Glass/Polyester Laminates Modified with L-Arginine Phosphate—Effects on the Flammability and Smoke Emission
Abstract
1. Introduction
2. Materials and Methods
2.1. Materials
2.2. Methods
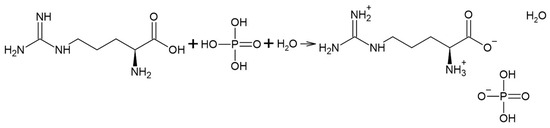
2.2.1. ArgPA Synthesis
2.2.2. UPR Casting and Glass/Polyester Laminate Preparation
2.2.3. Structural, Elemental, and Thermal Analysis
2.2.4. Flammability and Smoke Density of Glass/Polyester Laminates
2.2.5. Characterization of the Volatile Compounds
3. Results and Discussion
3.1. Elemental, Structural, and Thermal Analysis of FRs
| Arg | Literature | Band Assignment | ArgPA | Literature | Band Assignment |
|---|---|---|---|---|---|
| 3302, 3355 | 3302, 3358 [21], 3258–3358 [22] | N–H stretching | 3450 | 3450 [14], 3448 [13], 3451 [20] | O–H stretching |
| 3075 | 3057 [21] | O–H stretching | 3334 | 3332 [13], 3335 [20] | H2O |
| 2865, 2945 | 2863, 2946 [21] | C–H stretching | 3164 | 3163 [13], 3166 [14], 3168 [20] | NH3+ asymmetric stretching |
| 1660 | 1676 [21] | C=O stretching | 2959 | 2959 [14] | C=N–H stretching |
| 1623 | 1600 [23], 1619 [24] | COO− asymmetric stretching | 1690 | 1691 [13,20] | C–N stretching |
| 1561 | 1553 [21], 1550 [25], 1556 [24] | N–H bending | 1652 | 1653 [13], 1651 [20] | NH2+ deformation |
| 1421, 1445, 1473 | 1374, 1422, 1472 [21], 1465, 1459, 1410 [26] | C–H bending | 1569 | 1573 [13], 1568 [20] | COO− asymmetric stretching |
| 1377 | 1362 [24] | C–CH in-plane deformation | 1524 | 1527 [13], 1525 [20], 1544 [12] | NH3+ symmetric deformation |
| 1330 | 1333 [24] | CH bending | 1409 | 1410 [13], 1408 [20] | COO− symmetric stretching |
| 1187 | 1186 [24] | NH2+ rocking | 1329 | 1321 [20], 1335 [13], 1334 [20] | CH2 wagging |
| 1137 | 1137 [21], 1130 [26], 1139 [24] | C–N stretching | 1286 | 1287 [13], 1286 [20] | P–O–H angular |
| 982 | 979 [21] | O–H bending | 1174 | 1179 [13], 1176 [20] | NH3+ rocking |
| 772 | 771 [24] | CH rocking | 1132 | 1136 [13], 1135 [20] | NH2 wagging |
| 704 | 713 [24] | NH2 rocking | 1037 | 1040 [13], 1046 [20] | P–O–H group/(PO4) |
| 609 | 623 [24] | CH2 rocking | 952 | 952 [13], 950 [20] | P–O–H stretching |
| 551 | 551, 667 [21], 625 [26] | COO− bending | 874 | 877 [13], 870 [20] | P–O–H stretching |
| 491 | 493 [24] | COO− rocking | 780 | 790 [13], 782 [20] | NH2 rocking |
| 765 | 770 [13], 760 [20] | COO− scissoring | |||
| 698 | 699 [13], 696 [20] | NH2 out-of-plane bending | |||
| 616 | 615 [13], 614 [20] | OH out-of-plain deformation | |||
| 525 | 525 [20] | PO4 |
3.2. Fire Behavior
3.2.1. Limiting Oxygen Index
3.2.2. Smoke Density
3.3. Characterization of Volatile Compounds
3.4. Fire-Retardant Mechanism
4. Conclusions
Author Contributions
Funding
Institutional Review Board Statement
Informed Consent Statement
Data Availability Statement
Conflicts of Interest
Abbreviations
| GFRP | Glass-fiber-reinforced polyester laminate |
| ArgPA | L-arginine phosphate |
| FR | Flame retardant |
| LOI | Limiting oxygen index |
| Ds (4) | Specific optical density of smoke at 4th minute of measurement |
| UPR | Unsaturated polyester resin |
| Arg | L-arginine |
| ATH | Aluminum trihydroxide |
| APP | Ammonium polyphosphate |
| pHRR | Peak of heat release rate |
| PA | Phytic acid |
| HNM | Hydroxylated nano montmorillonite |
| PBS | Polybutylene succinate |
| TG | Thermogravimetry |
| DSC | Differential scanning calorimetry |
| Ds | Specific optical density of smoke |
| Ds max | Maximum value of the specific smoke optical density |
References
- Dowbysz, A.; Samsonowicz, M.; Kukfisz, B. Modification of Glass/Polyester Laminates with Flame Retardants. Materials 2021, 14, 7901. [Google Scholar] [CrossRef] [PubMed]
- Dowbysz, A.; Samsonowicz, M.; Kukfisz, B. Recent Advances in Bio-Based Additive Flame Retardants for Thermosetting Resins. Int. J. Environ. Res. Public Health 2022, 19, 4828. [Google Scholar] [CrossRef]
- Sorathia, U. 19-Flame Retardant Materials for Maritime and Naval applications. In Advances in Fire Retardant Materials; Horrocks, A.R., Price, D., Eds.; Woodhead Publishing: Cambridge, UK, 2008; pp. 527–572. ISBN 978-1-84569-262-9. [Google Scholar]
- Chen, J.; Liu, Y.; Zhang, J.; Ren, Y.; Liu, X. Synthesis of Novel Arginine-Based Flame Retardant and Its Application in Lyocell Fabric. Molecules 2021, 26, 3588. [Google Scholar] [CrossRef] [PubMed]
- Cheng, Y.; Zhou, Y.; Yang, L.; Zhang, C.; Xu, Q.; Xie, X.; Chen, N. Modification of Histidine Biosynthesis Pathway Genes and the Impact on Production of L-Histidine in Corynebacterium Glutamicum. Biotechnol. Lett. 2013, 35, 735–741. [Google Scholar] [CrossRef] [PubMed]
- Park, S.H.; Kim, H.U.; Kim, T.Y.; Park, J.S.; Kim, S.-S.; Lee, S.Y. Metabolic Engineering of Corynebacterium Glutamicum for L-Arginine Production. Nat. Commun. 2014, 5, 4618. [Google Scholar] [CrossRef] [PubMed]
- Jin, L.; Ji, C.; Chen, S.; Song, Z.; Zhou, J.; Qian, K.; Guo, W. Multifunctional Textiles with Flame Retardant and Antibacterial Properties: A Review. Molecules 2023, 28, 6628. [Google Scholar] [CrossRef] [PubMed]
- Liao, Y.; Chen, Y.; Zhang, F. A Biological Reactive Flame Retardant for Flame Retardant Modification of Cotton Fabric. Colloids Surf. A Physicochem. Eng. Asp. 2021, 630, 127601. [Google Scholar] [CrossRef]
- Jiang, Z.; Hu, Y.; Zhu, K.; Li, Y.; Wang, C.; Zhang, S.; Wang, J. Self-Assembled Bio-Based Coatings for Flame-Retardant and Antibacterial Polyester–Cotton Fabrics. Text. Res. J. 2022, 92, 368–382. [Google Scholar] [CrossRef]
- He, S.; Gao, Y.-Y.; Zhao, Z.-Y.; Huang, S.-C.; Chen, Z.-X.; Deng, C.; Wang, Y.-Z. Fully Bio-Based Phytic Acid–Basic Amino Acid Salt for Flame-Retardant Polypropylene. ACS Appl. Polym. Mater. 2021, 3, 1488–1498. [Google Scholar] [CrossRef]
- Kong, Z.; Chen, Y.; Qian, L. The Synergistic Flame Retardant Effect of Biobased Phytic Acid Arginine Salt and Hydroxylated Montmorillonite in Polybutylenes Succinate. Int. J. Biol. Macromol. 2024, 254, 128033. [Google Scholar] [CrossRef] [PubMed]
- Cheng, C.; Wang, Y.; Lu, Y.; Li, S.; Li, H.; Yan, J.; Du, S. Bio-Based Arginine Surface-Modified Ammonium Polyphosphate: An Efficient Intumescent Flame Retardant for Epoxy Resin. RSC Adv. 2022, 12, 9223–9237. [Google Scholar] [CrossRef] [PubMed]
- Sharma, S.K.; Singh, Y.; Verma, S.; Singh, M.K.; Bartwal, K.S.; Gupta, P.K. Growth of L-Arginine Phosphate Monohydrate Crystals in Different Orientations to Achieve Isometric Morphology for Device Applications. CrystEngComm 2016, 18, 6403–6410. [Google Scholar] [CrossRef]
- Premkumar, P.S.; Shajan, X.S.; Devadoss, H.A. Optical and Thermal Studies on Oure and Doped L-Arginine Phosphate Crystals. Int. J. Sci. Technol. 2010, 3, 253–256. [Google Scholar]
- Dowbysz, A.; Samsonowicz, M.; Markowska, D.; Jankowski, P. Life Cycle Assessment of Glass/Polyester Laminates Used in the Shipbuilding Industry and Its Fire Behavior. Ekon. I Sr. 2023, 85, 236–254. [Google Scholar] [CrossRef]
- ISO 4589-2; Plastics—Determination of Burning Behaviour by Oxygen Index—Part 2: Ambient-Temperature Test. International Organization for Standardization, Technical Committee ISO/TC 61: Geneva, Switzerland, 2017.
- PN-EN ISO 5659-2:2017-08; Tworzywa Sztuczne—Wytwarzanie Dymu—Część 2: Oznaczanie Gęstości Optycznej Dymu Metodą Testu Jednokomorowego. Polski Komitet Normalizacyjny, Komitet Techniczny nr 141 ds. Tworzyw Sztucznych: Warszawa, Poland, 2017.
- Dowbysz, A.M.; Samsonowicz, M. Smoke Generation Parameters from the Cone Calorimeter Method and Single-Chamber Test. Environ. Sci. Proc. 2021, 9, 22. [Google Scholar] [CrossRef]
- Dowbysz, A.; Samsonowicz, M.; Kukfisz, B. Thermal Properties of L-Arginine and Its Potential Influence on the Flammability of Unsaturated Polyester Resin. In Ideas and Research of Young Scientists; Silesian University of Technology: Gliwice, Poland, 2024; Volume 1, ISBN 978-83-7880-989-0. [Google Scholar]
- Haja Hameed, A.S.; Ravi, G.; Hossain, M.D.M.; Ramasamy, P. Growth and Characterisation of L-Arginine Phosphate Family Crystals. J. Cryst. Growth 1999, 204, 333–340. [Google Scholar] [CrossRef]
- Roda, A.; Santos, F.; Chua, Y.Z.; Kumar, A.; Do, H.T.; Paiva, A.; Duarte, A.R.C.; Held, C. Unravelling the Nature of Citric Acid:L-Arginine:Water Mixtures: The Bifunctional Role of Water. Phys. Chem. Chem. Phys. 2021, 23, 1706–1717. [Google Scholar] [CrossRef] [PubMed]
- Zhang, L.; Wu, C.; Gu, T.; Zhang, Y.; Liu, Y. Preparation, Characterization and Cytotoxic Activity of Rhein Argininate. Anal. Methods 2014, 6, 3838–3841. [Google Scholar] [CrossRef]
- Azizi, K.; Karimi, M.; Shaterian, H.R.; Heydari, A. Ultrasound Irradiation for the Green Synthesis of Chromenes Using L-Arginine-Functionalized Magnetic Nanoparticles as a Recyclable Organocatalyst. RSC Adv. 2014, 4, 42220–42225. [Google Scholar] [CrossRef]
- Ramya, K.; Raja, R. Studies on the Growth and Characterization of L-Arginine Maleate Dihydrate Crystal Grown from Liquid Diffusion Technique. J. Miner. Mater. Charact. Eng. 2016, 4, 143–153. [Google Scholar] [CrossRef]
- Sunatkari, A.L.; Talwatkar, S.S.; Tamgadge, Y.S.; Muley, G.G. Synthesis, Characterization and Optical Properties of L-Arginine Stabilized Gold Nanocolloids. Nanosci. Nanotechnol. 2015, 5, 30–35. [Google Scholar] [CrossRef]
- Fang, H.-Y.; Huang, W.-M.; Chen, D.-H. One-Step Synthesis of Positively Charged Bifunctional Carbon Dot/Silver Composite Nanoparticles for Killing and Fluorescence Imaging of Gram-Negative Bacteria. Nanotechnology 2019, 30, 365603. [Google Scholar] [CrossRef]
- Mazumder, A.; Kar, T.; Siba Prasad Sen Gupta, S.P.S.G. Infrared Spectroscopy and Thermal Studies of As-Grown L-Arginine Phosphate Monohydrate Crystals. Jpn. J. Appl. Phys. 1995, 34, 5717. [Google Scholar] [CrossRef]
- Riscob, B.; Shakir, M.; Vijayan, N.; Maurya, K.K.; Wahab, M.A.; Bhagavannarayana, G. Unidirectional Crystal Growth and Crystalline Perfection of L-Arginine Phosphate Monohydrate. J. Appl. Crystallogr. 2012, 45, 679–685. [Google Scholar] [CrossRef]
- Bautista, Y.; Gozalbo, A.; Mestre, S.; Sanz, V. Thermal Degradation Mechanism of a Thermostable Polyester Stabilized with an Open-Cage Oligomeric Silsesquioxane. Materials 2017, 11, 22. [Google Scholar] [CrossRef] [PubMed]
- Pokorný, V.; Lieberzeitová, E.; Štejfa, V.; Havlín, J.; Fulem, M.; Růžička, K. Heat Capacities of L-Arginine, l-Aspartic Acid, l-Glutamic Acid, l-Glutamine, and l-Asparagine. Int. J. Thermophys. 2021, 42, 160. [Google Scholar] [CrossRef]
- Fink, J.K. Unsaturated Polyester Resins. In Reactive Polymers Fundamentals and Applications, 2nd ed.; Fink, J.K., Ed.; William Andrew Publishing: Oxford, UK, 2013; Volume 1, pp. 1–48. ISBN 978-1-4557-3149-7. [Google Scholar]
- Salasinska, K.; Celiński, M.; Barczewski, M.; Leszczyński, M.K.; Borucka, M.; Kozikowski, P. Fire Behavior of Flame Retarded Unsaturated Polyester Resin with High Nitrogen Content Additives. Polym. Test. 2020, 84, 106379. [Google Scholar] [CrossRef]
- Jiang, M.; Zhang, Y.; Yu, Y.; Zhang, Q.; Huang, B.; Chen, Z.; Chen, T.; Jiang, J. Flame Retardancy of Unsaturated Polyester Composites with Modified Ammonium Polyphosphate, Montmorillonite, and Zinc Borate. J. Appl. Polym. Sci. 2019, 136, 47180. [Google Scholar] [CrossRef]
- Chen, Z.; Yu, Y.; Zhang, Q.; Chen, Z.; Chen, T.; Jiang, J. Preparation of Phosphorylated Chitosan-Coated Carbon Microspheres as Flame Retardant and Its Application in Unsaturated Polyester Resin. Polym. Adv. Technol. 2019, 30, 1933–1942. [Google Scholar] [CrossRef]
- Li, J.; Gao, M.; Zheng, Y.; Guan, Y.; Yi, D. Effects of Low-Load Boron/Silicon-Based Graphene Oxide on Combustion and Thermal Degradation of Flame-Retardant Unsaturated Polyester Resin. Macromol. Mater. Eng. 2020, 305, 2000454. [Google Scholar] [CrossRef]
- Gao, W.; Yu, Y.; Chen, T.; Zhang, Q.; Chen, Z.; Chen, Z.; Jiang, J. Enhanced Flame Retardancy of Unsaturated Polyester Resin Composites Containing Ammonium Polyphosphate and Metal Oxides. J. Appl. Polym. Sci. 2020, 137, 49148. [Google Scholar] [CrossRef]
- Ramadan, N.; Taha, M.; La Rosa, A.D.; Elsabbagh, A. Towards Selection Charts for Epoxy Resin, Unsaturated Polyester Resin and Their Fibre-Fabric Composites with Flame Retardants. Materials 2021, 14, 1181. [Google Scholar] [CrossRef] [PubMed]
- Zhang, S.; Chu, F.; Xu, Z.; Zhou, Y.; Hu, W.; Hu, Y. Interfacial Flame Retardant Unsaturated Polyester Composites with Simultaneously Improved Fire Safety and Mechanical Properties. Chem. Eng. J. 2021, 426, 131313. [Google Scholar] [CrossRef]
- de Freitas Rocha, M.A.; Landesmann, A.; da Silva Ribeiro, S.P.; Martins, R.C. Enhancement of Fire Retardancy Properties of Glass Fibre–Reinforced Polyesters Composites. Fire Mater. 2019, 43, 734–746. [Google Scholar] [CrossRef]
- Gunes, O.C.; Gomek, R.; Tamar, A.; Kandemir, O.K.; Karaorman, A.; Albayrak, A.Z. Comparative Study on Flame Retardancy, Thermal, and Mechanical Properties of Glass Fiber Reinforced Polyester Composites with Ammonium Polyphosphate, Expandable Graphite, and Aluminum Tri-Hydroxide. Arab. J. Sci. Eng. 2018, 43, 6211–6218. [Google Scholar] [CrossRef]
- Gregory, S.; Grayson, S.; Kumar, S. Test Methods and Instrumentation for Assessing Reaction to Fire Properties of Railway Rolling Stock. Probl. Kolejnictwa 2013, 160, 35–50. [Google Scholar]
- Oliwa, R.; Oleksy, M.; Oliwa, J.; Węgier, A.; Krauze, S.; Kowalski, M. Fire Resistant Glass Fabric-Epoxy Composites with Reduced Smoke Emission. Polimery 2021, 64, 290–293. [Google Scholar] [CrossRef]
- Li, Y.-M.; Hu, S.-L.; Fang, H.-P.; Deng, Y.; Yang, C.-D. Highly-Efficient Flame-Retarding Unsaturated Polyester Resin via the Designation of an Expansive Flame Retardant. Adv. Ind. Eng. Polym. Res. 2024, in press. [Google Scholar] [CrossRef]
- Dai, K.; Song, L.; Jiang, S.; Yu, B.; Yang, W.; Yuen, R.K.K.; Hu, Y. Unsaturated Polyester Resins Modified with Phosphorus-Containing Groups: Effects on Thermal Properties and Flammability. Polym. Degrad. Stab. 2013, 98, 2033–2040. [Google Scholar] [CrossRef]
- Liu, W.; Li, F.; Ge, X.G.; Zhang, Z.J.; He, J.; Gao, N. Effect of DMMP on the Pyrolysis Products of Polyurethane Foam Materials in the Gaseous Phase. IOP Conf. Ser. Mater. Sci. Eng. 2016, 137, 012037. [Google Scholar] [CrossRef]
- Sałasińska, K.; Celiński, M.; Mizera, K.; Barczewski, M.; Kozikowski, P.; Leszczyński, M.K.; Domańska, A. Moisture Resistance, Thermal Stability and Fire Behavior of Unsaturated Polyester Resin Modified with L-Histidinium Dihydrogen Phosphate-Phosphoric Acid. Molecules 2021, 26, 932. [Google Scholar] [CrossRef] [PubMed]
















| Compound | Content C [%] | Content H [%] | Content N [%] | |||
|---|---|---|---|---|---|---|
| Calc | Exp | Calc | Exp | Calc | Exp | |
| ArgPA | 24.83 | 24.42 ± 0.20 | 6.60 | 6.76 ± 0.09 | 19.31 | 18.84 ± 0.22 |
| Laminate | VOF4 [−] | [−] |
|---|---|---|
| Z0 | 87.58 ± 0.78 | 94.41 ± 17.85 |
| Arg5 | 177.08 ± 18.04 | 145.17 ± 6.86 |
| Arg10 | 168.88 ± 32.71 | 153.95 ± 9.53 |
| Arg15 | 157.75 ± 19.08 | 117.08 ± 3.04 |
| ArgPA5 | 185.80 ± 0.59 | 184.27 ± 8.02 |
| ArgPA10 | 202.59 ± 65.31 | 173.91 ± 30.30 |
| ArgPA15 | 277.62 ± 7.63 | 242.65 ± 10.50 |
| APP5 | 240.34 ± 23.56 | 264.65 ± 29.02 |
| APP10 | 273.42 ± 1.23 | 298.61 ± 17.64 |
| APP15 | 223.23 ± 50.45 | 252.74 ± 26.16 |
Disclaimer/Publisher’s Note: The statements, opinions and data contained in all publications are solely those of the individual author(s) and contributor(s) and not of MDPI and/or the editor(s). MDPI and/or the editor(s) disclaim responsibility for any injury to people or property resulting from any ideas, methods, instructions or products referred to in the content. |
© 2025 by the authors. Licensee MDPI, Basel, Switzerland. This article is an open access article distributed under the terms and conditions of the Creative Commons Attribution (CC BY) license (https://creativecommons.org/licenses/by/4.0/).
Share and Cite
Dowbysz, A.; Samsonowicz, M.; Kukfisz, B.; Koperniak, P. Glass/Polyester Laminates Modified with L-Arginine Phosphate—Effects on the Flammability and Smoke Emission. Materials 2025, 18, 286. https://doi.org/10.3390/ma18020286
Dowbysz A, Samsonowicz M, Kukfisz B, Koperniak P. Glass/Polyester Laminates Modified with L-Arginine Phosphate—Effects on the Flammability and Smoke Emission. Materials. 2025; 18(2):286. https://doi.org/10.3390/ma18020286
Chicago/Turabian StyleDowbysz, Adriana, Mariola Samsonowicz, Bożena Kukfisz, and Piotr Koperniak. 2025. "Glass/Polyester Laminates Modified with L-Arginine Phosphate—Effects on the Flammability and Smoke Emission" Materials 18, no. 2: 286. https://doi.org/10.3390/ma18020286
APA StyleDowbysz, A., Samsonowicz, M., Kukfisz, B., & Koperniak, P. (2025). Glass/Polyester Laminates Modified with L-Arginine Phosphate—Effects on the Flammability and Smoke Emission. Materials, 18(2), 286. https://doi.org/10.3390/ma18020286

