Improvement of the Wear and Corrosion Resistance of CrSiN Films on ZE52 Magnesium Alloy Through the DC Magnetron Sputtering Process
Abstract
1. Introduction
2. Experimental Procedures and Methods
2.1. Substrate Preparation and Deposition Parameters
2.2. Characterization of CrSiN Coatings
3. Results and Discussion
3.1. The Microstructure and Morphology of CrSiN Films Under Different Substrate Bias Voltage
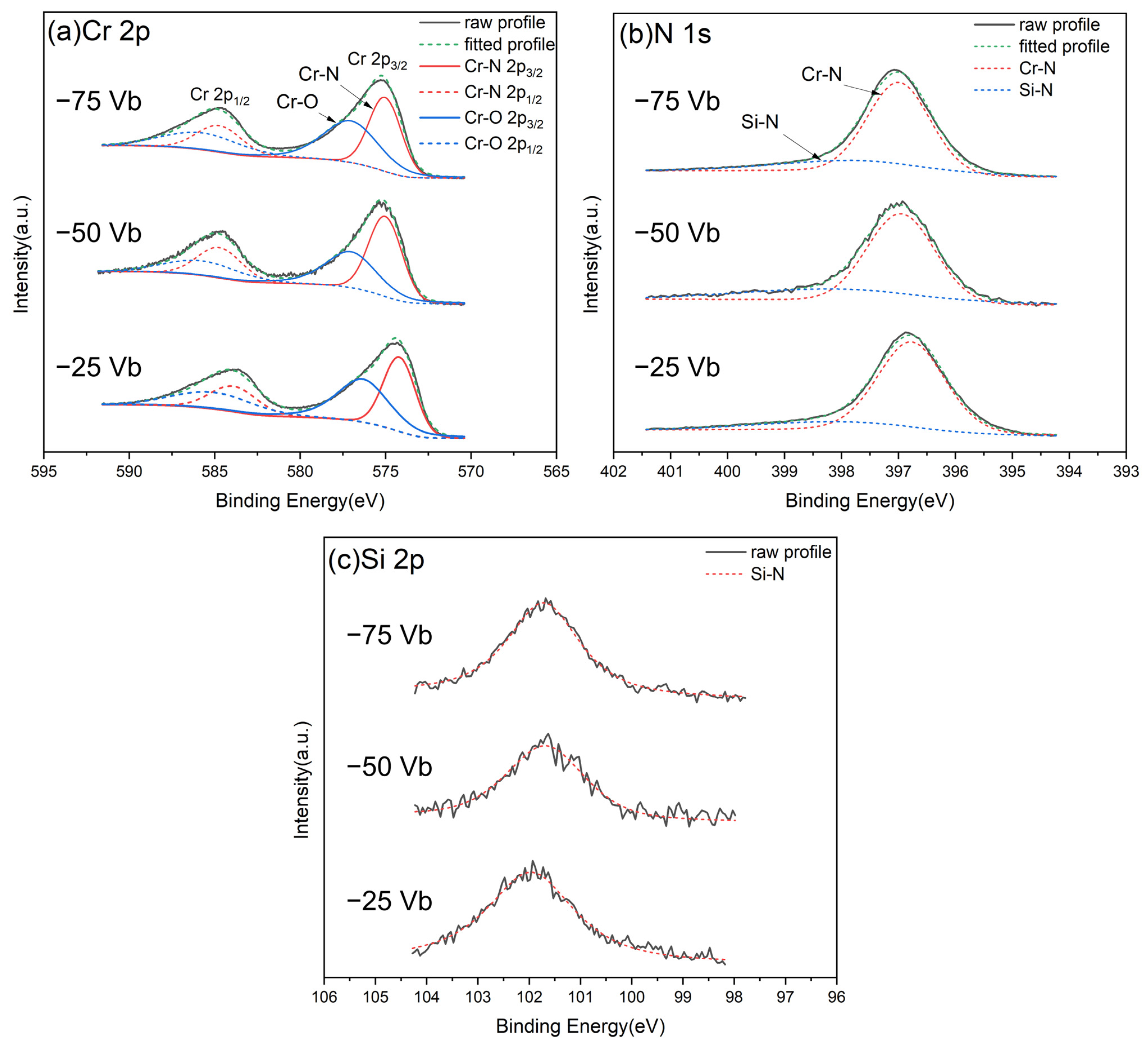
3.2. The Chemical Compositions and Bonding State of CrSiN Films Under Different Substrate Bias Voltages
3.3. TEM Observation of CrSiN Films Under Different Substrate Bias Voltages
3.4. Mechanical and Wear Properties of CrSiN Films Under Different Substrate Bias Voltages
3.4.1. Nano-Indentation Test of CrSiN Films
3.4.2. The Micro-Scratch Test of CrSiN Films
3.4.3. Friction and Wearing Properties
3.5. Corrosion Properties of CrSiN Coatings
4. Conclusions
- An increase in the substrate bias voltage from −25 V to −50 V resulted in a refinement of the CrSiN film’s columnar grain structure, leading to a denser and smoother surface. However, an excessive bias voltage of −75 V introduced defects and increased roughness.
- The CrSiN films deposited at −50 V exhibited the highest hardness (16.5 GPa) and elastic modulus (187.4 GPa), providing the best mechanical strength and resistance to plastic deformation. In comparison, the CrN PVD coatings on AZ31hp magnesium alloys, as reported by Hollstein et al. [19], exhibited a hardness of approximately 12 GPa. This indicates that, when applied to magnesium alloys, CrSiN coatings offer superior mechanical properties compared to CrN coatings, showcasing their potential for enhanced performance.
- The −50 V CrSiN films demonstrated the lowest wear rate and friction coefficient under both 2 N and 4 N loads, outperforming other conditions and the bare ZE52 substrate. Conversely, the −75 V films exhibited inferior wear resistance due to poor adhesion.
- The electrochemical tests demonstrated that the −50 V CrSiN films markedly enhanced the corrosion resistance of the ZE52 alloy, resulting in a markedly lower corrosion current density (1.2255 × 10−6 A/cm2) and a markedly higher polarization resistance (Rp = 1271.4 Ω·cm2), which was approximately three times greater than that of the bare substrate.
Author Contributions
Funding
Institutional Review Board Statement
Informed Consent Statement
Data Availability Statement
Acknowledgments
Conflicts of Interest
References
- Kleiner, M.; Geiger, M.; Klaus, A. Manufacturing of lightweight components by metal forming. CIRP Ann. 2003, 52, 521–542. [Google Scholar] [CrossRef]
- Xu, T.; Yang, Y.; Peng, X.; Song, J.; Pan, F. Overview of advancement and development trend on magnesium alloy. J. Magnes. Alloys 2019, 7, 536–544. [Google Scholar] [CrossRef]
- Yang, Y.; Xiong, X.; Chen, J.; Peng, X.; Chen, D.; Pan, F. Research advances in magnesium and magnesium alloys worldwide in 2020. J. Magnes. Alloys 2021, 9, 705–747. [Google Scholar] [CrossRef]
- Gusieva, K.; Davies, C.H.J.; Scully, J.R.; Birbilis, N. Corrosion of magnesium alloys: The role of alloying. Int. Mater. Rev. 2015, 60, 169–194. [Google Scholar] [CrossRef]
- Ramesh, S.; Anne, G.; Nayaka, H.S.; Sahu, S.; Ramesh, M.R. Investigation of dry sliding wear properties of multi-directional forged Mg-Zn alloys. J. Magnes. Alloys 2019, 7, 444–455. [Google Scholar] [CrossRef]
- Majumdar, J.D.; Galun, R.; Mordike, B.L.; Manna, I. Effect of laser surface melting on corrosion and wear resistance of a commercial magnesium alloy. Mater. Sci. Eng. A 2003, 361, 119–129. [Google Scholar] [CrossRef]
- Li, Q.; Wang, Q.; Wang, Y.; Zeng, X.; Ding, W. Effect of Nd and Y addition on microstructure and mechanical properties of as-cast Mg-Zn-Zr alloy. J. Alloys Compd. 2007, 427, 115–123. [Google Scholar] [CrossRef]
- Zhang, X.; Li, Y.J.; Zhang, K.; Wang, C.S.; Li, H.W.; Ma, M.L.; Zhang, B.D. Corrosion and electrochemical behavior of Mg-Y alloys in 3.5% NaCl solution. Trans. Nonferrous Met. Soc. China 2013, 23, 1226–1236. [Google Scholar] [CrossRef]
- Meng, J.; Sun, W.; Tian, Z.; Qiu, X.; Zhang, D. Corrosion performance of magnesium (Mg) alloys containing rare-earth (RE) elements. In Corrosion Prevention of Magnesium Alloys; Woodhead Publishing: Sawston, UK, 2013; pp. 38–60. [Google Scholar] [CrossRef]
- Boby, A.; Srinivasan, A.; Pillai, U.T.S.; Pai, B.C. Mechanical characterization and corrosion behavior of newly designed Sn and Y added AZ91 alloy. Mater. Des. 2015, 88, 871–879. [Google Scholar] [CrossRef]
- Daroonparvar, M.; Yajid, M.A.M.; Yusof, N.M.; Bakhsheshi-Rad, H.R.; Hamzah, E.; Kamali, H.A. Microstructural characterization and corrosion resistance evaluation of nanostructured Al and Al/AlCr coated Mg-Zn-Ce-La alloy. J. Alloys Compd. 2014, 615, 657–671. [Google Scholar] [CrossRef]
- Zhang, X.; Zhang, K.; Li, X.G.; Deng, D.; Li, H.W.; Zhang, B.D.; Wang, C.S. Comparative study on corrosion behavior of as-cast and extruded Mg-5Y-7Gd-1Nd-0.5 Zr alloy in 5% NaCl aqueous solution. Trans. Nonferrous Met. Soc. China 2012, 22, 1018–1027. [Google Scholar] [CrossRef]
- Herrera-Solaz, V.; Hidalgo-Manrique, P.; Pérez-Prado, M.T.; Letzig, D.; Llorca, J.; Segurado, J. Effect of rare earth additions on the critical resolved shear stresses of magnesium alloys. Mater. Lett. 2014, 128, 199–203. [Google Scholar] [CrossRef]
- Shi, D.F.; Pérez-Prado, M.T.; Cepeda-Jiménez, C.M. Effect of solutes on strength and ductility of Mg alloys. Acta Mater. 2019, 180, 218–230. [Google Scholar] [CrossRef]
- Zhu, T.; Sun, J.; Cui, C.; Wu, R.; Betsofen, S.; Leng, Z.; Zhang, J.; Zhang, M. Influence of Y and Nd on microstructure, texture and anisotropy of Mg-5Li-1Al alloy. Mater. Sci. Eng. A 2014, 600, 1–7. [Google Scholar] [CrossRef]
- Liu, S.J.; Yang, G.Y.; Luo, S.F.; Jie, W.Q. Microstructure and mechanical properties of sand mold cast Mg-4.58 Zn-2.6 Gd-0.18 Zr magnesium alloy after different heat treatments. J. Alloys Compd. 2015, 644, 846–853. [Google Scholar] [CrossRef]
- Tong, G.D.; Liu, H.F.; Liu, Y.H. Effect of rare earth additions on microstructure and mechanical properties of AZ91 magnesium alloys. Trans. Nonferrous Met. Soc. China 2010, 20, s336–s340. [Google Scholar] [CrossRef]
- Zhou, H.T.; Zhang, Z.D.; Liu, C.M.; Wang, Q.W. Effect of Nd and Y on the microstructure and mechanical properties of ZK60 alloy. Mater. Sci. Eng. A 2007, 445, 1–6. [Google Scholar] [CrossRef]
- Hollstein, F.; Wiedemann, R.; Scholz, J. Characteristics of PVD-coatings on AZ31hp magnesium alloys. Surf. Coat. Technol. 2003, 162, 261–268. [Google Scholar] [CrossRef]
- Altun, H.; Sen, S. The effect of PVD coatings on the corrosion behaviour of AZ91 magnesium alloy. Mater. Des. 2006, 27, 1174–1179. [Google Scholar] [CrossRef]
- Wu, G.; Wang, X.; Ding, K.; Zhou, Y.; Zeng, X. Corrosion behavior of Ti-Al-N/Ti-Al duplex coating on AZ31 magnesium alloy in NaCl aqueous solution. Mater. Charact. 2009, 60, 803–807. [Google Scholar] [CrossRef]
- Altun, H.; Sen, S. The effect of PVD coatings on the wear behaviour of magnesium alloys. Mater. Charact. 2007, 58, 917–921. [Google Scholar] [CrossRef]
- Lin, J.; Moore, J.J.; Sproul, W.D.; Mishra, B.; Wu, Z.; Wang, J. The structure and properties of chromium nitride coatings deposited using dc, pulsed dc and modulated pulse power magnetron sputtering. Surf. Coat. Technol. 2010, 204, 2230–2239. [Google Scholar] [CrossRef]
- Cunha, L.; Andritschky, M.; Pischow, K.; Wang, Z. Microstructure of CrN coatings produced by PVD techniques. Thin Solid Film. 1999, 355, 465–471. [Google Scholar] [CrossRef]
- Olaya, J.J.; Wei, G.; Rodil, S.E.; Muhl, S.; Bhushan, B. Influence of the ion-atom flux ratio on the mechanical properties of chromium nitride thin films. Vacuum 2007, 81, 610–618. [Google Scholar] [CrossRef]
- Mansoor, N.S.; Fattah-alhosseini, A.; Elmkhah, H.; Shishehian, A. Comparison of the mechanical properties and electrochemical behavior of TiN and CrN single-layer and CrN/TiN multi-layer coatings deposited by PVD method on a dental alloy. Mater. Res. Express 2020, 6, 126433. [Google Scholar] [CrossRef]
- Khan, M.F.; Adesina, A.Y.; Gasem, Z.M. Electrochemical and electrical resistance behavior of cathodic arc PVD TiN, CrN, AlCrN, and AlTiN coatings in simulated proton exchange membrane fuel cell environment. Mater. Corros. 2019, 70, 281–292. [Google Scholar] [CrossRef]
- Grips, V.W.; Barshilia, H.C.; Selvi, V.E.; Rajam, K.S. Electrochemical behavior of single layer CrN, TiN, TiAlN coatings and nanolayered TiAlN/CrN multilayer coatings prepared by reactive direct current magnetron sputtering. Thin Solid Films 2006, 514, 204–211. [Google Scholar] [CrossRef]
- Su, Y.L.; Yao, S.H.; Leu, Z.L.; Wei, C.S.; Wu, C.T. Comparison of tribological behavior of three films—TiN, TiCN and CrN—Grown by physical vapor deposition. Wear 1997, 213, 165–174. [Google Scholar] [CrossRef]
- Broszeit, E.; Friedrich, C.; Berg, G. Deposition, properties and applications of PVD CrxN coatings. Surf. Coat. Technol. 1999, 115, 9–16. [Google Scholar] [CrossRef]
- Kao, C.M.; Lee, J.W.; Chen, H.W.; Chan, Y.C.; Duh, J.G.; Chen, S.P. Microstructures and mechanical properties evaluation of TiAlN/CrSiN multilayered thin films with different bilayer periods. Surf. Coat. Technol. 2010, 205, 1438–1443. [Google Scholar] [CrossRef]
- Kim, G.S.; Kim, S.M.; Lee, S.Y.; Lee, B.Y. Comparative studies on the thermal stability and corrosion resistance of CrN, CrSiN, and CrSiN/AlN coatings. J. Vac. Sci. Technol. A 2009, 27, 873–879. [Google Scholar] [CrossRef]
- Lee, J.W.; Tien, S.K.; Kuo, Y.C. The effects of pulse frequency and substrate bias to the mechanical properties of CrN coatings deposited by pulsed DC magnetron sputtering. Thin Solid Films 2006, 494, 161–167. [Google Scholar] [CrossRef]
- Zhang, G.; Wang, L.; Wang, S.C.; Yan, P.; Xue, Q. Structure and mechanical properties of reactive sputtering CrSiN films. Appl. Surf. Sci. 2009, 255, 4425–4429. [Google Scholar] [CrossRef]
- Shah, H.N.; Jayaganthan, R.; Kaur, D. Influence of reactive gas and temperature on structural properties of magnetron sputtered CrSiN coatings. Appl. Surf. Sci. 2011, 257, 5535–5543. [Google Scholar] [CrossRef]
- Wang, Y.X.; Zhang, S.; Lee, J.W.; Lew, W.S.; Li, B. Influence of bias voltage on the hardness and toughness of CrAlN coatings via magnetron sputtering. Surf. Coat. Technol. 2012, 206, 5103–5107. [Google Scholar] [CrossRef]
- Sandu, C.S.; Sanjinés, R.; Benkahoul, M.; Medjani, F.; Lévy, F. Formation of composite ternary nitride thin films by magnetron sputtering co-deposition. Surf. Coat. Technol. 2006, 201, 4083–4089. [Google Scholar] [CrossRef]
- Lei, S.; Zhang, Y.R.; Wang, Y.X.; Li, J.L.; Jiang, X.; Chen, J.M. Corrosion and wear behaviors of PVD CrN and CrSiN coatings in seawater. Trans. Nonferrous Met. Soc. China 2016, 26, 175–184. [Google Scholar] [CrossRef]
- Pilloud, D.; Pierson, J.F.; Marques, A.P.; Cavaleiro, A. Structural changes in Zr–Si–N films vs. their silicon content. Surf. Coat. Technol. 2004, 180, 352–356. [Google Scholar] [CrossRef]
- Diserens, M.; Patscheider, J.; Levy, F. Improving the properties of titanium nitride by incorporation of silicon. Surf. Coat. Technol. 1998, 108, 241–246. [Google Scholar] [CrossRef]
- Chang, L.C.; Liu, Y.H.; Chen, Y.I. Mechanical properties and oxidation behavior of Cr-Si-N coatings. Coatings 2019, 9, 528. [Google Scholar] [CrossRef]
- Lin, J.; Sproul, W.D.; Moore, J.J.; Wu, Z.L.; Lee, S.L. Effect of negative substrate bias voltage on the structure and properties of CrN films deposited by modulated pulsed power (MPP) magnetron sputtering. J. Phys. D Appl. Phys. 2011, 44, 425305. [Google Scholar] [CrossRef]
- Kong, Q.; Ji, L.; Li, H.; Liu, X.; Wang, Y.; Chen, J.; Zhou, H. Influence of substrate bias voltage on the microstructure and residual stress of CrN films deposited by medium frequency magnetron sputtering. Mater. Sci. Eng. B 2011, 176, 850–854. [Google Scholar] [CrossRef]
- Xiang, Y.; Zou, C. Effect of arc currents on the mechanical, high temperature oxidation and corrosion properties of CrSiN nanocomposite coatings. Coatings 2021, 12, 40. [Google Scholar] [CrossRef]
- Geng, Z.; Wang, H.; Wang, C.; Wang, L.; Zhang, G. Effect of Si content on the tribological properties of CrSiN films in air and water environments. Tribol. Int. 2014, 79, 140–150. [Google Scholar] [CrossRef]
- Vyas, A.; Aliyu, A. Structural and mechanical properties of Si-doped CrN coatings deposited by magnetron sputtering technique. Heliyon 2023, 9, e13461. [Google Scholar] [CrossRef]
- Priyadarshini, B.G.; Aich, S.; Chakraborty, M. Substrate bias voltage and deposition temperature dependence on properties of rf-magnetron sputtered titanium films on silicon (100). Bull. Mater. Sci. 2014, 37, 1691–1700. [Google Scholar] [CrossRef]
- Mandal, S. Nucleation of diamond films on heterogeneous substrates: A review. RSC Adv. 2021, 11, 10159–10182. [Google Scholar] [CrossRef]
- Wang, S.G.; Tian, E.K.; Lung, C.W. Surface energy of arbitrary crystal plane of bcc and fcc metals. J. Phys. Chem. Solids 2000, 61, 1295–1300. [Google Scholar] [CrossRef]
- Peng, X.L.; Barber, Z.H.; Clyne, T.W. Surface roughness of diamond-like carbon films prepared using various techniques. Surf. Coat. Technol. 2001, 138, 23–32. [Google Scholar] [CrossRef]
- Chang, H.W.; Huang, P.K.; Yeh, J.W.; Davison, A.; Tsau, C.H.; Yang, C.C. Influence of substrate bias, deposition temperature and post-deposition annealing on the structure and properties of multi-principal-component (AlCrMoSiTi) N coatings. Surf. Coat. Technol. 2008, 202, 3360–3366. [Google Scholar] [CrossRef]
- Greczynski, G.; Hultman, L. C 1s peak of adventitious carbon aligns to the vacuum level: Dire consequences for material’s bonding assignment by photoelectron spectroscopy. ChemPhysChem 2017, 18, 1507–1512. [Google Scholar] [CrossRef]
- Lee, H.Y.; Jung, W.S.; Han, J.G.; Seo, S.M.; Kim, J.H.; Bae, Y.H. The synthesis of CrSiN film deposited using magnetron sputtering system. Surf. Coat. Technol. 2005, 200, 1026–1030. [Google Scholar] [CrossRef]
- Wo, P.C.; Munroe, P.R.; Li, Z.; Jiang, Z.T.; Xie, Z.H.; Zhou, Z.F.; Li, K.Y. Factors governing the mechanical behaviour of CrSiN coatings: Combined nanoindentation testing and transmission electron microscopy. Mater. Sci. Eng. A 2012, 534, 297–308. [Google Scholar] [CrossRef]
- Mandrino, D.; Podgornik, B. XPS investigations of tribofilms formed on CrN coatings. Appl. Surf. Sci. 2017, 396, 554–559. [Google Scholar] [CrossRef]
- Chen, Y.I.; Lin, K.Y.; Wang, H.H.; Cheng, Y.R. Characterization of Ta-Si-N coatings prepared using direct current magnetron co-sputtering. Appl. Surf. Sci. 2014, 305, 805–816. [Google Scholar] [CrossRef]
- Choi, J.B.; Cho, K.; Lee, M.H.; Kim, K.H. Effects of Si content and free Si on oxidation behavior of Ti-Si-N coating layers. Thin Solid Films 2004, 447, 365–370. [Google Scholar] [CrossRef]
- Leyland, A.; Matthews, A. On the significance of the H/E ratio in wear control: A nanocomposite coating approach to optimised tribological behaviour. Wear 2000, 246, 1–11. [Google Scholar] [CrossRef]
- Wang, Q.; Zhou, F.; Yan, J. Evaluating mechanical properties and crack resistance of CrN, CrTiN, CrAlN and CrTiAlN coatings by nanoindentation and scratch tests. Surf. Investig. Dry Sliding Wear Prop. Multi Dir. Forged Mg-Zn Alloys Coat. Technol. 2016, 285, 203–213. [Google Scholar] [CrossRef]
- Zhang, X.; Tian, X.B.; Zhao, Z.W.; Gao, J.B.; Zhou, Y.W.; Gao, P.; Guo, Y.Y.; Lv, Z. Evaluation of the adhesion and failure mechanism of the hard CrN coatings on different substrates. Surf. Coat. Technol. 2019, 364, 135–143. [Google Scholar] [CrossRef]
- Lv, Y.; Ji, L.; Liu, X.; Li, H.; Zhou, H.; Chen, J. Influence of substrate bias voltage on structure and properties of the CrAlN films deposited by unbalanced magnetron sputtering. Appl. Surf. Sci. 2012, 258, 3864–3870. [Google Scholar] [CrossRef]
- Siddiqui, S.A.; Favaro, G.; Maros, M.B. Investigation of the damage mechanism of CrN and diamond-like carbon coatings on precipitation-hardened and duplex-treated X42Cr13/W tool steel by 3D scratch testing. J. Mater. Eng. Perform. 2022, 31, 7830–7842. [Google Scholar] [CrossRef]
- Lenz, B.; Hasselbruch, H.; Grossmann, H.; Mehner, A. Application of CNN networks for an automatic determination of critical loads in scratch tests on aC: H: W coatings. Surf. Coat. Technol. 2020, 393, 125764. [Google Scholar] [CrossRef]
- Lin, C.H.; Duh, J.G. Electrochemical impedance spectroscopy (EIS) study on corrosion performance of CrAlSiN coated steels in 3.5 wt.% NaCl solution. Surf. Coat. Technol. 2009, 204, 784–787. [Google Scholar] [CrossRef]
- Bard, A.J.; Faulkner, L.R.; White, H.S. Electrochemical Methods: Fundamentals and Applications; John Wiley & Sons: Hoboken, NJ, USA, 2022. [Google Scholar]
- Navinšek, B.; Panjan, P.; Milošev, I. Industrial applications of CrN (PVD) coatings, deposited at high and low temperatures. Surf. Coat. Technol. 1997, 97, 182–191. [Google Scholar] [CrossRef]
- Lin, K.; Chang, Y.C.; Chang, S.H.; Ma, J.L.; Lin, H.C. Improving the corrosion and wear resistance of CoCrNiSi0.3 Medium-Entropy Alloy by magnetron sputtered (CrN/Cr)x multilayer films. Surf. Coat. Technol. 2024, 478, 130407. [Google Scholar] [CrossRef]










| Sample Number | Temperature (°C) | Bias Voltage (V) | Thickness (μm) |
Ra Roughness (nm) | |
|---|---|---|---|---|---|
| CrSiN/CrSi | Total | ||||
| −25 Vb | 250 | −25 | 2.84/0.33 | 3.17 | 11.6 |
| −50 Vb | 250 | −50 | 2.62/0.32 | 2.94 | 3.95 |
| −75 Vb | 250 | −75 | 2.38/0.34 | 2.71 | 4.58 |
| Sample Number | Temperature (°C) | Bias Voltage (V) | Compositions (at%) | |||
|---|---|---|---|---|---|---|
| Cr | Si | N | O | |||
| −25 Vb | 250 | −25 | 46.92 | 5.80 | 46.6 | 0.68 |
| −50 Vb | 250 | −50 | 46.85 | 5.76 | 45.86 | 1.53 |
| −75 Vb | 250 | −75 | 45.94 | 5.69 | 45.56 | 2.81 |
| Sample Number | Hardness (GPa) | Elastic Modulus (GPa) | H/E | H3/E2 (GPa) | LC1 (N) | LC2 (N) |
|---|---|---|---|---|---|---|
| −25 Vb | 8.2 0.14 | 136.3 2.89 | 0.060 | 0.030 | 4.25 | 9.83 |
| −50 Vb | 16.5 0.13 | 187.4 2.71 | 0.088 | 0.128 | 5.12 | 10.65 |
| −75 Vb | 15.7 0.37 | 180.5 2.90 | 0.087 | 0.119 | 4.20 | 8.91 |
| 2 N | 4 N | |||||
|---|---|---|---|---|---|---|
| Volume Loss (10−1 mm3) | Wear Rate (10−5 mm3 m−1 N−1) | Wear Width (μm) | Volume Loss (10−1 mm3) | Wear Rate (10−5 mm3 m−1 N−1) | Wear Width (μm) | |
| Bare ZE52 | 3.9 | 65.9 | 1099 | 3.5 | 47.6 | 1184 |
| −25 Vb | 0.029 | 0.48 | 251 | 0.21 | 2.35 | 307 |
| −50 Vb | 0.021 | 0.35 | 244 | 0.016 | 0.22 | 280 |
| −75 Vb | 0.29 | 4.8 | 256 | 1.9 | 25.7 | 901 |
| Sample Number | Site | Compositions (at%) | ||||||||||
|---|---|---|---|---|---|---|---|---|---|---|---|---|
| O | C | W | Cr | Si | N | Mg | Zn | Y | Nd | Gd | ||
| −25 Vb | 1 | 0.30 | 0.51 | 0.00 | 0.38 | 0.06 | 0.89 | 96.37 | 1.19 | 0.24 | 0.00 | 0.05 |
| 2 | 0.42 | 0.58 | 0.22 | 44.88 | 6.01 | 47.28 | 0.36 | 0.24 | 0.00 | 0.00 | 0.00 | |
| 3 | 2.61 | 0.54 | 1.17 | 43.10 | 5.85 | 43.42 | 3.09 | 0.22 | 0.00 | 0.00 | 0.00 | |
| −50 Vb | 4 | 0.96 | 0.45 | 0.02 | 46.67 | 5.38 | 46.35 | 0.00 | 0.14 | 0.02 | 0.00 | 0.00 |
| −75 Vb | 5 | 1.26 | 0.58 | 0.01 | 0.03 | 0.02 | 0.00 | 96.58 | 1.36 | 0.12 | 0.00 | 0.00 |
| 6 | 9.07 | 2.80 | 0.02 | 0.37 | 0.06 | 0.09 | 85.26 | 1.93 | 0.30 | 0.03 | 0.08 | |
| Rp (Ω·cm2) | Icorr (A/cm2) | Ecorr (V) | |
|---|---|---|---|
| Bare ZE52 | 381.36 | 3.1324 × 10−6 | −1.447 |
| −50 Vb | 1271.4 | 1.2255 × 10−6 | −1.260 |
Disclaimer/Publisher’s Note: The statements, opinions and data contained in all publications are solely those of the individual author(s) and contributor(s) and not of MDPI and/or the editor(s). MDPI and/or the editor(s) disclaim responsibility for any injury to people or property resulting from any ideas, methods, instructions or products referred to in the content. |
© 2025 by the authors. Licensee MDPI, Basel, Switzerland. This article is an open access article distributed under the terms and conditions of the Creative Commons Attribution (CC BY) license (https://creativecommons.org/licenses/by/4.0/).
Share and Cite
Wu, H.-Y.; Yang, L.-J.; Chen, H.-J.; Chang, S.-H.; Lin, H.-C. Improvement of the Wear and Corrosion Resistance of CrSiN Films on ZE52 Magnesium Alloy Through the DC Magnetron Sputtering Process. Materials 2025, 18, 536. https://doi.org/10.3390/ma18030536
Wu H-Y, Yang L-J, Chen H-J, Chang S-H, Lin H-C. Improvement of the Wear and Corrosion Resistance of CrSiN Films on ZE52 Magnesium Alloy Through the DC Magnetron Sputtering Process. Materials. 2025; 18(3):536. https://doi.org/10.3390/ma18030536
Chicago/Turabian StyleWu, Hao-Yu, Liang-Jyun Yang, Hou-Jen Chen, Shih-Hsien Chang, and Hsin-Chih Lin. 2025. "Improvement of the Wear and Corrosion Resistance of CrSiN Films on ZE52 Magnesium Alloy Through the DC Magnetron Sputtering Process" Materials 18, no. 3: 536. https://doi.org/10.3390/ma18030536
APA StyleWu, H.-Y., Yang, L.-J., Chen, H.-J., Chang, S.-H., & Lin, H.-C. (2025). Improvement of the Wear and Corrosion Resistance of CrSiN Films on ZE52 Magnesium Alloy Through the DC Magnetron Sputtering Process. Materials, 18(3), 536. https://doi.org/10.3390/ma18030536

