Large Deflection Analysis of Bimodular Functionally Graded Truncated Thin Conical Shells Under Mechanical and Thermal Loads
Highlights
- Large deflection problem of bimodular FGM truncated thin conical shells under two load types and boundary constraints is investigated;
- An energy method established on bimodular FGM is developed to obtain variation solution;
- Bimodular functionally graded properties influence the maximum displacement and its position;
- Cone apex angle and truncated length influence the maximum displacement and its location;
- Conical shells may have positive or negative displacement under the combined loads.
Abstract
1. Introduction
2. Bimodular Functionally Graded Material Model
2.1. Constitutive Model
2.2. Non-Uniform Heat Distribution Along Thickness Direction
2.3. Position of the Neutral Layer
3. Geometric Equations of Axisymmetric Conical Shells
3.1. Coordinate Definition
3.2. Geometric Equation
4. Application of Variation Method
4.1. Basic Formulas for Strain Energy and Thermal Stress Work
4.2. Elastic Strain Energy of Conical Shell Uε
4.3. Thermal Stress Work of Conical Shell WT
4.4. Ritz Method
4.4.1. Displacement Function and Variation Equation
4.4.2. Conical Shell with Two Ends Fixed
4.4.3. Conical Shell with Two Ends Simply Supported
5. Examples and Numerical Simulation
5.1. Computational Examples
5.2. Numerical Simulation
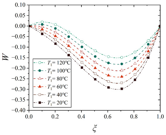
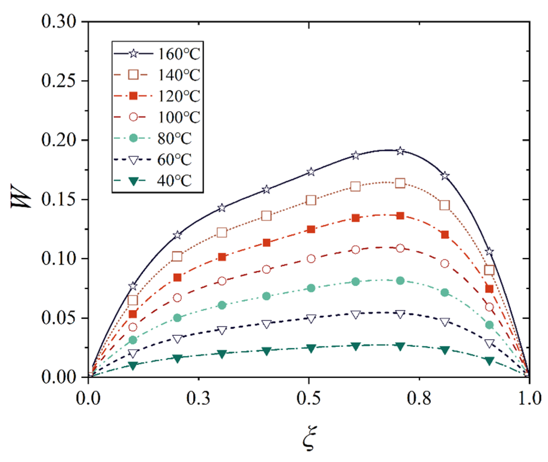
6. Results and Discussion
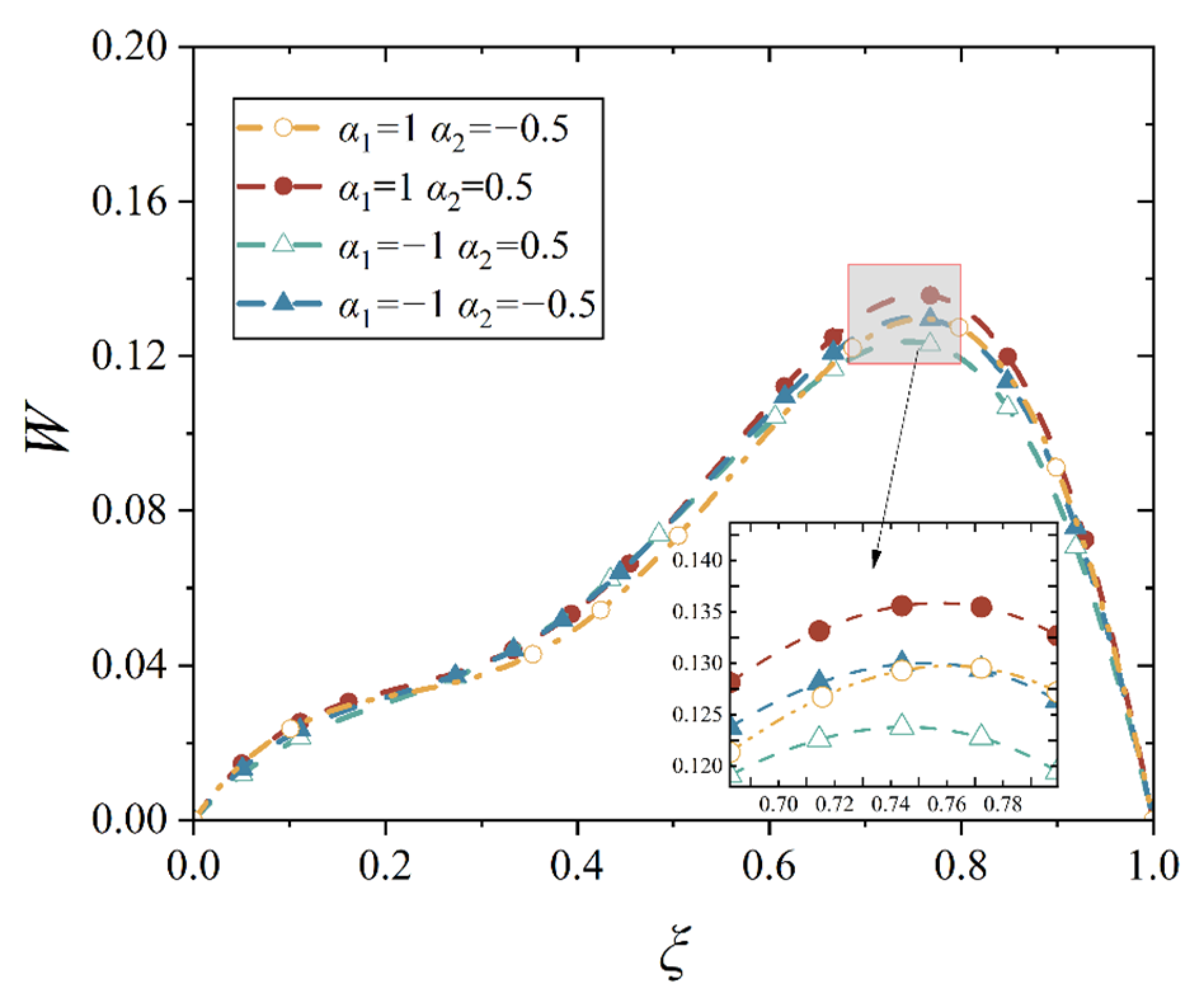
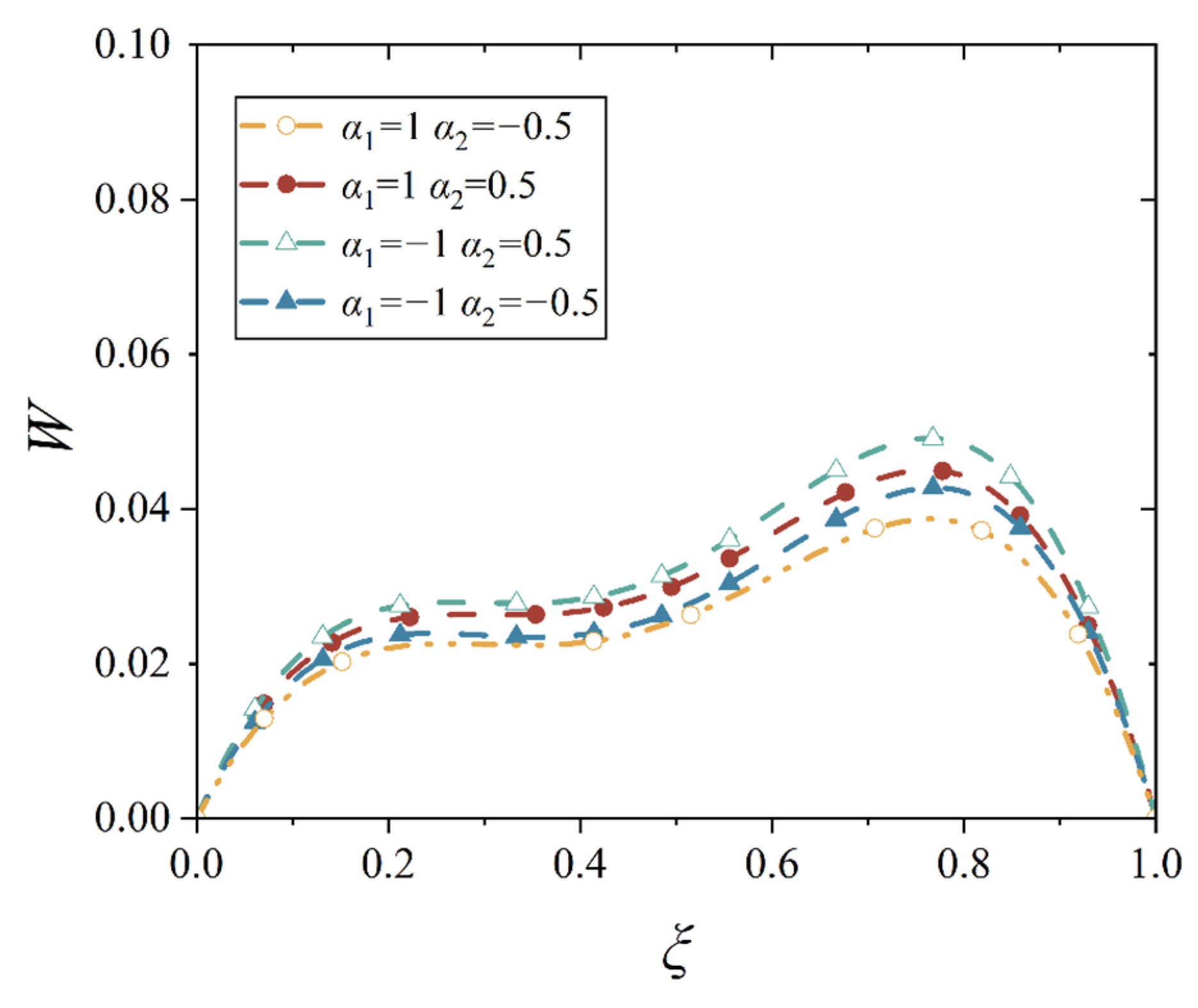
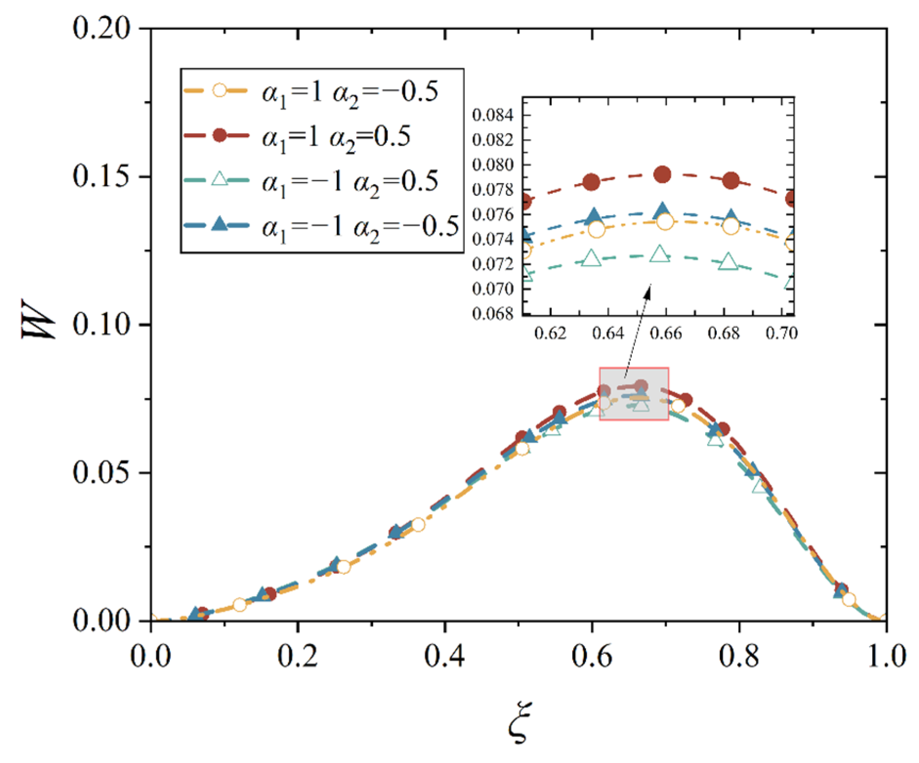
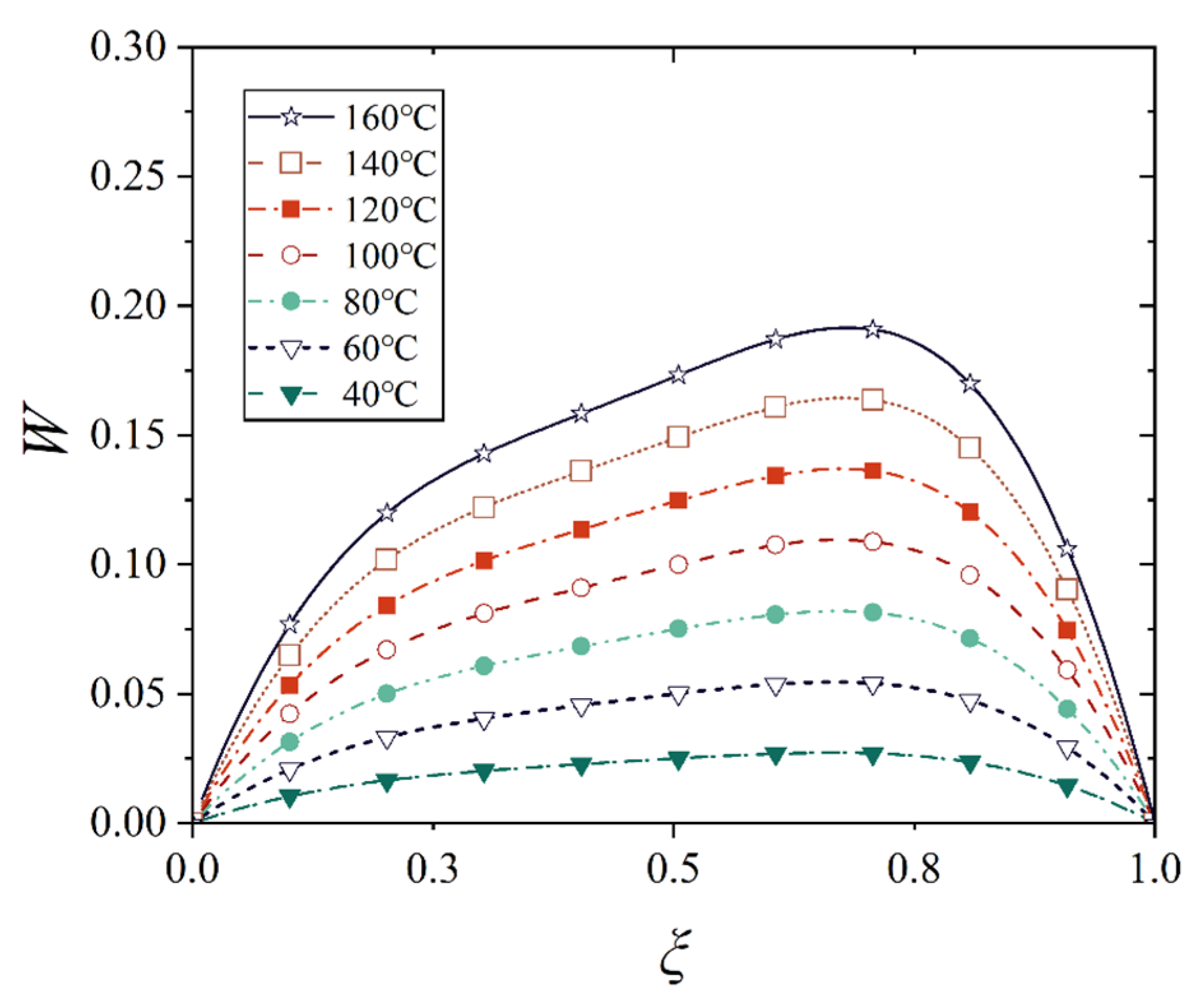
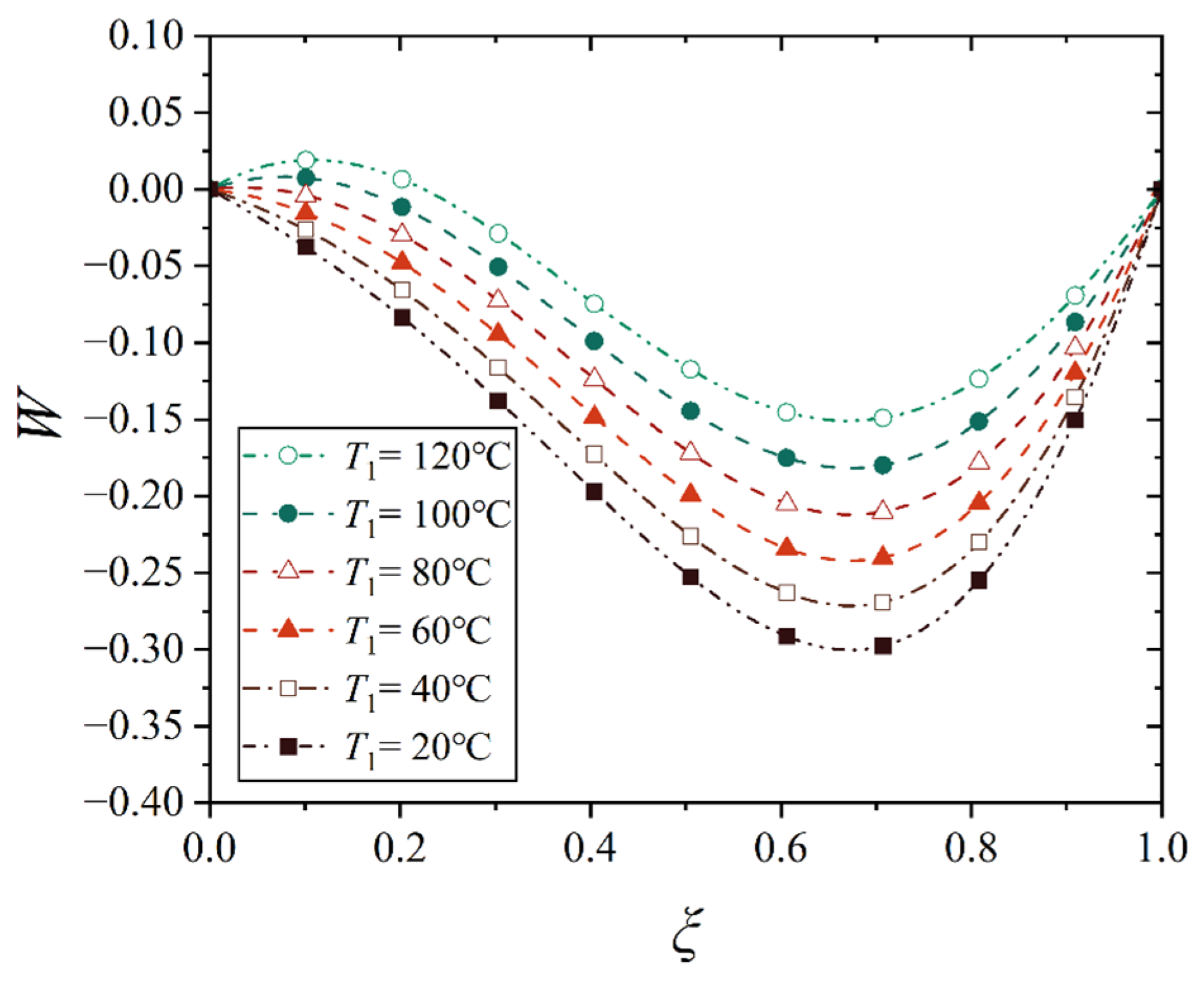
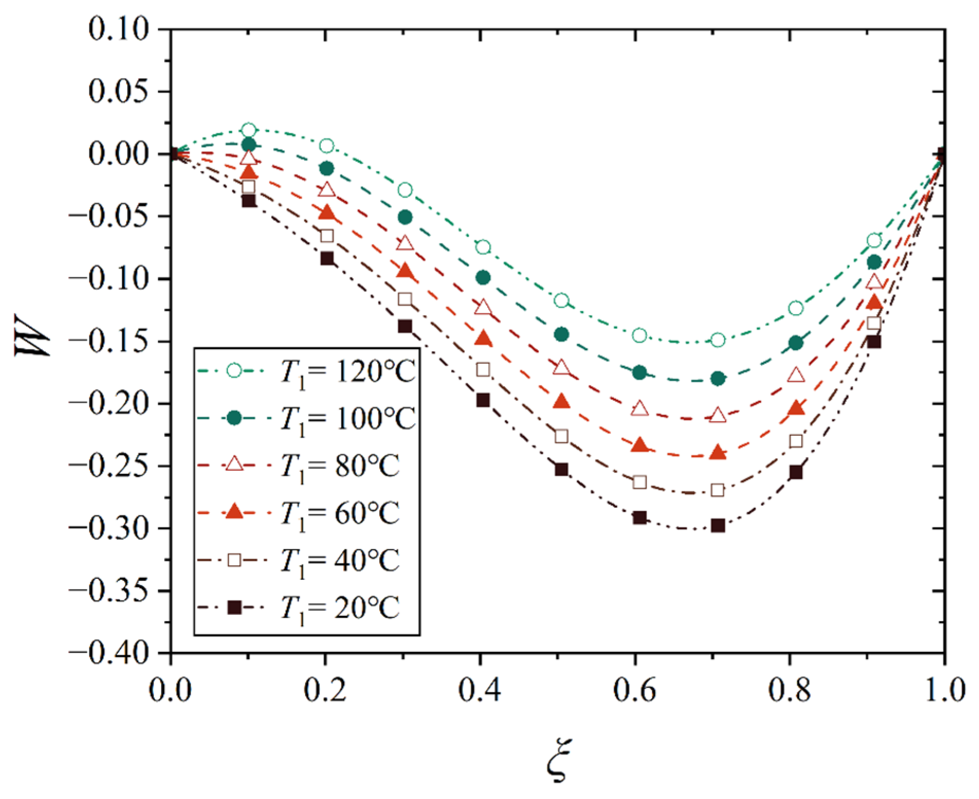
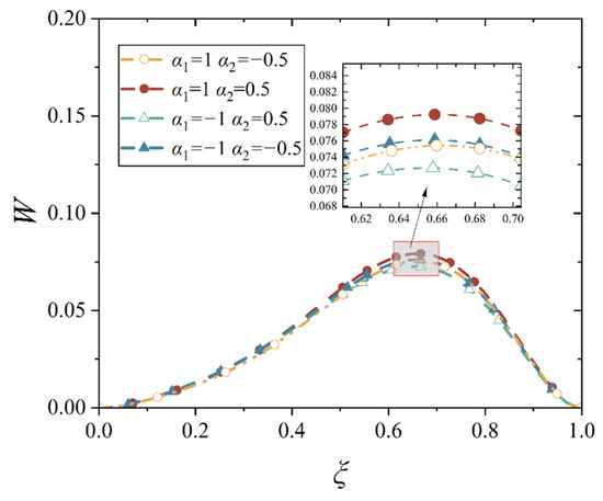
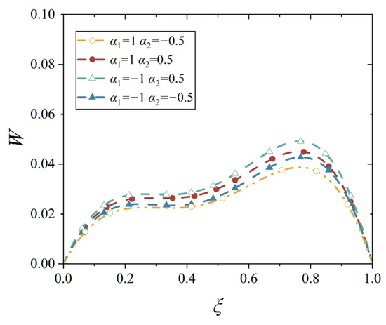
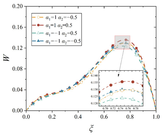
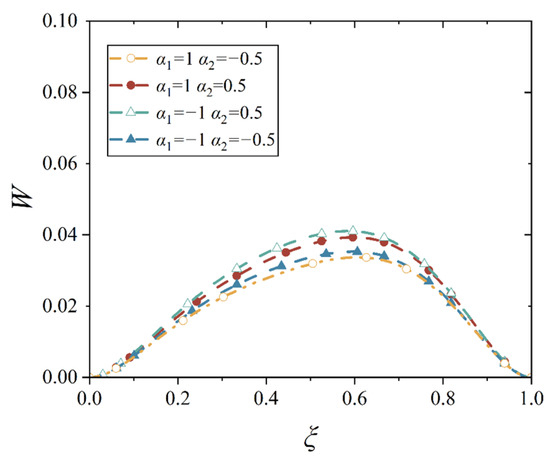
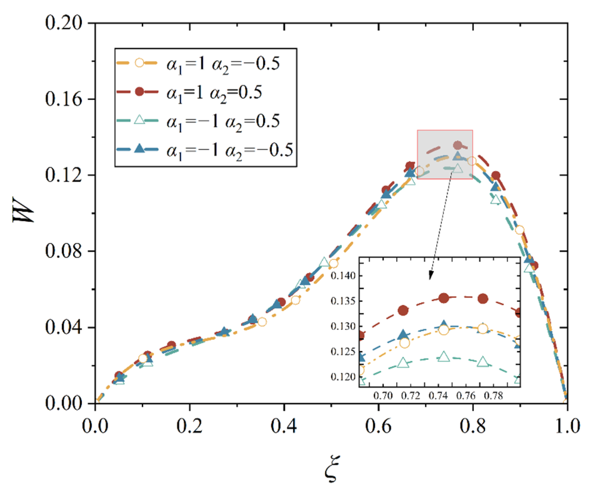
6.1. Bimodular Functionally Graded Effect on Deflection
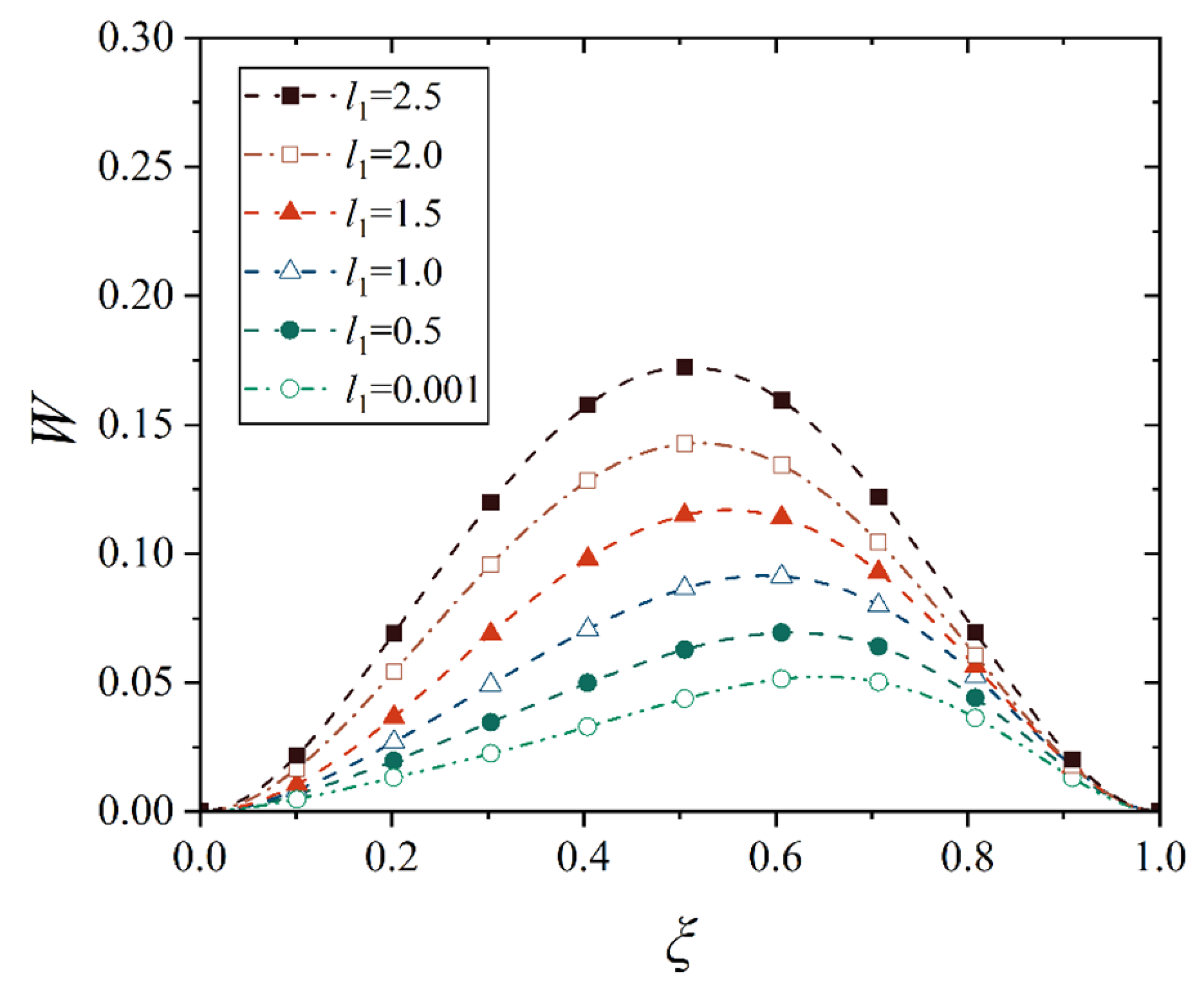
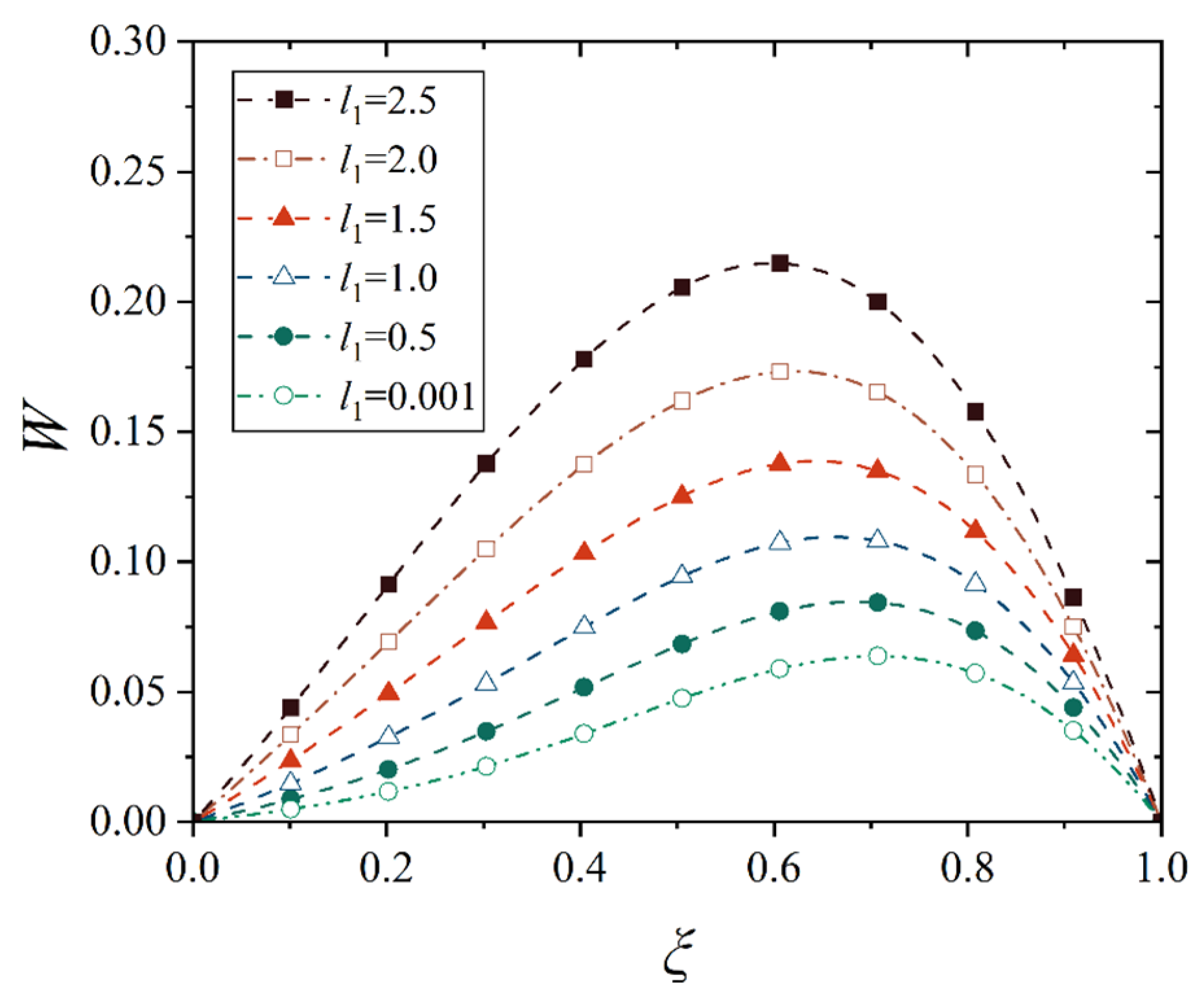
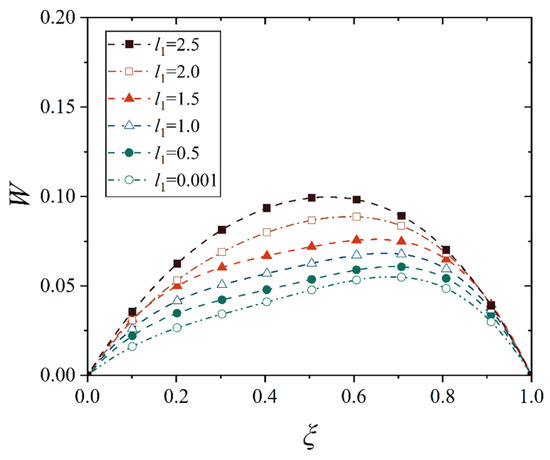
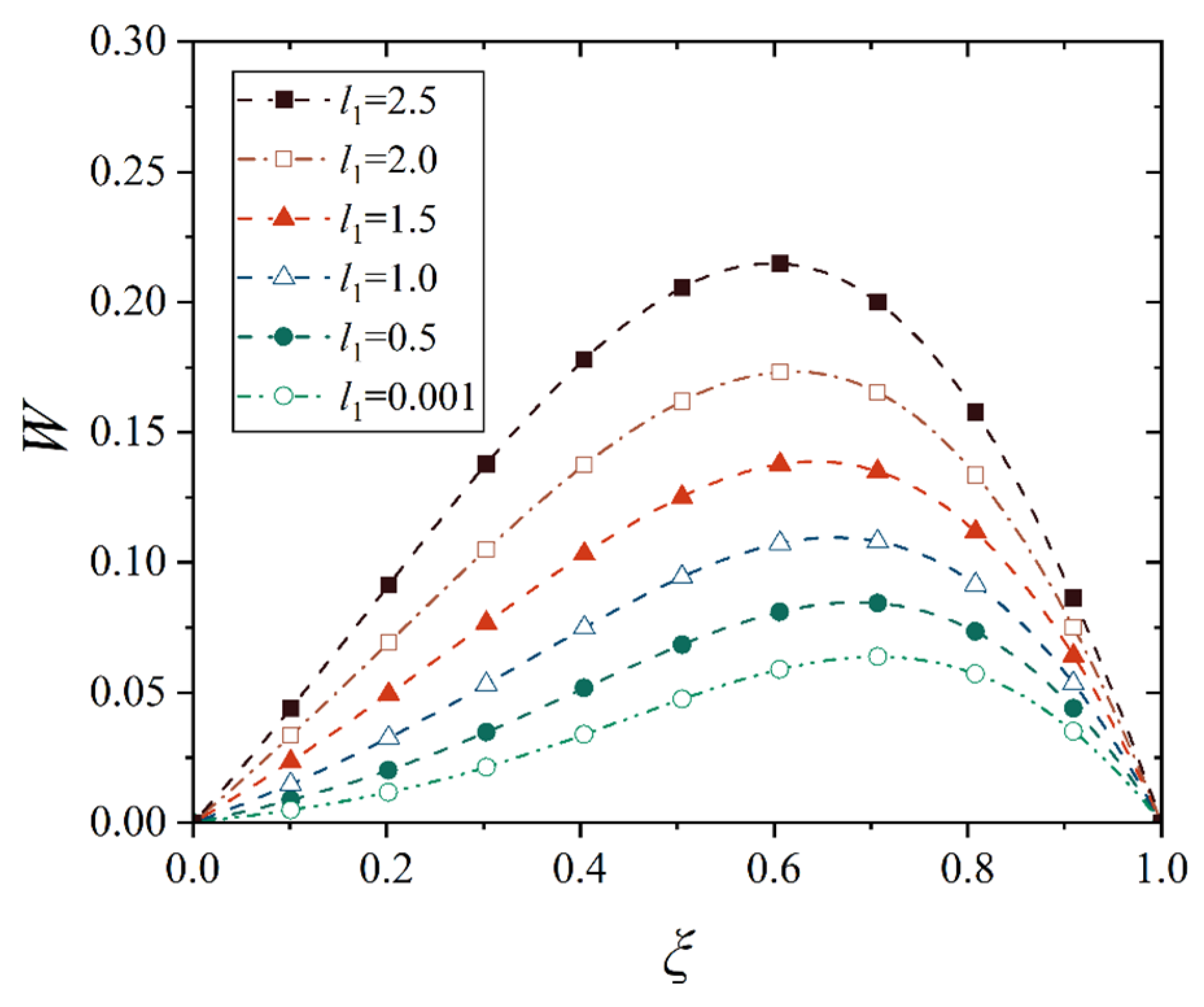
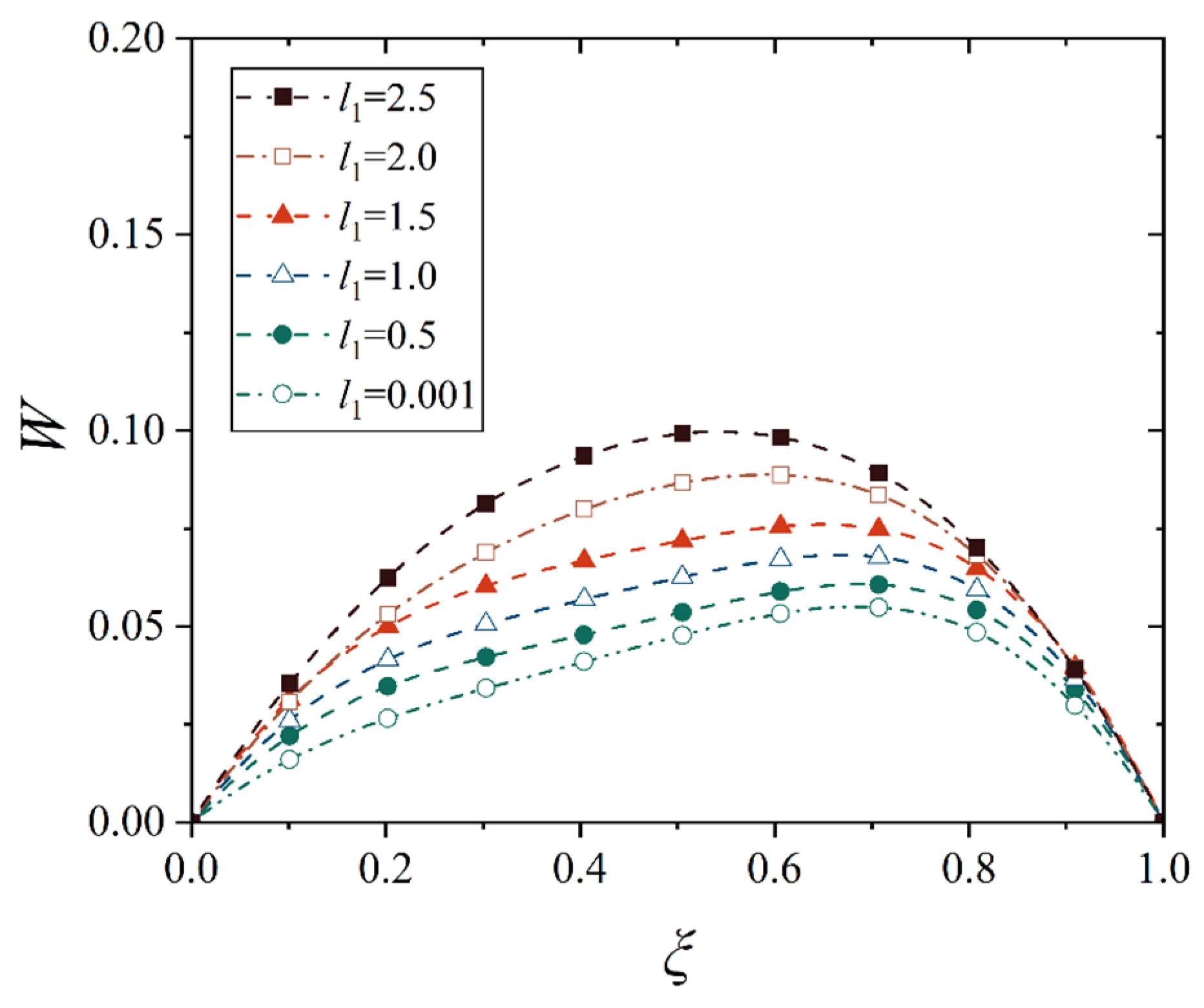
6.2. The Influence of Geometric Parameters on the Wmax Position
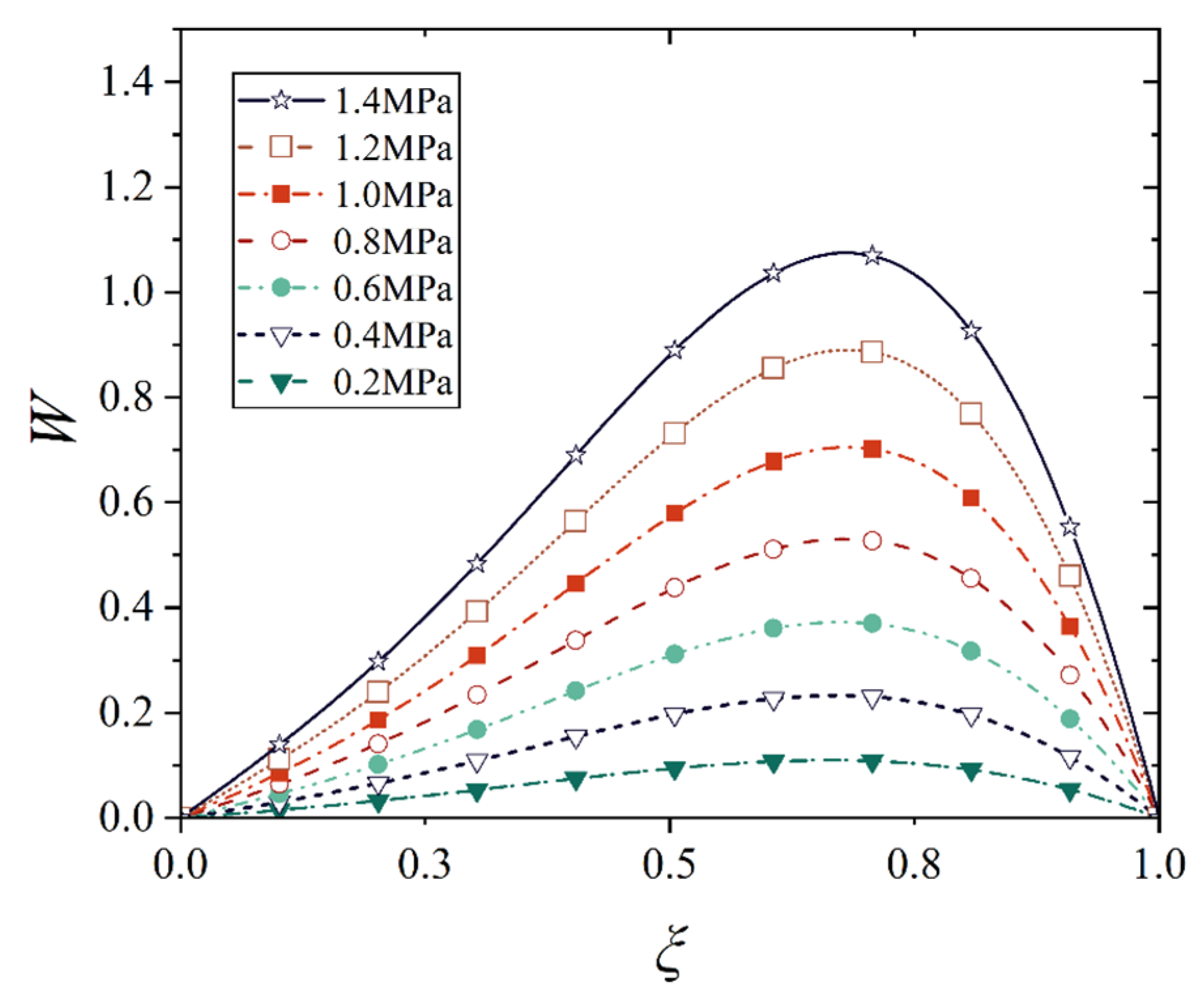
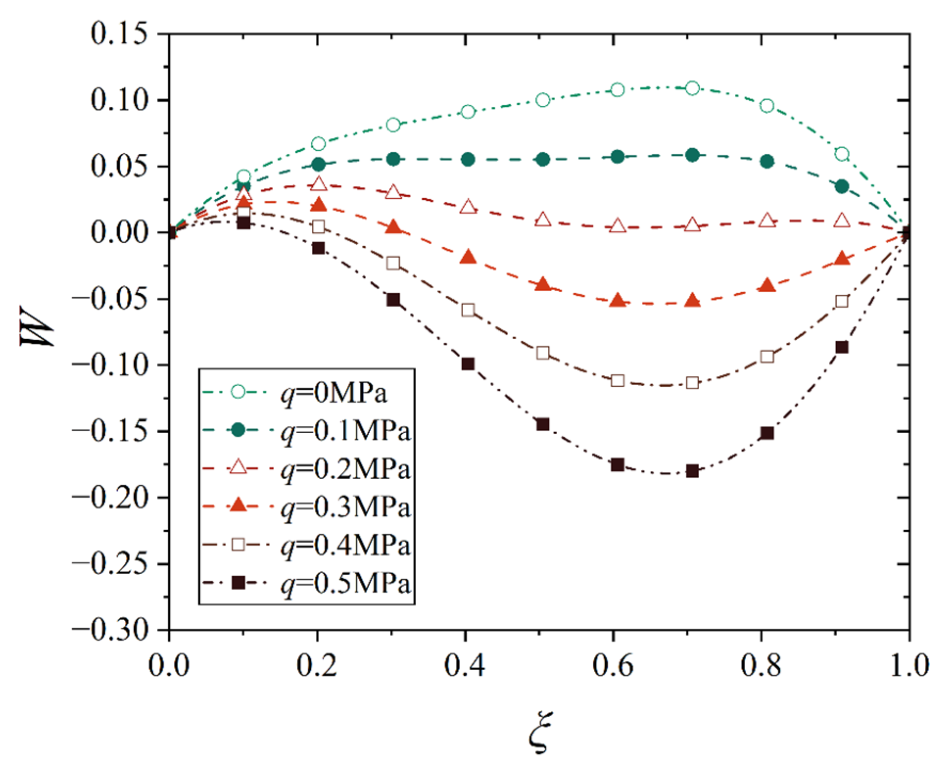
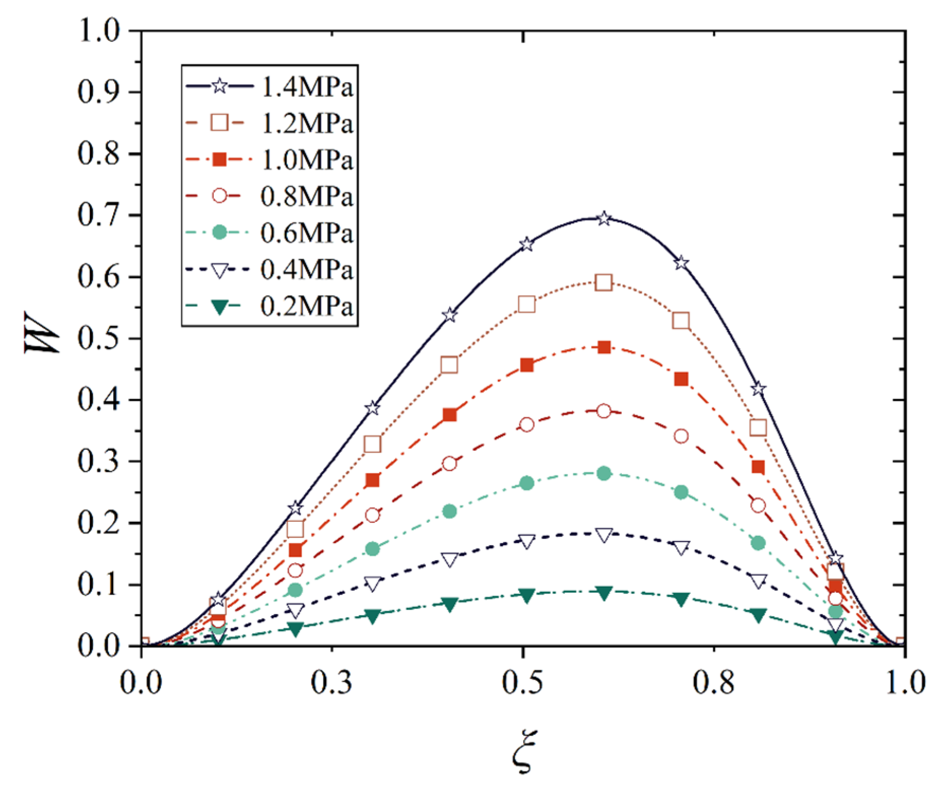
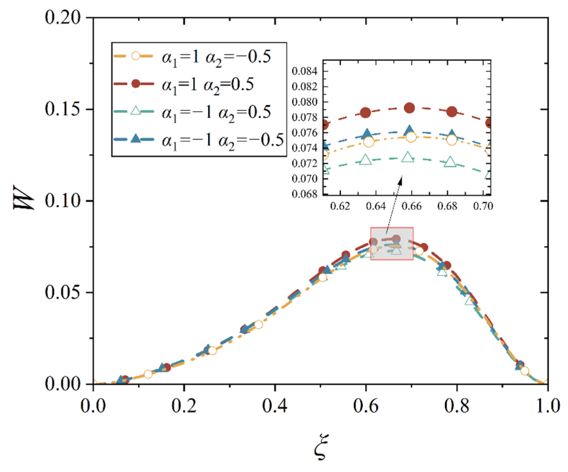
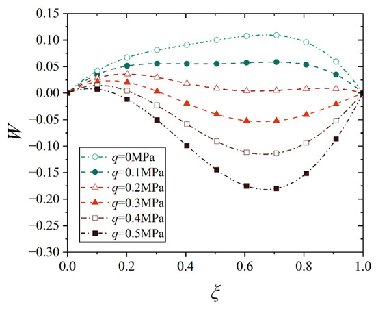
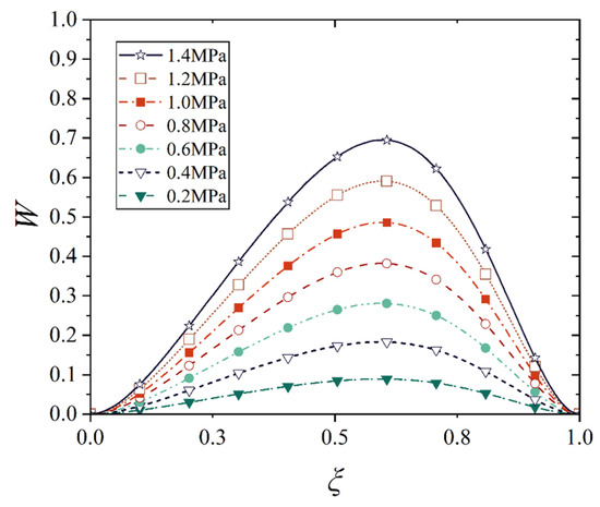
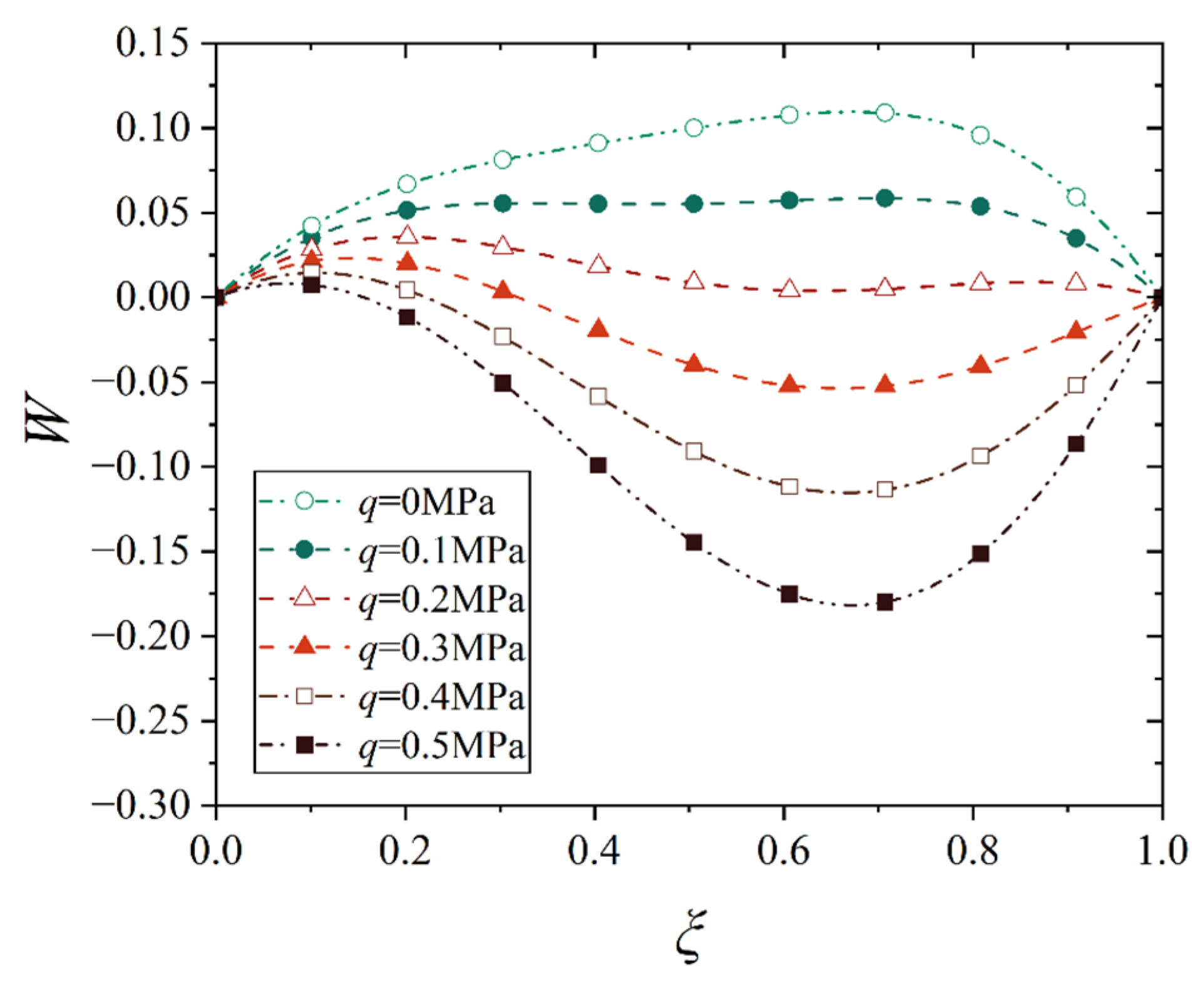
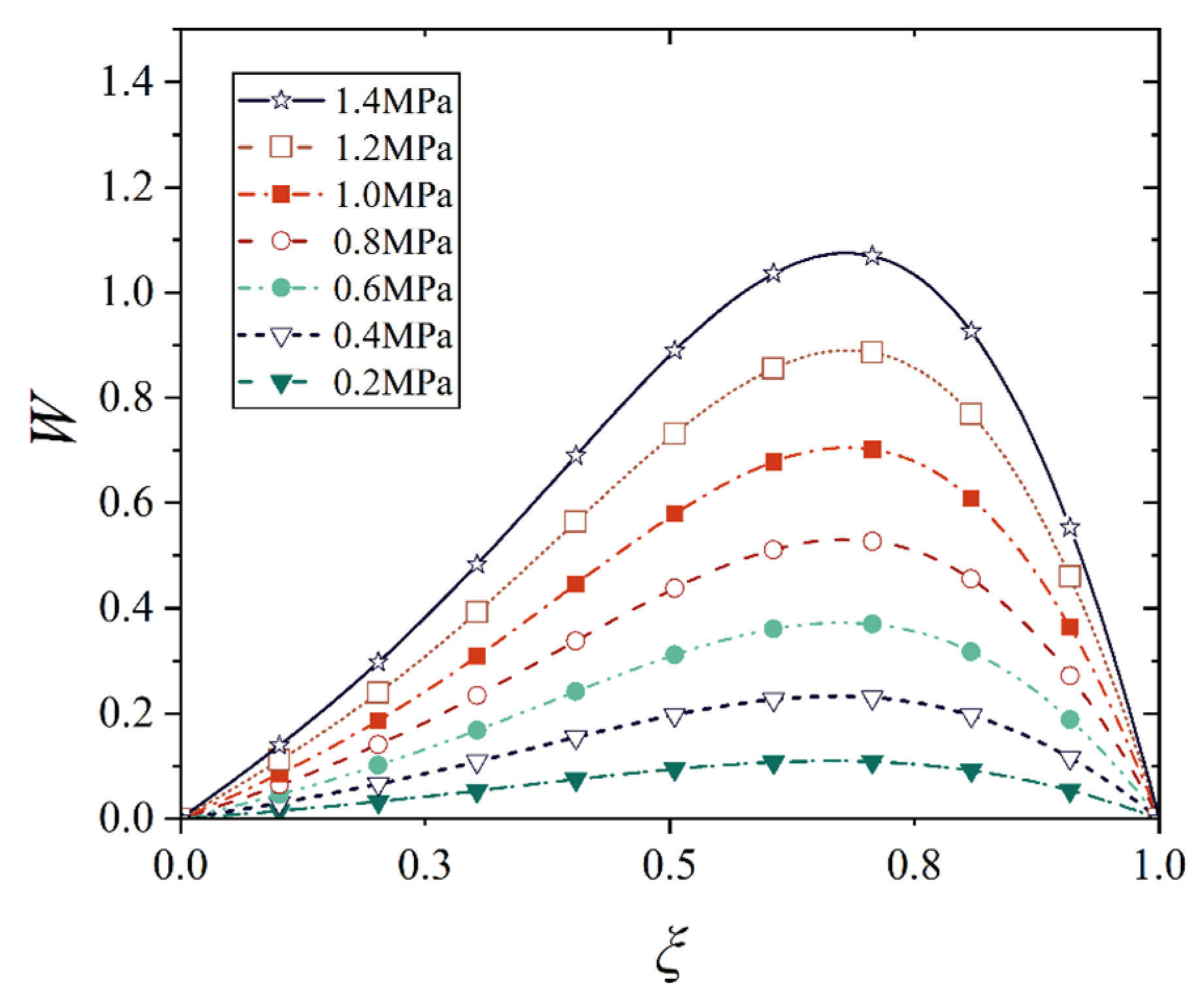
6.3. The Combined Influence of Mechanical and Thermal Loads
7. Conclusions
- The introduction of bimodular functionally graded material will affect the maximum displacement of the conical shell to a certain extent, and this effect has different rules for conical shell under mechanical load and thermal load, but keeps the same rule under different boundary constraints.
- The maximum displacement of the conical shell is closely related to the cone apex angle. For the smaller cone apex angle, the displacement is dominated by compressive stress, thus no large displacement occurs. However, high values of the cone apex angle generate more bending stress, and this generates different deflections, thus influencing the maximum displacement and its position. At the same time, the maximum displacement of simply supported conical shell is slightly larger than that of the fixed conical shell.
- With the increase in the truncated distance l1, the maximum displacement of the conical shell under two kinds of boundary constraints and two types of loads will gradually increase, and its position will also move closer to the middle of the shell. When the distance l1 is large enough, the conical shell will lose the deformation characteristics it should have, that is, the deflection at one end is smaller while the deflection at another end is larger, and the maximum deflection is close to the large end. Finally, the conical shell will have the deformation characteristics of plates or cylindrical shells.
- An external temperature rise causes the positive displacement of the conical shell, while external mechanical pressure causes the negative displacement. When the mechanical load (external pressure) and the thermal load (temperature rise) act together, part of the displacement will be offset, so that the conical shell may have positive or negative displacement at the same time.
Author Contributions
Funding
Institutional Review Board Statement
Informed Consent Statement
Data Availability Statement
Conflicts of Interest
Appendix A
Appendix B
Appendix C
| Thermal Load (°C) | Variation Solution | Finite Element Simulation | ||
|---|---|---|---|---|
| Fully Fixed | Simply Supported | Fully Fixed | Simply Supported | |
| 30 | 0.0125667 | 0.0154956 | 0.0136497 | 0.0163698 |
| 40 | 0.0255390 | 0.0310316 | 0.0274292 | 0.0328225 |
| 50 | 0.0387499 | 0.0466039 | 0.0410009 | 0.0493505 |
| 60 | 0.0521225 | 0.0621889 | 0.0549021 | 0.0659476 |
| 70 | 0.0656242 | 0.0778072 | 0.0689209 | 0.0826093 |
| 80 | 0.0792377 | 0.0933818 | 0.0830539 | 0.0993271 |
| 90 | 0.0929524 | 0.1089619 | 0.0973030 | 0.1161163 |
| 100 | 0.1067607 | 0.1245250 | 0.1116606 | 0.1329716 |
| 110 | 0.1206568 | 0.1400318 | 0.1261353 | 0.1498695 |
| 120 | 0.1346357 | 0.1557335 | 0.1422767 | 0.1668087 |
| Mechanical Load (MPa) | Variation Solution | Finite Element Simulation | ||
|---|---|---|---|---|
| Fully Fixed | Simply Supported | Fully Fixed | Simply Supported | |
| 0.1 | 0.0447111 | 0.0532963 | 0.0431253 | 0.0525356 |
| 0.2 | 0.0914913 | 0.1095889 | 0.0872441 | 0.1087107 |
| 0.3 | 0.1405517 | 0.1692484 | 0.1326811 | 0.1673154 |
| 0.4 | 0.1978796 | 0.2326697 | 0.1789938 | 0.2303863 |
| 0.5 | 0.2393931 | 0.3002344 | 0.2264006 | 0.2978788 |
| 0.6 | 0.2809066 | 0.3722855 | 0.2749376 | 0.3709397 |
| 0.7 | 0.3316193 | 0.4490180 | 0.3246377 | 0.4496797 |
| 0.8 | 0.3823320 | 0.5303973 | 0.3749333 | 0.5330559 |
| 0.9 | 0.4342266 | 0.6160686 | 0.4280871 | 0.6176847 |
| 1.0 | 0.4861212 | 0.7054740 | 0.4822724 | 0.7289896 |
References
- Teng, J.G.; Zhao, Y.; Lam, L. Techniques for buckling experiments on steel silo transition junctions. Thin-Walled Struct. 2001, 39, 685–707. [Google Scholar] [CrossRef]
- Ross, C.T.; Little, A.P.; Adeniyi, K.A. Plastic buckling of ring-stiffened conical shells under external hydrostatic pressure. Ocean Eng. 2005, 32, 21–36. [Google Scholar] [CrossRef]
- Sofiyev, A.H. Review of research on the vibration and buckling of the FGM conical shells. Compos. Struct. 2019, 211, 301–317. [Google Scholar] [CrossRef]
- Chung, Y.L.; Chang, H.X. Mechanical behavior of rectangular plates with functionally graded coefficient of thermal expansion subjected to thermal loading. J. Therm. Stress 2008, 31, 368–388. [Google Scholar] [CrossRef]
- Zhang, J.H.; Li, S.R.; Ma, L.S. Exact solution of thermoelastic bending for functionally graded truncated conical shells. Acta Mech. Sin.-PRC 2008, 40, 185–193. [Google Scholar]
- Bakshi, K.; Chakravorty, D. Numerical study on failure of thin composite conoidal shell roofs considering geometric nonlinearity. KSCE J. Civ. Eng. 2020, 24, 913–921. [Google Scholar] [CrossRef]
- Arbocz, J.; Starnes, J.H., Jr. Future directions and challenges in shell stability analysis. Thin-Walled Struct. 2002, 40, 729–754. [Google Scholar] [CrossRef]
- Suresh, S.; Mortensen, A. Functionally graded metals and metal-ceramic composites: Part 2 Thermomechanical behaviour. Int. Mater. Rev. 1997, 42, 85–116. [Google Scholar] [CrossRef]
- Miyamoto, Y.; Kaysser, W.A.; Rabin, B.H.; Kawasaki, A.; Ford, R.G. Functionally Graded Materials: Design, Processing and Applications; Springer Science & Business Media: Berlin/Heidelberg, Germany, 2013; Volume 5. [Google Scholar]
- Kieback, B.; Neubrand, A.; Riedel, H. Processing techniques for functionally graded materials. Mater. Sci. Eng. A 2003, 362, 81–106. [Google Scholar] [CrossRef]
- Pokroy, B.; Demensky, V.; Zolotoyabko, E. Nacre in mollusk shells as a multilayered structure with strain gradient. Adv. Funct. Mater. 2009, 19, 1054–1059. [Google Scholar] [CrossRef]
- Ambartsumyan, S.A. Elasticity Theory of Different Moduli; Wu, R.F.; Zhang, Y.Z., Translators; China Railway Press: Beijing, China, 1986. [Google Scholar]
- He, X.T.; Chang, H.; Sun, J.Y. Axisymmetric large deformation problems of thin shallow shells with different moduli in tension and compression. Thin-Walled Struct. 2023, 181, 110297. [Google Scholar] [CrossRef]
- Pang, B.; He, X.T.; Sun, J.Y. Large deformation analysis of functionally graded revolutionary shallow thin shells with bi-modular effect: Snap-through buckling under different boundary constraints. Thin-Walled Struct. 2024, 195, 111425. [Google Scholar] [CrossRef]
- Jones, R.M. Stress-strain relations for materials with different moduli in tension and compression. AIAA J. 1977, 15, 16–23. [Google Scholar] [CrossRef]
- Bert, C.W. Models for fibrous composites with different properties in tension and compression. J. Eng. Mater. Technol. 1977, 99, 344–349. [Google Scholar] [CrossRef]
- Reddy, J.N.; Chao, W.C. Nonlinear bending of bimodular-material plates. Int. J. Solids Struct. 1983, 19, 229–237. [Google Scholar] [CrossRef]
- Zinno, R.; Greco, F. Damage evolution in bimodular laminated composites under cyclic loading. Compos. Struct. 2001, 53, 381–402. [Google Scholar] [CrossRef]
- Li, X.; Sun, J.Y.; Dong, J.; He, X.T. One-dimensional and two-dimensional analytical solutions for functionally graded beams with different moduli in tension and compression. Materials 2018, 11, 830. [Google Scholar] [CrossRef] [PubMed]
- He, X.T.; Pei, X.X.; Sun, J.Y.; Zheng, Z.L. Simplified theory and analytical solution for functionally graded thin plates with different moduli in tension and compression. Mech. Res. Commun. 2016, 74, 72–80. [Google Scholar] [CrossRef]
- He, X.T.; Yang, Z.X.; Li, Y.H.; Li, X.; Sun, J.Y. Application of multi-parameter perturbation method to functionally-graded, thin, circular piezoelectric plates. Mathematics 2020, 8, 342. [Google Scholar] [CrossRef]
- He, X.T.; Wang, X.G.; Sun, J.Y. Application of the variational method to the large deformation problem of thin cylindrical shells with different moduli in tension and compression. Materials 2023, 16, 1686. [Google Scholar] [CrossRef]
- He, X.T.; Li, X.; Li, W.M.; Sun, J.Y. Bending analysis of functionally graded curved beams with different properties in tension and compression. Arch. Appl. Mech. 2019, 89, 1973–1994. [Google Scholar] [CrossRef]
- He, X.T.; Wang, X.; Zhang, M.Q.; Sun, J.Y. The thermal stress problem of bimodular curved beams under the action of end-side concentrated shear force. Materials 2023, 16, 5221. [Google Scholar] [CrossRef] [PubMed]
- Woo, J.; Meguid, S.A. Nonlinear analysis of functionally graded plates and shallow shells. Int. J. Solids Struct. 2001, 38, 7409–7421. [Google Scholar] [CrossRef]
- Na, K.S.; Kim, J.H. Nonlinear bending response of functionally graded plates under thermal loads. J. Therm. Stress 2006, 29, 245–261. [Google Scholar] [CrossRef]
- Van Tung, H. Nonlinear thermomechanical stability of shear deformable FGM shallow spherical shells resting on elastic foundations with temperature dependent properties. Compos. Struct. 2014, 114, 107–116. [Google Scholar] [CrossRef]
- Wan, Z.; Li, S. Thermal buckling analysis of functionally graded cylindrical shells. Appl. Math. Mech. 2017, 38, 1059–1070. [Google Scholar] [CrossRef]
- Sahmani, S.; Aghdam, M.M. Boundary layer modeling of nonlinear axial buckling behavior of functionally graded cylindrical nanoshells based on the surface elasticity theory. IJST-Trans. Mech. Eng. 2018, 42, 229–245. [Google Scholar] [CrossRef]
- Golmakani, M.E.; Alamatian, J. Large deflection analysis of shear deformable radially functionally graded sector plates on two-parameter elastic foundations. Eur. J. Mech. A-Solid 2013, 42, 251–265. [Google Scholar] [CrossRef]
- Vuong, P.M.; Duc, N.D. Nonlinear vibration of FGM moderately thick toroidal shell segment within the framework of Reddy’s third order-shear deformation shell theory. Int. J. Mech. Mater. Des. 2020, 16, 245–264. [Google Scholar] [CrossRef]
- Tornabene, F.; Ceruti, A. Mixed static and dynamic optimization of four-parameter functionally graded completely doubly curved and degenerate shells and panels using GDQ method. Math. Prob. Eng. 2013, 2013, 867079. [Google Scholar] [CrossRef]
- Praveen, G.N.; Reddy, J.N. Nonlinear transient thermoelastic analysis of functionally graded ceramic-metal plates. Int. J. Solids Struct. 1998, 35, 4457–4476. [Google Scholar] [CrossRef]
- El-Abbasi, N.; Meguid, S.A. Finite element modeling of the thermoelastic behavior of functionally graded plates and shells. Int. J. Comput. Sci. 2000, 1, 151–165. [Google Scholar] [CrossRef]
- Cho, J.R.; Ha, D.Y. Averaging and finite-element discretization approaches in the numerical analysis of functionally graded materials. Mater. Sci. Eng. A 2001, 302, 187–196. [Google Scholar] [CrossRef]
- Grujicic, M.; Zhang, Y. Determination of effective elastic properties of functionally graded materials using Voronoi cell finite element method. Mater. Sci. Eng. A 1998, 251, 64–76. [Google Scholar] [CrossRef]
- Biner, S.B. Thermo-elastic analysis of functionally graded materials using Voronoi elements. Mater. Sci. Eng. A 2001, 315, 136–146. [Google Scholar] [CrossRef]
- Naghdabadi, R.; Kordkheili, S.A.H. A finite element formulation for analysis of functionally graded plates and shells. Arch. Appl. Mech. 2005, 74, 375–386. [Google Scholar] [CrossRef]
- Arciniega, R.A.; Reddy, J.N. Large deformation analysis of functionally graded shells. Int. J. Solids Struct. 2007, 44, 2036–2052. [Google Scholar] [CrossRef]
- Shabana, Y.M.; Noda, N. Thermo-elasto-plastic stresses of functionally graded material plate with a substrate and a coating. J. Therm. Stress. 2002, 25, 1133–1146. [Google Scholar] [CrossRef]
- Pham, Q.H.; Pham, T.D.; Trinh, Q.V.; Phan, D.H. Geometrically nonlinear analysis of functionally graded shells using an edge-based smoothed MITC3 (ES-MITC3) finite elements. Eng. Comput. 2020, 36, 1069–1082. [Google Scholar] [CrossRef]
- Khayat, M.; Baghlani, A.; Najafgholipour, M.A. A hybrid algorithm for modeling and studying of the effect of material and mechanical uncertainties on stability of sandwich FGM materials under thermal shock. Compos. Struct. 2022, 293, 115657. [Google Scholar] [CrossRef]
- Banijamali, S.M.; Jafari, A.A. Vibration analysis and critical speeds of a rotating functionally graded conical shell stiffened with anisogrid lattice structure based on FSDT. Thin-Walled Struct. 2023, 188, 110841. [Google Scholar] [CrossRef]
- Kim, K.D.; Lomboy, G.R.; Han, S.C. Geometrically non-linear analysis of functionally graded material (FGM) plates and shells using a four-node quasi-conforming shell element. J. Compos. Mater. 2008, 42, 485–511. [Google Scholar] [CrossRef]
- Barbosa, J.A.T.; Ferreira, A.J. Geometrically nonlinear analysis of functionally graded plates and shells. Mech. Adv. Mater. Struct. 2009, 17, 40–48. [Google Scholar] [CrossRef]
- Zamani, A.; Eslami, M.R. Coupled dynamical thermoelasticity of a functionally graded cracked layer. J. Therm. Stress. 2009, 32, 969–985. [Google Scholar] [CrossRef]
- Hernández, M.T.A.; Díaz, A.D.; Rascón, C.H.R.; Balderas, R.C. A new finite element for the analysis of functionally graded shells. Thin-Walled Struct. 2023, 186, 110659. [Google Scholar] [CrossRef]
- Lukasiewicz, S.; Szyszkowski, W. Geometrical analysis of large elastic deflections of axially compressed cylindrical and conical shells. Int. J. Non-Linear Mech. 1979, 14, 273–284. [Google Scholar] [CrossRef]
- Wang, X.Z.; Zhao, Y.G.; Yeh, K.Y. Non-symmetrical large deformation of a shallow thin conical shell. Appl. Math. Mech. 1998, 19, 917–928. [Google Scholar]
- Liew, K.M.; Ng, T.Y.; Zhao, X. Free vibration analysis of conical shells via the element-free kp-Ritz method. J. Sound Vib. 2005, 281, 627–645. [Google Scholar] [CrossRef]
- Sofiyev, A.H.; Aksogan, O. Buckling of a conical thin shell with variable thickness under a dynamic loading. J. Sound Vib. 2004, 270, 903–915. [Google Scholar] [CrossRef]
- Zielnica, J. Stability of elastic–plastic conical shells under shear loading. Thin-Walled Struct. 2002, 40, 355–370. [Google Scholar] [CrossRef]
- Bhangale, R.K.; Ganesan, N.; Padmanabhan, C. Linear thermoelastic buckling and free vibration behavior of functionally graded truncated conical shells. J. Sound Vib. 2006, 292, 341–371. [Google Scholar] [CrossRef]
- Duc, N.D.; Cong, P.H. Nonlinear thermal stability of eccentrically stiffened functionally graded truncated conical shells surrounded on elastic foundations. Eur. J. Mech. A-Solid 2015, 50, 120–131. [Google Scholar] [CrossRef]
- Sofiyev, A.H. The vibration and stability behavior of freely supported FGM conical shells subjected to external pressure. Compos. Struct. 2009, 89, 356–366. [Google Scholar] [CrossRef]
- Bazilevs, Y.; Pigazzini, M.S.; Ellison, A.; Kim, H. A new multi-layer approach for progressive damage simulation in composite laminates based on isogeometric analysis and Kirchhoff-Love shells. Part I: Basic theory and modeling of delamination and transverse shear. Comput. Mech. 2018, 62, 563–585. [Google Scholar] [CrossRef]
- Nguyen-Thanh, N.; Huang, J.; Zhou, K. An isogeometric-meshfree coupling approach for analysis of cracks. Int. J. Numer. Methods Eng. 2018, 113, 1630–1651. [Google Scholar] [CrossRef]
- Vu-Bac, N.; Rabczuk, T.; Park, H.S.; Fu, X.; Zhuang, X. A NURBS-based inverse analysis of swelling induced morphing of thin stimuli-responsive polymer gels. Comput. Methods Appl. Mech. Eng. 2022, 397, 115049. [Google Scholar] [CrossRef]
- Milić, P.; Marinković, D.; Klinge, S.; Ćojbašić, Ž. Reissner-mindlin based isogeometric finite element formulation for piezoelectric active laminated shells. Teh. Vjesn. 2023, 30, 416–425. [Google Scholar]
- Milić, P.; Marinković, D.; Ćojbašić, Ž. Geometrically nonlinear analysis of piezoelectric active laminated shells by means of isogeometric FE formulation. Facta Univ. Ser. Mech. Eng. 2023; online first. [Google Scholar] [CrossRef]
- Pan, Z.; Cheng, J.; Zhao, L.; Ragab, A.E. Thermo-dynamic response of multi-directional functionally graded panels resting on an elastic substrate with the aid of data-driven solution. Aerosp. Sci. Technol. 2023, 143, 108724. [Google Scholar] [CrossRef]
- He, F.B.; Shen, Y.P. Theory of Plate and Shell; Xi’an Jiaotong University Press: Xi’an, China, 1993. [Google Scholar]






























| Bimodular Case Gradient Index | E+ > E0 > E− α1 > α2 > 0 | E+ < E0 < E− α1 < α2 < 0 | E+ > E0, E− > E0 α1 > 0 > α2 | E+ < E0, E− < E0 α1 < 0 < α2 |
|---|---|---|---|---|
| α1 | 1 | −1 | 1 | −1 |
| α2 | 0.5 | −0.5 | −0.5 | 0.5 |
| E0 (MPa) | μ+ | μ− | α0 (/°C) | K0 (W/mk) | α3 |
|---|---|---|---|---|---|
| 2 × 104 | 0.4 | 0.2 | 1.5 × 105 | 100 | 0.75 |
| l1 (m) | l2 (m) | δ (m) | α | q (MPa) | T0 (°C) | T1 (°C) | T2 (°C) |
|---|---|---|---|---|---|---|---|
| 1 | 5 | 0.1 | 7π/18 | 1 | 20 | 20 | 70 |
| Thickness | α1 = 1, α2 = 0.5 | α1 = −1, α2 = −0.5 | α1 = 1, α2 = −0.5 | α1 = −1, α2 = 0.5 |
|---|---|---|---|---|
| δ1 (m) | 0.05833952172 | 0.04581547570 | 0.05446972327 | 0.04980533659 |
| δ2 (m) | 0.04166047828 | 0.05418452430 | 0.04553027673 | 0.05019466341 |
Disclaimer/Publisher’s Note: The statements, opinions and data contained in all publications are solely those of the individual author(s) and contributor(s) and not of MDPI and/or the editor(s). MDPI and/or the editor(s) disclaim responsibility for any injury to people or property resulting from any ideas, methods, instructions or products referred to in the content. |
© 2025 by the authors. Licensee MDPI, Basel, Switzerland. This article is an open access article distributed under the terms and conditions of the Creative Commons Attribution (CC BY) license (https://creativecommons.org/licenses/by/4.0/).
Share and Cite
He, X.-T.; Luo, M.-W.; Feng, H.-H.; Sun, J.-Y. Large Deflection Analysis of Bimodular Functionally Graded Truncated Thin Conical Shells Under Mechanical and Thermal Loads. Materials 2025, 18, 362. https://doi.org/10.3390/ma18020362
He X-T, Luo M-W, Feng H-H, Sun J-Y. Large Deflection Analysis of Bimodular Functionally Graded Truncated Thin Conical Shells Under Mechanical and Thermal Loads. Materials. 2025; 18(2):362. https://doi.org/10.3390/ma18020362
Chicago/Turabian StyleHe, Xiao-Ting, Ming-Wei Luo, He-Hao Feng, and Jun-Yi Sun. 2025. "Large Deflection Analysis of Bimodular Functionally Graded Truncated Thin Conical Shells Under Mechanical and Thermal Loads" Materials 18, no. 2: 362. https://doi.org/10.3390/ma18020362
APA StyleHe, X.-T., Luo, M.-W., Feng, H.-H., & Sun, J.-Y. (2025). Large Deflection Analysis of Bimodular Functionally Graded Truncated Thin Conical Shells Under Mechanical and Thermal Loads. Materials, 18(2), 362. https://doi.org/10.3390/ma18020362

