Multi-Objective Geometry Optimization of Additive-Manufactured Hexagonal Honeycomb Sandwich Beams Under Quasi-Static Three-Point Bending Loading
Abstract
1. Introduction
2. Materials and Methods
2.1. Sandwich Beam Design Variables
2.2. Test Specimen Manufacturing
2.3. Material Characterization
2.4. Three-Point Bending Test
2.5. Finite Element Modeling
3. Results and Discussion
3.1. Three-Point Bending Test Results
3.2. Finite Element Modeling Results
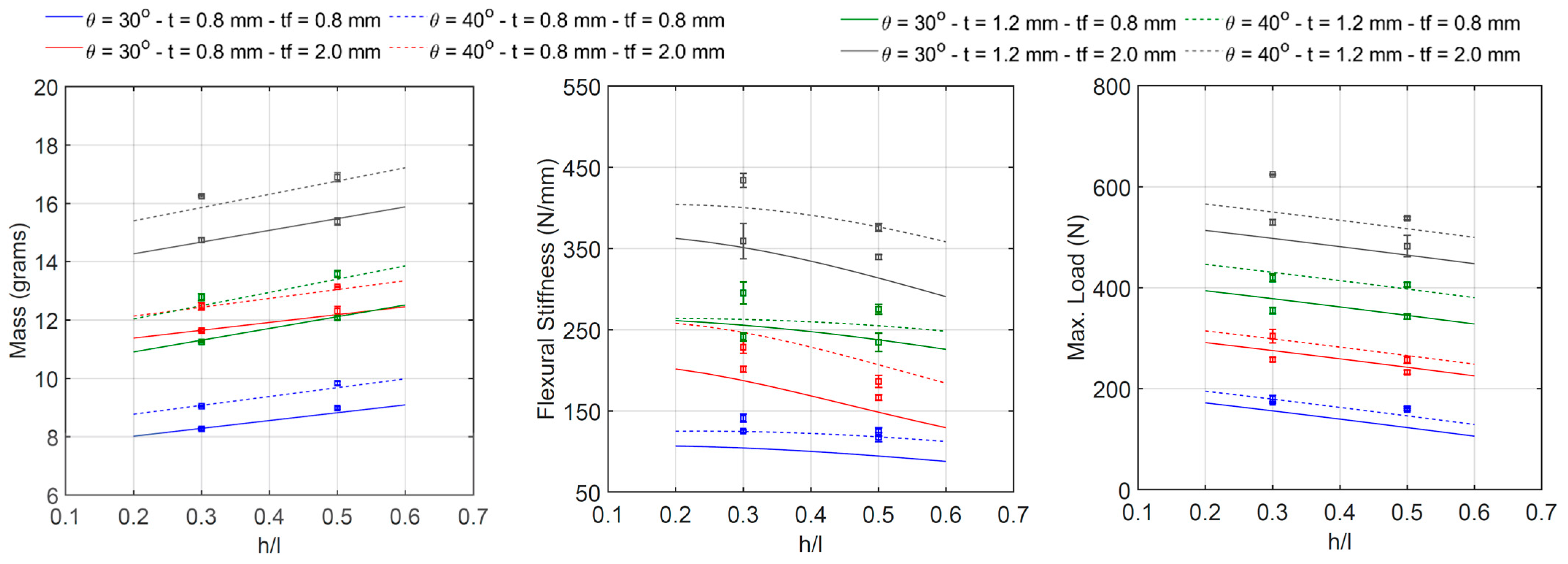
3.3. Parametric Analysis
3.3.1. Effect of Cell Wall Ratio
3.3.2. Effect of Cell Wall Angle
3.3.3. Effect of Cell Wall Thickness
3.3.4. Effect of Skin Thickness
3.4. Geometry Optimization
4. Conclusions
Author Contributions
Funding
Institutional Review Board Statement
Informed Consent Statement
Data Availability Statement
Acknowledgments
Conflicts of Interest
References
- Chen, Y.; Li, T.; Jia, Z.; Scarpa, F.; Yao, C.-W.; Wang, L. 3D printed hierarchical honeycombs with shape integrity under large compressive deformations. Mater. Des. 2018, 137, 226–234. [Google Scholar] [CrossRef]
- Peng, C.; Fox, K.; Qian, M.; Nguyen-Xuan, H.; Tran, P. 3D printed sandwich beams with bioinspired cores: Mechanical performance and modelling. Thin-Walled Struct. 2021, 161, 107471. [Google Scholar] [CrossRef]
- Yin, H.; Guo, D.; Wen, G.; Wu, Z. On bending crashworthiness of smooth-shell lattice-filled structures. Thin-Walled Struct. 2022, 171, 108800. [Google Scholar] [CrossRef]
- Lin, Z.-H.; Pan, J.-H.; Li, H.-Y. Mechanical strength of triply periodic minimal surface lattices subjected to threep point bending. Polymers 2022, 14, 2885. [Google Scholar] [CrossRef]
- Sarvestani, H.Y.; Akbarzadeha, A.; Mirbolghasemi, A.; Hermenean, K. 3D printed meta-sandwich structures: Failure mechanism, energy absorption and multi-hit capability. Mater. Des. 2018, 160, 179–193. [Google Scholar] [CrossRef]
- Zhou, Y.; Li, Y.; Jiang, D.; Chen, Y.; Xie, Y.M.; Jia, L.-J. In-plane impact behavior of 3D-printed auxetic stainless honeycombs. Eng. Struct. 2022, 266, 114656. [Google Scholar] [CrossRef]
- Yan, Z.; Liu, Y.; Yan, J.; Wang, B.; Bai, F.; Shi, Z.; Huang, F. Anti-blast performance of 3D-printed sandwich panels with auxetic hexagonal and regular hexagonal honeycomb cores. Eng. Struct. 2022, 272, 114996. [Google Scholar] [CrossRef]
- Yan, Z.; Liu, Y.; Yan, J.; Wu, W.; Bai, F.; Huang, F. Blast performance of 3D-printed auxetic honeycomb sandwich beams. Thin-Walled Struct. 2023, 193, 111257. [Google Scholar] [CrossRef]
- Jin, X.; Wang, Z.; Ning, J.; Xiao, G.; Liu, E. Dynamic response of sandwich structures with graded auxetic honeycomb cores under blast loading. Compos. B Eng. 2016, 106, 206–217. [Google Scholar] [CrossRef]
- Yavas, D.; Liu, Q.; Zhang, Z.; Wu, D. Design and fabrication of architected multi-material lattices with tunable stiffness, strength, and energy absorption. Mater. Des. 2022, 217, 110613. [Google Scholar] [CrossRef]
- Sarvestani, H.; Akbarzadeh, A.; Niknam, H.H.K. 3D printed architected polymeric sandwich panels: Energy absorption and structural performance. Compos. Struct. 2018, 200, 886–909. [Google Scholar] [CrossRef]
- Zaharia, S.M.; Enescu, L.A.; Pop, M.A. Mechanical performances of lightweight sandwich structures produced by material extrusion-based additive manufacturing. Polymers 2020, 12, 1740. [Google Scholar] [CrossRef] [PubMed]
- Li, T.; Wang, L. Bending behavior of sandwich composite structures with tunable 3D-printed core materials. Compos. Struct. 2017, 175, 46–57. [Google Scholar] [CrossRef]
- Forés-Garriga, A.; Gómez-Gras, G.; Pérez, M.A. Lightweight hybrid composite sandwich structures with additively manufactured cellular cores. Thin-Walled Struct. 2023, 191, 111082. [Google Scholar] [CrossRef]
- Xu, H.H.; Zhang, X.G.; Han, D.; Jiang, W.; Zhang, Y.; Luo, Y.M.; Ni, X.H.; Teng, X.C.; Xie, Y.M.; Ren, X. Mechanical characteristics of auxetic composite honeycomb sandwich structure under bending. AI Civ. Eng. 2024, 3, 8. [Google Scholar] [CrossRef]
- Khosravani, M.R.; Zolfagharian, A.; Jennings, M.; Reinicke, T. Structural performance of 3D-printed composites under various loads and environmental conditions. Polym. Test. 2020, 91, 106770. [Google Scholar] [CrossRef]
- Hou, S.; Li, T.; Jia, Z.; Wang, L. Mechanical properties of sandwich composites with 3d-printed auxetic and non-auxetic lattice cores under low velocity impact. Mater. Des. 2018, 160, 1305–1321. [Google Scholar] [CrossRef]
- Zhang, X.G.; Jiang, W.; Zhang, Y.; Han, D.; Luo, C.; Zhang, X.Y.; Hao, J. Bending performance of 3D re-entrant and hexagonal metamaterials. Thin-Walled Struct. 2023, 188, 110829. [Google Scholar] [CrossRef]
- Lu, H.; Wang, X.; Chen, T. Quasi-static bending response and energy absorption of a novel sandwich beam with a reinforced auxetic core under the fixed boundary at both ends. Thin-Walled Struct. 2023, 191, 111011. [Google Scholar] [CrossRef]
- Menegozzo, M.; Cecchini, A.; Ogle, R.C.; Vaidya, U.K.; Acevedo-Figueroa, I.; Torres-Hernández, J.A. Scale effect assessment of innovative 3D-printed honeycomb under quasi-static compression. Aerospace 2023, 10, 242. [Google Scholar] [CrossRef]
- Seyedkanani, A.; Niknam, H.; Akbarzadeh, A. Bending behavior of optimally graded 3D printed cellular beams. Addit. Manuf. 2020, 35, 101327. [Google Scholar] [CrossRef]
- Karen, I.; Yazici, M.; Shukla, A. Designing foam filled sandwich panels for blast mitigation using a hybrid evolutionary optimization algorithm. Compos. Struct. 2016, 158, 72–82. [Google Scholar] [CrossRef]
- Mahmoudi, M.; Ghannadpour, S.; Nedjad, K.H. Functionally graded multi-morphology lattice structures as an optimized sandwich core via digital light processing additive manufacturing. Mater. Des. 2024, 238, 112710. [Google Scholar] [CrossRef]
- Chen, Y.; Fu, K.; Hou, S.; Han, X.; Ye, L. Multi-objective optimization for designing a composite sandwich structure under normal and 45° impact loadings. Compos. B Eng. 2018, 142, 159–170. [Google Scholar] [CrossRef]
- Wang, X.; Zhang, P.; Ludwick, S.; Belski, E.; To, A.C. Natural frequency optimization of 3D printed variable-density honeycomb structure via a homogenization-based approach. Addit. Manuf. 2018, 20, 189–198. [Google Scholar] [CrossRef]
- Parandoush, P.; Lin, D. A review on additive manufacturing of polymer-fiber composites. Compos. Struct. 2017, 182, 36–53. [Google Scholar] [CrossRef]
- Ning, F.; Cong, W.; Qiu, J.; Wei, J.; Wang, S. Additive manufacturing of carbon fiber reinforced thermoplastic composites using fused deposition modeling. Compos. B Eng. 2015, 80, 369–378. [Google Scholar] [CrossRef]
- Blok, L.; Longana, M.; Yu, H.; Woods, B. An investigation into 3D printing of fibre reinforced thermoplastic composites. Addit. Manuf. 2018, 22, 176–186. [Google Scholar] [CrossRef]
- Brenken, B.; Barocio, E.; Favaloro, A.; Kunc, V.; Pipes, R.B. Fused filament fabrication of fiber-reinforced polymers: A review. Addit. Manuf. 2018, 21, 1–16. [Google Scholar] [CrossRef]
- Gibson, L.; Ashby, M. Cellular Solids: Structure and Properties, 2nd ed.; Cambridge University Press: Cambridge, UK, 1997. [Google Scholar]
- ASTM D638-10; Standard Test Method for Tensile Properties of Plastics. ASTM International: West Conshohocken, PA, USA, 2010. [CrossRef]
- ASTM C393; Standard Test Method for Flexural Properties of Sandwich Constructions. ASTM International: West Conshohocken, PA, USA, 2000.
- Montgomary, D. Design and Analysis of Experiments; John Wiley & Sons: Hoboken, NJ, USA, 2009. [Google Scholar]
























| # | Specimen ID | h/l | θ (°) | t (mm) | tf (mm) | Rel. Density | c (mm) | m (g) |
|---|---|---|---|---|---|---|---|---|
| 1 | S03300808 | 0.3 | 30 | 0.8 | 0.8 | 0.256 | 16.6 | 7.8 |
| 2 | S03300820 | 0.3 | 30 | 0.8 | 2.0 | 0.256 | 16.6 | 11.0 |
| 3 | S03301208 | 0.3 | 30 | 1.2 | 0.8 | 0.383 | 16.6 | 10.7 |
| 4 | S03301220 | 0.3 | 30 | 1.2 | 2.0 | 0.383 | 16.6 | 13.8 |
| 5 | S03400808 | 0.3 | 40 | 0.8 | 0.8 | 0.217 | 22.2 | 8.5 |
| 6 | S03400820 | 0.3 | 40 | 0.8 | 2.0 | 0.217 | 22.2 | 11.8 |
| 7 | S03401208 | 0.3 | 40 | 1.2 | 0.8 | 0.325 | 22.2 | 11.8 |
| 8 | S03401220 | 0.3 | 40 | 1.2 | 2.0 | 0.325 | 22.2 | 14.9 |
| 9 | S05300808 | 0.5 | 30 | 0.8 | 0.8 | 0.222 | 20.8 | 8.3 |
| 10 | S05300820 | 0.5 | 30 | 0.8 | 2.0 | 0.222 | 20.8 | 11.5 |
| 11 | S05301208 | 0.5 | 30 | 1.2 | 0.8 | 0.333 | 20.8 | 11.4 |
| 12 | S05301220 | 0.5 | 30 | 1.2 | 2.0 | 0.333 | 20.8 | 14.7 |
| 13 | S05400808 | 0.5 | 40 | 0.8 | 0.8 | 0.194 | 26.9 | 9.1 |
| 14 | S05400820 | 0.5 | 40 | 0.8 | 2.0 | 0.194 | 26.9 | 12.3 |
| 15 | S05401208 | 0.5 | 40 | 1.2 | 0.8 | 0.292 | 26.9 | 12.4 |
| 16 | S05401208 | 0.5 | 40 | 1.2 | 2.0 | 0.292 | 26.9 | 15.8 |
| Material Property | Density (kg/m3) | Elastic Modulus (Gpa) | Yield Strength (Mpa) | Stress Plateau (Mpa) | Failure Strain |
|---|---|---|---|---|---|
| PLA | 1240 | 2.2 (0.026) | 34.9 (0.77) | 26 (0.58) | 0.52 (0.06) |
| # | Specimen ID | Pmax [N] | K [N/mm] | E [N-mm] | m [g] |
|---|---|---|---|---|---|
| 1 | S03300808 | 172.9 (1.8) | 124.9 (1.4) | 610.7 (4.7) | 8.27 (0.04) |
| 2 | S03300820 | 258.0 (4.3) | 201.2 (3.6) | 831.8 (14.9) | 11.63 (0.03) |
| 3 | S03301208 | 355.0 (6.3) | 241.1 (5.0) | 1351.9 (29.3) | 11.25 (0.02) |
| 4 | S03301220 | 529.6 (5.4) | 359.3 (21.7) | 1701.8 (3.1) | 14.74 (0.08) |
| 5 | S03400808 | 180.0 (6.5) | 141.0 (4.9) | 648.0 (46.4) | 9.04 (0.02) |
| 6 | S03400820 | 304.1 (13.5) | 228.5 (7.8) | 1140.8 (88.0) | 12.47 (0.13) |
| 7 | S03401208 | 419.8 (8.0) | 295.2 (13.6) | 1595.7 (40.6) | 12.78 (0.12) |
| 8 | S03401220 | 624.2 (0.9) | 434.0 (8.8) | 2336.2 (34.8) | 16.24 (0.03) |
| 9 | S05300808 | 160.5 (4.0) | 117.5 (5.7) | 583.1 (7.9) | 8.98 (0.03) |
| 10 | S05300820 | 232.6 (4.3) | 166.5 (3.3) | 912.1 (22.9) | 12.31(0.15) |
| 11 | S05301208 | 343.0 (4.9) | 234.5 (11.3) | 1235.2 (21.5) | 12.08 (0.07) |
| 12 | S05301220 | 482.5 (21.3) | 339.5 (3.1) | 1705.8 (51.3) | 15.37 (0.12) |
| 13 | S05400808 | 158.5 (1.6) | 123.6 (5.6) | 605.5 (3.9) | 9.83 (0.06) |
| 14 | S05400820 | 257.2 (7.2) | 186.4 (7.4) | 1027.8 (48.7) | 13.14 (0.01) |
| 15 | S05401208 | 405.9 (4.5) | 275.0 (6.0) | 1498.5 (11.5) | 13.6 (0.12) |
| 16 | S05401208 | 537.7 (3.0) | 375.8 (4.9) | 2097.6 (32.1) | 16.89 (0.15) |
| # | Specimen ID | Pmax (N) | K (N/mm) | E (N-mm) | m (g) |
|---|---|---|---|---|---|
| 1 | S03300808 | 179.7 (3.9) | 126.7 (1.4) | 618.9 (1.3) | 7.85 (5.1) |
| 2 | S03300820 | 284.9 (10.4) | 216.3 (7.5) | 912.0 (9.6) | 11.01 (5.4) |
| 3 | S03301208 | 345.3 (2.7) | 240.8 (0.1) | 944.8 (30.1) | 10.70 (4.9) |
| 4 | S03301220 | 491.0 (7.3) | 386.6 (7.6) | 1418.3 (16.7) | 13.86 (5.9) |
| 5 | S03400808 | 205.8 (14.3) | 162.3 (15.1) | 720.4 (11.2) | 8.56 (5.3) |
| 6 | S03400820 | 339.9 (11.8) | 258.6 (13.2) | 1085.7 (4.8) | 11.82 (5.2) |
| 7 | S03401208 | 436.6 (4.0) | 319.9 (8.4) | 1292.8 (19.0) | 11.82 (7.5) |
| 8 | S03401220 | 591.1 (5.3) | 473.5 (9,1) | 1707.8 (26.9) | 14.98 (7.8) |
| 9 | S05300808 | 158.9 (1.0) | 108.9 (7.3) | 472.4 (19.0) | 8.36 (6.9) |
| 10 | S05300820 | 267.5 (15.0) | 172.1 (3.4) | 1163.9 (27.6) | 11.52 (6.4) |
| 11 | S05301208 | 328.0 (4.4) | 243.3 (3.7) | 980.9 (20.6) | 11.42 (5.5) |
| 12 | S05301220 | 487.5 (1.0) | 356.7 (5.1) | 2344.5 (37.4) | 14.68 (4.5) |
| 13 | S05400808 | 169.9 (7.2) | 129.6 (4.5) | 530.3 (12.4) | 9.17 (6.7) |
| 14 | S05400820 | 304.5 (18.4) | 193.3 (3.7) | 1515.3 (47.4) | 12.33 (6.2) |
| 15 | S05401208 | 398.1 (1.9) | 297.3 (8.1) | 1315.9 (12.2) | 12.64 (6.9) |
| 16 | S05401208 | 584.3 (8.7) | 413.8 (10.1) | 2942.0 (40.3) | 15.80 (6.5) |
| # | Specimen ID | h/l | θ (°) | t (mm) | tf (mm) | Rel. Density | c (mm) |
|---|---|---|---|---|---|---|---|
| 1 | S02351014 | 0.2 | 35 | 1.0 | 1.4 | 0.316 | 17.0 |
| 2 | S04251014 | 0.4 | 25 | 1.0 | 1.4 | 0.324 | 16.3 |
| 3 | S04350614 | 0.4 | 35 | 0.6 | 1.4 | 0.164 | 21.4 |
| 4 | S04351014 | 0.4 | 35 | 1.0 | 1.4 | 0.274 | 21.4 |
| 5 | S04351024 | 0.4 | 35 | 1.0 | 2.4 | 0.274 | 21.4 |
| 6 | S04351414 | 0.4 | 35 | 1.4 | 1.4 | 0.383 | 21.4 |
| 7 | S04451014 | 0.4 | 45 | 1.0 | 1.4 | 0.241 | 28.2 |
| 8 | S06351014 | 0.6 | 35 | 1.0 | 1.4 | 0.246 | 25.8 |
| Regression Model | Coefficients | R2 | RMS |
|---|---|---|---|
| Mass (g) | A1 = 2.802, A2 = 5.672, A3 = 2.904 | 0.988 | 0.246 |
| Stiffness (N/mm) | C1 = 1.433, C2 = 5.202, C3 = 3.100, C4 = 0.172, C5 = 6.361 | 0.942 | 23.9 |
| Maximum Load (N) | D1 = −164.960, D2 = 240.510, D3 = 35.113, D4 = 1.097, D5 = 2.014 | 0.962 | 29.6 |
| Stiffness Constraint | h/l | θ (°) | t (mm) | tf (mm) | Mass (g) | Pmax (N) | K (N/mm) |
|---|---|---|---|---|---|---|---|
| Kmin = 0 | 0.2 | 25.1 | 1.4 | 0.8 | 11.91 | 514.8 (380.8) | 390.3 (221.0) |
| Kmin = 100 (N/mm) | 0.2 | 30.7 | 1.4 | 0.8 | 12,43 | 542.6 (431.0) | 389.5 (272.7) |
| Kmin = 200 (N/mm) | 0.2 | 40.9 | 1.4 | 0.8 | 13.82 | 617.8 (542.0) | 378.1 (385.5) |
| Kmin = 300 (N/mm) | 0.2 | 44.9 | 1.4 | 0.8 | 14.61 | 660.5 (606.8) | 370.3 (451.9) |
| Kmin = 400 (N/mm) | 0.2 | 45.0 | 1.4 | 1.0 | 15.36 | 678.3 (623.8) | 400.2 (490.6) |
| Kmin = 500 (N/mm) | 0.2 | 37.4 | 1.4 | 2.4 | 17.75 | 770.4 (786.2) | 577.6 (632.3) |
Disclaimer/Publisher’s Note: The statements, opinions and data contained in all publications are solely those of the individual author(s) and contributor(s) and not of MDPI and/or the editor(s). MDPI and/or the editor(s) disclaim responsibility for any injury to people or property resulting from any ideas, methods, instructions or products referred to in the content. |
© 2025 by the authors. Licensee MDPI, Basel, Switzerland. This article is an open access article distributed under the terms and conditions of the Creative Commons Attribution (CC BY) license (https://creativecommons.org/licenses/by/4.0/).
Share and Cite
Cecchini, A.; Menegozzo, M.; Roman, E. Multi-Objective Geometry Optimization of Additive-Manufactured Hexagonal Honeycomb Sandwich Beams Under Quasi-Static Three-Point Bending Loading. Materials 2025, 18, 867. https://doi.org/10.3390/ma18040867
Cecchini A, Menegozzo M, Roman E. Multi-Objective Geometry Optimization of Additive-Manufactured Hexagonal Honeycomb Sandwich Beams Under Quasi-Static Three-Point Bending Loading. Materials. 2025; 18(4):867. https://doi.org/10.3390/ma18040867
Chicago/Turabian StyleCecchini, Andres, Marco Menegozzo, and Emerson Roman. 2025. "Multi-Objective Geometry Optimization of Additive-Manufactured Hexagonal Honeycomb Sandwich Beams Under Quasi-Static Three-Point Bending Loading" Materials 18, no. 4: 867. https://doi.org/10.3390/ma18040867
APA StyleCecchini, A., Menegozzo, M., & Roman, E. (2025). Multi-Objective Geometry Optimization of Additive-Manufactured Hexagonal Honeycomb Sandwich Beams Under Quasi-Static Three-Point Bending Loading. Materials, 18(4), 867. https://doi.org/10.3390/ma18040867

