A Novel Sandwich-Structured Phase Change Composite with Efficient Photothermal Conversion and Electromagnetic Interference Shielding Interface
Abstract
1. Introduction
2. Materials and Methods
2.1. Materials
2.2. Synthesis of Multifunctional Interface Materials
2.3. Preparation of OD/DMDBS/EG Composites
2.4. Preparation of SSPCMs with Multifunctional Interfaces
3. Results and Discussion
3.1. Structure and Composition
3.2. Microscopic Morphology
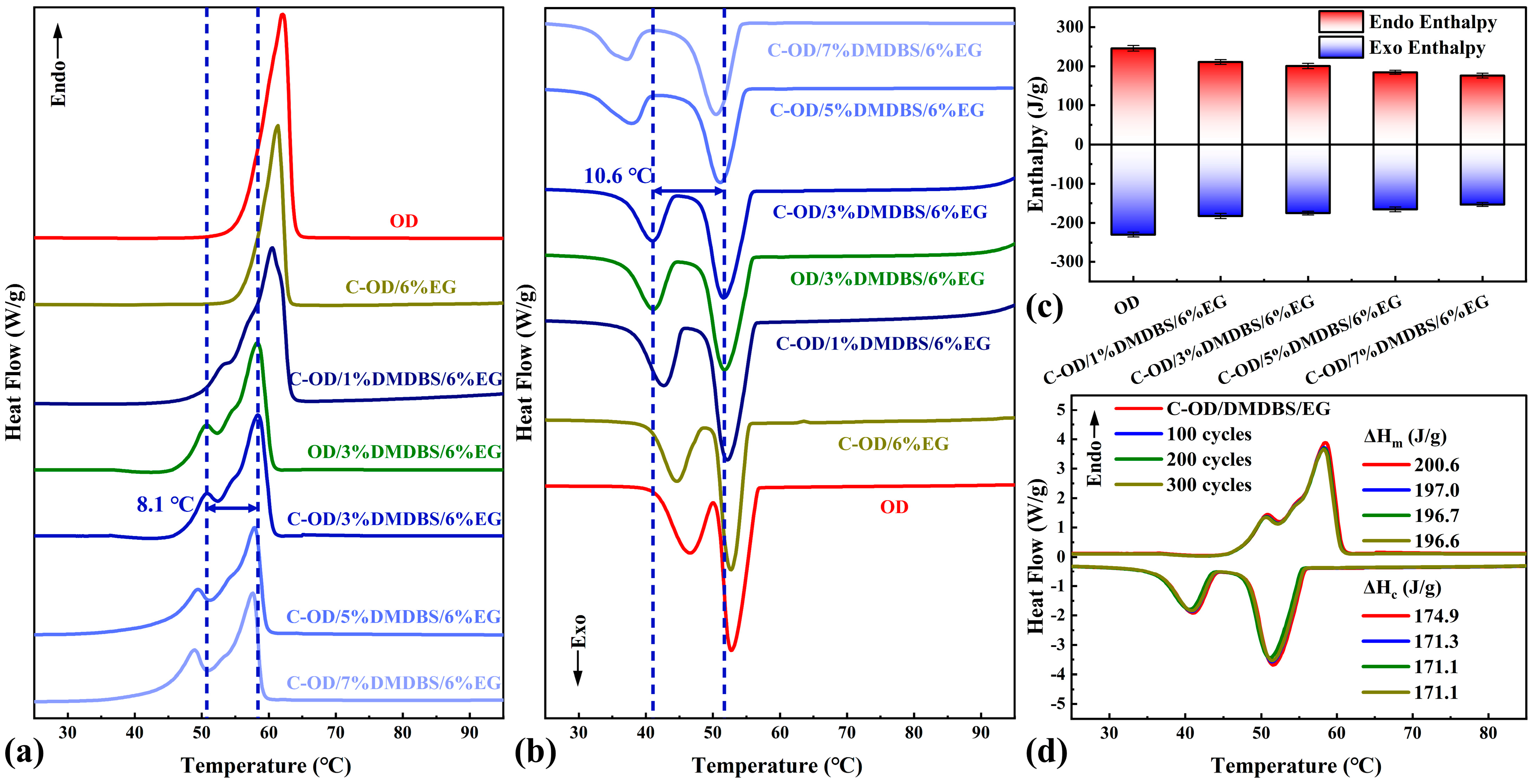
3.3. Thermal Storage Properties and Cycling Stability
3.4. Thermal and Shape Stability
3.5. Thermal Conductivity and Conditioning
3.6. Photothermal Conversion
3.7. Electromagnetic Shielding Performance
4. Conclusions
- The chemical structure and microscopic morphology show that two nanoparticles with significant size differences, CuS and Fe3O4, were uniformly loaded onto the cotton-derived carbon. The PCM OD was only physically bonded to the modified material.
- C-OD/DMDBS/EG exhibits favorable thermal storage and thermoregulation properties. C-OD/3%DMDBS/6%EG has a superior thermal storage density (200.6 J/g) and an improved thermal conductivity of 0.953 W∙m−1∙K−1. In addition, its available temperature range is extended.
- The multifunctional SSPCMs provide highly effective photothermal conversion and EMI shielding. The photothermal conversion efficiency of C-OD/3%DMDBS/6%EG composites reaches 94.4% under 850 mW/cm2 illumination. In the X-band, the EMI SE averages 68.9 dB (3 mm).
- After 300 test cycles, the ΔHm and ΔHc of the C-OD/3%DMDBS/6%EG composites only decrease by 2.0% and 2.2%, respectively. Moreover, the composites also show good stability after photothermal cycling tests, as well as prolonged high-temperature solar irradiation and humid environments.
Supplementary Materials
Author Contributions
Funding
Institutional Review Board Statement
Informed Consent Statement
Data Availability Statement
Conflicts of Interest
References
- Alawad, S.M.; Mansour, R.B.; Al-Sulaiman, F.A.; Rehman, S. Renewable energy systems for water desalination applications: A comprehensive review. Energy Convers. Manag. 2023, 286, 117035. [Google Scholar] [CrossRef]
- Kumar, A.; Bhattacharya, T.; Mukherjee, S.; Sarkar, B. A perspective on biochar for repairing damages in the soil–plant system caused by climate change-driven extreme weather events. Biochar 2022, 4, 22. [Google Scholar] [CrossRef]
- Kebede, A.A.; Kalogiannis, T.; Van Mierlo, J.; Berecibar, M. A comprehensive review of stationary energy storage devices for large scale renewable energy sources grid integration. Renew. Sustain. Energy Rev. 2022, 159, 112213. [Google Scholar] [CrossRef]
- Sikiru, S.; Oladosu, T.L.; Amosa, T.I.; Kolawole, S.Y.; Soleimani, H. Recent advances and impact of phase change materials on solar energy: A comprehensive review. J. Energy Storage 2022, 53, 105200. [Google Scholar] [CrossRef]
- Rathore, P.K.S.; Gupta, N.K.; Yadav, D.; Shukla, S.K.; Kaul, S. Thermal performance of the building envelope integrated with phase change material for thermal energy storage: An updated review. Sustain. Cities Soc. 2022, 79, 103690. [Google Scholar] [CrossRef]
- Jung, Y.; Kim, M.; Kim, T.; Ahn, J.; Lee, J.; Ko, S.H. Functional materials and innovative strategies for wearable thermal management applications. Nano-Micro Lett. 2023, 15, 160. [Google Scholar] [CrossRef]
- Pielichowska, K.; Paprota, N.; Pielichowski, K. Fire retardant phase change materials—Recent developments and future perspectives. Materials 2023, 16, 4391. [Google Scholar] [CrossRef]
- Dhar, M.; Das, A.; Parbat, D.; Manna, U. Designing a network of crystalline polymers for a scalable, nonfluorinated, healable and amphiphobic solid slippery interface. Angew. Chem. Int. Ed. 2022, 61, e202116763. [Google Scholar] [CrossRef]
- Li, R.; Zhao, L.; Yao, A.; Li, Z.; Wu, F.; Ding, X.; An, H.; Ye, H.; Zhang, Y.; Li, H. A paraffin-wax-infused porous membrane with thermo-responsive properties for fouling-release microfiltration. J. Membr. Sci. 2023, 668, 121284. [Google Scholar] [CrossRef]
- Lawag, R.A.; Ali, H.M. Phase change materials for thermal management and energy storage: A review. J. Energy Storage 2022, 55, 105602. [Google Scholar] [CrossRef]
- Shoeibi, S.; Kargarsharifabad, H.; Mirjalily, S.A.A.; Sadi, M.; Arabkoohsar, A. A comprehensive review of nano-enhanced phase change materials on solar energy applications. J. Energy Storage 2022, 50, 104262. [Google Scholar] [CrossRef]
- Babu Sanker, S.; Baby, R. Phase change material based thermal management of lithium ion batteries: A review on thermal performance of various thermal conductivity enhancers. J. Energy Storage 2022, 50, 104606. [Google Scholar] [CrossRef]
- Atinafu, D.G.; Wi, S.; Yun, B.Y.; Kim, S. Engineering biochar with multiwalled carbon nanotube for efficient phase change material encapsulation and thermal energy storage. Energy 2021, 216, 119294. [Google Scholar] [CrossRef]
- Chibani, A.; Merouani, S.; Benmoussa, F.; Abdellattif, M.H.; Erto, A.; Jeon, B.-H.; Benguerba, Y. A strategy for enhancing heat transfer in phase change material-based latent thermal energy storage unit via nano-oxides addition: A study applied to a shell-and-tube heat exchanger. J. Environ. Chem. Eng. 2021, 9, 106744. [Google Scholar] [CrossRef]
- Ghasemi, K.; Tasnim, S.; Mahmud, S. Pcm, nano/microencapsulation and slurries: A review of fundamentals, categories, fabrication, numerical models and applications. Sustain. Energy Technol. Assess. 2022, 52, 102084. [Google Scholar] [CrossRef]
- Chinnasamy, V.; Heo, J.; Jung, S.; Lee, H.; Cho, H. Shape stabilized phase change materials based on different support structures for thermal energy storage applications—A review. Energy 2023, 262, 125463. [Google Scholar] [CrossRef]
- Paramparambath, S.; Maurya, M.R.; Houkan, M.T.; Cabibihan, J.-J.; Sadasivuni, K.K. Improvement of heat sink performance using paraffin/graphite/hydrogel phase change composite coating. Case Stud. Therm. Eng. 2022, 39, 102470. [Google Scholar] [CrossRef]
- Ahmed, S.F.; Rafa, N.; Mehnaz, T.; Ahmed, B.; Islam, N.; Mofijur, M.; Hoang, A.T.; Shafiullah, G.M. Integration of phase change materials in improving the performance of heating, cooling, and clean energy storage systems: An overview. J. Clean. Prod. 2022, 364, 132639. [Google Scholar] [CrossRef]
- Albdour, S.A.; Haddad, Z.; Sharaf, O.Z.; Alazzam, A.; Abu-Nada, E. Micro/nano-encapsulated phase-change materials (epcms) for solar photothermal absorption and storage: Fundamentals, recent advances, and future directions. Prog. Energy Combust. Sci. 2022, 93, 101037. [Google Scholar] [CrossRef]
- Zheng, X.; Gao, X.; Huang, Z.; Li, Z.; Fang, Y.; Zhang, Z. Form-stable paraffin/graphene aerogel/copper foam composite phase change material for solar energy conversion and storage. Sol. Energy Mater. Sol. Cells 2021, 226, 111083. [Google Scholar] [CrossRef]
- Nishad, S.; Kasak, P.; Krupa, I. Highly conductive phase change composites based on paraffin-infiltrated graphite panels for photo/electrothermal conversion and storage. J. Energy Storage 2023, 66, 107449. [Google Scholar] [CrossRef]
- Ye, X.; Ma, Y.; Tian, Z.; Sun, H.; Zhu, Z.; Li, J.; Liang, W.; Li, A. Shape-stable mxene/sodium alginate/carbon nanotubes hybrid phase change material composites for efficient solar energy conversion and storage. Compos. Sci. Technol. 2022, 230, 109794. [Google Scholar] [CrossRef]
- Kong, L.; Wang, Z.; Kong, X.; Wang, L.; Ji, Z.; Wang, X.; Zhang, X. Large-scale fabrication of form-stable phase change nanotube composite for photothermal/electrothermal energy conversion and storage. ACS Appl. Mater. Interfaces 2021, 13, 29965–29974. [Google Scholar] [CrossRef]
- Atinafu, D.G.; Kim, Y.U.; Kim, S.; Kang, Y.; Kim, S. Advances in biocarbon and soft material assembly for enthalpy storage: Fundamentals, mechanisms, and multimodal applications. Small 2023, 5, 2305418. [Google Scholar] [CrossRef]
- Saeed, R.M.Y.; Bano, Z.; Sun, J.; Wang, F.; Ullah, N.; Wang, Q. Cus-functionalized cellulose based aerogel as biocatalyst for removal of organic dye. J. Appl. Polym. Sci. 2018, 136, 47404. [Google Scholar] [CrossRef]
- Adebayo, L.L.; Soleimani, H.; Yahya, N.; Abbas, Z.; Wahaab, F.A.; Ayinla, R.T.; Ali, H. Recent advances in the development of fe3o4-based microwave absorbing materials. Ceram. Int. 2020, 46, 1249–1268. [Google Scholar] [CrossRef]
- Liu, L.; Liang, S.; Cheng, X.; Guo, M.; Cheng, F.; Zhang, M. Preparation and characterization of novel cus/sio2@n-octadecane phase-change nanocapsules enhanced photothermal conversion for solar energy utilization. Int. J. Energy Res. 2022, 46, 7411–7423. [Google Scholar] [CrossRef]
- Dong, Y.; Liu, H.; Zhang, N.; Zhou, J.; Pan, X. Photo-to-thermal conversion and energy storage of polyethylene glycol/copper sulfide composite pcms. Sol. Energy Mater. Sol. Cells 2022, 238, 111583. [Google Scholar] [CrossRef]
- Wang, L.; Huang, Y.; Li, L.; Li, Y.; Cheng, X. Binary nitrate molten salt magnetic microcapsules modified with fe3o4-functionalized carbon nanotubes for accelerating thermal energy storage. J. Energy Storage 2023, 74, 109394. [Google Scholar] [CrossRef]
- Jannah, W.N.; Taufiq, A.; Zulaikah, S.; Hidayat, A.; Suharyadi, E.; Wicaksono, S.T.; Sunaryono, S. Fe3o4–graphene/polyethylene glycol–sio2 as a phase change material for thermal energy storage. Mater. Chem. Phys. 2023, 310, 128457. [Google Scholar] [CrossRef]
- Xu, J.; Cheng, X.; Li, Y.; Yu, G. Preparation and properties of l-octadecanol/1,3:2,4-di-(3,4-dimethyl) benzylidene sorbitol/expanded graphite form-stable composite phase change material. J. Wuhan Univ. Technol. Mater. Sci. Ed. 2019, 34, 728–735. [Google Scholar] [CrossRef]
- Ren, J.; Wang, C.; Zhang, X.; Carey, T.; Chen, K.; Yin, Y.; Torrisi, F. Environmentally-friendly conductive cotton fabric as flexible strain sensor based on hot press reduced graphene oxide. Carbon 2017, 111, 622–630. [Google Scholar] [CrossRef]
- Fjellvag, H.; Gronvold, F.; Stolen, S. Low-temperature structural distortion in CuS. Z. Kristallogr. 1988, 184, 111. [Google Scholar] [CrossRef]
- Radaelli, P.G.; Attfield, J.P.; Wright, J.P. Charge ordered structure of magnetite Fe3O4 below the Verwey transition. Phys. Rev. B Condens. Matter. Mater. Phys. 2002, 66, 21442. [Google Scholar]
- Ghosh, K.; Srivastava, S.K. Enhanced supercapacitor performance and electromagnetic interference shielding effectiveness of cus quantum dots grown on reduced graphene oxide sheets. ACS Omega 2021, 6, 4582–4596. [Google Scholar] [CrossRef]
- Talebi, H.; Olad, A.; Nosrati, R. Fe3o4/pani nanocomposite core-shell structure in epoxy resin matrix for the application as electromagnetic waves absorber. Prog. Org. Coat. 2022, 163, 106665. [Google Scholar] [CrossRef]
- Zhang, Y.; Zhu, Y.; Wang, Z.; Peng, H.; Yang, X.; Cao, Y.; Du, C.; Ma, X.; Cao, C. Pulverization-tolerant cuse nanoflakes with high (110) planar orientation for high-performance magnesium storage. Adv. Funct. Mater. 2021, 31, 2104730. [Google Scholar] [CrossRef]
- Dhiman, N.; Sharma, V.; Ghosh, S. Perspective on biomass-based cotton-derived nanocarbon for multifunctional energy storage and harvesting applications. ACS Appl. Electron. Mater. 2023, 5, 1970–1991. [Google Scholar] [CrossRef]
- Abreu, A.A.; Talabi, S.I.; de Almeida Lucas, A. Influence of nucleating agents on morphology and properties of injection-molded polypropylene. Polym. Adv. Technol. 2021, 32, 2197–2206. [Google Scholar] [CrossRef]
- Kryeziu, A.; Slovák, V.; Parchaňská, A. Liquefaction of cellulose for production of advanced porous carbon materials. Polymers 2022, 14, 1621. [Google Scholar] [CrossRef]
- Mehrose; Javed, M.; Qamar, M.A.; Shariq, M.; Ahmed, I.A.; Alziyadi, K.B.; Almutib, E.; Alaghaz, A.-N.M.A.; Azooz, R.E.; Ali, S.K. Highly-efficient ni@cus/sgcn nanocomposite with superior bifunctional electrocatalytic activity for water splitting. J. Electrochem. Soc. 2023, 170, 116506. [Google Scholar] [CrossRef]
- Hosseini, S.S.; Hamadi, A.; Foroutan, R.; Peighambardoust, S.J.; Ramavandi, B. Decontamination of cd2+ and pb2+ from aqueous solution using a magnetic nanocomposite of eggshell/starch/fe3o4. J. Water Process. Eng. 2022, 48, 102911. [Google Scholar] [CrossRef]
- Wang, X.; Wang, Q.; Cheng, X.; Chen, X.; Bai, M. Double carbon networks reinforce the thermal storage and thermal transfer properties of 1-octadecanol phase change materials. Materials 2023, 16, 7067. [Google Scholar] [CrossRef]
- Shimizu, K.; Abe, F.; Kishi, Y.; Kita, R.; Shinyashiki, N.; Yagihara, S. Dielectric study on supramolecular gels by fiber structure formation from low-molecular-weight gelator/water mixtures. Gels 2023, 9, 408. [Google Scholar] [CrossRef] [PubMed]
- Nguyen, G.T.; Do, M.H.; Ly, T.N.; Park, I.; Bui, T.H. Novel shape-stabilized phase change materials: Insights into the thermal energy storage of 1-octadecanol/fumed silica composites. J. Energy Storage 2022, 52, 104772. [Google Scholar] [CrossRef]
- Gandolfo, F.G.; Bot, A.; Flöter, E. Phase diagram of mixtures of stearic acid and stearyl alcohol. Thermochim. Acta 2003, 404, 9–17. [Google Scholar] [CrossRef]
- Iwasa, M.; Kakinoki, S.; Emoto, K.; Yoshida, H. Morphology and phase transitions of n-alkyl alcohol microcrystals. J. Therm. Anal. Calorim. 2015, 123, 1825–1831. [Google Scholar] [CrossRef]
- Chen, X.; Gao, H.; Xing, L.; Dong, W.; Li, A.; Cheng, P.; Liu, P.; Wang, G. Nanoconfinement effects of n-doped hierarchical carbon on thermal behaviors of organic phase change materials. Energy Storage Mater. 2019, 18, 280–288. [Google Scholar] [CrossRef]
- Nguyen, G.T.; Ly, T.N.; Tran, N.T.; Tuan, H.N.A.; Hieu, N.H.; Bui, T.H. Glutaric acid/expanded graphite composites as highly efficient shape-stabilized phase change materials at medium-temperature. J. Energy Storage 2023, 63, 107038. [Google Scholar] [CrossRef]
- Xu, J.; Li, Y.; Cheng, X. Investigating the phase transition kinetics of 1-octadecanol/sorbitol derivative/expanded graphite composite phase change material with isoconversional and multivariate non-linear regression methods. Materials 2023, 16, 7024. [Google Scholar] [CrossRef]
- Nishad, S.; Mohammed, H.; Sobolciak, P.; Krupa, I. Evaluation of photothermal conversion performance of shape-stabilized phase change materials using a heat flux evolution curve. J. Mater. Res. Technol. 2023, 24, 3717–3730. [Google Scholar] [CrossRef]
- Sakamoto, M.; Hada, M.; Ota, W.; Uesugi, F.; Sato, T. Localised surface plasmon resonance inducing cooperative jahn–teller effect for crystal phase-change in a nanocrystal. Nat. Commun. 2023, 14, 4471. [Google Scholar] [CrossRef]
- Wahyuni, S.; Riswan, M.; Adrianto, N.; Dharmawan, M.Y.; Tumbelaka, R.M.; Cuana, R.; Istiqomah, N.I.; Jiananda, A.; Garcia, S.; Suharyadi, E. Localized surface plasmon resonance properties dependence of green-synthesized fe3o4/ag composite nanoparticles on ag concentration and an electric field for biosensor application. Photonics Nanostruct. Fundam. Appl. 2023, 57, 101191. [Google Scholar] [CrossRef]
- Burgos, J.; Mondragón, R.; Martínez-Cuenca, R.; Nithiyanantham, U.; Barison, S.; Mancin, S.; Fabregat-Santiago, F.; Hernández, L. Photothermal properties and performance of hybrid carbon-paraffin/water emulsions. J. Energy Storage 2023, 73, 109136. [Google Scholar] [CrossRef]
- Ahmed, A.; Sharma, S.; Adak, B.; Hossain, M.M.; LaChance, A.M.; Mukhopadhyay, S.; Sun, L. Two-dimensional mxenes: New frontier of wearable and flexible electronics. InfoMat 2022, 4, 12295. [Google Scholar] [CrossRef]
- Oraby, H.; Tantawy, H.R.; Correa-Duarte, M.A.; Darwish, M.; Elsaidy, A.; Naeem, I.; Senna, M.H. Tuning electro-magnetic interference shielding efficiency of customized polyurethane composite foams taking advantage of rgo/fe3o4 hybrid nanocomposites. Nanomaterials 2022, 12, 2805. [Google Scholar] [CrossRef]
- Kim, T.; Pak, S.; Lim, J.; Hwang, J.S.; Park, K.-H.; Kim, B.-S.; Cha, S. Electromagnetic interference shielding with 2d copper sulfide. ACS Appl. Mater. Interfaces 2022, 14, 13499–13506. [Google Scholar] [CrossRef]
- Kuila, C.; Maji, A.; Murmu, N.C.; Kuila, T.; Srivastava, S.K. Recent advancements in carbonaceous nanomaterials for multifunctional broadband electromagnetic interference shielding and wearable devices. Carbon 2023, 210, 118075. [Google Scholar] [CrossRef]
- He, H.; Dong, M.; Wang, Q.; Zhang, J.; Feng, Q.; Wei, Q.; Cai, Y. A multifunctional carbon-base phase change composite inspired by “fruit growth”. Carbon 2023, 205, 499–509. [Google Scholar] [CrossRef]
- Fang, H.; Zeng, J.; Shao, X.; Hu, D. Advanced electromagnetic shielding and excellent thermal management of flexible phase change composite films. Carbon 2023, 215, 118442. [Google Scholar] [CrossRef]
- He, H.; Wang, Y.; Zhao, Z.; Wang, Q.; Wei, Q.; Cai, Y. Dual-encapsulated multifunctional phase change composites based on biological porous carbon for efficient energy storage and conversion, thermal management, and electromagnetic interference shielding. J. Energy Storage 2022, 55, 105358. [Google Scholar] [CrossRef]
- Jin, X.; Yang, Z.; Huang, C.; Yang, J.; Wang, Y. Pedot:Pss/mxene/peg composites with remarkable thermal management performance and excellent hf-band & x-band electromagnetic interference shielding efficiency for electronic packaging. Chem. Eng. J. 2022, 448, 137599. [Google Scholar] [CrossRef]
- Li, Y.; Li, Y.; Hu, W.; Wang, D. Shaped photothermal conversion phase-change materials with excellent electromagnetic shielding performance and flame retardancy. Adv. Eng. Mater. 2023, 25, 2201885. [Google Scholar] [CrossRef]
- Fang, Y.; Li, Z.; Li, X.; Wu, H.; Sheng, M.; Lu, X.; Qu, J. A novel covalent polymerized phase change composite with integrated shape memory, self-healing, electromagnetic shielding and multi-drive thermal management functions. Chem. Eng. J. 2023, 459, 141600. [Google Scholar] [CrossRef]
- Zhou, M.; Wang, J.; Zhao, Y.; Wang, G.; Gu, W.; Ji, G. Hierarchically porous wood-derived carbon scaffold embedded phase change materials for integrated thermal energy management, electromagnetic interference shielding and multifunctional application. Carbon 2021, 183, 515–524. [Google Scholar] [CrossRef]
- Bheema, R.K.; Etika, K.C. Large microwave absorption by fe3o4@cunw hybrid nanoparticles filled epoxy nanocomposites in the x-band. J. Alloys Compd. 2023, 938, 168405. [Google Scholar] [CrossRef]
- Yu, F.; Jia, P.; Song, L.; Hu, Y.; Wang, B.; Wu, R. Multifunctional fabrics based on copper sulfide with excellent electromagnetic interference shielding performance for medical electronics and physical therapy. Chem. Eng. J. 2023, 472, 145091. [Google Scholar] [CrossRef]
- Guan, H.; Chung, D.D.L. Effect of the planar coil and linear arrangements of continuous carbon fiber tow on the electromagnetic interference shielding effectiveness, with comparison of carbon fibers with and without nickel coating. Carbon 2019, 152, 898–908. [Google Scholar] [CrossRef]
- Zhang, Y.; Ruan, K.; Gu, J. Flexible sandwich-structured electromagnetic interference shielding nanocomposite films with excellent thermal conductivities. Small 2021, 17, 2101951. [Google Scholar] [CrossRef] [PubMed]
- Guo, Y.; Qiu, H.; Ruan, K.; Zhang, Y.; Gu, J. Hierarchically multifunctional polyimide composite films with strongly enhanced thermal conductivity. Nano-Micro Lett. 2021, 14, 26. [Google Scholar] [CrossRef]











| Samples | T (°C) | ΔH (J/g) | χc | |||
|---|---|---|---|---|---|---|
| Melting | Crystallization | Melting | Crystallization | Theoretical Value | ||
| OD | 62.1 | 52.7 | 245.6 | 229.9 | 245.6 | 100% |
| OD/6%EG | 61.4 | 52.7 | 220.0 | 196.9 | 230.9 | 95.3% |
| C-OD/1%DMDBS/6%EG | 60.5 | 52.2 | 210.6 | 182.2 | 223.4 | 94.3% |
| OD/3%DMDBS/6%EG | 58.2 | 51.7 | 204.8 | 178.4 | 223.5 | 91.6% |
| C-OD/3%DMDBS/6%EG | 58.3 | 51.6 | 200.6 | 174.9 | 218.7 | 91.7% |
| C-OD/5%DMDBS/6%EG | 57.9 | 51.0 | 184.5 | 165.2 | 213.7 | 86.3% |
| C-OD/7%DMDBS/6%EG | 57.6 | 50.5 | 176.3 | 152.9 | 208.8 | 84.4% |
| Multifunctional Composite PCMs | Latent Heat Storage Density (J/g) | Photothermal Conversion Efficiency (%) | EMI Shielding Effectiveness (dB) | Reference |
|---|---|---|---|---|
| loofah sponge/Fe3O4/paraffin wax | 139.1 | 84 | 52 | [59] |
| polyvinylidene fluoride/activated carbon/polyethylene glycol | 121.3 | 89.42 | 59.83 | [60] |
| biological porous carbon/Fe3O4/paraffin | 155.2 | 76 | 32 | [61] |
| poly (3,4-ethylene dioxythiophene) polystyrene sulfonate/MXene/polyethyleneglycol | 237.6 | 94.9 | 29.8 | [62] |
| F-reduced graphene oxide/paraffin | 156.6 | 81.6 | 74.6 | [63] |
| Hexamethylene diisocyanate trimer @ polyethyleneglycol/MXene | 134 | − | 54.1 | [64] |
| C-OD/3%DMDBS/6%EG | 200.6 | 94.4 | 68.9 | This work |
Disclaimer/Publisher’s Note: The statements, opinions and data contained in all publications are solely those of the individual author(s) and contributor(s) and not of MDPI and/or the editor(s). MDPI and/or the editor(s) disclaim responsibility for any injury to people or property resulting from any ideas, methods, instructions or products referred to in the content. |
© 2024 by the authors. Licensee MDPI, Basel, Switzerland. This article is an open access article distributed under the terms and conditions of the Creative Commons Attribution (CC BY) license (https://creativecommons.org/licenses/by/4.0/).
Share and Cite
Xu, J.; Li, Y.; Zhou, Z.; Cheng, X. A Novel Sandwich-Structured Phase Change Composite with Efficient Photothermal Conversion and Electromagnetic Interference Shielding Interface. Materials 2024, 17, 961. https://doi.org/10.3390/ma17040961
Xu J, Li Y, Zhou Z, Cheng X. A Novel Sandwich-Structured Phase Change Composite with Efficient Photothermal Conversion and Electromagnetic Interference Shielding Interface. Materials. 2024; 17(4):961. https://doi.org/10.3390/ma17040961
Chicago/Turabian StyleXu, Jun, Yuanyuan Li, Zhangxinyu Zhou, and Xiaomin Cheng. 2024. "A Novel Sandwich-Structured Phase Change Composite with Efficient Photothermal Conversion and Electromagnetic Interference Shielding Interface" Materials 17, no. 4: 961. https://doi.org/10.3390/ma17040961
APA StyleXu, J., Li, Y., Zhou, Z., & Cheng, X. (2024). A Novel Sandwich-Structured Phase Change Composite with Efficient Photothermal Conversion and Electromagnetic Interference Shielding Interface. Materials, 17(4), 961. https://doi.org/10.3390/ma17040961

