A Porous Fluoride-Substituted Bovine-Derived Hydroxyapatite Scaffold Constructed for Applications in Bone Tissue Regeneration
Abstract
1. Introduction
2. Materials and Methods
2.1. Preparation of Bovine Fluorapatite (BFA)
2.2. Characterisation
2.3. Chemical Stability and Degradation in Simulated Body Fluid
2.4. Mechanical Properties
2.5. Cell Culture
2.5.1. Cell Viability/Cytotoxicity Assay
2.5.2. Cell Proliferation Assay
2.5.3. Alkaline Phosphatase (ALP) Activity
2.5.4. Immunohistochemical Analysis
2.5.5. Statistical Analysis
3. Results
3.1. Characterization
3.1.1. Fourier Transform Infrared (FTIR) Spectroscopy
3.1.2. X-ray Diffraction (XRD) Analysis
3.1.3. Scanning Electron Microscopy (SEM)
3.1.4. Energy Dispersive X-ray (EDX) and Inductively Coupled Plasma-Mass Spectrometry (ICP-MS) Analysis
3.1.5. Micro-CT Analysis
3.1.6. Thermogravimetric Analysis (TGA)
3.2. Chemical Stability and Degradation in Simulated Body Fluid
3.2.1. Chemical Stability
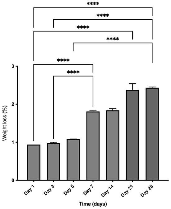
3.2.2. Degradation
3.3. Mechanical Properties
3.4. Biocompatibility
3.4.1. Cell Viability Assay
3.4.2. Cell Proliferation Assay
3.4.3. Alkaline Phosphatase (ALP) Assay
3.4.4. Immunofluorescence Assay
4. Discussion
5. Conclusions
6. Patents
Author Contributions
Funding
Institutional Review Board Statement
Informed Consent Statement
Data Availability Statement
Acknowledgments
Conflicts of Interest
References
- Wang, W.; Yeung, K.W.K. Bone grafts and biomaterials substitutes for bone defect repair: A review. Bioact. Mater. 2017, 2, 224–247. [Google Scholar] [CrossRef] [PubMed]
- Zhao, R.; Yang, R.; Cooper, P.R.; Khurshid, Z.; Shavandi, A.; Ratnayake, J. Bone Grafts and Substitutes in Dentistry: A Review of Current Trends and Developments. Molecules 2021, 26, 3007. [Google Scholar] [CrossRef] [PubMed]
- Ramesh, N.; Ratnayake, J.T.B.; Dias, G.J. Calcium-Based Ceramic Biomaterials. In Structural Biomaterials; Wen, C., Ed.; Woodhead Publishing: Sawston, UK, 2021; pp. 333–394. [Google Scholar]
- Huang, J.; Ratnayake, J.; Ramesh, N.; Dias, G.J. Development and Characterization of a Biocomposite Material from Chitosan and New Zealand-Sourced Bovine-Derived Hydroxyapatite for Bone Regeneration. ACS Omega 2020, 5, 16537–16546. [Google Scholar] [CrossRef]
- Mucalo, M.R.; Worth, A.J. Biomedicals from Bone. Chem. N. Z. 2008, 21, 13–18. [Google Scholar]
- Khurshid, Z.; Alfarhan, M.F.; Mazher, J.; Bayan, Y.; Cooper, P.R.; Dias, G.J.; Adanir, N.; Ratnayake, J. Extraction of Hydroxy-apatite from Camel Bone for Bone Tissue Engineering Application. Molecules 2022, 27, 7946. [Google Scholar] [CrossRef]
- Ratnayake, J.T.B.; Gould, M.L.; Shavandi, A.; Mucalo, M.; Dias, G.J. Development and characterization of a xenograft material from New Zealand sourced bovine cancellous bone. J. Biomed Mater. Res. B Appl. Biomater. 2017, 105, 1054–1062. [Google Scholar] [CrossRef]
- Akram, M.; Ahmed, R.; Shakir, I.; Ibrahim, W.A.W.; Hussain, R. Extracting hydroxyapatite and its precursors from natural resources. J. Mater. Sci. 2014, 49, 1461–1475. [Google Scholar] [CrossRef]
- Ratnayake, J.T.B.; Mucalo, M.; Dias, G.J. Substituted hydroxyapatites for bone regeneration: A review of current trends. J. Biomed Mater. Res. B Appl. Biomater. 2017, 105, 1285–1299. [Google Scholar] [CrossRef]
- Talal, A.; Hamid, S.K.; Khan, M.; Khan, A.S. Structure of Biological Apatite. In Handbook of Ionic Substituted Hydroxyapatites; Khan, A.S., Chaudhry, A.A., Eds.; Woodhead Publishing: Sawston, UK, 2020; pp. 1–19. [Google Scholar]
- Cheng, K.; Shen, G.; Weng, W.J.; Han, G.R.; Ferreira, J.M.F.; Yang, J. Synthesis of hydroxyapatite/fluoroapatite solid solution by a sol-gel method. Mater. Lett. 2001, 51, 37–41. [Google Scholar] [CrossRef]
- Kim, H.W.; Li, L.H.; Koh, Y.H.; Knowles, J.C.; Kim, H.E. Sol–Gel Preparation and Properties of Fluoride-Substituted Hydroxyapatite Powders. J. Am. Ceram. Soc. 2004, 87, 1939–1944. [Google Scholar] [CrossRef]
- Feroz, S.; Muhammad, N.; Ranayake, J.; Dias, G. Keratin—Based materials for biomedical applications. Bioact. Mater. 2020, 5, 496–509. [Google Scholar] [CrossRef]
- Murugan, R.; Kumar, T.S.S.; Rao, K.P. Fluorinated bovine hydroxyapatite: Preparation and characterization. Mater. Lett. 2002, 57, 429–433. [Google Scholar] [CrossRef]
- Ratnayake, J.T.; Ross, E.D.; Dias, G.J.; Shanafelt, K.M.; Taylor, S.S.; Gould, M.L.; Guan, G.Z.; Cathro, P.R. Preparation, characterisation and biocompatibility study of a bone graft developed from waste bovine teeth for bone regeneration. Mater. Today Commun. 2020, 22, 100732. [Google Scholar] [CrossRef]
- Dias, S.N.G.P.J.; Ratnayake, J.; Niranjan, R. Ion-Substituted Bovine Hydroxyapatite for Bone Regeneration. U.S. Patent Application No. 17/999,882, 3 August 2023. [Google Scholar]
- Kokubo, T.; Takadama, H. How useful is SBF in predicting in vivo bone bioactivity? Biomaterials 2006, 27, 2907–2915. [Google Scholar] [CrossRef]
- Khurshid, Z.; Alfarhan, M.F.A.; Bayan, Y.; Mazher, J.; Adanir, N.; Dias, G.J.; Cooper, P.R.; Ratnayake, J. Development, physicochemical characterization and in-vitro biocompatibility study of dromedary camel dentine derived hydroxyapatite for bone repair. PeerJ 2023, 11, e15711. [Google Scholar] [CrossRef]
- ASTM F1185-03; Standard Specification for Composition of Hydroxylapatite for Surgical Implants. ASTM Standards: West Conshohocken, PA, USA, 1995.
- Chavassieux, P.; Boivin, G.; Serre, C.M.; Meunier, P.J. Fluoride increases rat osteoblast function and population after in vivo administration but not after in vitro exposure. Bone 1993, 14, 721–725. [Google Scholar] [CrossRef] [PubMed]
- Bigi, A.; Boanini, E.; Gazzano, M. Ion substitution in biological and synthetic apatites. Biominer. Biomater. 2016, 235–266. [Google Scholar] [CrossRef]
- Ben-Nissan, B.; Choi, A.H. Sol-gel production of bioactive nanocoatings for medical applications. Part 1: An introduction. Nanomedicine 2006, 1, 311–319. [Google Scholar] [CrossRef]
- Sopyan, I.; Singh, R.; Hamdi, M. Synthesis of nano sired hydroxyapatite powder using sol-gel technique and its conversion to dense and porous bodies. Indian J. Chemistry. Sect. A Inorg. Bio-Inorg. Phys. Theor. Anal. Chem. 2008, 47, 1626. [Google Scholar]
- Bezzi, G.; Celotti, G.; Landi, E.; La Torretta, T.M.G.; Sopyan, I.; Tampieri, A. A novel sol-gel technique for hydroxyapatite preparation. Mater. Chem. Phys. 2003, 78, 816–824. [Google Scholar] [CrossRef]
- Agrawal, K.; Singh, G.; Puri, D.; Prakash, S. Synthesis and characterization of hydroxyapatite powder by sol-gel method for biomedical application. J. Miner. Mater. Charact. Eng. 2011, 10, 727. [Google Scholar] [CrossRef]
- Brinker, C.J.; Scherer, G.W. Sol-Gel Science: The Physics and Chemistry of Sol-Gel Processing; Academic Press: Cambridge, MA, USA, 2013. [Google Scholar]
- Liu, C.; Huang, Y.; Shen, W.; Cui, J. Kinetics of hydroxyapatite precipitation at pH 10 to 11. Biomaterials 2001, 22, 301–306. [Google Scholar] [CrossRef]
- Cheng, K.; Han, G.R.; Weng, W.J.; Qu, H.B.; Du, P.Y.; Shen, G.; Yang, J.; Feireira, J.M.F. Sol-gel derived fluoridated hydroxyapatite films. Mater. Res. Bull 2003, 38, 89–97. [Google Scholar] [CrossRef]
- Darroudi, M.; Eshtiagh-Hosseini, H.; Housaindokht, M.R.; Youssefi, A. Preparation and Characterization of Fluorohydroxyapatite Nanopowders by Nonalkoxide Sol-Gel Method. Dig. J. Nanomater. Biostruct. 2010, 5, 29–33. [Google Scholar]
- Cheng, K.; Zhang, S.; Weng, W.J. Sol-gel preparation of fluoridated hydroxyapatite in Ca(NO)-PO(OH)(OEt)-HPF system. J. Sol-Gel Sci. Technol. 2006, 38, 13–17. [Google Scholar] [CrossRef]
- Tredwin, C.J. Sol-Gel Derived Hydroxyapatite, Fluorhydroxyapatite and Fluorapatite Coatings for Titanium Implants. Ph.D. Thesis, University College London, London, UK, 2009. [Google Scholar]
- Wei, M.; Evans, J.H.; Bostrom, T.; Grondahl, L. Synthesis and characterization of hydroxyapatite, fluoride-substituted hydroxyapatite and fluorapatite. J. Mater. Sci. Mater. Med. 2003, 14, 311–320. [Google Scholar] [CrossRef]
- Landi, E.; Uggeri, J.; Sprio, S.; Tampieri, A.; Guizzardi, S. Human osteoblast behavior on as-synthesized SiO4 and B-CO3 co-substituted apatite. J. Biomed. Mater. Res. Part A 2010, 94, 59–70. [Google Scholar] [CrossRef]
- Kannan, S.; Ventura, J.M.G.; Lemos, A.F.; Barba, A.; Ferreira, J.M.F. Effect of sodium addition on the preparation of hydroxyapatites and biphasic ceramics. Ceram. Int. 2008, 34, 7–13. [Google Scholar] [CrossRef]
- Feroz, S.; Khan, A.S. Fluoride-Substituted Hydroxyapatite. In Handbook of Ionic Substituted Hydroxyapatites; Khan, A.S., Chaudhry, A.A., Eds.; Woodhead Publishing: Sawston, UK, 2020; pp. 175–196. [Google Scholar]
- Bianco, A.; Cacciotti, I.; Lombardi, M.; Montanaro, L.; Bemporad, E.; Sebastiani, M. F-substituted hydroxyapatite nanopowders: Thermal stability, sintering behaviour and mechanical properties. Ceram. Int. 2010, 36, 313–322. [Google Scholar] [CrossRef]
- Krishnamurithy, G.; Murali, M.R.; Hamdi, M.; Abbas, A.A.; Raghavendran, H.B.; Kamarul, T. Characterization of bovine-derived porous hydroxyapatite scaffold and its potential to support osteogenic differentiation of human bone marrow derived mesenchymal stem cells. Ceram. Int. 2014, 40, 771–777. [Google Scholar] [CrossRef]
- O’Brien, F.J.; Harley, B.A.; Yannas, I.V.; Gibson, L.J. The effect of pore size on cell adhesion in collagen-GAG scaffolds. Biomaterials 2005, 26, 433–441. [Google Scholar] [CrossRef]
- Oliveira, J.M.; Silva, S.S.; Malafaya, P.B.; Rodrigues, M.T.; Kotobuki, N.; Hirose, M.; Gomes, M.E.; Mano, J.F.; Ohgushi, H.; Reis, R.L. Macroporous hydroxyapatite scaffolds for bone tissue engineering applications: Physicochemical characterization and assessment of rat bone marrow stromal cell viability. J. Biomed Mater. Res. A 2009, 91, 175–186. [Google Scholar] [CrossRef]
- Teixeira, S.; Ferraz, M.P.; Monteiro, F.J. Biocompatibility of highly macroporous ceramic scaffolds: Cell adhesion and morphology studies. J. Mater. Sci. Mater. Med. 2008, 19, 855–859. [Google Scholar] [CrossRef]
- Cheng, K.; Weng, W.; Wang, H.; Zhang, S. In vitro behavior of osteoblast-like cells on fluoridated hydroxyapatite coatings. Biomaterials 2005, 26, 6288–6295. [Google Scholar] [CrossRef]














| Material | Ca (NO3)2.4H2O | (NH4)2HPO4 | NH4F |
|---|---|---|---|
| RMM | 236.15 gmol−1 | 132.056 gmol−1 | 37 gmol−1 |
| Number of moles | 0.167 | 0.1 | 0.0334 |
| Measured weight | 39.36 g | 13.2 g | 1.24 g |
| Sample (mg/Kg) | Ca | P | Na | Mg | K | Zn | Sr | As | Cd | Pb |
|---|---|---|---|---|---|---|---|---|---|---|
| BFA | 388 × 103 | 176 × 103 | 3.5 × 103 | 1.47 × 103 | 3.16 × 103 | 0.0132 × 103 | 0.295 × 103 | <0.4 | <0.2 | <1.8 |
| BHA | 371 × 103 | 171 × 103 | 4.1 × 103 | 2.65 × 103 | <620 | 0.0189 × 103 | 0.300 × 103 | <0.5 | <0.25 | 0.81 |
| ASTM maximum limit (F1185-03) | - | - | - | - | - | - | - | 211 | 5 | 30 |
| [Ca]/[P] molar ratio according to ICP-MS | 1.72 | |||||||||
| [Ca]/[P] molar ratio according to SEM-EDX | 1.67–1.79 | |||||||||
Disclaimer/Publisher’s Note: The statements, opinions and data contained in all publications are solely those of the individual author(s) and contributor(s) and not of MDPI and/or the editor(s). MDPI and/or the editor(s) disclaim responsibility for any injury to people or property resulting from any ideas, methods, instructions or products referred to in the content. |
© 2024 by the authors. Licensee MDPI, Basel, Switzerland. This article is an open access article distributed under the terms and conditions of the Creative Commons Attribution (CC BY) license (https://creativecommons.org/licenses/by/4.0/).
Share and Cite
Ratnayake, J.; Gould, M.; Ramesh, N.; Mucalo, M.; Dias, G.J. A Porous Fluoride-Substituted Bovine-Derived Hydroxyapatite Scaffold Constructed for Applications in Bone Tissue Regeneration. Materials 2024, 17, 1107. https://doi.org/10.3390/ma17051107
Ratnayake J, Gould M, Ramesh N, Mucalo M, Dias GJ. A Porous Fluoride-Substituted Bovine-Derived Hydroxyapatite Scaffold Constructed for Applications in Bone Tissue Regeneration. Materials. 2024; 17(5):1107. https://doi.org/10.3390/ma17051107
Chicago/Turabian StyleRatnayake, Jithendra, Maree Gould, Niranjan Ramesh, Michael Mucalo, and George J. Dias. 2024. "A Porous Fluoride-Substituted Bovine-Derived Hydroxyapatite Scaffold Constructed for Applications in Bone Tissue Regeneration" Materials 17, no. 5: 1107. https://doi.org/10.3390/ma17051107
APA StyleRatnayake, J., Gould, M., Ramesh, N., Mucalo, M., & Dias, G. J. (2024). A Porous Fluoride-Substituted Bovine-Derived Hydroxyapatite Scaffold Constructed for Applications in Bone Tissue Regeneration. Materials, 17(5), 1107. https://doi.org/10.3390/ma17051107

