Study on Mechanical Properties and Impact Energy Release Characteristics of Skeleton-Structured Al/Ni Reactive Materials
Abstract
1. Introduction
2. Material Preparation and Experimental Methods
2.1. Material Preparation
2.2. Mechanical Properties Test
2.3. Microstructure Characterization
2.4. Quasi-Sealed Chamber Experiment
3. Experimental Results
3.1. Microstructure
3.2. Test Results of Mechanical Properties
3.2.1. Quasi-Static Compression and Tension Tests
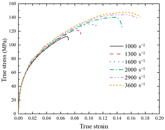
3.2.2. SHPB Test
3.3. Fracture Morphology
3.3.1. Quasi-Static Compression Failure
3.3.2. Quasi-Static Tensile Failure
3.3.3. Dynamic Compression Failure
3.4. Quasi-Sealed Chamber Experiment Results
4. Numerical Simulation of Mechanical Properties
4.1. Material Model
4.2. Simulation Model
4.2.1. Quasi-Static Simulation
4.2.2. Numerical Simulation of Dynamic Compression
5. Discussion
5.1. Calculation of Impact-Induced Energy Release Efficiency
5.2. Impact Energy Release Mechanism Analysis
6. Conclusions
- (1)
- The prepared new reactive material has good compressive properties and certain tensile properties, and the nickel skeleton plays an important supporting role in resisting deformation. The mechanical tests of different strain rates show work hardening and strain rate strengthening effects.
- (2)
- The internal structure of the material was successfully scanned by industrial CT, and the numerical simulation of its mechanical properties under different strain rate compression conditions was carried out based on this. Considering the defects in the actual structure of the material and the presence of aluminum–nickel compounds, the numerical simulation model still needs to be further optimized.
- (3)
- The ballistic impact experiments carried out under an atmosphere of air and argon show that the skeleton-structured Al/Ni reactive material has a certain impact energy release ability, and its overpressure peak value is slightly higher than that of the Al/Ni reactive material prepared by the cold-pressing process, showing better energy release ability. Combined with the impact experiment results and product analysis under argon, it is shown that the energy release of the Al/Ni reactive material mainly depends on the oxidation reaction during the impact process rather than the combination reaction between aluminum and nickel.
Author Contributions
Funding
Data Availability Statement
Acknowledgments
Conflicts of Interest
References
- Yang, Y.S.; Wang, C.T.; Meng, Y.P.; Ma, Y.; Guo, L.; He, Y.; Sun, Z.C.; He, Y. Recent progress on impact induced reaction mechanism of reactive alloys. Def. Technol. 2024, 37, 69–95. [Google Scholar] [CrossRef]
- Polis, M.; Stolarczyk, A.; Szydlo, K.; Jarosz, T.; Procek, M.; Slawski, S.; Hawelek, L. Ti/WO3, a nanothermite for special purposes: An experimental study. Def. Technol. 2024, 41, 1–12. [Google Scholar] [CrossRef]
- Wang, L.Y.; Jiang, J.W.; Li, M.; Men, J.B.; Wang, S.Y. Improving the damage potential of W-Zr reactive structure material under extreme loading condition. Def. Technol. 2021, 17, 467–477. [Google Scholar] [CrossRef]
- Ji, C.; He, Y.; Wang, C.T.; He, Y.; Guo, Z.P.; Guo, L. Effect of dynamic fragmentation on the reaction characteristics of a Zr-based metallic glass. J. Non-Cryst. Solids. 2019, 515, 149–156. [Google Scholar] [CrossRef]
- Guo, Y.S.; Liu, R.; Ran, C.; Arab, A.; Geng, H.H.; Gao, M.G.; Guo, B.Q.; Zhou, Q.; Zhou, Q.; Chen, P.W. Ignition and energy release characteristics of energetic high-entropy alloy HfZrTiTa0.2Al0.8 under dynamic loading. J. Mater. Res. Technol. 2024, 28, 2819–2830. [Google Scholar] [CrossRef]
- Tang, E.L.; Li, S.; Chen, C.; Han, Y.F. Dynamic compressive behavior of fiber reinforced Al/PTFE reactive materials. J. Mater. Res. Technol. 2020, 9, 8391–8400. [Google Scholar] [CrossRef]
- Geng, H.H.; Liu, R.; Ren, Y.P.; Chen, P.W.; Ge, C.; Wang, H.F. Dynamic compression-shear ignition mechanism of Al/PTFE reactive materials. Compos. Struct. 2024, 331, 117908. [Google Scholar] [CrossRef]
- Sui, M.B.; Wang, B.P.; Guo, X.; Huang, Z.H.; Xing, F.; Zhu, S.X.; Chen, H.S.; Jin, K.; Xue, Y.F. Impact-induced energy release characteristics of Ti-Zr-Hf-Ta high-entropy alloys by using a temperature-pressure synchronous measurement method. J. Alloys Compd. 2024, 1001, 175137. [Google Scholar] [CrossRef]
- Zhao, F.Y.; Zhang, Z.R.; Ye, Y.C.; Li, Y.H.; Li, S.; Tang, Y.; Zhu, L.A.; Bai, S.X. Machine learning guided prediction of dynamic energy release in high-entropy alloys. Mater. Des. 2024, 246, 113339. [Google Scholar] [CrossRef]
- Hunt, E.M.; Plantier, K.B.; Pantoya, M.L. Nano-scale reactants in the self-propagating high-temperature synthesis of nickel aluminide. Acta Mater. 2004, 52, 3183–3191. [Google Scholar] [CrossRef]
- Song, I.; Thadhani, N.N. Shock-induced chemical reactions and synthesis of nickel aluminides. Metall. Trans. A 1992, 23, 41–48. [Google Scholar] [CrossRef]
- Mason, B.A.; Groven, L.J.; Son, S.F. The role of microstructure refinement on the impact ignition and combustion behavior of mechanically activated Ni/Al reactive composites. J. Appl. Phys. 2013, 114, 113501. [Google Scholar] [CrossRef]
- Herbold, E.B.; Jordan, J.L.; Thadhani, N.N. Effects of processing and powder size on microstructure and reactivity in arrested reactive milled Al+ Ni. Acta Mater. 2011, 59, 6717–6728. [Google Scholar] [CrossRef]
- Smith, G.D.; Bardenhagen, S.; Naim, J.A.; Zahrah, T.; Hooper, J.P.; Kline, J.; Kleiser, G. Insight into the role of interfaces on mechanical properties of low-porosity Al/Ni compacts: Comparison of experiment and simulation. J. Appl. Phys. 2021, 130, 105104. [Google Scholar] [CrossRef]
- Yuan, J.J.; Assari, A.H.; Ghaderi, S.; Yaghoobi, S. Characterization of microstructure, texture, grain structure, and thermal properties of Al/Ni/Al multilayered composites fabricated through cross-accumulative roll bonding. Vacuum 2024, 227, 113423. [Google Scholar] [CrossRef]
- Li, B.S.; Xi, X.S.; Gong, L.J.; Xiao, M.; Tu, Q.; Zhang, W.W. Influences of Al particles on structure and properties of Ni–Al composite coatings with nanoscale twin structure. Ceram. Int. 2024, 50, 37167–37182. [Google Scholar] [CrossRef]
- Efremenkov, I.; Aizenshtein, M.; Zaretsky, E.B.; Hayun, S. Strength of precipitates in Ni-Al and Ni-Al-Fe alloys. J. Alloys Compd. 2024, 983, 173864. [Google Scholar] [CrossRef]
- Xiong, W.; Zhang, X.F.; Tan, M.T.; Liu, C.; Wu, X. The Energy Release Characteristics of Shock-Induced Chemical Reaction of Al/Ni Composites. J. Phys. Chem. C 2016, 120, 24551–24559. [Google Scholar] [CrossRef]
- Seropyan, S.; Saikov, I.; Andreev, D.; Saikova, G.; Alymov, M. Reactive Ni–Al-Based Materials: Strength and Combustion behaviors. Metals 2021, 11, 949. [Google Scholar] [CrossRef]
- Xiong, W.; Zhang, X.F.; Zheng, L.; Bao, K.; Chen, H.H.; Guan, Z.W. The shock-induced chemical reaction behavior of Al/Ni composites by cold rolling and powder compaction. J. Mater. Sci. 2019, 54, 6651–6667. [Google Scholar] [CrossRef]
- Ji, C.; He, Y.; Wang, C.T.; He, Y.; Pan, X.C.; Jiao, J.J.; Guo, L. Investigation on shock-induced reaction characteristics of an Al/Ni composite processed via accumulative roll-bonding. Mater. Des. 2017, 116, 591–598. [Google Scholar] [CrossRef]
- Hu, Q.W.; Liu, R.; Zhou, Q.; Geng, H.H.; Ge, C.; Wang, H.F.; Xiao, C.; Chen, P.W. Characterization of Ta-Ni-Al energetic structural material fabricated by explosive consolidation. J. Alloys Compd. 2022, 924, 166191. [Google Scholar] [CrossRef]
- Azghan, M.A.; Alizadeh, A. Effects of W on the thermal induced-energy release behavior and mechanical properties of 2Al–Ni and Al–Ni composites fabricated by mechanical alloying. Intermetallics 2016, 120, 24551–24559. [Google Scholar] [CrossRef]
- Guo, J.Q.; Ohtera, K. Microstructures And Mechanical Properties Of Rapidly Solidified High Strength Al-Ni Based Alloys. Acta Mater. 1998, 46, 3829–3838. [Google Scholar] [CrossRef]
- Kota, N.; Charan, M.S.; Laha, T.; Roy, S. Review on development of metal/ceramic interpenetrating phase composites and critical analysis of their properties. Ceram. Int. 2022, 48, 1451–1483. [Google Scholar] [CrossRef]
- Zhang, M.Y.; Yu, Q.; Liu, Z.Q.; Zhang, J.; Tan, G.Q.; Jiao, D.; Zhu, W.J.; Li, S.J.; Zhang, Z.F.; Yang, R.; et al. 3D printed Mg-NiTi interpenetrating-phase composites with high strength, damping capacity, and energy absorption efficiency. Sci. Adv. 2020, 6, eaba5581. [Google Scholar] [CrossRef]
- Zheng, Y.; Zhou, Y.; Feng, Y.D.; Teng, X.Y.; Yan, S.T.; Li, R.F.; Yu, W.B.; Huang, Z.Y.; Li, S.B.; Li, Z.W. Synthesis and mechanical properties of TiC-Fe interpenetrating phase composites fabricated by infiltration process. Ceram. Int. 2018, 44, 21742–21749. [Google Scholar] [CrossRef]
- Liu, X.; Sun, T.W.; He, C.W.; Deng, J.C.; Yi, H.G.; Yang, X.; Qin, Q.; Peng, Q. Enhancement of toughness of SiC through compositing SiC–Al interpenetrating phase composites. Nanotechnology 2020, 31, 135706. [Google Scholar] [CrossRef]
- Dalaq, A.S.; Abueidda, D.W.; Al-Rub, R.K.A.; Jasiuk, I.M. Finite element prediction of effective elastic properties of interpenetrating phase composites with architectured 3D Sheet reinforcements. Int. J. Solids Struct. 2016, 83, 169–182. [Google Scholar] [CrossRef]
- Wang, C.T.; He, Y.; Ji, C.; He, Y.; Han, W.; Pan, X.C. Investigation on shock-induced reaction characteristics of a Zr-based metallic glass. Intermetallics 2018, 93, 383–388. [Google Scholar] [CrossRef]
- Zhang, Z.W.; He, Y.; He, Y.; Guo, L.; Ge, C.; Wang, H.F.; Ma, Y.; Gao, H.Y.; Tian, W.X.; Wang, C.T. Compressive Mechanical Properties and Shock-Induced Reaction Behavior of Zr/PTFE and Ti/PTFE Reactive Materials. Materials 2022, 15, 6524. [Google Scholar] [CrossRef] [PubMed]
- Gonzalez-Velazquez, J.L. Fractography and Failure Analysis; Springer International Publishing: Cham, Switzerland, 2018. [Google Scholar]
- Yang, X.L.; He, Y.; He, Y.; Wang, C.T.; Zhou, J. Investigation of the shock compression behaviors of Al/PTFE composites with experimental and a 3D meso scale-model. Def. Technol. 2022, 18, 62–71. [Google Scholar] [CrossRef]
- Sun, Y.L.; Li, Q.M.; Lowe, T.; McDonald, S.A.; Withers, P.J. Investigation of strain-rate effect on the compressive behaviour of closed-cell aluminium foam by 3D image-based modelling. Mater. Des. 2016, 89, 215–224. [Google Scholar] [CrossRef]
- Wang, J.B.; Li, W.F.; Ren, W.K.; Wang, X.D.; Li, J.L.; Gao, G.F. Experimental and numerical study on the incident pulse similarity law and pulse shaping technique in SHPB test. J. Vib. Shock. 2022, 41, 169–176. [Google Scholar] [CrossRef]
- Xiong, W. Multiscale Modelling on Shock Compression and Shock-Induced Chemical Reaction Behavior of Al/Ni Composites. Ph.D. Thesis, Nanjing University of Science and Technology, Nanjing, China, 2019. [Google Scholar]
- He, Y.; Xu, T.; He, Y.; Tian, W.X. Effect of explosive shock on the mechanical property and energy release characteristics of an Al/Ni reactive material. J. Phys. Conf. Ser. 2023, 2478, 032089. [Google Scholar] [CrossRef]
- Huang, C.M. Research on Preparation, Mechanical and Thermal Characteristics of Metallic Energetic Structural Materials. Ph.D. Thesis, National University of Defense Technology, Changsha, China, 2020. [Google Scholar]
- Graham, R.A.; Anderson, M.U.; Horie, Y.; You, S.K.; Holman, G.T. Pressure measurements in chemically reacting powder mixtures with the Bauer piezoelectric polymer gauge. Shock Waves 1993, 3, 79–82. [Google Scholar] [CrossRef]
- Iyer, K.R.; Bennett, L.S.; Sorrell, F.Y.; Horie, Y. Solid state chemical reactions at the shock front. AIP Conf. Proc. 1994, 309, 1337–1340. [Google Scholar] [CrossRef]
- Eakins, D.; Thadhani, N.N. Shock-induced reaction in a flake nickel + spherical aluminum powder mixture. J. Appl. Phys. 2006, 100, 113521. [Google Scholar] [CrossRef]
- Eakins, D.; Thadhani, N.N. Investigation of Shock-Induced Reactions in a Ni + Al Powder Mixture. AIP Conf. Proc. 2006, 845, 1153–1156. [Google Scholar] [CrossRef]
- Tucker, M.D. Characterization of Impact Initiation of Aluminum-Based Intermetallic-Forming Reactive Materials. Master’s Thesis, Georgia Institute of Technology, Atlanta, GA, USA, 2011. [Google Scholar]
- Ren, K.R. Probing the Impact Release Behaviour of Al/Ni-Based Energetic Structural Materials Adopting Experimental and Numerical Method. Master’s Thesis, National University of Defense Technology, Changsha, China, 2018. [Google Scholar]
- Wang, B.P.; Wang, L.; Wang, S.; Fan, Q.B.; Xue, Y.F.; Zhang, H.F.; Fu, H.M. Mechanical response of Ti-based bulk metallic glass under plate-impact compression. Intermetallics 2015, 63, 12–18. [Google Scholar] [CrossRef]























| Material | Size (mm) | Al/Ni (wt.%) | Actual Density (g/cm3) | TMD |
|---|---|---|---|---|
| Skeleton-structured Al/Ni reactive material | Φ10 × H9 | 41.4/58.6 | 4.16 | 91% |
| Cold-pressed Al/Ni reactive material | Φ10 × H9 | 41.4/58.6 | 4.38 | 96% |
| Strain Rate (s−1) | Yield Stress (MPa) | Ultimate Stress (MPa) |
|---|---|---|
| 700 | 49.98 | 91.80 |
| 900 | 46.50 | 114.79 |
| 2300 | 73.68 | 178.37 |
| 2400 | 74.37 | 166.41 |
| 2500 | 75.87 | 178.80 |
| 3100 | 75.91 | 204.70 |
| 3400 | 78.23 | 207.16 |
| Material | Atmosphere | Impact Velocity (m/s) | Quasi-Static Pressure Peak (MPa) |
|---|---|---|---|
| Skeleton-structured Al/Ni reactive material | Air | 811 | 0.006 |
| Air | 881 | 0.013 | |
| Air | 982 | 0.02 | |
| Air | 1054 | 0.025 | |
| Air | 1117 | 0.032 | |
| Air | 1201 | 0.053 | |
| Air | 1370 | 0.081 | |
| Argon | 898 | 0.017 | |
| Argon | 986 | 0.012 | |
| Argon | 1118 | 0.016 | |
| Argon | 1216 | 0.019 | |
| Argon | 1287 | 0.018 | |
| Argon | 1341 | 0.016 | |
| Cold-pressed Al/Ni reactive material | Air | 935 | 0.02 |
| Air | 953 | 0.022 | |
| Air | 1215 | 0.045 | |
| Air | 1403 | 0.053 | |
| Argon | 870 | 0.012 | |
| Argon | 1110 | 0.015 | |
| Argon | 1232 | 0.026 | |
| Argon | 1248 | 0.023 | |
| Argon | 1331 | 0.018 | |
| Argon | 1328 | 0.019 | |
| Argon | 1376 | 0.021 |
| Type of Results | Yield Stress (MPa) | Yield Strain (%) | Ultimate Stress (MPa) | Plastic Strain (%) |
|---|---|---|---|---|
| Average result of tests | 68.2 | 3.90 | 149.6 | 17.80 |
| Numerical simulation results | 42.6 | 0.55 | 150.9 | 14.40 |
| Strain Rate (s−1) | Yield Stress (MPa) | Ultimate Stress (MPa) |
|---|---|---|
| 1000 | 47.6 ± 3 | 112.48 |
| 1300 | 121.70 | |
| 1600 | 130.86 | |
| 2000 | 140.27 | |
| 2900 | 144.19 | |
| 3600 | 147.64 |
| Actual Density (g/cm3) | Heat of Reaction E (kJ/g) |
|---|---|
| 4.16 | 16.8 |
| Impact Velocity (m/s) | Quasi-Static Pressure Peak (10−1 MPa) | Total Energy (J) | 25% Residual Kinetic Energy (J) | Energy Difference (J) | Energy Release Efficiency (%) |
|---|---|---|---|---|---|
| 811 | 0.05792 | 289.6 | 204.49 | 85.11 | 0.18 |
| 881 | 0.13158 | 657.9 | 238.43 | 419.47 | 0.88 |
| 982 | 0.20392 | 1019.6 | 299.66 | 719.94 | 1.50 |
| 1054 | 0.25167 | 1258.35 | 282.49 | 975.86 | 2.46 |
| 1117 | 0.31879 | 1593.95 | 420.36 | 1173.59 | 2.32 |
| 1201 | 0.52974 | 2648.7 | 386.10 | 2262.60 | 5.54 |
| 1370 | 0.81514 | 4075.7 | 540.63 | 3535.07 | 8.22 |
Disclaimer/Publisher’s Note: The statements, opinions and data contained in all publications are solely those of the individual author(s) and contributor(s) and not of MDPI and/or the editor(s). MDPI and/or the editor(s) disclaim responsibility for any injury to people or property resulting from any ideas, methods, instructions or products referred to in the content. |
© 2025 by the authors. Licensee MDPI, Basel, Switzerland. This article is an open access article distributed under the terms and conditions of the Creative Commons Attribution (CC BY) license (https://creativecommons.org/licenses/by/4.0/).
Share and Cite
Sun, Z.; Yang, Y.; Zhang, R.; Guo, L.; He, Y.; Liu, E.; Wang, C.; He, Y. Study on Mechanical Properties and Impact Energy Release Characteristics of Skeleton-Structured Al/Ni Reactive Materials. Materials 2025, 18, 900. https://doi.org/10.3390/ma18040900
Sun Z, Yang Y, Zhang R, Guo L, He Y, Liu E, Wang C, He Y. Study on Mechanical Properties and Impact Energy Release Characteristics of Skeleton-Structured Al/Ni Reactive Materials. Materials. 2025; 18(4):900. https://doi.org/10.3390/ma18040900
Chicago/Turabian StyleSun, Zhichao, Yansong Yang, Rui Zhang, Lei Guo, Yuan He, Enliang Liu, Chuanting Wang, and Yong He. 2025. "Study on Mechanical Properties and Impact Energy Release Characteristics of Skeleton-Structured Al/Ni Reactive Materials" Materials 18, no. 4: 900. https://doi.org/10.3390/ma18040900
APA StyleSun, Z., Yang, Y., Zhang, R., Guo, L., He, Y., Liu, E., Wang, C., & He, Y. (2025). Study on Mechanical Properties and Impact Energy Release Characteristics of Skeleton-Structured Al/Ni Reactive Materials. Materials, 18(4), 900. https://doi.org/10.3390/ma18040900

