Nonlinear Pyroelectric and Photoelectric Responses of GaN Nanowires to Ultraviolet Excitation
Abstract
1. Introduction
2. The Coupling Model
3. Nonlinear Electromechanical Fields
4. Electromechanical Field Under UV Irradiation
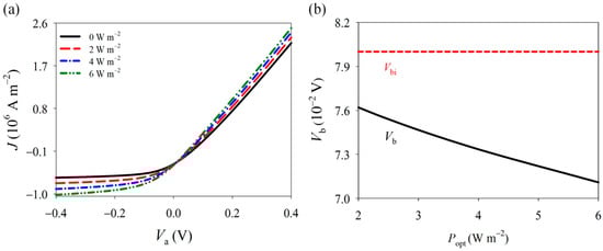
5. I-V Characteristics Under UV Irradiation
6. Conclusions
- (1)
- A thermal pyroelectric-photovoltaic model was developed for GaN nanowires under UV excitation, incorporating both photoconductive and pyroelectric effects. Using the perturbation method, an approximate analytical solution for the internal physical field of the nanowire is derived. This solution maintains high accuracy even under large loads, providing a robust theoretical framework for designing piezoelectric semiconductor devices with broader applicability and higher precision.
- (2)
- Due to the pyroelectric-photoelectron effect, UV light induces the redistribution of physical fields within the nanowire. As the light intensity increases, the variations in polarized charges, potential, and carrier concentrations become more pronounced, highlighting the regulatory effect of light on piezoelectric semiconductors. Additionally, the lifetime of photoexcited carriers significantly influences the concentration of photogenerated carriers. When the concentration of photogenerated carriers is low, its impact on the physical fields is minimal. However, as the concentration approaches the initial carrier concentration, it causes substantial changes in the physical fields.
- (3)
- The UV light reduces the Schottky barrier, facilitating the entry of carriers from the metal into the nanowire. This decreases the on-resistance and power consumption of the piezoelectric semiconductor device, accelerates its switching speed, and provides an efficient non-contact method for regulating the device’s electrical transport characteristics.
Author Contributions
Funding
Institutional Review Board Statement
Informed Consent Statement
Data Availability Statement
Acknowledgments
Conflicts of Interest
References
- Hickernell, F.S. The piezoelectric semiconductor and acoustoelectronic device development in the sixties. IEEE Trans. Ultrason. Ferroelectr. Freq. Control 2005, 52, 737–745. [Google Scholar] [CrossRef] [PubMed]
- Rana, A.K.; Kumar, M.; Ban, D.K.; Wong, C.P.; Yi, J.; Kim, J. Enhancement in performance of transparent p-NiO/n-ZnO heterojunction ultrafast self-powered photodetector via pyro-phototronic effect. Adv. Electron. Mater. 2019, 5, 1900438. [Google Scholar] [CrossRef]
- Wang, Z.L. Nanobelts, nanowires, and nanodiskettes of semiconducting oxides—From materials to nanodevices. Adv. Mater. 2003, 15, 432–436. [Google Scholar] [CrossRef]
- Xu, S.; Qin, Y.; Xu, C.; Wei, Y.; Yang, R.; Wang, Z.L. Self-powered nanowire devices. Nat. Nanotechnol. 2010, 5, 366–373. [Google Scholar] [CrossRef]
- Jeong, S.; Jeong, Y.; Moon, J. Solution-processed zinc tin oxide semiconductor for thin-film transistors. J. Phys. Chem. C 2008, 112, 11082–11085. [Google Scholar] [CrossRef]
- Ji, J.; Zhou, Z.; Yang, X.; Zhang, W.; Sang, S.; Li, P. One-dimensional nano-interconnection formation. Small 2013, 9, 3014–3029. [Google Scholar] [CrossRef]
- Araneo, R.; Lovat, G.; Burghignoli, P.; Falconi, C. Piezo-semiconductive quasi-1D nanodevices with or without anti-symmetry. Adv. Mater. 2012, 24, 4719–4724. [Google Scholar] [CrossRef]
- Shen, Y.; Hong, J.I.; Xu, S.; Lin, S.; Fang, H.; Zhang, S.; Ding, Y.; Snyder, R.L.; Wang, Z.L. A general approach for fabricating arc-shaped composite nanowire arrays by pulsed laser deposition. Adv. Funct. Mater. 2010, 20, 703–707. [Google Scholar] [CrossRef]
- Ryu, H.; Kim, S.W. Emerging pyroelectric nanogenerators to convert thermal energy into electrical energy. Small 2021, 17, 1903469. [Google Scholar] [CrossRef]
- Fan, F.R.; Tang, W.; Wang, Z.L. Flexible nanogenerators for energy harvesting and self-powered electronics. Adv. Mater. 2016, 28, 4283–4305. [Google Scholar] [CrossRef]
- Wang, Z.L.; Song, J. Piezoelectric nanogenerators based on zinc oxide nanowire arrays. Science 2006, 312, 242–246. [Google Scholar] [CrossRef] [PubMed]
- Min, S.; Kim, D.H.; Joe, D.J.; Kim, B.W.; Jung, Y.H.; Lee, J.H.; Lee, B.Y.; Doh, I.; An, J.; Youn, Y.N. Clinical validation of a wearable piezoelectric blood-pressure sensor for continuous health monitoring. Adv. Mater. 2023, 35, 2301627. [Google Scholar] [CrossRef] [PubMed]
- Wang, Z.L.; Wu, W.; Falconi, C. Piezotronics and piezo-phototronics with third-generation semiconductors. MRS Bull. 2018, 43, 922–927. [Google Scholar] [CrossRef]
- Peng, L.; Hu, L.; Fang, X. Energy harvesting for nanostructured self-powered photodetectors. Adv. Funct. Mater. 2014, 24, 2591–2610. [Google Scholar] [CrossRef]
- Mai, W.; Liang, Z.; Zhang, L.; Yu, X.; Liu, P.; Zhu, H.; Cai, X.; Tan, S. Strain sensing mechanism of the fabricated ZnO nanowire-polymer composite strain sensors. Chem. Phys. Lett. 2012, 538, 99–101. [Google Scholar] [CrossRef]
- Yang, Q.; Guo, X.; Wang, W.; Zhang, Y.; Xu, S.; Lien, D.H.; Wang, Z.L. Enhancing sensitivity of a single ZnO micro-/nanowire photodetector by piezo-phototronic effect. ACS Nano 2010, 4, 6285–6291. [Google Scholar] [CrossRef]
- Wang, Z.L. Nanopiezotronics. Adv. Mater. 2007, 19, 889–892. [Google Scholar] [CrossRef]
- Holanda, J.; Campos, C.; Franca, C.A.; Padrón-Hernández, E. Effective surface anisotropy in polycrystalline ferromagnetic nanowires. J. Alloys Compd. 2014, 617, 639–641. [Google Scholar] [CrossRef]
- Holanda, J. Analyzing the magnetic interactions in nanostructures that are candidates for applications in spintronics. J. Phys. D Appl. Phys. 2021, 54, 245004. [Google Scholar] [CrossRef]
- Holanda, J.; Silva, D.; Padrón-Hernández, E. Angular dependence of the coercivity in arrays of ferromagnetic nanowires. J. Magn. Magn. Mater. 2015, 378, 228–231. [Google Scholar] [CrossRef]
- Silva, W.W.; Hildever, L.M.; Santos, M.C.; Estrada, F.; Holanda, J. Analyzing the magnetic influence on magneto-optical interactions. J. Supercond. Nov. Magn. 2023, 36, 951–955. [Google Scholar] [CrossRef]
- Zhang, Z.; Vogel, M.; Holanda, J.; Jungfleisch, M.B.; Liu, C.; Li, Y.; Pearson, J.E.; Divan, R.; Zhang, W.; Hoffmann, A. Spin-wave frequency division multiplexing in an yttrium iron garnet microstripe magnetized by inhomogeneous field. Appl. Phys. Lett. 2019, 115, 232402. [Google Scholar] [CrossRef]
- Luo, Y.; Zhang, C.; Chen, W.; Yang, J. An analysis of PN junctions in piezoelectric semiconductors. J. Appl. Phys. 2017, 122, 204502. [Google Scholar] [CrossRef]
- Zhang, C.; Wang, X.; Chen, W.; Yang, J. An analysis of the extension of a ZnO piezoelectric semiconductor nanofiber under an axial force. Smart Mater. Struct. 2017, 26, 25030. [Google Scholar] [CrossRef]
- Li, P.; Jin, F.; Ma, J. One-dimensional dynamic equations of a piezoelectric semiconductor beam with a rectangular cross section and their application in static and dynamic characteristic analysis. Appl. Math. Mech.-Engl. 2018, 39, 685–702. [Google Scholar] [CrossRef]
- Gao, Y.; Wang, Z.L. Equilibrium potential of free charge carriers in a bent piezoelectric semiconductive nanowire. Nano Lett. 2009, 9, 1103–1110. [Google Scholar] [CrossRef] [PubMed]
- Fan, S.; Liang, Y.; Xie, J.; Hu, Y. Exact solutions to the electromechanical quantities inside a statically-bent circular ZnO nanowire by taking into account both the piezoelectric property and the semiconducting performance: Part I--Linearized analysis. Nano Energy 2017, 40, 82–87. [Google Scholar] [CrossRef]
- Dai, X.; Zhu, F.; Qian, Z.; Yang, J. Electric potential and carrier distribution in a piezoelectric semiconductor nanowire in time-harmonic bending vibration. Nano Energy 2018, 43, 22–28. [Google Scholar] [CrossRef]
- Wang, G.; Liu, J.; Liu, X.; Feng, W.; Yang, J. Extensional vibration characteristics and screening of polarization charges in a ZnO piezoelectric semiconductor nanofiber. J. Appl. Phys. 2018, 124, 094502. [Google Scholar] [CrossRef]
- Wallys, J.; Hoffmann, S.; Furtmayr, F.; Teubert, J.; Eickhoff, M. Electrochemical properties of GaN nanowire electrodes—Influence of doping and control by external bias. Nanotechnology 2012, 23, 165701. [Google Scholar] [CrossRef]
- Yang, G.; Du, J.; Wang, J.; Yang, J. Electromechanical fields in a nonuniform piezoelectric semiconductor rod. J. Mech. Mater. Struct. 2018, 13, 103–120. [Google Scholar] [CrossRef]
- Cheng, R.; Zhang, C.; Chen, W.; Yang, J. Electrical behaviors of a piezoelectric semiconductor fiber under a local temperature change. Nano Energy 2019, 66, 104081. [Google Scholar] [CrossRef]
- Cheng, R.; Zhang, C.; Chen, W.; Yang, J. Temperature effects on mobile charges in extension of composite fibers of piezoelectric dielectrics and non-piezoelectric semiconductors. Int. J. Appl. Mech. 2019, 11, 1950088. [Google Scholar] [CrossRef]
- Qu, Y.; Jin, F.; Yang, J. Temperature-induced potential barriers in piezoelectric semiconductor films through pyroelectric and thermoelastic couplings and their effects on currents. J. Appl. Phys. 2022, 131, 094502. [Google Scholar] [CrossRef]
- Kong, D.; Cheng, R.; Zhang, C.; Zhang, C. Dynamic manipulation of piezotronic behaviors of composite multiferroic semiconductors through time-dependent magnetic field. J. Appl. Phys. 2020, 128, 064503. [Google Scholar] [CrossRef]
- Cui, N.; Wu, W.; Zhao, Y.; Bai, S.; Meng, L.; Qin, Y.; Wang, Z.L. Magnetic force driven nanogenerators as a noncontact energy harvester and sensor. Nano Lett. 2012, 12, 3701–3705. [Google Scholar] [CrossRef]
- Liu, Y.; Guo, J.; Yu, A.; Zhang, Y.; Kou, J.; Zhang, K.; Wen, R.; Zhang, Y.; Zhai, J.; Wang, Z.L. Magnetic-induced-piezopotential gated MoS2 field-effect transistor at room temperature. Adv. Mater. 2018, 30, 1704524. [Google Scholar] [CrossRef]
- Wang, Z.; Qi, J.; Lu, S.; Li, P.; Li, X.; Zhang, Y. Enhancing sensitivity of force sensor based on a ZnO tetrapod by piezo-phototronic effect. Appl. Phys. Lett. 2013, 103, 143125. [Google Scholar] [CrossRef]
- Lin, P.; Gu, Y.; Yan, X.; Lu, S.; Zhang, Z.; Zhang, Y. Illumination-dependent free carrier screening effect on the performance evolution of ZnO piezotronic strain sensor. Nano Res. 2016, 9, 1091–1100. [Google Scholar] [CrossRef]
- Luo, Q.; Tong, L. Constitutive modeling of photostrictive materials and design optimization of microcantilevers. J. Intell. Mater. Syst. Struct. 2009, 20, 1425–1438. [Google Scholar]
- Whatmore, R.W. Pyroelectric devices and materials. Rep. Prog. Phys. 1986, 49, 1335. [Google Scholar] [CrossRef]
- Yang, G.; Du, J.; Wang, J.; Yang, J. Extension of a piezoelectric semiconductor fiber with consideration of electrical nonlinearity. Acta Mech. 2018, 229, 4663–4676. [Google Scholar] [CrossRef]
- Zhao, L.; Jin, F.; Li, H. Nonlinear magnetoelectric effects in a composite piezomagnetic–piezoelectric semiconductor structure. Acta Mech. 2024, 1–14. [Google Scholar] [CrossRef]
- Zhao, M.; Ma, Z.; Lu, C.; Zhang, Q. Application of the homopoty analysis method to nonlinear characteristics of a piezoelectric semiconductor fiber. Appl. Math. Mech. 2021, 42, 665–676. [Google Scholar] [CrossRef]
- Khusayfan, N.M.; Qasrawi, A.F.; Khanfar, H.K. Impact of Yb, In, Ag and Au thin film substrates on the crystalline nature, Schottky barrier formation and microwave trapping properties of Bi2O3 films. Mater. Sci. Semicond. Process. 2017, 64, 63–70. [Google Scholar] [CrossRef]
- Zhao, M.; Wang, Y.; Guo, C.; Lu, C.; Xu, G.; Qin, G. Temperature-dependent bending strength in piezoelectric semiconductive ceramics. Ceram. Int. 2022, 48, 2771–2775. [Google Scholar] [CrossRef]








Disclaimer/Publisher’s Note: The statements, opinions and data contained in all publications are solely those of the individual author(s) and contributor(s) and not of MDPI and/or the editor(s). MDPI and/or the editor(s) disclaim responsibility for any injury to people or property resulting from any ideas, methods, instructions or products referred to in the content. |
© 2025 by the authors. Licensee MDPI, Basel, Switzerland. This article is an open access article distributed under the terms and conditions of the Creative Commons Attribution (CC BY) license (https://creativecommons.org/licenses/by/4.0/).
Share and Cite
Chen, S.; Qin, G.; Wang, Z.; Guo, M.; Fan, C.; Zhao, M.; Lu, C. Nonlinear Pyroelectric and Photoelectric Responses of GaN Nanowires to Ultraviolet Excitation. Materials 2025, 18, 1276. https://doi.org/10.3390/ma18061276
Chen S, Qin G, Wang Z, Guo M, Fan C, Zhao M, Lu C. Nonlinear Pyroelectric and Photoelectric Responses of GaN Nanowires to Ultraviolet Excitation. Materials. 2025; 18(6):1276. https://doi.org/10.3390/ma18061276
Chicago/Turabian StyleChen, Shikuan, Guoshuai Qin, Zhenyu Wang, Mingkai Guo, Cuiying Fan, Minghao Zhao, and Chunsheng Lu. 2025. "Nonlinear Pyroelectric and Photoelectric Responses of GaN Nanowires to Ultraviolet Excitation" Materials 18, no. 6: 1276. https://doi.org/10.3390/ma18061276
APA StyleChen, S., Qin, G., Wang, Z., Guo, M., Fan, C., Zhao, M., & Lu, C. (2025). Nonlinear Pyroelectric and Photoelectric Responses of GaN Nanowires to Ultraviolet Excitation. Materials, 18(6), 1276. https://doi.org/10.3390/ma18061276

