Abstract
This study investigated the thermophysical properties of TWIP steel with respect to grain size. The coefficient of thermal expansion (β) of TWIP steel was approximately 22.4 × 10−6 °C−1, and this value was hardly affected by the grain size. Therefore the density of TWIP steel was also unaffected by grain size within the tested range. The β in TWIP steel was higher than that of plain carbon steels (13–15 × 10−6 °C−1) such as interstitial free (IF) steel and low-carbon steel, and stainless steels (18–21 × 10−6 °C−1) such as X10NiCrMoTiB1515 steel and 18Cr-9Ni-2.95Cu-0.58Nb-0.1C steel. The specific heat capacity (cp) increased with temperature because the major factor affecting cp is the lattice vibrations. As the temperature increases, atomic vibrations become more active, allowing the material to store more thermal energy. Meanwhile, cp slightly increased with increasing grain size since grain boundaries can suppress lattice vibrations and reduce the material’s ability to store thermal energy. The thermal conductivity (k) in TWIP steel gradually increased with temperature, consistent with the behavior observed in other high-alloy metals. k slightly increased with grain size, especially at lower temperatures, due to the increased grain boundary scattering of free electrons and phonons. This trend aligns with the Kapitza resistance model. While TWIP steel with refined grains exhibited higher yield and tensile strengths, this came with a decrease in total elongation and k. Thus, optimizing grain size to enhance both mechanical and thermal properties presents a challenge. The k in TWIP steel was substantially lower compared with that of plain carbon steels such as AISI 4340 steel, especially at low temperatures, due to its higher alloy content. At room temperature, the k of TWIP steels and plain carbon steels were approximately 13 W/m°C and 45 W/m°C, respectively. However, in higher temperature ranges where face centered cubic structures are predominant, the difference in k of the two steels became less pronounced. At 800 °C, for example, TWIP and plain carbon steels exhibited k values of approximately 24 W/m°C and 29 W/m°C, respectively.
1. Introduction
The demand for lightweight automobiles continues to rise, driven by the need to enhance energy efficiency and reduce environmental impact. With the increasing adoption of electric vehicles, the emphasis on lightweight design has intensified. In response, steel industry researchers are focused on developing high-strength steels to reduce the weight of cars, aiming to maintain competitiveness against alternative materials in the automotive sector. For example, dual-phase (DP) steel, high-strength low-alloy (HSLA) steel, martensitic steel, and transformation-induced plasticity (TRIP) steel have been under development for decades to reduce density and consequently fuel consumption [1]. Fundamentally, steels face challenges in competition with other materials due to their high density. Additionally, excessively increasing the strength reduces formability, making the plastic forming process more difficult. Therefore, efforts are being made to develop various materials and processes that can simultaneously improve strength and formability. One of the most practical ways to improve steel’s strength is through the adjustment of alloy compositions. Consequently, research efforts in the steel industry have increasingly centered on optimizing chemical compositions to utilize various hardening mechanisms, such as solid solution strengthening, precipitation hardening, and enhancements achieved through heat treatment. However, as alloying elements are added, steel’s thermal properties tend to decline, which can lead to challenges in manufacturing processes and performance under service conditions. TWIP (twinning-induced plasticity) steels, for example, have emerged as promising alternatives to conventional steels due to their excellent strength, ductility, toughness, and resistance to hydrogen-induced fracture [2,3,4,5,6]. The remarkable mechanical properties of TWIP steels are linked to their deformation mechanisms, such as deformation twinning and/or dynamic strain aging (DSA) [7,8,9,10,11,12,13]. To achieve a stable austenitic structure, TWIP steels require relatively high manganese content (10–25%), which may negatively affect the thermal properties in TWIP steels [14].
Generally, in steels, as the alloying content increases, thermal conductivity (k) decreases and the linear thermal expansion coefficient (β) increases. For example, comparing low-alloy plain carbon steels and high-alloy stainless steels, the k of plain carbon steel at room temperature is approximately 45 W/m°C, while that of stainless steel is approximately 14 W/m°C [14,15,16]. Additionally, the β of plain carbon steels is around 14 × 10−6 °C−1, whereas that of stainless steels is about 20 × 10−6 °C−1 [17,18,19,20]. Therefore, high alloy contents in metals can affect manufacturing processes, including plastic forming, casting, machining, and welding. For instance, k plays a vital role in managing temperature gradients in both manufacturing and service environments. These gradients can create thermal stress, especially during thermal cycling or high heat flux situations. Additionally, in heat treatments such as quenching, k limits the permissible size of the product. Thus, a detailed understanding of thermal properties is essential for designing efficient manufacturing processes for high-alloyed metals such as TWIP and stainless steels. In the case of TWIP steel, there is considerable effort to apply the steel to products by utilizing its high strain-hardening rate through the plastic forming processes [8,21]. To successfully perform the plastic forming process, it is essential to carefully consider the thermal history and/or thermal stress that occur during the deformation. One of the factors that influence the thermal history of the material during plastic deformation is its thermal properties. Therefore, it is essential to investigate the temperature-dependent changes in the thermal properties of TWIP steel. In addition, given the trend toward higher alloy content for improved in-service performance, studying thermophysical properties has become increasingly important. TWIP steel, for example, is being considered for high-temperature applications, where a deep understanding of its thermal properties is necessary to ensure reliability and safety.
Meanwhile, one limitation in commercializing TWIP steel is its relatively low yield strength (YS) despite its high tensile strength (TS) and uniform elongation [22,23,24]. To address this, several studies have investigated the influence of grain size on the mechanical properties of TWIP steels, as it is known that decreasing grain size increases YS [25,26,27,28,29,30,31]. For instance, Ueji et al. [28,29] demonstrated that YS improved and deformation twinning became more challenging as grain size decreased in Fe-31Mn-3Al-3Si steel. Similarly, Rahman et al. [32] showed an increase in YS and twinning stress with smaller grain size in Fe-15Mn-2Al-2Si-0.7C steel. Similar findings were also reported by Gutierrez-Urrutia et al. [25], Lee et al. [26], Kang et al. [27], and Shen et al. [31] using Fe-22Mn-0.6C, Fe-24Mn-4Cr-0.5C, Fe-18Mn-1.5Al-0.6C steels, and Fe-20Mn-0.6C, respectively. These studies suggest that refining grain size can effectively improve YS in TWIP steels by modifying the rate of twinning and deformation mechanisms. However, if the grain size of TWIP steel is made finer to increase its YS, there is a possibility that its thermal properties could deteriorate. While numerous studies have examined the influence of grain size on mechanical properties such as YS, TS, and elongation, few have explored its impact on thermophysical properties in TWIP steel. It is known that k increases and β decreases in general metals as the grain size increases. Grain boundaries act as scattering sources for free electrons and phonons; therefore, grain boundaries diminish k in materials [33]. In addition, it is known that grain boundaries have a higher β compared to the grains’ interior; thus, β decreases with grain size [34]. It has not yet been studied whether the changes in thermal properties with grain size apply directly to TWIP steel.
This study, therefore, examines how grain size influences the thermophysical properties of TWIP steel. To accomplish this, high-manganese TWIP steels with three distinct grain sizes were produced, and their mechanical properties, microstructures, and thermophysical properties were analyzed. Thermophysical properties such as k, thermal diffusivity (α), β, density (ρ), and isobaric specific heat (cp) are known to be highly temperature-dependent [35,36]. Accordingly, α, β, and cp of TWIP steel were measured across a range of temperatures, and ρ and k were subsequently calculated based on these measurements.
2. Experimental Procedures
2.1. Materials Preparation
A 50 kg ingot of TWIP steel was fabricated via induction melting in a furnace under Ar gas, with its chemical composition provided in Table 1. During casting, a riser was used to remove the solidification shrinkage section. To reduce chemical segregation, the ingot was homogenized at 1200 °C for 3 h in a furnace. Subsequently, hot rolling and cooling were performed to break the cast structure and obtain a normalized hot rolling structure. The thickness of the ingot was reduced using several rolling mills with a reduction ratio of approximately 20% per pass, resulting in a total reduction of 84%. In other words, the 125 mm thick ingot was rolled into a 25 mm plate through several passes without intermediate reheating. The final rolling temperature, measured using a pyrometer, was approximately 950 °C. The plate was then naturally cooled in air. The ambient temperature was 21 °C. The plate was cut into four pieces to obtain samples that were heat-treated at different temperatures. Heat treatments were applied to the samples using an electric furnace under N2 gas for 30 min at 700 °C, 1100 °C, and 1250 °C to achieve a broad range of grain sizes. After heat treatment, the specimens were naturally air-cooled in ambient air.
Table 1.
Chemical compositions of present TWIP steel.
2.2. Measurement of Microstructure and Mechanical Properties
Microstructural analysis, focusing on grain size and orientation, was conducted using electron backscatter diffraction (EBSD). To prepare samples for EBSD, specimens were sequentially ground with commercial silicon carbide papers up to 2000 grit using an automated polisher, followed by polishing with diamond pastes ranging from 1 to 3 μm. For the final preparation, a colloidal silica suspension was applied for approximately 1.2 ks. EBSD data were collected using a field-emission SEM equipped with a TexSEM Laboratories EBSD system (AMETEK, Berwyn, PA, USA), operating at an acceleration voltage of 20 kV and a tilt angle of 70°. The data were then processed with orientation imaging microscopy software (version 8). To analyze the constituent phases of the specimen with grain size, X-ray diffraction (XRD) measurements were conducted using Cu Kα radiation (λ = 0.154056 nm) at an operating voltage of 30 kV at room temperature (RT, 24 °C). The scan range was set to 35–100° with a scanning speed of 1°/min. The microstructure analysis was conducted on a specimen sectioned perpendicular to the hot rolling direction (RD). That is, the RD plane of the specimen was observed.
Cylindrical tensile specimens with a gauge diameter of 5 mm and a gauge length of 25 mm were machined parallel to RD. At RT, testing was conducted using an Instron at an initial strain rate of 10−3 s−1. Strain measurements were obtained with a mechanical extensometer.
2.3. Measurement of Thermophysical Properties
The α, β, and cp of the specimen were measured with temperature and grain size. Thermomechanical analysis (TMA) was performed using a TA Instruments TMA Q400 (TA Instruments, New Castle, DE, USA) with a cylindrical specimen with a diameter of 5.0 mm and an initial length (L₀) of 12.0 mm to measure β. The test was conducted with a heating rate of 5 °C/min under an N2 atmosphere. Using ΔL/L0, β was calculated as follows:
where the subscript o denotes the reference value at RT. Measurements were carried out from RT to 950 °C. The volume of a specimen (V) was estimated as follows:
Assuming ΔL/L0 is small, this equation was approximated as follows based on Taylor series expansion:
Then, ρ was obtained based on the measured ρ0 and β using the following equation:
where m represents the mass. ρ0 was measured by the Archimedes’ principle using a precision balance at RT. The specimen weights were measured both in air and in a state of immersion in distilled water.
The cp was measured from 25 to 420 °C using a differential scanning calorimeter (DSC) with simultaneous thermal analysis (STA), Netzsch STA 449 F5 Jupiter (NETZSCH-Gerätebau GmbH, Selb, Germany). An Ar flow was maintained throughout the test, and the instrument was calibrated with a sapphire reference following baseline correction with empty pans. Detailed measurement procedures can be found in Ref. [37].
The α of the TWIP steel was obtained by laser flash analysis (LFA) using a Netzsch LFA 467 HT (NETZSCH-Gerätebau GmbH, Selb, Germany) with a sample in the form of a disk, measuring 10.0 mm in diameter and 2.5 mm in thickness [38]. Based on the principle originally developed by Parker et al. [39], α was obtained as follows:
where l is sample thickness and t0.5 is the time required for the surface temperature to reach half of the maximum temperature increase. Both sides of the sample were coated with graphite to improve absorption of the laser radiation, and Ar gas was used during testing. Measurements were taken at 100 °C intervals from RT to 1000 °C. Since the sample expanded with temperature, α was corrected as follows [40] to account for thermal expansion:
where αtrue refers to the corrected α. Overall, k was calculated indirectly based on the measured α and cp, and calculated ρ as follows [41]:
3. Results and Discussion
3.1. Microstructure and Mechanical Properties
Figure 1 compares the microstructures of the specimen with different heat treatment temperatures using EBSD image quality (IQ), inverse pole figure (IPF), grain shape major axis, high-angle grain boundaries, and twin boundaries maps. High-angle grain boundaries were defined as those with a misorientation angle of 15° or more and are displayed in red lines in the high-angle grain boundaries maps. Twin boundaries, characterized by a misorientation angle between 57° and 63°, are shown as blue lines in the twin boundaries maps. Accordingly, high-angle boundaries include twin boundaries. All microstructures were composed of fully recrystallized grains with a high fraction of annealing twins. The grain size, including annealing twins, increased with heat treatment temperature, as summarized in Figure 2. The specimen heat-treated at 700 °C exhibited a similar grain size to the untreated TWIP steel. Therefore, the analysis focused primarily on the untreated TWIP steel and those heat-treated at 1100 °C and 1250 °C, which are referred to as 24 TWIP, 1100 TWIP, and 1250 TWIP, respectively, for convenience. The average grain sizes of the 24 TWIP, 1100 TWIP, and 1250 TWIP were 13.2, 42.1, and 150.8 μm, respectively. The grain size of the specimen increased as the heat treatment temperature rose, which is similar to the results obtained by Kang et al. [27]. Figure 3 shows the grain orientation of the present TWIP steel with heat treatment temperature or grain size. The 24 TWIP exhibits a high level of (100) orientation, while the 1100 TWIP and 1250 TWIP show a pronounced (111) texture. However, it is difficult to conclude that a texture has developed in this steel considering the intensity of each orientation: for all specimens, the maximum intensity of the texture did not exceed 1.6. Figure 4 shows the X-ray diffraction result of the TWIP steels with grain size. Only austenitic peaks were observed regardless of grain size, meaning that they consisted of an austenite single phase. This result can also be inferred from the stacking fault energy of the present TWIP steel. Using thermodynamic models [42,43], the stacking fault energy of the steel was 27.2 mJ/m2. Saeed-Akbari et al. [42] showed that a stacking fault energy of 20 mJ/m2 is considered the upper limit for ε-martensite formation in high-manganese steels. Based on the microstructure evolution, the influences of grain shape, grain orientation, and phase need not be considered to analyze the thermophysical properties of TWIP steel with grain size in this study. Meanwhile, it should be noted that precipitates, segregations, and inclusions also affect the thermophysical properties of metallic materials [44,45]. In this study, analysis was conducted using EBSD; thus, such features could not be well detected in the EBSD analysis, which is a limitation of the present study.
Figure 1.
Comparison of EBSD IQ, IPF, grain shape major axis, high-angle grain boundaries (red), and twin boundaries (blue) maps of (a) 24 TWIP, (b) 1100 TWIP, and (c) 1250 TWIP steels.
Figure 2.
(a) Calculated grain size and (b) average grain size with heat treatment temperature.
Figure 3.
(a) Grain orientation and (b) its intensity of TWIP steels with grain size.
Figure 4.
X-ray analysis of constituent phases with grain size.
Figure 5a presents the engineering stress-strain curves of the TWIP steels with grain size. All three steels showed an outstanding combination of strength, ductility, and toughness. Regardless of the grain size, TS is above 700 MPa, and total elongation is over 60%, resulting in high toughness. The outstanding mechanical properties of the TWIP steels are associated with the formation of deformation twinning during tensile deformation [8,22]. Small post-necking elongation and serrations were observed, which are general characteristics of C-added high-manganese TWIP steels [22,46]. Grain refinement improved the YS and TS with a slight reduction in ductility, as shown in Figure 5b, consistent with the Hall–Petch relationship [26,47].
Figure 5.
Comparison of (a) engineering stress-strain curves and (b) variations in strength and ductility of the present TWIP steel with grain size.
3.2. Thermal Expansion Coefficient, Density, and Specific Heat Capacity
Figure 6 compares the measured thermal expansion ratio (ΔL/L0) of the TWIP steel with temperature and grain size. The thermal expansion ratio of all the specimens increased with temperature and showed a similar value regardless of grain size. Figure 7a shows the comparison of variations in instantaneous β with temperature and grain size. The instantaneous β gradually increased with temperature despite slight fluctuations, exhibiting similar value regardless of grain size. It is known that the β of materials generally decreases with increasing grain size due to the high anharmonic atomic vibration in grain boundaries compared with the interior of the grain or lattice [34,48,49]. For example, Klam et al. [34] revealed that the β of the grain boundary in copper was 2.5 to 5.0 times larger than that of the grain interior. In this study, the differences in grain size between 13.2 μm and 150.8 μm were too small to produce a significant variation in β values with grain size, leading to similar β regardless of grain size. For example, Klam et al. [34] derived the dependency of grain boundary on β in Cu alloy with a small grain size of 17 μm and large grain size of 19 mm. In addition, Liu et al. [48] reported that β decreased with increasing grain size in Fe-Ni invar alloy with a grain size range of 12.5 nm–10 μm. Meanwhile, to accurately understand the effect of the grain boundary on β, factors such as grain boundary angles, precipitates, inclusions, and the type of grains during heat treatments and hot rolling should also be considered. In this study, only the effect of grain size was examined, which can be regarded as a limitation of this research. For practical use, the average β was obtained based on the measured ΔL/L0, as shown in Figure 7b. In this graph, the values at each temperature represent the average β from 25 °C to that temperature. The average β increased with temperature regardless of grain size. Overall, the average β from 25 to 900 °C in this TWIP steel was approximately 22.4 × 10−6 °C−1. It is worth mentioning that the β of the TWIP steels was much higher compared with that of plain carbon steels (13–15 × 10−6 °C−1), such as interstitial free (IF) steel and low-carbon steel, and slightly higher compared with that of stainless steels (18–21 × 10−6 °C−1), such as X10NiCrMoTiB1515 steel and 18Cr-9Ni-2.95Cu-0.58Nb-0.1C steel, possessing a face centered cubic (FCC) structure in Refs. [17,18,19,20]. This result is associated with their crystal structures, such as BCC and FCC. Bohemen [50] showed that the β of steels with FCC was higher than those with BCC.
Figure 6.
Comparison of measured thermal expansion ratio in the present TWIP steel with temperature and grain size.
Figure 7.
Comparison of (a) instantaneous and (b) average thermal expansion coefficients of TWIP steel with temperature and grain size.
The average β from 25 to 900 °C was used to calculate the ρ of this TWIP steel. The measured ρ0 values are presented in Figure 8a. The average ρ0 was also similar to the grain size. Figure 8b shows the calculated ρ as a function of temperature, and it showed similar values regardless of grain size. As expected, ρ decreased with increasing temperature, which is consistent with the behavior of typical metals [35,51]. Meanwhile, the ρ of the TWIP steel was lower than that of plain carbon steels due to the high manganese and aluminum contents in this steel. The ρ of manganese and aluminum are approximately 7.21 and 2.70 kg/m3, respectively. These values are much lower than the ρ of iron, which is approximately 7.87 kg/m3. This low ρ of TWIP steels offers significant advantages as a lightweight material for automotive applications.
Figure 8.
Comparison of (a) measured density at room temperature and (b) variations in calculated density of TWIP steel with grain size and temperature.
Figure 9a compares the measured cp of TWIP steel with temperature and grain size. Due to the limitations of the DSC equipment used in this study, cp was measured up to 400 °C. cp increased with temperature because the major factor affecting cp is the lattice vibrations. In other words, as the temperature increases, atomic vibrations become more active, allowing the material to store more thermal energy, resulting in an increase in cp [33]. Overall, cp slightly increased with increasing grain size, which is consistent with previous research findings. Zhang et al. [52] reported that the cp of OFHC copper increased with grain size, and Roy et al. [53] revealed that the cp of silicone sheet increased with increasing grain size. Grain boundaries contain atoms with irregular arrangements, which can suppress lattice vibrations and reduce the material’s ability to store thermal energy, resulting in a decrease in cp. In other words, as the grain size increased, the number of grain boundaries decreased, allowing atoms to vibrate more freely, leading to an increase in cp. Since no transition in crystal structure and magnetic properties is well known in high manganese TWIP steels [8,54], cp was expected to increase almost linearly with temperature, just like austenitic stainless steels [55] and high-alloyed tool steels [56]. Consequently, cp above 400 °C was estimated based on a linear fit of the measured cp values, as illustrated in Figure 9b. At lower temperatures, cp varied depending on grain size, but the variation in cp due to grain size decreases as the temperature increases. At low temperatures, phonon scattering at grain boundaries limits the material’s ability to store thermal energy. In contrast, as the temperature increases, atoms vibrate more freely, making the effect of grain size less significant in determining cp.
Figure 9.
Comparison of (a) measured and (b) linear fitted specific heat of present TWIP steel with temperature.
3.3. Thermal Diffusivity and Conductivity
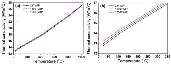
Figure 10 shows the comparison of the measured α of the steel with temperature and grain size. It is observed that α increased with temperature and grain size. Figure 11 shows the calculated k with temperature and grain size. The k of TWIP steel increased as temperature increased regardless of grain size, consistent with findings for stainless steels with an FCC structure [16], Ni-Co-based superalloys [57], and high-entropy alloys [58]. Energy is mainly transported by free electrons and phonons in metal; thus, k can be expressed as a sum of heat transfer via free electrons (ke) and phonons (kp) [33,59]. Generally, in metals, ke has a greater impact on k than kp due to the higher velocity of free electrons compared to phonons [60]. In more detail, k is influenced by both the quantity of carriers and the mobility of free electrons. In high-alloyed metals, as temperature rises, the effect of the free electron carriers outweighs that of their mobility. This is because free electron mobility is reduced due to high levels of impurities in high-alloys [61]. That is, at lower temperatures, electron scattering is significant due to the high alloy content, rendering the temperature-dependent mobility of electrons less impactful as temperature rises. As a result, ke increases with temperature owing to the larger number of free electron carriers, although their mobility decreased with increasing temperature. Overall, the k of TWIP steels rose with increasing temperature.
Figure 10.
Comparison of measured thermal diffusivity of present TWIP steel as functions of temperature and grain size.

Figure 11.
Comparison of thermal conductivity of TWIP steel with grain size and temperature: (a) full temperature scale, (b) low-temperature region, (c) mid-temperature region, and (d) high-temperature region.
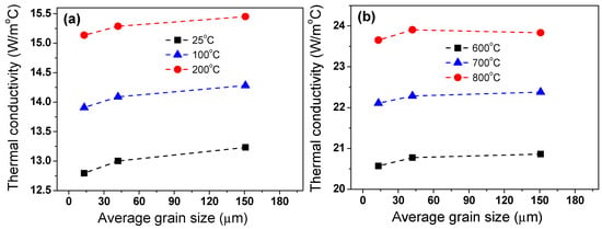
The different behaviors of k were also observed with grain size. In the TWIP steel, k increased with grain size because cp and α increased with grain size despite the similar ρ with grain size. To make it easier to visualize the behavior of k according to grain size, k was presented with grain size at the fixed temperature, as represented in Figure 12. Various factors, including dislocations, solute atoms, grain boundaries, and precipitates, act as scattering sources for both free electrons and phonons, which can typically diminish k in materials [33]. For example, the k of materials increases as the grain size increases because grain boundaries are scattering centers that impede the movement of free electrons and phonons [62,63,64,65,66]. Tong et al. [64] reported that the k of as-cast pure magnesium increased with grain size, which is in agreement with the results of Oh et al. [62]. In ceramics, k increased with increasing grain size [65,66]. Liu et al. [63] revealed that the k of nanostructured ZnO decreased as the grain boundary angle between two grains increased using molecular dynamics simulation. Meanwhile, k varied with grain size in the low-temperature region. However, in the high-temperature region, changes in grain size have little effect on k in TWIP steel, indicating that the impact of grain size on k was more pronounced at lower temperatures. At low temperatures, phonon scattering at grain boundaries is the dominant factor governing heat transfer. However, as the temperature increases, phonon-phonon collisions or scattering become more frequent [33], reducing the relative influence of grain size. In other words, while larger grain sizes enhance k at low temperatures, phonon-phonon interactions become the primary source of thermal resistance at high temperatures, diminishing the effect of grain size. Additionally, at high temperatures, increased electron scattering makes electron-electron scattering and electron-phonon scattering the primary factors limiting k rather than grain size. As a result, the influence of grain size on k becomes relatively less significant at higher temperatures.
Figure 12.
Comparison of variations in thermal conductivity of TWIP steel with grain size at (a) low temperatures of 25, 100, and 200 °C and (b) high temperatures of 600, 700, and 800 °C.
Figure 13 describes the schematic of one-dimensional temperature profiles along polycrystalline materials with large and small grain boundaries. It is well known that the atomic arrangement within 2–3 atomic distances is chaotic in grain boundaries. In other words, the interface between two neighboring grains has different orientations. The localized chaotic region in grain boundaries can scatter free electrons and phonons, leading to a localized degradation in k, as illustrated in Figure 13. The reduction of k at the grain boundaries, compared with the grain interior, leads to a significant temperature gradient in this region. That is, the thermal gradient steepens near the grain boundaries, and the temperature difference across one grain (ΔT) is expressed as follows:
where (ΔTg) and (ΔTgb) indicate the temperature difference in the grain interior and the temperature difference in the grain boundary, as shown in Figure 13, respectively. The shape of the temperature drop (ΔTgb) or temperature discontinuity in grain boundaries can be modeled as an interface thermal resistance at the grain boundary (Rgb), which is known as Kapitza resistance [67]. Although heat transfer occurs solely through phonons due to the absence of free electrons in ceramic materials, for simple analysis of k with grain size, k in polycrystalline materials (kpoly) can be represented as follows, based on the brick layer model applied to ceramic materials [68].
where kg refers to k in the grain interior, and n is the number of grain boundaries per unit length along the heat transfer path. The second term on the right side of the above equation represents the effect of grain size. As the grain size decreases, n increases, resulting in a decrease in kpoly in materials. Figure 14 shows the variations in the calculated kpoly/kg of TWIP steel with the number of grains per unit length. The Rgb was calculated to be approximately 3.9 × 10−8 m2 °CW−1 based on Equation (9) and the experimental results of this study. The kpoly/kg gradually decreased with increasing n. Although this graph was not entirely accurate due to numerous assumptions in Equation (9), it is effective for understanding the trend of k with respect to grain size in materials. Meanwhile, as the temperature increased, the grain size dependence of k decreased, as shown in Figure 11 and Figure 12, due to the reduction in Rgb with rising temperature [69].
Figure 13.
Schematic description of one-dimensional temperature profiles along polycrystalline materials with large and small grain boundaries.
Figure 14.
Variations in calculated ratio of thermal conductivity in polycrystalline to single crystal of TWIP steel with number of grains per unit length.
To find the relationships between mechanical properties and k in TWIP steel, Figure 15 shows the relationships between tensile strength and thermal conductivity, and total elongation and thermal conductivity of TWIP steel at RT. As the grain size increased, TE and k increased, but TS decreased. This result indicated that finding the optimal grain size that enhances both mechanical and thermal properties was challenging in TWIP steel. Meanwhile, it should be noted that the microstructure of the experimentally cast and rolled specimens in this study may not be identical to that of actual hot-rolled steels. As a result, the thermophysical properties of the steel in this experiment may also differ from those manufactured in industrial hot rolling processes. For example, the hot rolling speed and reduction ratio of the experimentally produced steel may differ from those of the steel fabricated in industry.
Figure 15.
Relationships between (a) tensile strength and thermal conductivity, and (b) total elongation and thermal conductivity of TWIP steel at room temperature.
Finally, it is necessary to compare the thermal conductivity of the TWIP steel obtained in this study with that of commonly used carbon steel. The k in TWIP steel is substantially lower compared with that of plain carbon steels, such as AISI 4340 steel and 26NiCrMoV10 steel [15,36,70]. This discrepancy in k is particularly evident at lower temperatures, primarily due to the relatively high mobility of free electrons in plain carbon steels at low temperatures, resulting from their lower alloy content compared to TWIP steel. For instance, at RT, the k values for plain carbon steels were about 45 W/m°C, while the present TWIP steel showed a much lower k, around 13 W/m°C. However, in higher temperature ranges where an FCC structure predominates, the k values in TWIP steels and plain carbon steels become more comparable as the mobility of free electrons decreases with increasing temperature, due to the enhanced phonon scattering with temperature [61]. By 800 °C, for example, TWIP and plain carbon steels exhibited k values of approximately 24 W/m°C and 29 W/m°C, respectively.
4. Conclusions
Since TWIP steels maintain an austenitic single-phase structure even at high temperatures, it is necessary to evaluate both their thermophysical and mechanical properties to explore their potential as high-temperature materials. While various studies focus on refining the grain size to improve the yield strength of TWIP steels, investigating the changes in thermophysical properties associated with grain size remains limited. Therefore, the present study examined the thermophysical properties in TWIP steel with grain size and temperature to better understand its behavior in relation to thermal and mechanical performance. Key findings are as follows:
- The β and density in TWIP steel showed minimal variation with grain size, suggesting that the grain size does not significantly affect these properties within the tested range. The average β from 25 to 900 °C in this TWIP steel was approximately 22.4 × 10−6 °C−1. Meanwhile, the β of the TWIP steels was higher compared with that of plain carbon steels (13–15 × 10−6 °C−1), such as interstitial free (IF) steel and low-carbon steel, and slightly higher compared with that of stainless steels (18–21 × 10−6 °C−1), such as X10NiCrMoTiB1515 steel and 18Cr-9Ni-2.95Cu-0.58Nb-0.1C steel, both possessing an FCC structure.
- The cp of TWIP steel increased with temperature because the major factor affecting cp is the lattice vibrations. As the temperature increases, atomic vibrations become more active, allowing the material to store more thermal energy, resulting in an increase in cp. Meanwhile, cp slightly increased with increasing grain size. Grain boundaries contain atoms with irregular arrangements, which can suppress lattice vibrations and reduce the material’s ability to store thermal energy, resulting in a decrease in cp.
- The k of TWIP steel increased as temperature increased, consistent with the behavior observed in other high-alloy metals. In addition, k slightly increased with grain size, especially at lower temperatures, due to the increased grain boundary scattering of free electrons and phonons. This trend aligns with the Kapitza resistance model, which emphasizes grain boundaries as critical scattering centers for heat transfer in materials. However, in the high-temperature region, changes in grain size have little effect on k in TWIP steel, indicating that the impact of grain size on k was more pronounced at lower temperatures.
- While TWIP steel with refined grains exhibited higher yield and tensile strengths, this came with a decrease in total elongation and k. Thus, optimizing grain size to enhance both mechanical and thermal properties presents a challenge.
- The k in TWIP steel was substantially lower compared with that of carbon steels, such as AISI 4340 steel and 26NiCrMoV10 steel, especially at low temperatures, due to its higher alloy content. At room temperature, the k of TWIP steels and plain carbon steels were approximately 13 W/m°C and 45 W/m°C, respectively. In contrast, in higher temperature ranges where FCC structures are predominant, the difference in k between TWIP steels and plain carbon steels diminished, primarily due to reduced electron mobility from enhanced phonon scattering. At 800 °C, for example, TWIP and plain carbon steels exhibited k values of approximately 24 W/m°C and 29 W/m°C, respectively.
Funding
This work was supported by the new professor research program of KREATECH in 2022 and the National Research Foundation of Korea (NRF) grant funded by the Korea government (MSIT, South Korea) (No. 2021R1A2C1011700).
Institutional Review Board Statement
Not applicable.
Informed Consent Statement
Not applicable.
Data Availability Statement
The original contributions presented in this study are included in the article. Further inquiries can be directed to the corresponding author.
Acknowledgments
The author thanks the Public Equipment Center at KOREATECH for assistance with measuring the thermophysical properties.
Conflicts of Interest
The author declares no conflicts of interest.
References
- Kuziak, R.; Kawalla, R.; Waengler, S. Advanced high strength steels for automotive industry. Arch. Civ. Mech. Eng. 2008, 8, 103–117. [Google Scholar] [CrossRef]
- Grassel, O.; Kruger, L.; Frommeyer, G.; Meyer, L.W. High strength Fe-Mn-(Al, Si) TRIP/TWIP steels development-properties-application. Int. J. Plast. 2000, 16, 1391–1409. [Google Scholar] [CrossRef]
- Chun, Y.S.; Lee, J.; Bae, C.M.; Prak, K.T.; Lee, C.S. Caliber-rolled TWIP steel for high-strength wire rods with enhanced hydrogen-delayed fracture resistance. Scr. Mater. 2012, 67, 681–684. [Google Scholar] [CrossRef]
- So, K.H.; Kim, J.S.; Chun, Y.S.; Park, K.T.; Lee, Y.K.; Lee, C.S. Hydrogen delayed fracture properties and internal hydrogen behavior of a Fe-18Mn-1.5Al-0.6C TWIP steel. ISIJ Int. 2009, 49, 1952–1959. [Google Scholar] [CrossRef]
- Renard, K.; Jacques, P.J. On the relationship between work hardening and twinning rate in TWIP steels. Mater. Sci. Eng. A 2012, 542, 8–14. [Google Scholar] [CrossRef]
- Zambrano, O.A. A general perspective of Fe–Mn–Al–C steels. J. Mater. Sci. 2018, 53, 14003–14062. [Google Scholar] [CrossRef]
- Dastur, Y.N.; Leslie, W.C. Mechanism of work hardening in Hadfield manganese steel. Metall. Trans. A 1981, 12, 749–759. [Google Scholar] [CrossRef]
- De Cooman, B.C.; Estrin, Y.; Kim, S.K. Twinning-induced plasticity (TWIP) steels. Acta Mater. 2018, 142, 283–362. [Google Scholar] [CrossRef]
- Lee, Y.K. Microstructural evolution during plastic deformation of twinning-induced plasticity steels. Scr. Mater. 2012, 66, 1002–1006. [Google Scholar] [CrossRef]
- Luo, Z.C.; Huang, M.X. The role of interstitial carbon atoms on the strain-hardening rate of twinning-induced plasticity steels. Scr. Mater. 2020, 178, 264–268. [Google Scholar] [CrossRef]
- Cui, E.X.; Chen, T.J.; Shen, Y.F.; Jia, N.; Wang, Z.D.; Fan, Z.J. Superior combination of strength and ductility in Fe-20Mn-0.6 C steel processed by asymmetrical rolling. Mater. Today Commun. 2024, 40, 110064. [Google Scholar] [CrossRef]
- Hwang, J.K. Effect of stress states on the twinning behavior in twinning-induced plasticity steel. J. Mater. Eng. Perform. 2019, 28, 4811–4825. [Google Scholar] [CrossRef]
- Shen, Y.F.; Wang, Y.D.; Liu, X.P.; Sun, X.; Peng, R.L.; Zhang, S.Y.; Zuo, L.; Liaw, P.K. Deformation mechanisms of a 20Mn TWIP steel investigated by in situ neutron diffraction and TEM. Acta Mater. 2013, 61, 6093–6106. [Google Scholar] [CrossRef]
- Peet, M.J.; Hasan, H.S.; Bhadeshia, H. Prediction of thermal conductivity of steel. Int. J. Heat Mass Transf. 2011, 54, 2602–2608. [Google Scholar] [CrossRef]
- Fakir, R.; Barka, N.; Brousseau, J. Case study of laser hardening process applied to 4340 steel cylindrical specimens using simulation and experimental validation. Case Stud. Therm. Eng. 2018, 11, 15–25. [Google Scholar]
- Mayrhofer, M.; Koller, M.; Seemann, P.; Prieler, R.; Hochenauer, C. CFD investigation of a vertical annealing furnace for stainless steel and non-ferrous alloys strips–A comparative study on air-staged & MILD combustion. Therm. Sci. Eng. Prog. 2022, 28, 101056. [Google Scholar]
- Xu, G.; Deng, P.; Wang, G.X.; Cao, L.F.; Liu, F. Measurement of expansion coefficients of four steel types. Ironmak. Steelmak. 2013, 40, 613–618. [Google Scholar] [CrossRef]
- Rudtsch, S.; Ebert, H.P.; Hemberger, F.; Barth, G.; Brandt, R.; Groß, U.; Hohenauer, W.; Jaenicke-Roessler, K.; Kaschnitz, E.; Pfaff, E.; et al. Intercomparison of thermophysical property measurements on an austenitic stainless steel. Int. J. Thermophys. 2005, 26, 855–867. [Google Scholar] [CrossRef]
- Tripathy, H.; Rai, A.K.; Hajra, R.N.; Shanthi, N.V.; Subramanian, R.; Saibaba, S. High-temperature thermophysical properties of 18Cr–9Ni–2.95 Cu–0.58 Nb–0.1 C (mass%) austenitic stainless steel. J. Therm. Anal. Calorim. 2018, 131, 2749–2761. [Google Scholar] [CrossRef]
- Ebert, H.P.; Braxmeier, S.; Neubert, D. Intercomparison of thermophysical property measurements on iron and steels. Int. J. Thermophys. 2019, 40, 96. [Google Scholar] [CrossRef]
- Kim, S.J.; Lee, T.; Hwang, J.K. High-strength bolt manufactured by an extrusion-based forming process using twinning-induced plasticity steel. J. Manuf. Process 2020, 59, 33–42. [Google Scholar] [CrossRef]
- Bouaziz, O.; Allain, S.; Scott, C.P.; Cugy, P.; Barbier, D. High manganese austenitic twinning induced plasticity steels: A review of the microstructure properties relationships. Curr. Opin. Solid State Mater. Sci. 2011, 15, 141–168. [Google Scholar] [CrossRef]
- Yang, H.K.; Zhang, Z.J.; Zhang, Z.F. Comparison of work hardening and deformation twinning evolution in Fe-22Mn-0.6C-(1.5Al) twinning-induced plasticity steels. Scr. Mater. 2013, 68, 992–995. [Google Scholar] [CrossRef]
- Hwang, J.K. Effect of grain size on tensile and wire drawing behaviors in twinning-induced plasticity steel. Mater. Sci. Eng. A 2020, 772, 138709. [Google Scholar] [CrossRef]
- Gutierrez-Urrutia, I.; Zaefferer, S.; Raabe, D. The effect of grain size and grain orientation on deformation twinning in a Fe-22Mn-0.6C TWIP steel. Mater. Sci. Eng. A 2010, 527, 3552–3560. [Google Scholar] [CrossRef]
- Lee, S.I.; Lee, S.Y.; Han, J.; Hwang, B. Deformation behavior and tensile properties of an austenitic Fe-24Mn-4Cr-0.5C high-manganese steel: Effect of grain size. Mater. Sci. Eng. A 2019, 742, 334–343. [Google Scholar] [CrossRef]
- Kang, S.; Jung, J.G.; Kang, M.; Woo, W.; Lee, Y.K. The effect of grain size on yielding, strain hardening, and mechanical twinning in Fe-18Mn-0.6C-1.5Al twinning-induced plasticity steel. Mater. Sci. Eng. A 2016, 652, 212–220. [Google Scholar] [CrossRef]
- Ueji, R.; Tsuchida, N.; Terada, D.; Tsuji, N.; Tanaka, Y.; Takemura, A.; Kunishige, K. Tensile properties and twinning behavior of high manganese austenitic steel with fine-grained structure. Scr. Mater. 2008, 59, 963–966. [Google Scholar] [CrossRef]
- Dini, G.; Najafizadeh, A.; Ueji, R.; Monir-Vaghefi, S.M. Tensile deformation behavior of high manganese austenitic steel: The role of grain size. Mater. Des. 2010, 31, 3395–3402. [Google Scholar] [CrossRef]
- Lee, S.M.; Lee, S.J.; Lee, S.; Nam, J.H.; Lee, Y.K. Tensile properties and deformation mode of Si-added Fe-18Mn-0.6C steels. Acta Mater. 2018, 144, 738–747. [Google Scholar] [CrossRef]
- Shen, Y.F.; Jia, N.; Misra, R.D.K.; Zuo, L. Softening behavior by excessive twinning and adiabatic heating at high strain rate in a Fe-20Mn-0.6C TWIP steel. Acta Mater. 2016, 103, 229–242. [Google Scholar] [CrossRef]
- Rahman, K.M.; Vorontsov, V.A.; Dye, D. The effect of grain size on the twin initiation stress in a TWIP steel. Acta Mater. 2015, 89, 247–257. [Google Scholar] [CrossRef]
- Tritt, T.M. Thermal Conductivity: Theory, Properties, and Applications; Springer Science & Business Media: Boston, MA, USA, 2005; pp. 21–91. [Google Scholar]
- Klam, H.J.; Hahn, H.; Gleiter, H. The thermal expansion of grain boundaries. Acta Metall. 1987, 35, 2101–2104. [Google Scholar] [CrossRef]
- Denis, S.; Sjöström, S.; Simon, A. Coupled temperature, stress, phase transformation calculation. Metall. Mater. Trans. A 1987, 18, 1203–1212. [Google Scholar] [CrossRef]
- Wang, K.Y.; Jin, Y.J.; Xu, M.J.; Chen, J.S.; Lu, H. Estimation of heat transfer coefficient and phase transformation latent heat by modified pattern search method. Int. Commun. Heat Mass Transf. 2015, 68, 14–19. [Google Scholar] [CrossRef]
- Steau, E.; Mahendran, M.; Poologanathan, K. Elevated temperature thermal properties of carbon steels used in cold-formed light gauge steel frame systems. J. Build. Eng. 2020, 28, 101074. [Google Scholar] [CrossRef]
- Hwang, J.K. Effect of Plastic Deformation on Thermal Properties in Twinning-Induced Plasticity Steel. Materials 2024, 17, 5263. [Google Scholar] [CrossRef]
- Lin, C.L.; Lee, J.L.; Kuo, S.M.; Li, M.Y.; Gan, L.; Murakami, H.; Mitani, S.; Gorsse, S.; Yeh, A.C. Investigation on the thermal expansion behavior of FeCoNi and Fe30Co30Ni30Cr10-xMnx high entropy alloys. Mater. Chem. Phys. 2021, 271, 124907. [Google Scholar] [CrossRef]
- Kuepferle, J.; Wilzer, J.; Weber, S.; Theisen, W. Thermo-physical properties of heat-treatable steels in the temperature range relevant for hot-stamping applications. J. Mater. Sci. 2015, 50, 2594–2604. [Google Scholar] [CrossRef]
- Incropera, F.P.; Dewitt, D.P.; Bergman, T.L.; Lavine, A.S. Fundamentals of Heat and Mass Transfer, 7th ed.; John Wiley and Sons Ltd.: Chichester, UK, 2012. [Google Scholar]
- Saeed-Akbari, A.; Imlau, J.; Prahl, U.; Bleck, W. Derivation and variation in composition-dependent stacking fault energy maps based on subregular solution model in high-manganese steels. Metall. Mater. Trans. A 2009, 40, 3076–3090. [Google Scholar] [CrossRef]
- Dumay, A.; Chateau, J.P.; Allain, S.; Migot, S.; Bouaziz, O. Influence of addition elements on the stacking-fault energy and mechanical properties of an austenite Fe-Mn-C steel. Mater. Sci. Eng. A 2008, 483–484, 184–187. [Google Scholar] [CrossRef]
- Wu, M.; Chen, J.; Yan, H.; Xia, W.; Su, B.; Deng, Y.; Shen, Y. Effect of Ca addition on the mechanical properties and thermal conductivity of Mg-2Ga alloy. Mater. Sci. Eng. A 2022, 861, 144322. [Google Scholar] [CrossRef]
- Zhang, Y.; Zhang, Z.; Kang, H.; Nagaumi, H.; Yang, X. Development of an extremely dilute Mg-Mn-Ce alloy with high strength-thermal conductivity synergy by low-temperature extrusion. Mater. Lett. 2022, 326, 132965. [Google Scholar] [CrossRef]
- Jin, J.E.; Lee, Y.K. Effect of Al on microstructure and tensile properties of C-bearing high Mn TWIP steel. Acta Mater. 2012, 60, 1680–1688. [Google Scholar] [CrossRef]
- Gu, Y.; Stiles, C.D.; El-Awady, J.A. A statistical perspective for predicting the strength of metals: Revisiting the Hall–Petch relationship using machine learning. Acta Mater. 2024, 266, 119631. [Google Scholar] [CrossRef]
- Liu, Y.; Liu, L.; Wu, Z.; Li, J.; Shen, B.; Hu, W. Grain growth and grain size effects on the thermal expansion properties of an electrodeposited Fe–Ni invar alloy. Scr. Mater. 2010, 63, 359–362. [Google Scholar] [CrossRef]
- Lu, K.; Sui, M.L. Thermal expansion behaviors in nanocrystalline materials with a wide grain size range. Acta Metall. 1995, 43, 3325–3332. [Google Scholar] [CrossRef]
- Van Bohemen, S.M.C. The nonlinear lattice expansion of iron alloys in the range 100–1600 K. Scr. Mater. 2013, 69, 315–318. [Google Scholar] [CrossRef]
- Huiping, L.; Guoqun, Z.; Shanting, N.; Chuanzhen, H. FEM simulation of quenching process and experimental verification of simulation results. Mater. Sci. Eng. A 2007, 452–453, 705–714. [Google Scholar] [CrossRef]
- Zhang, T.; Yan, L.; Li, L.; Huo, M.; Wu, H.; Zha, X.; Wang, N.; Wu, X.; Jiang, F.; Jiang, Z.; et al. Grain size dependence of modified material constitutive model for OFHC copper. J. Mater. Res. Technol. 2022, 20, 2705–2718. [Google Scholar] [CrossRef]
- Roy, A.K.; Das, S.; Shahriar, M.F.; Biswas, G.K.; Das, S. Relation between the thermal conductivity and grain size in a polycrystalline silicene sheet. AIP Conf. Proc. 2018, 1980, 050018. [Google Scholar]
- Chen, S.; Rana, R.; Haldar, A.; Ray, R.K. Current state of Fe-Mn-Al-C low density steels. Prog. Mater. Sci. 2017, 89, 345–391. [Google Scholar] [CrossRef]
- Ahsan, F.; Razmi, J.; Ladani, L. Experimental measurement of thermal diffusivity, conductivity and specific heat capacity of metallic powders at room and high temperatures. Powder Technol. 2020, 374, 648–657. [Google Scholar] [CrossRef]
- Hafenstein, S.; Werner, E.; Wilzer, J.; Theisen, W.; Weber, S.; Sunderkötter, C.; Bachmann, M. Influence of temperature and tempering conditions on thermal conductivity of hot work tool steels for hot stamping applications. Steel Res. Int. 2015, 86, 1628–1635. [Google Scholar] [CrossRef]
- Miura, A.; Osada, T.; Kawagishi, K.; Uchida, K. Thermal transport properties of Ni–Co-based superalloy. AIP Adv. 2020, 10, 125118. [Google Scholar] [CrossRef]
- Chou, H.P.; Chang, Y.S.; Chen, S.K.; Yeh, J.W. Microstructure, thermophysical and electrical properties in AlxCoCrFeNi (0≤ x≤ 2) high-entropy alloys. Mater. Sci. Eng. B 2009, 163, 184–189. [Google Scholar] [CrossRef]
- Fu, J.; Wang, J. Effect of Al Content on the Thermal Conductivity and Corrosion Resistance of Die Steel. J. Mater. Eng. Perform. 2022, 31, 2112–2120. [Google Scholar] [CrossRef]
- Wang, G.; Li, Y. Effects of alloying elements and temperature on thermal conductivity of ferrite. J. Appl. Phys. 2019, 126, 125118. [Google Scholar] [CrossRef]
- Wilzer, J.; Küpferle, J.; Weber, S.; Theisen, W. Influence of alloying elements, heat treatment, and temperature on the thermal conductivity of heat treatable steels. Steel Res. Int. 2015, 86, 1234–1241. [Google Scholar] [CrossRef]
- Oh, G.Y.; Kim, Y.K.; Kim, S.K.; Lim, H.K.; Kim, Y.J. Effects of grain size and texture on thermal conductivity of AZ31 during static recrystallization. Mater. Trans. 2017, 58, 1241–1243. [Google Scholar] [CrossRef]
- Liu, Y.; Bian, Y.; Chernatynskiy, A.; Han, Z. Effect of grain boundary angle on the thermal conductivity of nanostructured bicrystal ZnO based on the molecular dynamics simulation method. Int. J. Heat Mass Transf. 2019, 145, 118791. [Google Scholar] [CrossRef]
- Tong, X.; You, G.; Ding, Y.; Xue, H.; Wang, Y.; Guo, W. Effect of grain size on low-temperature electrical resistivity and thermal conductivity of pure magnesium. Mater. Lett. 2018, 229, 261–264. [Google Scholar] [CrossRef]
- Wang, H.; Du, X.; Shi, Y.; Deng, M.; Wang, J.; Qi, J.; Huang, Z. Grain-size dependent thermal conductivity of Gd2Zr2O7 ceramics. Ceram. Int. 2022, 48, 16444–16448. [Google Scholar] [CrossRef]
- Limarga, A.M.; Clarke, D.R. The grain size and temperature dependence of the thermal conductivity of polycrystalline, tetragonal yttria-stabilized zirconia. Appl. Phys. Lett. 2011, 98, 211906. [Google Scholar] [CrossRef]
- Chernatynskiy, A.; Bai, X.M.; Gan, J. Systematic investigation of the misorientation-and temperature-dependent Kapitza resistance in CeO2. Int. J. Heat Mass Transf. 2016, 99, 461–469. [Google Scholar] [CrossRef]
- Fleig, J.; Maier, J. A finite element study on the grain boundary impedance of different microstructures. J. Electrochem. Soc. 1998, 145, 2081–2089. [Google Scholar] [CrossRef]
- Smith, D.S.; Puech, F.; Nait-Ali, B.; Alzina, A.; Honda, S. Grain boundary thermal resistance and finite grain size effects for heat conduction through porous polycrystalline alumina. Int. J. Heat Mass Transf. 2018, 121, 1273–1280. [Google Scholar] [CrossRef]
- Xing, Y.; Wang, W.; Al-azzani, H. Assessment of thermal properties of various types of high-strength steels at elevated temperatures. Fire Saf. J. 2021, 122, 103348. [Google Scholar] [CrossRef]
Disclaimer/Publisher’s Note: The statements, opinions and data contained in all publications are solely those of the individual author(s) and contributor(s) and not of MDPI and/or the editor(s). MDPI and/or the editor(s) disclaim responsibility for any injury to people or property resulting from any ideas, methods, instructions or products referred to in the content. |
© 2025 by the author. Licensee MDPI, Basel, Switzerland. This article is an open access article distributed under the terms and conditions of the Creative Commons Attribution (CC BY) license (https://creativecommons.org/licenses/by/4.0/).