New Insight into a Green Process for Iron Manganese Ore Utilization: Efficient Separation of Manganese and Iron Based on Phase Reconstruction by Vanadium Recycle
Abstract
1. Introduction
2. Material and Methods
2.1. Material
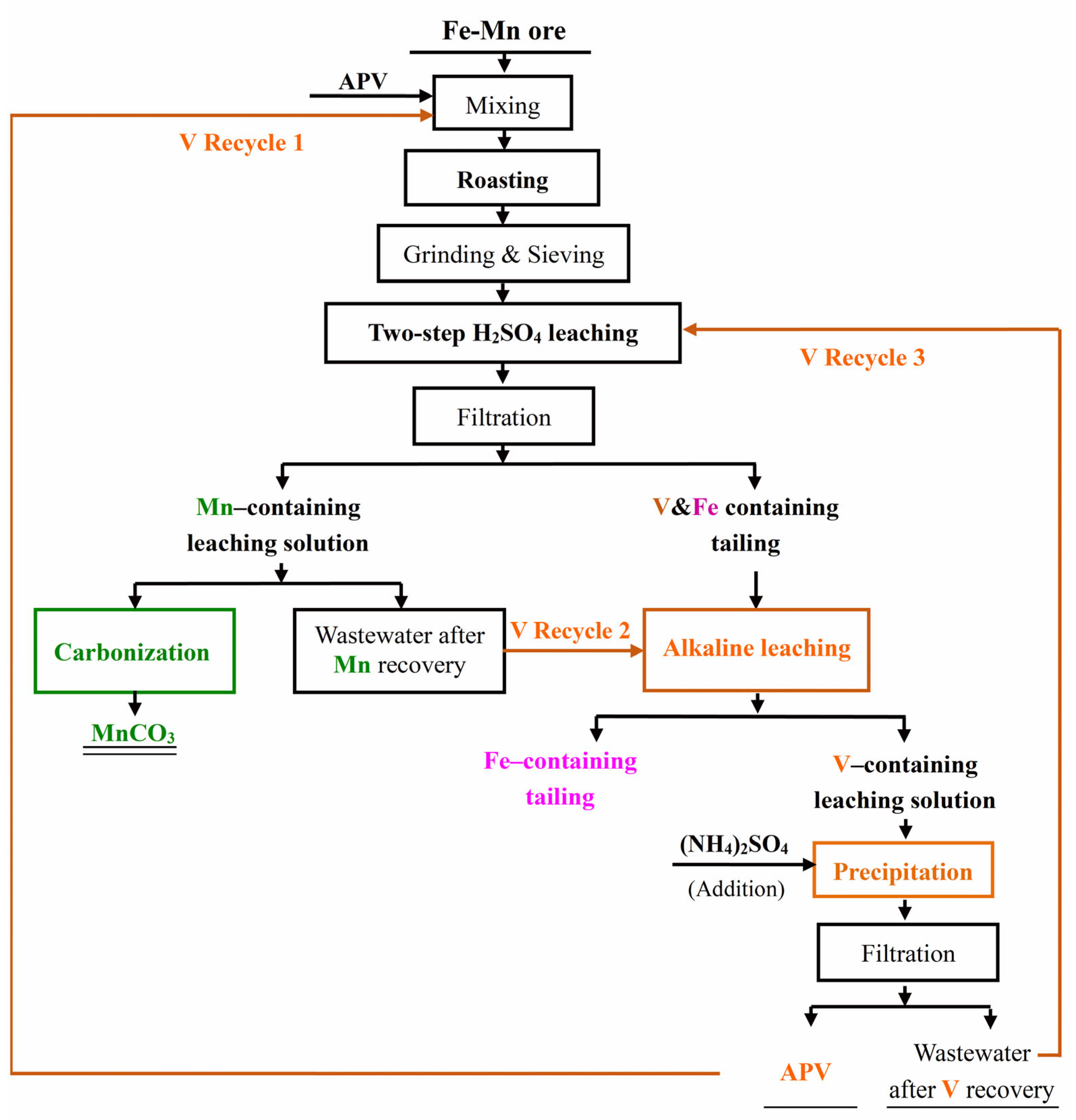
2.2. Procedure
2.2.1. Mixed Roasting
2.2.2. Two-Step H2SO4 Leaching
2.2.3. Manganese Recovery
2.2.4. APV Recycle
2.3. Characterization
3. Results
3.1. Composition and Microstructure of Fe-Mn Ore and APV
3.2. Phase Reconstruction During Roasting Process
3.2.1. Effect of n(MnO2)/n(V2O5) on Phase Reconstruction
3.2.2. Effect of Roasting Temperature on Phase Reconstruction
3.3. Separation Behaviors of Components During Two-Step Leaching
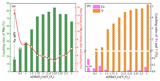
3.3.1. Effect of n(MnO2)/n(V2O5) on Leaching Behaviors of Components
3.3.2. Effect of Roasting Temperature on Leaching Behaviors of Components
3.4. Manganese Recovery
3.5. APV Recycle
3.6. Iron Utilization
4. Evolution
4.1. Efficient Separation of Iron and Manganese
4.2. Three Circular Routes for Vanadium Recycle
5. Conclusions
- (1)
- When Fe-Mn ore and APV are mixed with n(MnO2)/n(V2O5) of 2.25, and roasted at 850 °C for 120 min, the decomposition product V2O5 of APV reacts with the decomposition product Mn2O3 of MnO2 and Mn7SiO12 in Fe-Mn ore to produce the target product, acid soluble Mn2V2O7. Fe4Mn3(VO4)6 is an important intermediate product in the roasting process, which is generated under conditions of lower roasting temperature and lower n(MnO2)/n(V2O5) value. Iron and silicon exist in the form of Fe2O3 and SiO2, respectively.
- (2)
- During the two-step acid leaching, the target product Mn2V2O7 in the roasted sample is dissolved to achieve the separation of manganese and iron in the first leaching step, and vanadium is further hydrolyzed and precipitated to achieve the separation of manganese and vanadium in the second leaching step. When the leaching ratio of manganese reaches the maximum value of 84.57%, the leaching ratios of iron and vanadium are only 0.046% and 4.68%, it achieves the efficient separation of manganese, iron, and vanadium. The leaching ratio of manganese is consistent with the generation laws of Mn2V2O7 during the roasting process
- (3)
- Manganese ions in the manganese-containing leaching solution are crystallized in the form of MnCO3 by carbonization and can be used as an intermediate product in the manganese metallurgy or manganese chemical industry. Vanadium in the vanadium- and iron-containing tailing is received by alkali leaching and precipitation to obtain APV, which can be recycled back to the Fe-Mn ore roasting as an additive. The TFe grade of iron-containing tailing has increased from 46.39% to 57.21%, which has met the requirement for iron content in the iron concentrate.
- (4)
- The separation efficiency of iron and manganese reported in this work is much higher than the results reported in the current literature. During this process, three circular routes are proposed, including the suggestions that APV could be recycled in the roasting process, the manganese extraction wastewater could be recycled for the alkaline leaching process, and the manganese extraction wastewater could be recycled for the acid leaching process. More than 99 wt.% of vanadium in the additive APV can be recovered and recycled back into the process of Fe-Mn ore utilization by APV and wastewater recycling.
Author Contributions
Funding
Institutional Review Board Statement
Informed Consent Statement
Data Availability Statement
Conflicts of Interest
References
- Shen, P.W.; Che, Y.X.; Luo, H.J.; Gu, Y.D. Inorganic Chemistry Books; Science Press: Beijing, China, 2008. [Google Scholar]
- Zhao, Y.; Zhu, Y.; Zhang, X. Challenges and perspectives for manganese-based oxides for advanced aqueous zinc-ion batteries. InfoMat 2019, 2, 237–260. [Google Scholar] [CrossRef]
- Li, M.; Kuang, S.; Kang, Y.; Ma, H.; Dong, J.; Guo, Z. Recent advances in application of iron-manganese oxide nanomaterials for removal of heavy metals in the aquatic environment. Sci. Total Environ. 2022, 819, 153157. [Google Scholar] [CrossRef] [PubMed]
- Polulyakh, L.A.; Evseev, E.G.; Savostyanov, A.V.; Bocherikov, R.E. Study of the Behavior of Phosphorus in the Production of Manganese Alloys Using Ores with a Low Manganese Content. Metallurgist 2023, 67, 469–475. [Google Scholar] [CrossRef]
- Liu, X.; Zhao, Y.; Zhou, W.; Yuan, S.; Wang, X. New progress in the development and utilization of ferromanganese ore. Miner. Eng. 2024, 216, 108826. [Google Scholar] [CrossRef]
- Liu, B.B.; Zhang, Y.B.; Lu, M.M.; Su, Z.J.; Li, G.H.; Jiang, T. Extraction and separation of manganese and iron from ferruginous manganese ores: A review. Miner. Eng. 2019, 131, 286–303. [Google Scholar] [CrossRef]
- Liu, B.; Zhang, Y.; Wang, J.; Wang, J.; Su, Z.; Li, G.; Jiang, T. New understanding on separation of Mn and Fe from ferruginous manganese ores by the magnetic reduction roasting process. Appl. Surf. Sci. 2018, 444, 133–144. [Google Scholar] [CrossRef]
- Yuan, S.; Zhou, W.; Han, Y.; Li, Y. Separation of manganese and iron for low-grade ferromanganese ore via fluidization magnetization roasting and magnetic separation technology. Miner. Eng. 2020, 152, 106359. [Google Scholar] [CrossRef]
- Elliott, R.; Barati, M. A review of the beneficiation of low-grade manganese ores by magnetic separation. Can. Metall. Q. 2020, 59, 1–16. [Google Scholar] [CrossRef]
- Guo, W.; Yang, Y.S.; Lv, H.F.; Bai, H.J.; Jie, B.L. Experimental Study on Mineral Processing of a Difficult to Select Poor Manganese Iron Ore. Mod. Metall. 2013, 41, 22–27. [Google Scholar]
- You, Z.; Li, G.; Peng, Z.; Qin, L.; Zhang, Y.; Jiang, T. Reductive roasting of iron-rich manganese oxide ore with elemental sulfur for selective manganese extraction. J. Min. Metall. Sect. B Metall. 2017, 53, 115–122. [Google Scholar] [CrossRef]
- Yuan, S.; Wang, R.; Gao, P.; Han, Y.; Li, Y. Suspension magnetization roasting on waste ferromanganese ore: A semi-industrial test for efficient recycling of value minerals. Powder Technol. 2022, 396, 80–91. [Google Scholar] [CrossRef]
- Wang, R.; Gao, P.; Yuan, S.; Li, Y.; Liu, Y.; Huang, C. Precise regulation of the phase transformation for pyrolusite during the reduction roasting process. Int. J. Miner. Metall. Mater. 2024, 31, 81–90. [Google Scholar] [CrossRef]
- Agarwal, K.; Mandre, N.R.; Sharma, T. Dissolution Kinetics of Iron from Low-Grade Mn Ore and Optimization Using Response Surface Methodology. Trans. Indian Inst. Met. 2017, 71, 589–596. [Google Scholar] [CrossRef]
- Zhang, Y.B.; You, Z.X.; Li, G.H.; Jiang, T. Manganese extraction by sulfur-based reduction roasting–acid leaching from low-grade manganese oxide ores. Hydrometallurgy 2013, 133, 126–132. [Google Scholar] [CrossRef]
- Su, H.F.; Wen, Y.X.; Wang, F.; Sun, Y.Y.; Tong, Z.F. Reductive leaching of manganese from low-grade manganese ore in H2SO4 using cane molasses as reductant. Hydrometallurgy 2008, 93, 136–139. [Google Scholar] [CrossRef]
- Senanayake, G. A mixed surface reaction kinetic model for the reductive leaching of manganese dioxide with acidic sulfur dioxide. Hydrometallurgy 2004, 73, 215–224. [Google Scholar] [CrossRef]
- Sahoo, R.N.; Naik, P.K.; Das, S.C. Leaching of manganese from low-grade manganese ore using oxalic acid as reductant in sulphuric acid solution. Hydrometallurgy 2001, 62, 157–163. [Google Scholar] [CrossRef]
- Pagnanelli, F.; Furlani, G.; Valentini, P.; Vegliò, F.; Toro, L. Leaching of low-grade manganese ores by using nitric acid and glucose: Optimization of the operating conditions. Hydrometallurgy 2004, 75, 157–167. [Google Scholar] [CrossRef]
- Li, C.-x.; Zhong, H.; Wang, S.; Xue, J.-r.; Wu, F.-f.; Zhang, Z.-y. Manganese extraction by reduction–acid leaching from low-grade manganese oxide ores using CaS as reductant. Trans. Nonferrous Met. Soc. China 2015, 25, 1677–1684. [Google Scholar] [CrossRef]
- Ismail, A.A.; Ali, E.A.; Ibrahim, I.A.; Ahmed, M.S. A Comparative Study on Acid Leaching of Low Grade Manganese Ore Using Some Industrial Wastes as Reductants. Can. J. Chem. Eng. 2008, 82, 1296–1300. [Google Scholar] [CrossRef]
- El Hazek, M.N.; Lasheen, T.A.; Helal, A.S. Reductive leaching of manganese from low grade Sinai ore in HCl using H2O2 as reductant. Hydrometallurgy 2006, 84, 187–191. [Google Scholar] [CrossRef]
- Wen, J.; Jiang, T.; Wang, J.-P.; Lu, L.-G.; Sun, H.-Y. Cleaner extraction of vanadium from vanadium-chromium slag based on MnO2 roasting and manganese recycle. J. Clean. Prod. 2020, 261, 121205. [Google Scholar] [CrossRef]
- Wen, J.; Jiang, T.; Wang, J.-P.; Gao, H.-Y.; Lu, L.-G. An efficient utilization of high chromium vanadium slag: Extraction of vanadium based on manganese carbonate roasting and detoxification processing of chromium-containing tailings. J. Hazard. Mater. 2019, 378, 120733. [Google Scholar] [CrossRef] [PubMed]
- Li, F.F.; Wen, J.; Jiang, T.; Li, C.Q.; Xiao, H. Study on leaching behavior of vanadium in acid leaching process of calcium and manganese vanadate system. Iron Steel Vanadium Titan. 2024, 45, 16–24. [Google Scholar]
- Gao, H.Y. Separation of Vanadium and Chromium and Resource Utilization of Tailings in Microwave Calcification Roasting Acid Leaching Process of Chromium Containing Vanadium Slag; Northeastern University: Shenyang, China, 2020. [Google Scholar]
- Wen, J. Selective Separation, Extraction of Multi-mineral Components and Resource Utilization with Vanadium Chromium Slag; Northeastern University: Shenyang, China, 2021. [Google Scholar]
- Li, H.Y.; Wang, C.J.; Yuan, Y.H.; Guo, Y.; Diao, J.; Xie, B. Magnesiation roasting-acid leaching: A zero-discharge method for vanadium extraction from vanadium slag. J. Clean. Prod. 2020, 260, 121091. [Google Scholar] [CrossRef]
- Momade, F.W.Y.; Momade, Z.G. Reductive leaching of manganese oxide ore in aqueous ethanol–sulphuric acid medium. Hydrometallurgy 1999, 51, 103–113. [Google Scholar] [CrossRef]
- Naik, P.K.; Sukla, L.B.; Das, S.C. Aqueous SO leaching studies on Nishikhal manganese ore through factorial experiment. Hydrometallurgy 2000, 54, 217–228. [Google Scholar] [CrossRef]
- Deng, L.; Qu, B.; Su, S.; Ding, S.; Sun, W. Study on separation of Manganese from lron in High-lron Pyrolusite Oreby Leaching with simulated Flue Gas. J. Chem. Eng. Jpn. 2017, 50, 892–899. [Google Scholar] [CrossRef]
- Naik, P.; Nathsarma, K.; Das, S.; Misra, V. Leaching of low grade Joda manganese ore with sulphur dioxide inaqueous medium. Trans. Inst. Min. Metall. Sect. C 2003, 112, C131–C134. [Google Scholar]
- Ali, S.; Iqbal, Y.; Ahmad, K.; Afridi, B. Phase, Microstructure and Beneficiation of Manganese Ore by Acid Leaching. J. Miner. Mater. Charact. Eng. 2018, 6, 60–71. [Google Scholar] [CrossRef][Green Version]
- Nayl, A.A.; Ismail, I.M.; Aly, H.F. Recovery of pure MnSO4∙H2O by reductive leaching of manganese from pyrolusite ore by sulfuric acid and hydrogen peroxide. Int. J. Miner. Process. 2011, 100, 116–123. [Google Scholar] [CrossRef]












| Variables During Roasting | n(MnO2)/n(V2O5) | Roasting Temperature (°C) | Holding Time (min) | Heating Rate (°C/min) |
|---|---|---|---|---|
| Experimental parameters | 0; 0.5; 1; 1.5; 1.75; 2; 2.15; 2.25; 2.35; 2.5; 3 | 300; 400; 500; 600; 700; 800; 850; 900; 950 | 180 | 5 |
| Compositions | MnO2 | Fe2O3 | SiO2 | Al2O3 | Total |
|---|---|---|---|---|---|
| Fe-Mn ore | 26.97 | 66.27 | 4.63 | 1.69 | 99.56 |
| Compositions | TMn | TFe | Fe2O3 | MnO2 | SiO2 | Al2O3 | V2O5 | Total |
|---|---|---|---|---|---|---|---|---|
| V and Fe tailing | 2.67 | 44.01 | 62.88 | 4.22 | 4.73 | 1.57 | 19.01 | 92.41 |
| Compositions | TMn | TFe | Fe2O3 | MnO2 | SiO2 | Al2O3 | V2O5 | Na2O | Total |
|---|---|---|---|---|---|---|---|---|---|
| Fe tailing | 4.39 | 57.21 | 81.73 | 6.94 | 5.15 | 1.82 | 0.50 | 0.067 | 96.21 |
| Iron concentrate standard | - | ≥55 (H55) | - | - | ≤12 (I class) | - | - | ≤0.25 |
Disclaimer/Publisher’s Note: The statements, opinions and data contained in all publications are solely those of the individual author(s) and contributor(s) and not of MDPI and/or the editor(s). MDPI and/or the editor(s) disclaim responsibility for any injury to people or property resulting from any ideas, methods, instructions or products referred to in the content. |
© 2025 by the authors. Licensee MDPI, Basel, Switzerland. This article is an open access article distributed under the terms and conditions of the Creative Commons Attribution (CC BY) license (https://creativecommons.org/licenses/by/4.0/).
Share and Cite
Wen, J.; Liu, X.; Yuan, S.; Yu, T.; Zhang, L.; Jiang, T.; Li, J. New Insight into a Green Process for Iron Manganese Ore Utilization: Efficient Separation of Manganese and Iron Based on Phase Reconstruction by Vanadium Recycle. Materials 2025, 18, 844. https://doi.org/10.3390/ma18040844
Wen J, Liu X, Yuan S, Yu T, Zhang L, Jiang T, Li J. New Insight into a Green Process for Iron Manganese Ore Utilization: Efficient Separation of Manganese and Iron Based on Phase Reconstruction by Vanadium Recycle. Materials. 2025; 18(4):844. https://doi.org/10.3390/ma18040844
Chicago/Turabian StyleWen, Jing, Xinyu Liu, Shuai Yuan, Tangxia Yu, Lan Zhang, Tao Jiang, and Jingwei Li. 2025. "New Insight into a Green Process for Iron Manganese Ore Utilization: Efficient Separation of Manganese and Iron Based on Phase Reconstruction by Vanadium Recycle" Materials 18, no. 4: 844. https://doi.org/10.3390/ma18040844
APA StyleWen, J., Liu, X., Yuan, S., Yu, T., Zhang, L., Jiang, T., & Li, J. (2025). New Insight into a Green Process for Iron Manganese Ore Utilization: Efficient Separation of Manganese and Iron Based on Phase Reconstruction by Vanadium Recycle. Materials, 18(4), 844. https://doi.org/10.3390/ma18040844

