A Study on the Bending Stiffness of Reinforced Concrete Tunnel Segments with Added Steel Fibers
Highlights
- Full-scale tests for studying the stiffness of fiber reinforced concrete (FRC) tunnel segments.
- Derive and verify an analytical model to evaluate the stiffness of the FRC segment by tests.
- The residual strength of the FRC improves the stiffness of the FRC segment.
- Fibers are more effective in controlling stiffness at low load levels while rebars are more effective at high load levels after cracking.
Abstract
1. Introduction
2. Experimental Program
2.1. Test Specimens
2.1.1. Segment Size and Reinforcement
2.1.2. Concrete Mixture Composition
2.1.3. Manufacturing of the Test Specimens
2.2. Test Program
2.2.1. Material Tests
2.2.2. Segments Bending Tests
3. Analytical Model for SFRC Segments
3.1. Basic Assumptions
3.2. Constitutive Laws
3.2.1. Concrete in Tension
3.2.2. Concrete in Compression
3.2.3. Steel Rebars
3.3. Derivation of the Analytical Model
4. Test Results
4.1. Material Properties
4.2. Segment Bending Tests
4.2.1. General Analysis
4.2.2. Deflection Analysis
4.2.3. Concrete Strain Analysis
5. Analysis and Discussion
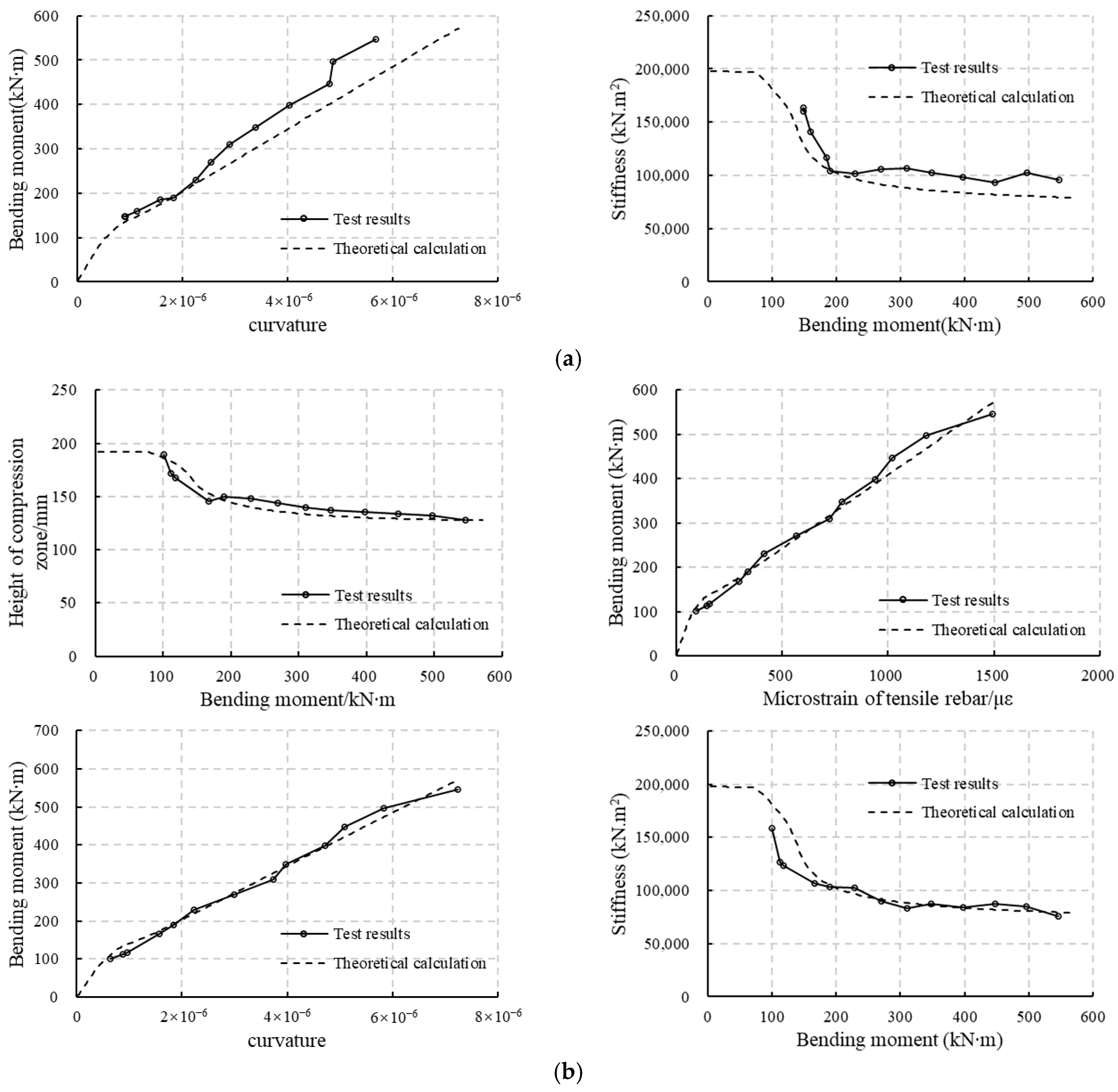
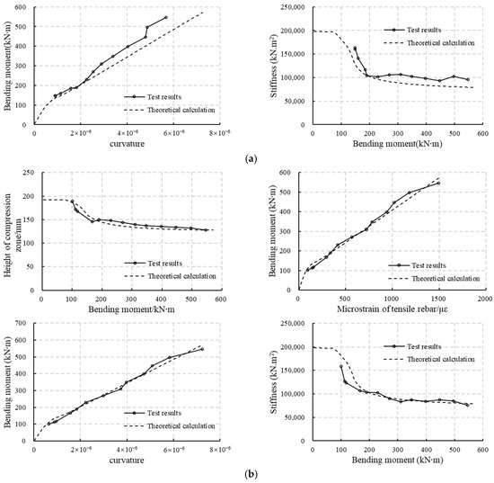
5.1. Comparison Between the Test Results and the Analytical Model Results
5.2. Bending Stiffness Variation
6. Conclusions
Author Contributions
Funding
Institutional Review Board Statement
Informed Consent Statement
Data Availability Statement
Acknowledgments
Conflicts of Interest
References
- Liu, X.; Sun, Q.; Yuan, Y.; Taerwe, L. Comparison of the structural behavior of reinforced concrete tunnel segments with steel fiber and synthetic fiber addition. Tunn. Undergr. Space Technol. 2020, 103, 103506. [Google Scholar] [CrossRef]
- Plizzari, G.A.; Tiberti, G. Steel fibers as reinforcement for precast tunnel segments. Tunn. Undergr. Space Technol. 2006, 21, 438–439. [Google Scholar] [CrossRef]
- de la Fuente, A.; Escariz, R.C.; de Figueiredo, A.D.; Molins, C.; Aguado, A. A New Design Method for Steel Fibre Reinforced Concrete Pipes. Constr. Build. Mater. 2012, 30, 547–555. [Google Scholar] [CrossRef]
- Jamshidi Avanaki, M.; Hoseini, A.; Vahdani, S.; de la Fuente, A. Numerical-Aided Design of Fiber Reinforced Concrete Tunnel Segment Joints Subjected to Seismic Loads. Constr. Build. Mater. 2018, 170, 40–54. [Google Scholar] [CrossRef]
- Conforti, A.; Tiberti, G.; Plizzari, G.A.; Caratelli, A.; Meda, A. Precast Tunnel Segments Reinforced by Macro-Synthetic Fibers. Tunn. Undergr. Space Technol. 2017, 63, 1–11. [Google Scholar] [CrossRef]
- Conforti, A.; Trabucchi, I.; Tiberti, G.; Plizzari, G.A.; Caratelli, A.; Meda, A. Precast Tunnel Segments for Metro Tunnel Lining: A Hybrid Reinforcement Solution Using Macro-Synthetic Fibers. Eng. Struct. 2019, 199, 109628. [Google Scholar] [CrossRef]
- Tengilimoglu, O.; Akyuz, U. Experimental Study on Hybrid Precast Tunnel Segments Reinforced by Macro-Synthetic Fibres and Glass Fibre Reinforced Polymer Bars. Tunn. Undergr. Space Technol. 2020, 106, 103612. [Google Scholar] [CrossRef]
- Wang, L.; Cui, G.; Zhang, C.; Zhao, Y.; Ma, J.; Min, B. Failure Characteristics and Seismic Behavior of Steel Basalt Hybrid Fiber Reinforced Concrete Lining for the Tunnel in Strong Earthquake Areas. Eng. Fail. Anal. 2024, 162, 108357. [Google Scholar] [CrossRef]
- Johnston, C.D. Fiber-Reinforced Cements and Concretes, 1st ed.; CRC Press: London, UK, 2001. [Google Scholar] [CrossRef]
- Nettis, A.; Nettis, A.; Ruggieri, S.; Uva, G. Corrosion-Induced Fragility of Existing Prestressed Concrete Girder Bridges under Traffic Loads. Eng. Struct. 2024, 314, 118302. [Google Scholar] [CrossRef]
- Crespi, P.; Zucca, M.; Valente, M. On the Collapse Evaluation of Existing RC Bridges Exposed to Corrosion under Horizontal Loads. Eng. Fail. Anal. 2020, 116, 104727. [Google Scholar] [CrossRef]
- He, Z.; He, C.; Ma, G.; Yang, W.; Xu, G. Performance Assessment of Deteriorated RC Shield Tunnels Integrated with Stochastic Field-Based Modeling for Nonuniform Steel Corrosion. Eng. Fail. Anal. 2023, 148, 107196. [Google Scholar] [CrossRef]
- Zhang, X.; Jin, H.; Yu, S.; Bi, X.; Zhou, S. Analysis of Bending Deflection of Tunnel Segment under Load- and Corrosion-Induced Cracks by Improved XFEM. Eng. Fail. Anal. 2022, 140, 106576. [Google Scholar] [CrossRef]
- ACI Committee 544. Report on Design and Construction of Fiber Reinforced Precast Concrete Tunnel Segments; American Concrete Institute: Farmington Hills, MI, USA, 2016. [Google Scholar]
- Tiberti, G.; Chiriotti, E.; Plizzari, G. Twenty Years of FRC Tunnel Segments Practice: Lessons Learnt and Proposed Design Principles; ITA Report No. 16; Internationaltunnelling and Underground Space Association: Paris, France, 2016; Available online: https://about.ita-aites.org/publications/wg-publications/1357/twenty-years-of-frc-tunnel-segments-practice (accessed on 1 October 2020).
- de la Fuente, A.; Blanco, A.; Armengou, J.; Aguado, A. Sustainability-Based Approach to Determine the Concrete Type and Reinforcement Configuration of TBM Tunnel Linings. Case Study: Extension Line to Barcelona Airport T1. Tunn. Undergr. Space Technol. 2017, 61, 179–188. [Google Scholar] [CrossRef]
- Caratelli, A.; Meda, A.; Rinaldi, Z.; Romualdi, P. Structural Behaviour of Precast Tunnel Segments in Fiber Reinforced Concrete. Tunn. Undergr. Space Technol. 2011, 26, 284–291. [Google Scholar] [CrossRef]
- Abbas, S.; Soliman, A.M.; Nehdi, M.L. Experimental Study on Settlement and Punching Behavior of Full-Scale RC and SFRC Precast Tunnel Lining Segments. Eng. Struct. 2014, 72, 1–10. [Google Scholar] [CrossRef]
- Meda, A.; Rinaldi, Z.; Spagnuolo, S.; De Rivaz, B.; Giamundo, F. Experimental Behaviour of Precast Tunnel Segments in Steel Fiber Reinforcement with GFRP Rebars. In Proceedings of the FRC2018: Fibre Reinforced Concrete: From Design to Structural Applications Joint ACI-fib-RILEM International Workshop, Desenzano, Italy, 28–30 June 2018; American Concrete Institute (ACI): Farmington Hills, MI, USA, 2020. Available online: https://api.semanticscholar.org/CorpusID:204779137 (accessed on 1 October 2020).
- Liao, L.; de la Fuente, A.; Cavalaro, S.; Aguado, A. Design Procedure and Experimental Study on Fibre Reinforced Concrete Segmental Rings for Vertical Shafts. Mater. Des. 2016, 92, 590–601. [Google Scholar] [CrossRef]
- Zheng, A.; Xu, B.; Chen, X. Study on Reliability of Steel Fiber Reinforced Concrete Segments of Metro in Marine Strata. Mod. Tunn. Technol. 2020, 04, 52–58. [Google Scholar]
- fib. fib Model Code for Concrete Structure 2010; Fédération Internationale du Béton: Lausanne, Switzerland, 2013; Available online: https://www.ernst-und-sohn.de/index.php?q=en/fib-model-code-for-concrete-structures-2010 (accessed on 1 October 2020).
- fib. fib Model Code for Concrete Structure 2020; Fédération Internationale du Béton: Lausanne, Switzerland, 2024; Available online: https://www.fib-international.org/publications/model-codes/model-code-2020.html (accessed on 1 October 2020).
- Sun, B.; Ding, C. Design and advantage introduction of steel fiber concrete segments of shield tunnel high speed railway. J. Hebei Univ. Technol. 2015, 6, 112–115. [Google Scholar]
- Liao, L.; de la Fuente, A.; Cavalaro, S.; Aguado, A. Design of FRC Tunnel Segments Considering the Ductility Requirements of the Model Code 2010. Tunn. Undergr. Space Technol. 2015, 47, 200–210. [Google Scholar] [CrossRef]
- Chiaia, B.; Fantilli, A.P.; Vallini, P. Evaluation of Minimum Reinforcement Ratio in FRC Members and Application to Tunnel Linings. Mater. Struct. 2007, 40, 593–604. [Google Scholar] [CrossRef]
- de la Fuente, A.; Pujadas, P.; Blanco, A.; Aguado, A. Experiences in Barcelona with the Use of Fibres in Segmental Linings. Tunn. Undergr. Space Technol. 2012, 27, 60–71. [Google Scholar] [CrossRef]
- RILEM Technical Committees. σ-ε-Design Method. Mat. Struct. 2003, 36, 560–567. [Google Scholar] [CrossRef]
- DBV. Guide to Good Practice: Steel Fibre Concrete; German Society for Concrete and Construction Technology: Berlin, Germany, 2001. [Google Scholar]
- CNR-DT 204. Guide for the Design and Construction of Fiber-Reinforced Concrete Structures; National Research Council: Rome, Italy, 2006.
- CPH. Instrucción del Hormigón Estructural EHE-08: Spanish Structural Concrete Standard. Annex 14: Recommendations for the Use of Fibre Reinforced Concrete; Ministerio de Fomento: Madrid, Spain, 2008.
- Tiberti, G.; Plizzari, G.; Walraven, J.; Blom, C. Concrete Tunnel Segments with Combined Traditional and Fiber Reinforcement. In Tailor Made Concrete Structures: New Solutions for Our Society, 1st ed.; Walraven, J.C., Stoelhorst, D., Eds.; CRC Press: London, UK, 2008. [Google Scholar]
- Yuan, Y.; Bai, Y.; Liu, J. Assessment Service State of Tunnel Structure. Tunn. Undergr. Space Technol. 2012, 27, 72–85. [Google Scholar] [CrossRef]
- Li, X.; Lin, X.; Zhu, H.; Wang, X.; Liu, Z. Condition Assessment of Shield Tunnel Using a New Indicator: The Tunnel Serviceability Index. Tunn. Undergr. Space Technol. 2017, 67, 98–106. [Google Scholar] [CrossRef]
- DG/TJ08-2123-2013; Code for Structural Appraisal of Shield Tunnel. Shanghai Municipal Commission of City Development and Transport: Shanghai, China, 2013.
- GB/T 22082-2017; Reinforced Concrete Segments, General Administration of Quality Supervision. Inspection and Quarantine of the People’s Republic of China, National Standardization Administration: Beijing, China, 2017.
- GB/T 50081-2019; Standard for Test Methods of Concrete Physical and Mechanical Properties, Chinese Standard. Ministry of Housing and Urban-Rural Development of the People’s Republic of China, State Administration for Market Regulation: Beijing, China, 2019.
- EN 14651:2005+A1:2007; Test Method for Metallic Fibre Concrete—Measuring the Flexural Tensile Strength (Limit of Proportionality (LOP), Residual). European Committee for Standardization: Brussels, Belgium, 2007.
- Mander, J.B.; Priestley, M.J.N.; Park, R. Theoretical Stress-Strain Model for Confined Concrete. J. Struct. Eng. 1988, 114, 1804. [Google Scholar] [CrossRef]
- D’Amato, M.; Braga, F.; Gigliotti, R.; Kunnath, S.; Laterza, M. A Numerical General-Purpose Confinement Model for Non-Linear Analysis of R/C Members. Comput. Struct. 2012, 102–103, 64–75. [Google Scholar] [CrossRef]
- Iqbal, S.; Ali, I.; Room, S.; Khan, S.A.; Ali, A. Enhanced Mechanical Properties of Fiber Reinforced Concrete Using Closed Steel Fibers. Mater. Struct. 2019, 52, 56. [Google Scholar] [CrossRef]
- Han, J.; Zhao, M.; Chen, J.; Lan, X. Effects of Steel Fiber Length and Coarse Aggregate Maximum Size on Mechanical Properties of Steel Fiber Reinforced Concrete. Constr. Build. Mater. 2019, 209, 577–591. [Google Scholar] [CrossRef]
- Shi, X.; Park, P.; Rew, Y.; Huang, K.; Sim, C. Constitutive Behaviors of Steel Fiber Reinforced Concrete under Uniaxial Compression and Tension. Constr. Build. Mater. 2020, 233, 117316. [Google Scholar] [CrossRef]
- Ezeldin, A.S.; Balaguru, P.N. Normal- and high-strength fiber reinforced concrete under compression. J. Mater. Civ. Eng. 1992, 4, 415–429. [Google Scholar] [CrossRef]
- Lu, X.; Zhang, Y.; Nian, X. Experimental Study on Stress-Strain Curves for High-Strength Steel Fiber Reinforced Concrete under Monotonic and Repeated Compressive Loadings. J. Build. Struct. 2017, 38, 135–143. [Google Scholar] [CrossRef]
- Moradi, M.; Bagherieh, A.R.; Esfahani, M.R. Constitutive Modeling of Steel Fiber-Reinforced Concrete. Int. J. Damage Mech. 2020, 29, 388–412. [Google Scholar] [CrossRef]
- Ni, L.; Chen, S.; Li, H.; Tian, X.; Ma, X. Constitutive Relation of Fiber Reinforced Concrete under Uniaxial Compression. Integr. Ferroelectr. 2021, 216, 16–28. [Google Scholar] [CrossRef]
- GB 50010-2010; Code for Design of Concrete Structures, Chinese Standard. Ministry of Housing and Urban-Rural Development of the People’s Republic of China, General Administration of Quality Supervision, Inspection and Quarantine of the People’s Republic of China: Beijing, China, 2015.





















| Reinforcement Ratio (%) | Reinforcement Ratio after Rebar Replacement (%) | Fiber Content (%) | SFRC Class * | Improvement of Bearing Capacity when Crack Width is 0.2 mm (%) | Improvement of Ultimate Bearing Capacity (%) | Improvement of Stiffness ** (%) | Reference | |
|---|---|---|---|---|---|---|---|---|
| SFRC segments | 0.15 | 0 | 0.47 | 6.5 c | +40 | −18 | + | [17] |
| Unkn *** | 0 | 1.5 | Unkn | +98 | −66 | Unkn | [18] | |
| Unkn | 0 | 0.51 | 4.0 g | Unkn | Unkn | Unkn | [19] | |
| Unkn | 0 | 0.64 | 4.0 d | Unkn | Unkn | Unkn | [20] | |
| RC-SFRC segments with rebar partially replaced | 0.67 | 0.45 | 0.45 | Unkn | +38 | +48 | Unkn | [21] |
| 0.67 | 0.3 | 0.45 | Unkn | +3 | +21 | Unkn | ||
| 0.257 | 0.21 | 0.38 | 3.5 c | −3.9 | +1.7 | +190.6 | [1] | |
| 0.257 | 0.195 | 0.51 | 4.0 c | +2.6 | +1.7 | +129.7 | ||
| 0.22 | 0.18 | 1.1 | 2.0 e | +56 | +55 | Unkn | [5] | |
| 0.22 | 0.13 | 1.1 | 2.0 e | + | = | Unkn | [6] | |
| Unkn | 0.24 | 0.51 | 4.0 g | Unkn | Unkn | Unkn | [19] | |
| 0.32 | 0.13 | 0.66 | 1.0 c | −30 | −45 | - | [7] | |
| RC-SFRC segments without rebar replaced | 0.257 | 0.257 | 0.38 | 3.5 c | +2.6 | +13.9 | +128.1 | [1] |
| 0.257 | 0.257 | 0.51 | 4.0 c | +26.2 | +15.6 | +217.2 |
| Cement (P.O 52.5) | Fly Ash (class I) | Water | Sand | Coarse Aggregate | Superplasticizer | Steel Fibers | |
|---|---|---|---|---|---|---|---|
| PC | 370 | 90 | 148 | 702 | 1132 | 5.52 | 0 |
| SFRC | 370 | 90 | 148 | 723 | 1112 | 7.21 | 30 |
| Sample | Type | Yield Strength (MPa) | Length (mm) | Diameter (mm) | Length/Diameter (-) |
|---|---|---|---|---|---|
![]() Unit: mm | Hook-end fibers | 1700 | 60 | 0.75 | 80 |
| Test Item | Concrete Type | Size (mm) | Number |
|---|---|---|---|
| Compression strength (compressive test [37]) | PC | 150 × 150 × 150 (cube) | 3 |
| SFRC | 3 | ||
| PC | 150 × 150 × 300 (prismoid) | 3 | |
| SFRC | 3 | ||
| Flexural tensile strength (three-point bending test [38]) | PC | 150 × 150 × 550 (beam) | 6 |
| SFRC | 6 |
| Step | Load (kN) | Step | Load (kN) |
|---|---|---|---|
| 1 | 192 | 10 | 641 |
| 2 | 208 | 11 | 721 |
| 3 | 256 | 12 | 801 |
| 4 | 264 | 13 | 881 |
| 5 | 307 | 14 | 962 |
| 6 | 370 | 15 | 1042 |
| 7 | 435 | 16 | 1122 |
| 8 | 500 | 17 | 1202 |
| 9 | 561 | 18 | 1282 |
| Compressive Strength of Cubic Specimens | Compressive Strength of Prismatic Specimens | |||||
|---|---|---|---|---|---|---|
| Mean Value | STDV | COV | Mean Value | STDV | COV | |
| PC | 60.60 | 2.45 | 0.04 | 56.03 | 2.27 | 0.04 |
| SFRC | 60.43 | 1.89 | 0.03 | 48.43 | 1.65 | 0.03 |
| fL | fR1 | fR2 | fR3 | fR4 | ||
|---|---|---|---|---|---|---|
| PC | Mean value | 5.38 | - | - | - | - |
| STDV | 1.09 | - | - | - | - | |
| COV | 0.20 | - | - | - | - | |
| SFRC | Mean value | 5.22 | 4.73 | 5.42 | 5.29 | 4.60 |
| STDV | 0.86 | 0.52 | 0.54 | 0.69 | 0.38 | |
| COV | 0.16 | 0.11 | 0.10 | 0.14 | 0.08 |
| Tension | Compression | ||||||||
|---|---|---|---|---|---|---|---|---|---|
| Ec | fct | fR1 | fR3 | ffcu | fcf,r | Vf | lf | df | |
| PC | 36,000 | 2.85 | - | - | 60 | 56.03 | - | - | - |
| SFRC | 36,000 | 2.85 | 4.73 | 5.29 | 60 | 48.43 | 0.385% | 60 | 0.75 |
| Crack Initialization | Shear Crack Appearance | Circumferential Crack Appearance | Ultimate Load | |
|---|---|---|---|---|
| RC1 | 192 | 721 | 881 | 960 |
| RC2 | 187 | 881 | 881 | 1042 |
| RC-SFRC1 | 239 | 962 | 1042 | 1202 |
| RC-SFRC2 | 190 | 881 | 962 | 1202 |
Disclaimer/Publisher’s Note: The statements, opinions and data contained in all publications are solely those of the individual author(s) and contributor(s) and not of MDPI and/or the editor(s). MDPI and/or the editor(s) disclaim responsibility for any injury to people or property resulting from any ideas, methods, instructions or products referred to in the content. |
© 2024 by the authors. Licensee MDPI, Basel, Switzerland. This article is an open access article distributed under the terms and conditions of the Creative Commons Attribution (CC BY) license (https://creativecommons.org/licenses/by/4.0/).
Share and Cite
Zhang, F.; De Corte, W.; Taerwe, L.; Cao, W.; Liu, X. A Study on the Bending Stiffness of Reinforced Concrete Tunnel Segments with Added Steel Fibers. Materials 2025, 18, 48. https://doi.org/10.3390/ma18010048
Zhang F, De Corte W, Taerwe L, Cao W, Liu X. A Study on the Bending Stiffness of Reinforced Concrete Tunnel Segments with Added Steel Fibers. Materials. 2025; 18(1):48. https://doi.org/10.3390/ma18010048
Chicago/Turabian StyleZhang, Fan, Wouter De Corte, Luc Taerwe, Weibiao Cao, and Xian Liu. 2025. "A Study on the Bending Stiffness of Reinforced Concrete Tunnel Segments with Added Steel Fibers" Materials 18, no. 1: 48. https://doi.org/10.3390/ma18010048
APA StyleZhang, F., De Corte, W., Taerwe, L., Cao, W., & Liu, X. (2025). A Study on the Bending Stiffness of Reinforced Concrete Tunnel Segments with Added Steel Fibers. Materials, 18(1), 48. https://doi.org/10.3390/ma18010048


