Colloid Mill-Assisted Ultrasonic-Fractional Centrifugal Purification of Low-Grade Attapulgite and Its Modification for Adsorption of Congo Red
Abstract
1. Introduction
2. Materials and Methods
2.1. Materials
2.2. Methods
2.2.1. Purification of Low-Grade Attapulgite
2.2.2. Preparation of Modified Attapulgite
2.2.3. Preparation of Attapulgite Pellets
2.2.4. Congo Red Adsorption Capacities of QAPT
2.2.5. Adsorbents’ Characterization
2.2.6. Statistical Method
3. Results
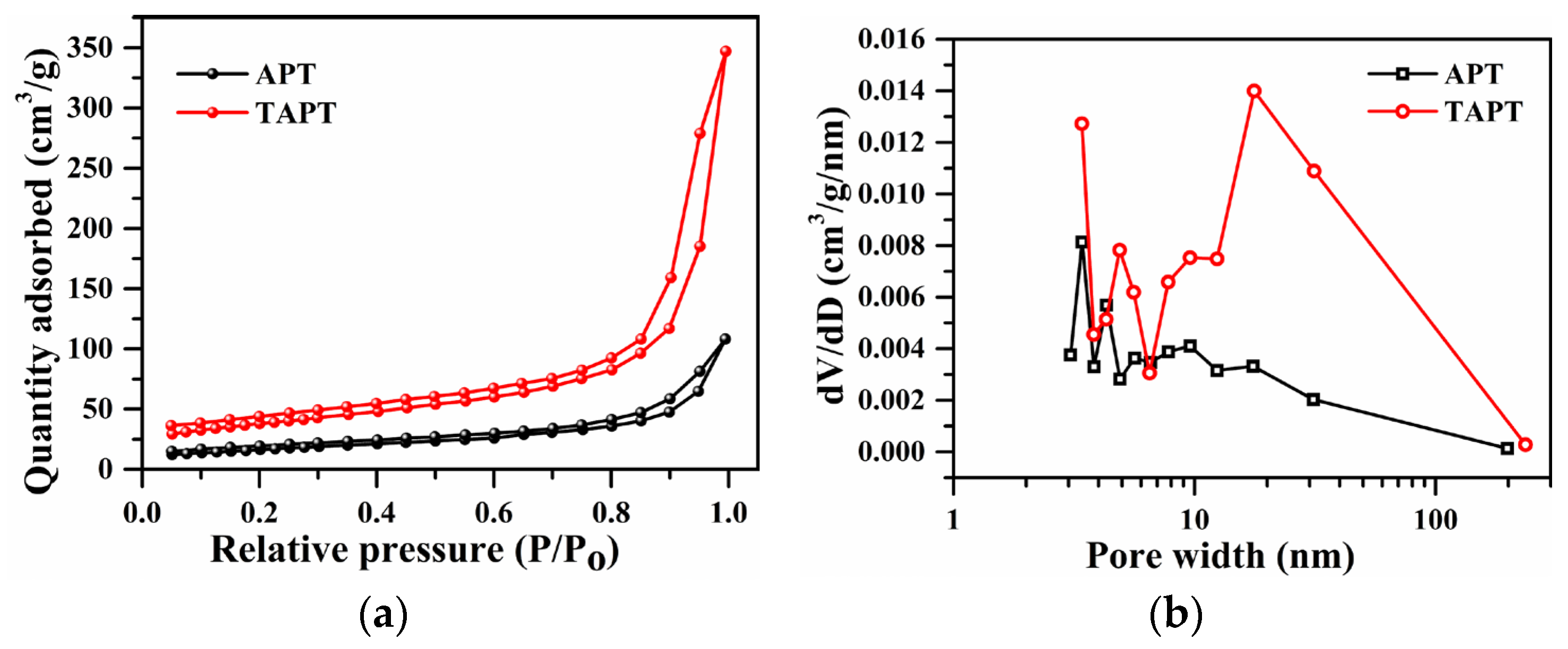
3.1. Composition, Structure, and Morphology of TAPT
3.2. Characteristics of QAPT Samples
3.3. Adsorption Property of QAPT Adsorbents for Congo Red
3.3.1. Adsorption Kinetics of QAPT Adsorbents for Congo Red
3.3.2. Adsorption Thermodynamics of QAPT-5 for Congo Red
3.4. Adsorption Performance of Pellets in a Fixed-Bed Adsorption Column
4. Discussion
4.1. Exploration of Adsorption Mechanism
4.2. Perspectives about Refinement and Application of Low-Grade Attapulgite
5. Conclusions
Author Contributions
Funding
Institutional Review Board Statement
Informed Consent Statement
Data Availability Statement
Conflicts of Interest
References
- Bradley, W.F. The structural scheme of attapulgite. Am. Mineral. 1940, 25, 405–410. [Google Scholar]
- Chen, H.; Zhao, J.; Zhong, A.G.; Jin, Y.X. Removal capacity and adsorption mechanism of heat-treated palygorskite clay for methylene blue. Chem. Eng. J. 2011, 174, 143–150. [Google Scholar] [CrossRef]
- Murray, H.H. Traditional and new applications for kaolin, smectite, and palygorskite: A general overview. Appl. Clay Sci. 2000, 17, 207–221. [Google Scholar] [CrossRef]
- Zhou, J.; Liu, N.; Li, Y.; Ma, Y.J. Microscopic Structure Characteristics of Attapulgite. Bull. Chin. Ceram. Soc. 1999, 18, 50–55. [Google Scholar]
- Murray, H.H. Applied clay mineralogy occurrences, processing and application of kaolins, bentonites, palygorskite-sepiolite, and common clay. Dev. Clay Sci. 2006, 2, 131–140. [Google Scholar]
- Chang, P.H.; Sarkar, B. Mechanistic insights into ethidium bromide removal by palygorskite from contaminated water. J. Environ. Manag. 2021, 278, 111586. [Google Scholar] [CrossRef] [PubMed]
- Kypritidou, Z.; Argyraki, A. Geochemical interactions in the trace element-soil-clay system of treated contaminated soils by Fe-rich clays. Environ. Geochem. Health 2021, 43, 2483–2503. [Google Scholar] [CrossRef]
- Rodrigues, P.V.; Silva, F.A.N.G.; Pontes, F.V.M.; Barbato, C.N.; Teixeira, V.G.; de Assis, T.C.; Brandao, V.S.; Bertolino, L.C. Adsorption of Glyphosate by Palygorskite. Mater. Res.-Ibero-Am. J. Mater. 2023, 26, e20220335. [Google Scholar] [CrossRef]
- de Brito Buriti, B.M.A.; Barsosa, M.E.; da Silva Buriti, J.; de Melo Cartaxo, J.; Ferreira, H.S.; de Araújo Neves, G. Modification of palygorskite with cationic and nonionic surfactants for use in oil-based drilling fluids. J. Therm. Anal. Calorim. 2022, 147, 2935–2945. [Google Scholar] [CrossRef]
- da Silva, R.P.; Dantas, T.N.D.; Barillas, J.L.M.; Santanna, V.C. The use of organopalygorskite as rheological additive in non-aqueous drilling fluids: Colloidal stability, contact angle, and cutting’s transport ratio. Geoenergy Sci. Eng. 2023, 223, 211499. [Google Scholar] [CrossRef]
- Ramos-Torres, W.; Borges-Argáez, R.; Gonzalez-Chi, P.I. Nanostructured chitosan-palygorskite hybrid microspheres for controlled delivery of thymol. Mater. Res. Express 2021, 8, 105010. [Google Scholar] [CrossRef]
- Fashina, B.; Deng, Y.J. Smectite, sepiolite, and palygorskite for inactivation of pyocyanin, a biotoxin produced by drug-resistant Pseudomonas aeruginosa. Microporous Mesoporous Mater. 2022, 331, 111668. [Google Scholar] [CrossRef]
- Junior, E.D.; de Almeida, J.M.F.; Silva, I.D.; de Assis, M.L.M.; Santos, L.M.D.; Dias, E.F.; da Silva, F.E.; Fernandes, N.S.; da Silva, D.R. Obtaining and Applying Nanohybrid Palygorskite-Rifampicin in the pH-Responsive Release of the Tuberculostatic Drug. Langmuir 2020, 36, 10251–10269. [Google Scholar] [CrossRef] [PubMed]
- Ramos-Castillo, C.M.; Sánchez-Ochoa, F.; González-Sánchez, J.; Tapia, A.; Canto, G. Hydrogen physisorption on palygorskite dehydrated channels: A van der Waals density functional study. Int. J. Hydrogen Energy 2019, 44, 21936–21947. [Google Scholar] [CrossRef]
- Wang, S.; Ren, H.D.; Lian, W.; Zhang, X.M.; Liu, Z.Y.; Liu, Y.; Zhang, T.S.; Kong, L.B.; Bai, H.C. Dispersed spherical shell-shaped palygorskite/carbon/polyaniline composites with advanced microwave absorption performances. Powder Technol. 2021, 387, 277–286. [Google Scholar] [CrossRef]
- Almeida, J.A.; Oliveira, A.S.; Rigoti, E.; Neto, J.C.D.; de Alcântara, A.C.S.; Pergher, S.B.C. Design of solid foams for flame retardant based on bionanocomposites systems. Appl. Clay Sci. 2019, 180, 105173. [Google Scholar] [CrossRef]
- Lv, G.C.; Liao, L.B.; Rao, W.X.; Liu, X.H. Resource Distribution and Application of Attapulgite. Conserv. Util. Miner. Resour. 2019, 39, 112–120. [Google Scholar]
- Zhou, J.Y.; Cui, B.F. Discussion on genetic types of attapulgite clay deposits in China. East China Geol. 2015, 36, 266–275. [Google Scholar]
- Allouche, F.; Eloussaief, M.; Ghrab, S.; Kallel, N. Clay material of an eocene deposit (khanguet rheouis, tunisia): Identification using geochemical and mineralogical characterization. Clays Clay Miner. 2020, 68, 262–272. [Google Scholar] [CrossRef]
- Boudriche, L.; Chamayou, A.; Calvet, R.; Hamdi, B.; Balard, H. Influence of different dry milling processes on the properties of an attapulgite clay, contribution of inverse gas chromatography. Powder Technol. 2014, 254, 352–363. [Google Scholar] [CrossRef]
- Wang, S. Influence of mechanical squeezing on viscidity of attapulgite. China Non-Met. Miner. Ind. 2005, 3, 23–24. [Google Scholar]
- Xu, J.X.; Zhang, J.P.; Wang, Q.; Wang, A.Q. Disaggregation of palygorskite crystal bundles via high-pressure homogenization. Appl. Clay Sci. 2011, 54, 118–123. [Google Scholar] [CrossRef]
- Darvishi, Z.; Morsali, A. Sonochemical preparation of palygorskite nanoparticles. Appl. Clay Sci. 2011, 51, 51–53. [Google Scholar] [CrossRef]
- Asamoah, E.N.; Liu, H.; Fan, X.Y. Enhanced dechlorination of 2, 4-dichlorophenol using nanorod palygorskite-loaded Fe/Ni nanoparticles: Performance evaluation, influencing factors and action mechanism of Fe and Ni. J. Environ. Technol. Innov. 2023, 32, 103452. [Google Scholar] [CrossRef]
- Zhao, Y.; Li, F.; Zhang, R.; Evans, D.G.; Duan, X. Preparation of layered double-hydroxide nanomaterials with a uniform crystallite size using a new method involving separate nucleation and aging steps. Chem. Mater. 2002, 14, 4286–4291. [Google Scholar] [CrossRef]
- Guo, S.C.; Evans, D.G.; Li, D.Q.; Duan, X. Experimental and numerical investigation of the precipitation of barium sulfate in a rotating liquid film reactor. AIChE J. 2009, 55, 2024–2034. [Google Scholar] [CrossRef]
- Li, Z.; He, L.; Tian, W.; Huang, R.; Wang, X.; Li, D.; Tang, P.; Feng, Y. Batch and fixed-bed adsorption behavior of porous boehmite with high percentage of exposed (020) facets and surface area towards Congo red. Inorg. Chem. Front. 2021, 8, 735–745. [Google Scholar] [CrossRef]
- Figueiredo, V.V.; Vianna, E.L.F.; Lima, B.S.; Jesus, T.C.L.; García-Villén, F.; Bertolino, L.C.; Spinelli, L.S.; Viseras, C. Brazilian palygorskite as an alternative to commercial adsorbents for methylene blue: A discussion about composition, morphology and pore profile. Microporous Mesoporous Mater. 2024, 366, 112957. [Google Scholar] [CrossRef]
- Liu, Y.X.; Zhong, H.; Li, X.R.; Bao, Z.L.; Cheng, Z.P.; Zhang, Y.J.; Li, C.X. Fabrication of attapulgite-based dual responsive composite hydrogel and its efficient adsorption for methyl violet. Environ. Technol. 2022, 43, 1480–1492. [Google Scholar] [CrossRef]
- Giustetto, R.; Wahyudi, O. Sorption of red dyes on palygorskite: Synthesis and stability of red/purple Mayan nanocomposites. Microporous Mesoporous Mater. 2011, 142, 221–235. [Google Scholar] [CrossRef]
- Prouzet, E.; Khani, Z.; Bertrand, M.; Tokumoto, M.; Guyot-Ferreol, V.; Tranchant, J.-F. An example of integrative chemistry: Combined gelation of boehmite and sodium alginate for the formation of porous beads. Microporous Mesoporous Mater. 2006, 96, 369–375. [Google Scholar] [CrossRef]
- Lagergren, S. About the theory of so-called adsorption of soluble substances. K. Sven. Vetensk. Handl. 1898, 24, 1–39. [Google Scholar]
- Blanchard, G.; Maunaye, M.; Martin, G. Removal of heavy metals from waters by means of natural zeolites. Water Res. 1984, 18, 1501–1507. [Google Scholar] [CrossRef]
- Weber, W.J.; Morris, J.C. Kinetics of adsorption on carbon from solution. J. Sanit. Eng. Div. 1963, 89, 31–60. [Google Scholar] [CrossRef]
- Langmuir, I. The adsorption of gases on plane surfaces of glass, mica and platinum. J. Am. Chem. Soc. 1918, 40, 1361–1403. [Google Scholar] [CrossRef]
- Freundlich, H. Über die Adsorption in Losungen. Z. Phys. Chem. 1906, 57, 385–471. [Google Scholar] [CrossRef]
- Rusmin, R.; Sarkar, B.; Biswas, B.; Churchman, J.; Liu, Y.; Naidu, R. Structural, electrokinetic and surface properties of activated palygorskite for environmental application. Appl. Clay Sci. 2016, 134, 95–102. [Google Scholar] [CrossRef]
- Mushtaq, M.; Wasim, M.; Naeem, M.A.; Khan, M.R.; Yue, S.; Saba, H.; Hussain, T.; Siddiqui, M.Q.; Farooq, A.; Wei, Q.F. Composite of PLA Nanofiber and Hexadecyl Trimethyl-Ammonium Chloride-Modified Montmorillonite Clay: Fabrication and Morphology. Coatings 2020, 10, 484. [Google Scholar] [CrossRef]
- Bhatt, A.S.; Sakaria, P.L.; Vasudevan, M.; Pawar, R.R.; Sudheesh, N.; Bajaj, H.C.; Mody, H.M. Adsorption of an anionic dye from aqueous medium by organoclays: Equilibrium modeling, kinetic and thermodynamic exploration. RSC Adv. 2012, 2, 8663–8671. [Google Scholar] [CrossRef]
- Thommes, M.; Kaneko, K.; Neimark, A.V.; Olivier, J.P.; Rodriguez-Reinoso, F.; Rouquerol, J.; Sing, K.S.W. Physisorption of gases, with special reference to the evaluation of surface area and pore size distribution (IUPAC Technical Report). Pure Appl. Chem. 2015, 87, 1051–1069. [Google Scholar] [CrossRef]
- Buapuean, T.; Jarudilokkul, S. Synthesis of Mesoporous Zn-doped TiO2 Nanoparticles by Colloidal Emulsion Aphrons and Their Use for Dye-sensitized Solar Cells. Russ. J. Appl. Chem. 2020, 93, 1229–1236. [Google Scholar] [CrossRef]
- Oliveira, M.E.R.; Santos, L.D.; da Silva, M.L.D.; da Cunha, H.N.; da Silva, E.C.; Leite, C.M.D. Preparation and characterization of composite polyaniline/poly(vinyl alcohol)/palygorskite. Microporous Mesoporous Mater. 2015, 119, 37–46. [Google Scholar] [CrossRef]
- Walter, W.J. Evolution of a technology. J. Environ. Eng. 1984, 110, 899–917. [Google Scholar]
- Ghosal, P.S.; Gupta, A.K. An insight into thermodynamics of adsorptive removal of fluoride by calcined Ca-Al-(NO3) layered double hydroxide. RSC Adv. 2015, 5, 105889–105900. [Google Scholar] [CrossRef]
- Tran, H.N.; You, S.J.; Chao, H.P. Thermodynamic parameters of cadmium adsorption onto orange peel calculated from various methods: A comparison study. J. Environ. Chem. Eng. 2016, 4, 2671–2682. [Google Scholar] [CrossRef]
- Chen, H.; Zhao, J. Adsorption study for removal of Congo red anionic dye using organo-attapulgite. Adsorption 2009, 15, 381–389. [Google Scholar] [CrossRef]
- Peng, Y.G.; Chen, D.J.; Ji, J.L.; Kong, Y.; Wan, H.X.; Yao, C. The preparation of titanium dioxide/palygorskite composite and its application in the adsorption of congo red. Environ. Prog. Sustain. Energy 2013, 32, 1090–1095. [Google Scholar] [CrossRef]
- Ouyang, J.; Zhao, Z.; Suib, S.L.; Yang, H.M. Degradation of Congo Red dye by a Fe2O3@CeO2-ZrO2/Palygorskite composite catalyst: Synergetic effects of Fe2O3. J. Colloid Interface Sci. 2019, 539, 135–145. [Google Scholar] [CrossRef] [PubMed]
- Zhong, L.F.; Tang, A.D.; Yan, P.; Wang, J.J.; Wang, Q.J.; Wen, X.; Cui, Y. Palygorskite-template amorphous carbon nanotubes as a superior adsorbent for removal of dyes from aqueous solutions. J. Colloid Interface Sci. 2019, 537, 450–457. [Google Scholar] [CrossRef]
- Lu, Y.S.; Duan, F.Z.; Zhu, Y.F.; Wang, A.Q. Sustainable utilization metal ions of acid leaching clay wastewater to fabricate adsorbents for high-efficient removing Congo red and Methyl violet. Chem. Eng. Res. Des. 2023, 194, 854–868. [Google Scholar] [CrossRef]
- Gao, W.T.; Mu, B.; Zhu, Y.F.; Wang, A.Q. Preparation of palygorskite/MIL-88A(Fe) composites for high-efficient removal of Congo red. Appl. Clay Sci. 2023, 242, 107003. [Google Scholar] [CrossRef]
- Yang, S.; Zhao, F.; Sang, Q.Q.; Zhang, Y.; Chang, L.; Huang, D.J.; Mu, B. Investigation of 3-aminopropyltriethoxysilane modifying attapulgite for Congo red removal: Mechanisms and site energy distribution. Powder Technol. 2021, 383, 74–83. [Google Scholar] [CrossRef]
- Zhang, Y.X.; Ye, Y.J.; Zhou, X.B.; Liu, Z.L.; Zhu, G.P.; Li, D.C.; Li, X.H. Monodispersed hollow aluminosilica microsphere@hierarchical γ-AlOOH deposited with or without Fe(OH)3 nanoparticles for efficient adsorption of organic pollutants. J. Mater. Chem. A 2016, 4, 838–846. [Google Scholar] [CrossRef]
- Li, Z.C.; Hanafy, H.; Zhang, L.; Sellaoui, L.; Netto, M.S.; Oliveira, M.L.S.; Seliem, M.K.; Dotto, G.L.; Bonilla-Petriciolet, A.; Li, Q. Adsorption of congo red and methylene blue dyes on an ashitaba waste and a walnut shell-based activated carbon from aqueous solutions: Experiments, characterization and physical interpretations. Chem. Eng. J. 2020, 388, 124263. [Google Scholar] [CrossRef]
- Waheed, A.; Mansha, M.; Kazi, I.W.; Ullah, N. Synthesis of a novel 3,5-diacrylamidobenzoic acid based hyper-cross-linked resin for the efficient adsorption of Congo Red and Rhodamine B. J. Hazard. Mater. 2019, 369, 528–538. [Google Scholar] [CrossRef] [PubMed]
- Wang, Y.; Li, W.; Jiao, X.; Chen, D. Electrospinning preparation and adsorption properties of mesoporous alumina fibers. J. Mater. Chem. A 2013, 1, 10720–10726. [Google Scholar] [CrossRef]
- Jo, J.Y.; Choi, J.H.; Tsang, Y.F.; Baek, K. Pelletized adsorbent of alum sludge and bentonite for removal of arsenic. Environ. Pollut. 2021, 277, 116747. [Google Scholar] [CrossRef]
- Condurache, B.C.; Cojocaru, C.; Bargan, A.; Samoila, P.; Harabagiu, V. Dynamic Adsorption of a Cationic Dye onto Wool Fibers as Column-Filling Media: Response Surface Optimization and Fixed-Bed Adsorption Modeling. Materials 2024, 17, 790. [Google Scholar] [CrossRef] [PubMed]
- Xu, C.; Feng, Y.; Li, H.; Li, Y.; Yao, Y. Purification of natural palygorskite clay: Process optimization, cleaner production, mineral characterization, and decolorization performance. Appl. Clay Sci. 2024, 250, 107268. [Google Scholar] [CrossRef]
- Chen, Y.Y.; Yu, S.H.; Jiang, H.F.; Yao, Q.Z.; Fu, S.Q.; Zhou, G.T. Performance and mechanism of simultaneous removal of Cd(II) and Congo red from aqueous solution by hierarchical vaterite spherulites. Appl. Surf. Sci. 2018, 444, 224–234. [Google Scholar] [CrossRef]
- Alexander, M.R.; Short, R.D.; Jones, F.R.; Michaeli, W.; Blomfield, C.J. A study of HMDSO/O2 plasma deposits using a high-sensitivity and -energy resolution XPS instrument: Curve fitting of the Si 2p core level. Appl. Surf. Sci. 1999, 137, 179–183. [Google Scholar] [CrossRef]
- Aoopngan, C.; Nonkumwong, J.; Phumying, S.; Promjantuek, W.; Maensiri, S.; Noisa, P.; Pinitsoontorn, S.; Ananta, S.; Srisombat, L. Amine-functionalized and hydroxyl-functionalized magnesium ferrite nanoparticles for Congo red adsorption. ACS Appl. Nano Mater. 2019, 2, 5329–5341. [Google Scholar] [CrossRef]














| Samples | SiO2/% | MgO/% | Al2O3/% | Fe2O3/% | P2O5/% | CaO/% | K2O/% | Na2O/% | TiO2/% | Other/% |
|---|---|---|---|---|---|---|---|---|---|---|
| APT | 48.74 | 5.64 | 14.69 | 16.63 | 0.19 | 4.47 | 7.18 | / | 1.35 | 1.11 |
| TAPT | 52.98 | 7.24 | 13.95 | 14.85 | 1.56 | 0.73 | 4.99 | 1.26 | 0.36 | 2.08 |
| Samples | SBET (m2/g) | Vtot (cm3/g) | Dpore (nm) |
|---|---|---|---|
| APT | 60.57 | 0.15 | 3.42 |
| TAPT | 135.5 | 0.50 | 17.67 |
| QAPT-0.5 | 120.4 | 0.55 | 17.46 |
| QAPT-1 | 100.3 | 0.51 | 17.62 |
| QAPT-3 | 72.53 | 0.41 | 17.55 |
| QAPT-5 | 71.29 | 0.43 | 17.43 |
| Samples | (mg·g−1) | Pseudo-First-Order Model | Pseudo-Second-Order Model | ||||
|---|---|---|---|---|---|---|---|
(mg·g−1) | ·(min−1) | R2 | (mg·g−1) | ·(g·mg−1·min−1) | R2 | ||
| TAPT | 198.8 | 174.7 | 4.125 × 10−1 | 0.8342 | 179.6 | 3.890 × 10−3 | 0.8870 |
| QAPT-0.5 | 491.3 | 437.4 | 1.362 × 10−1 | 0.8682 | 457.1 | 4.217 × 10−4 | 0.9368 |
| QAPT-1 | 706.2 | 590.9 | 1.434 × 10−1 | 0.7820 | 624.9 | 2.778 × 10−4 | 0.8709 |
| QAPT-3 | 752.4 | 642.1 | 3.773 × 10−2 | 0.7675 | 684.3 | 8.847 × 10−5 | 0.8650 |
| QAPT-5 | 758.4 | 671.6 | 3.476 × 10−2 | 0.7942 | 693.8 | 1.223 × 10−4 | 0.8848 |
| T/K | / mg·g−1 | Langmuir Model | Freundlich Model | ||||
|---|---|---|---|---|---|---|---|
| /mg·g−1 | KL/L·mg−1 | RL2 | KF/(mg·g−1)/(mg∙L−1)n | n | RF2 | ||
| 293 | 1447.2 | 1381.4 | 0.3238 | 0.9161 | 761.9 | 0.1027 | 0.9080 |
| 303 | 1652.2 | 1546.3 | 0.4547 | 0.9243 | 825.8 | 0.1119 | 0.9307 |
| 313 | 1630.2 | 1529.0 | 0.3632 | 0.8940 | 786.9 | 0.1192 | 0.9615 |
| 323 | 1500.0 | 1371.3 | 0.3337 | 0.8078 | 690.9 | 0.1222 | 0.9776 |
| T(K) | KC | (kj/mol) | (kj/mol) | (j/(mol∙K)) | Van ’t Hoff Equation |
|---|---|---|---|---|---|
| 293 | 12.12 | −29.63 | −9.77 | 67.77 | y = 1175.2x + 8.1516 |
| 303 | 12.08 | −30.31 | R2 = 0.9356 | ||
| 313 | 11.93 | −30.98 | |||
| 323 | 11.76 | −31.66 |
| Adsorbents | (mg/g) | pH Value | Ref. |
|---|---|---|---|
| Organo-attapulgite | 189.39 | 7.0 | [46] |
| TiO2/palygorskite | 518.13 | 7.0 | [47] |
| Fe2O3@CeO2-ZrO2/Palygorskite | 118.75 | 3.4 | [48] |
| CTA-QS-1.2 | 664.29 ± 3.92 | 7~8 | [39] |
| DTA-QS-1.2 | 684.01 ± 8.50 | ||
| CTA-1.2 | 145.1 ± 3.61 | ||
| Pal@C | 34.40 | 1–13 | [49] |
| ACNTs | 467.97 | ||
| Mg-Al-Fe MMO | 1369 | 13 | [50] |
| Palygorskite/MIL-88A(Fe) | 1141.4 | 10 | [51] |
| APTES/ATP/6 | 142.93 | 6.5 | [52] |
| Amino-functionalized SiO2-AlOOH | 252.53 | - | [53] |
| Ashitaba waste activated carbons | 632.1 | 7 | [54] |
| Hyper-cross-linked resin | 280.0 | 5.01~8.14 | [55] |
| γ-Al2O3 fibers | 781.25 | neutral | [56] |
| Boehmite | 1298.3 | neutral | [27] |
| QAPT-5 | 1652.2 | neutral | This work |
| Sample | Zeta Potential/mV |
|---|---|
| TAPT | −31.27 ± 0.32 |
| CAPT-0.5 | −17.47 ± 0.40 |
| CAPT-1 | −16.63 ± 0.31 |
| CAPT-3 | 5.22 ± 1.51 |
| CAPT-5 | 8.25 ± 1.56 |
| CAPT-5-CR | −24.8 ±1.95 |
Disclaimer/Publisher’s Note: The statements, opinions and data contained in all publications are solely those of the individual author(s) and contributor(s) and not of MDPI and/or the editor(s). MDPI and/or the editor(s) disclaim responsibility for any injury to people or property resulting from any ideas, methods, instructions or products referred to in the content. |
© 2024 by the authors. Licensee MDPI, Basel, Switzerland. This article is an open access article distributed under the terms and conditions of the Creative Commons Attribution (CC BY) license (https://creativecommons.org/licenses/by/4.0/).
Share and Cite
Wang, X.; Jiang, C.; Li, H.; Tian, W.; Ahmed, S.; Feng, Y. Colloid Mill-Assisted Ultrasonic-Fractional Centrifugal Purification of Low-Grade Attapulgite and Its Modification for Adsorption of Congo Red. Materials 2024, 17, 2034. https://doi.org/10.3390/ma17092034
Wang X, Jiang C, Li H, Tian W, Ahmed S, Feng Y. Colloid Mill-Assisted Ultrasonic-Fractional Centrifugal Purification of Low-Grade Attapulgite and Its Modification for Adsorption of Congo Red. Materials. 2024; 17(9):2034. https://doi.org/10.3390/ma17092034
Chicago/Turabian StyleWang, Xingpeng, Chao Jiang, Huiyu Li, Weiliang Tian, Saeed Ahmed, and Yongjun Feng. 2024. "Colloid Mill-Assisted Ultrasonic-Fractional Centrifugal Purification of Low-Grade Attapulgite and Its Modification for Adsorption of Congo Red" Materials 17, no. 9: 2034. https://doi.org/10.3390/ma17092034
APA StyleWang, X., Jiang, C., Li, H., Tian, W., Ahmed, S., & Feng, Y. (2024). Colloid Mill-Assisted Ultrasonic-Fractional Centrifugal Purification of Low-Grade Attapulgite and Its Modification for Adsorption of Congo Red. Materials, 17(9), 2034. https://doi.org/10.3390/ma17092034

