, B.; Shi, J.; Wu, M.; Su, H.; Ouyang, C. New Insights into Li Diffusion in Li–Si Alloys for Si Anode Materials: Role of Si Microstructures. Nanoscale 2019, 11, 14042–14049. [Google Scholar] [CrossRef] [PubMed]
- Lallaoui, A.; Taoufik, I.; Mateos, M.; Edfouf, Z.; El Moursli, F.C. Novel Lithium Titanium Phosphite LiTi(HPO3)2 as Low Voltage Anode Material for Lithium-Ion Batteries. Mater. Res. Bull. 2025, 184, 113269. [Google Scholar] [CrossRef]
- Tang, Z.; Xie, Z.; Cai, Q.; Xia, Z.; Chen, Q.; Liang, W.; He, J.; Xing, L.; Li, W. Unlocking Superior Safety, Rate Capability, and Low-Temperature Performances in LiFePO4 Power Batteries. Energy Storage Mater. 2024, 67, 103309. [Google Scholar] [CrossRef]
- Nekahi, A.; MR, A.K.; Li, X.; Deng, S.; Zaghib, K. Sustainable LiFePO4 and LiMnxFe1-xPO4 (X = 0.1–1) Cathode Materials for Lithium-Ion Batteries: A Systematic Review from Mine to Chassis. Mater. Sci. Eng. R Rep. 2024, 159, 100797. [Google Scholar] [CrossRef]
- Giarola, M.; Sanson, A.; Tietz, F.; Pristat, S.; Dashjav, E.; Rettenwander, D.; Redhammer, G.J.; Mariotto, G. Structure and Vibrational Dynamics of NASICON-Type LiTi2(PO4)3. J. Phys. Chem. C 2017, 121, 3697–3706. [Google Scholar] [CrossRef]
- Jian, Z.; Hu, Y.-S.; Ji, X.; Chen, W. Nasicon-structured Materials for Energy Storage. Adv. Mater. 2017, 29, 1601925. [Google Scholar] [CrossRef]
- Aravindan, V.; Chuiling, W.; Reddy, M.V.; Rao, G.S.; Chowdari, B.V.R.; Madhavi, S. Carbon Coated Nano-LiTi2(PO4)3 Electrodes for Non-Aqueous Hybrid Supercapacitors. Phys. Chem. Chem. Phys. 2012, 14, 5808–5814. [Google Scholar] [CrossRef]
- Rossbach, A.; Tietz, F.; Grieshammer, S. Structural and Transport Properties of Lithium-Conducting NASICON Materials. J. Power Sources 2018, 391, 1–9. [Google Scholar] [CrossRef]
- Masquelier, C.; Croguennec, L. Polyanionic (Phosphates, Silicates, Sulfates) Frameworks as Electrode Materials for Rechargeable Li (or Na) Batteries. Chem. Rev. 2013, 113, 6552–6591. [Google Scholar] [CrossRef]
- Sun, J.; Sun, Y.; Gai, L.; Jiang, H.; Tian, Y. Carbon-Coated Mesoporous LiTi2(PO4)3 Nanocrystals with Superior Performance for Lithium-Ion Batteries. Electrochim. Acta 2016, 200, 66–74. [Google Scholar] [CrossRef]
- Liu, L.; Zhou, M.; Wang, G.; Guo, H.; Tian, F.; Wang, X. Synthesis and Characterization of LiTi2(PO4)3/C Nanocomposite as Lithium Intercalation Electrode Materials. Electrochim. Acta 2012, 70, 136–141. [Google Scholar] [CrossRef]
- Devaraju, M.K.; Honma, I. Hydrothermal and Solvothermal Process towards Development of LiMPO4 (M = Fe, Mn) Nanomaterials for Lithium-ion Batteries. Adv. Energy Mater. 2012, 2, 284–297. [Google Scholar] [CrossRef]
- Roh, H.-K.; Kim, H.-K.; Roh, K.C.; Kim, K.-B. LiTi2(PO4)3/Reduced Graphene Oxide Nanocomposite with Enhanced Electrochemical Performance for Lithium-Ion Batteries. RSC Adv. 2014, 4, 31672–31677. [Google Scholar] [CrossRef]
- Huang, Z.; Liu, L.; Zhou, Q.; Tan, J.; Yan, Z.; Xia, D.; Shu, H.; Yang, X.; Wang, X. Carbon-Coated Lithium Titanium Phosphate Nanoporous Microplates with Superior Electrochemical Performance. J. Power Sources 2015, 294, 650–657. [Google Scholar] [CrossRef]
- Tout, W.; Mateos, M.; Zhang, J.; Emery, N.; Leroy, E.; Dubot, P.; El Moursli, F.C.; Edfouf, Z.; Cuevas, F. Unraveling the Energy Storage Mechanism in Nanostructured SnHPO3 Anode through Advanced Operando and Ex-Situ Characterizations. J. Energy Storage 2025, 112, 115502. [Google Scholar] [CrossRef]
- Reshma, R.P.; Abishek, N.S.; Gopalakrishna, K.N. Synthesis and Characterization of Graphene Oxide, Tin Oxide, and Reduced Graphene Oxide-Tin Oxide Nanocomposites. Inorg. Chem. Commun. 2024, 165, 112451. [Google Scholar] [CrossRef]
- Tarte, P.; Cahay, R.; Garcia, A. Infrared Spectrum and Structural Role of Titanium in Synthetic Ti-Garnets. Phys. Chem. Miner. 1979, 4, 55–63. [Google Scholar] [CrossRef]
- Kurazhkovskaya, V.S.; Bykov, D.M.; Borovikova, E.Y.; Boldyrev, N.Y.; Mikhalitsyn, L.; Orlova, A.I. Vibrational Spectra and Factor Group Analysis of Lanthanide and Zirconium Phosphates MIII0.33Zr2(PO4)3, Where MIII= Y, La–Lu. Vib. Spectrosc. 2010, 52, 137–143. [Google Scholar] [CrossRef]
- Pikl, R.; De Waal, D.; Aatiq, A.; El Jazouli, A. Vibrational Spectra and Factor Group Analysis of Mn(0.5+x)Ti(2−2x)Cr2x(PO4)3 {0 ≤ X ≤ 0.50}. Vib. Spectrosc. 1998, 16, 137–143. [Google Scholar] [CrossRef]
- He, S.; Xu, Y.; Zhang, B.; Sun, X.; Chen, Y.; Jin, Y. Unique Rhombus-like Precursor for Synthesis of Li1.3Al0.3Ti1.7(PO4)3 Solid Electrolyte with High Ionic Conductivity. Chem. Eng. J. 2018, 345, 483–491. [Google Scholar] [CrossRef]
- Li, Z.; Zhu, K.; Li, J.; Wang, X. Morphological and Orientational Diversity of LiFePO4 Crystallites: Remarkable Reaction Path Dependence in Hydrothermal/Solvothermal Syntheses. CrystEngComm 2014, 16, 10112–10122. [Google Scholar] [CrossRef]
- Yue, Y.; Pang, W. Hydrothermal Synthesis and Characterization of LiTi2(PO4)3. J. Mater. Sci. Lett. 1990, 9, 1392. [Google Scholar] [CrossRef]
- Peng, C.; Kamiike, Y.; Liang, Y.; Kuroda, K.; Okido, M. Thin-Film NASICON-Type Li1+ xAlxTi2– x(PO4)3 Solid Electrolyte Directly Fabricated on a Graphite Substrate with a Hydrothermal Method Based on Different Al Sources. ACS Sustain. Chem. Eng. 2019, 7, 10751–10762. [Google Scholar] [CrossRef]
- Lopez, M.C.; Ortiz, G.F.; Lavela, P.; Tirado, J.L.; Stoyanova, R.; Zhecheva, E. Tunable Ti4+/Ti3+ Redox Potential in the Presence of Iron and Calcium in NASICON-Type Related Phosphates as Electrodes for Lithium Batteries. Chem. Mater. 2013, 25, 4025–4035. [Google Scholar] [CrossRef]
- Zhao, Y.; Wei, Z.; Pang, Q.; Wei, Y.; Cai, Y.; Fu, Q.; Du, F.; Sarapulova, A.; Ehrenberg, H.; Liu, B. NASICON-Type Mg0.5Ti2(PO4)3 Negative Electrode Material Exhibits Different Electrochemical Energy Storage Mechanisms in Na-Ion and Li-Ion Batteries. ACS Appl. Mater. Interfaces 2017, 9, 4709–4718. [Google Scholar] [CrossRef]
- Feng, J.K.; Lu, L.; Lai, M.O. Lithium Storage Capability of Lithium Ion Conductor Li1.5Al0.5Ge1.5(PO4)3. J. Alloys Compd. 2010, 501, 255–258. [Google Scholar] [CrossRef]
- Edström, K.; Gustafsson, T.; Thomas, J.O. The Cathode–Electrolyte Interface in the Li-Ion Battery. Electrochim. Acta 2004, 50, 397–403. [Google Scholar] [CrossRef]
- Srout, M.; Lasri, K.; Dahbi, M.; Kara, A.; Tetard, L.; Saadoune, I. Understanding of the Li-Insertion Process in a Phosphate Based Electrode Material for Lithium Ion Batteries. J. Power Sources 2019, 435, 226803. [Google Scholar] [CrossRef]
- Wang, G.X.; Bradhurst, D.H.; Dou, S.X.; Liu, H.K. LiTi2(PO4)3 with NASICON-Type Structure as Lithium-Storage Materials. J. Power Sources 2003, 124, 231–236. [Google Scholar] [CrossRef]
- Bhanja, P.; Senthil, C.; Patra, A.K.; Sasidharan, M.; Bhaumik, A. NASICON Type Ordered Mesoporous Lithium-Aluminum-Titanium-Phosphate as Electrode Materials for Lithium-Ion Batteries. Microporous Mesoporous Mater. 2017, 240, 57–64. [Google Scholar] [CrossRef]
- Yang, B.; Wang, D.; Chen, S.; Sun, X.; Yu, B. Electrochemical Impedance Preprocessing with Distribution of Relaxation Time Transform. J. Power Sources 2023, 571, 233062. [Google Scholar] [CrossRef]
- He, Y.; Zhang, Z.; Feng, G.; Li, H. Two-Dimensional LiTi2(PO4)3 Flakes for Enhanced Lithium Ions Battery Anode. Heliyon 2024, 10, e23396. [Google Scholar] [CrossRef]
- Aravindan, V.; Ling, W.C.; Hartung, S.; Bucher, N.; Madhavi, S. Carbon-coated LiTi2(PO4)3: An Ideal Insertion Host for Lithium-ion and Sodium-ion Batteries. Chem. Asian J. 2014, 9, 878–882. [Google Scholar] [CrossRef] [PubMed]
- Sun, D.; Xue, X.; Tang, Y.; Jing, Y.; Huang, B.; Ren, Y.; Yao, Y.; Wang, H.; Cao, G. High-Rate LiTi2(PO4)3@N–C Composite via Bi-Nitrogen Sources Doping. ACS Appl. Mater. Interfaces 2015, 7, 28337–28345. [Google Scholar] [CrossRef]
- Zaaba, N.I.; Foo, K.L.; Hashim, U.; Tan, S.J.; Liu, W.-W.; Voon, C.H. Synthesis of Graphene Oxide Using Modified Hummers Method: Solvent Influence. Procedia engineering 2017, 184, 469–477. [Google Scholar] [CrossRef]
- Khan, Q.A.; Shaur, A.; Khan, T.A.; Joya, Y.F.; Awan, M.S. Characterization of Reduced Graphene Oxide Produced through a Modified Hoffman Method. Cogent Chemistry 2017, 3, 1298980. [Google Scholar] [CrossRef]
- Yu, S.; Tempel, H.; Schierholz, R.; Aslanbas, Ö.; Gao, X.; Mertens, J.; de Haart, L.G.; Kungl, H.; Eichel, R.-A. LiTi2(PO4)3/C Anode Material with a Spindle-Like Morphology for Batteries with High Rate Capability and Improved Cycle Life. ChemElectroChem 2016, 3, 1157–1169. [Google Scholar] [CrossRef]
- Guo, Z.; Qin, X.; Xie, Y.; Lei, C.; Wei, T.; Zhang, Y. Advanced NASICON-Type LiTi2(PO4)3 as Electrode Materials for Lithium-Ion Batteries. Chemical Physics Letters 2022, 806, 140010. [Google Scholar] [CrossRef]








| LTP | LTP@rGO | ||
|---|---|---|---|
| Unit cell parameters | a (Å) | 8.5032 (1) | 8.5113 (4) |
| c (Å) | 20.8351 (1) | 20.8547 (5) | |
| α (°) = β (°) = 90, γ (°) = 120 | |||
| Volume (Å3) | 1304.63 (2) | 1308.37 (9) | |
| Crystallite size (nm) | 86.6 | 57.5 | |
| RB | 1.29 | 1.12 | |
| Rp | 8.47 | 23.4 | |
| Rwp | 9.65 | 22.3 | |
| Materials | R1 (Ω) | Q1 (Ω⁻¹·cm⁻²·sⁿ), n1 | R2 (Ω) | Q2 (Ω⁻¹·cm⁻²·sⁿ), n2 | Statistical Parameters |
|---|---|---|---|---|---|
| LTP | 11.4 | 3.91× 10−5, n1 = 0.72 | 405.2 | 0.39 × 10−3, n2 = 0.67 | χ2 = 0.032 |
| LTP@rGO | 9.2 | 5.4 × 10−5, n1 = 0.71 | 209.9 | 0.505 × 10−3, n2 = 0.69 | χ2 = 0.013 |
Disclaimer/Publisher’s Note: The statements, opinions and data contained in all publications are solely those of the individual author(s) and contributor(s) and not of MDPI and/or the editor(s). MDPI and/or the editor(s) disclaim responsibility for any injury to people or property resulting from any ideas, methods, instructions or products referred to in the content. |
© 2025 by the authors. Licensee MDPI, Basel, Switzerland. This article is an open access article distributed under the terms and conditions of the Creative Commons Attribution (CC BY) license (https://creativecommons.org/licenses/by/4.0/).
Share and Cite
Zoubir, O.; Lallaoui, A.; Oubla, M.; Tesio, A.Y.; Caballero, A.; Edfouf, Z. In-Situ One-Step Hydrothermal Synthesis of LiTi2(PO4)3@rGO Anode for High Performance Lithium-Ion Batteries. Materials 2025, 18, 1329. https://doi.org/10.3390/ma18061329
Zoubir O, Lallaoui A, Oubla M, Tesio AY, Caballero A, Edfouf Z. In-Situ One-Step Hydrothermal Synthesis of LiTi2(PO4)3@rGO Anode for High Performance Lithium-Ion Batteries. Materials. 2025; 18(6):1329. https://doi.org/10.3390/ma18061329
Chicago/Turabian StyleZoubir, Otmane, Abdelfettah Lallaoui, M’hamed Oubla, Alvaro Y. Tesio, Alvaro Caballero, and Zineb Edfouf. 2025. "In-Situ One-Step Hydrothermal Synthesis of LiTi2(PO4)3@rGO Anode for High Performance Lithium-Ion Batteries" Materials 18, no. 6: 1329. https://doi.org/10.3390/ma18061329
APA StyleZoubir, O., Lallaoui, A., Oubla, M., Tesio, A. Y., Caballero, A., & Edfouf, Z. (2025). In-Situ One-Step Hydrothermal Synthesis of LiTi2(PO4)3@rGO Anode for High Performance Lithium-Ion Batteries. Materials, 18(6), 1329. https://doi.org/10.3390/ma18061329

