Designing Surface and Interface Structures of Copper-Based Catalysts for Enhanced Electrochemical Reduction of CO2 to Alcohols
Abstract
1. Introduction
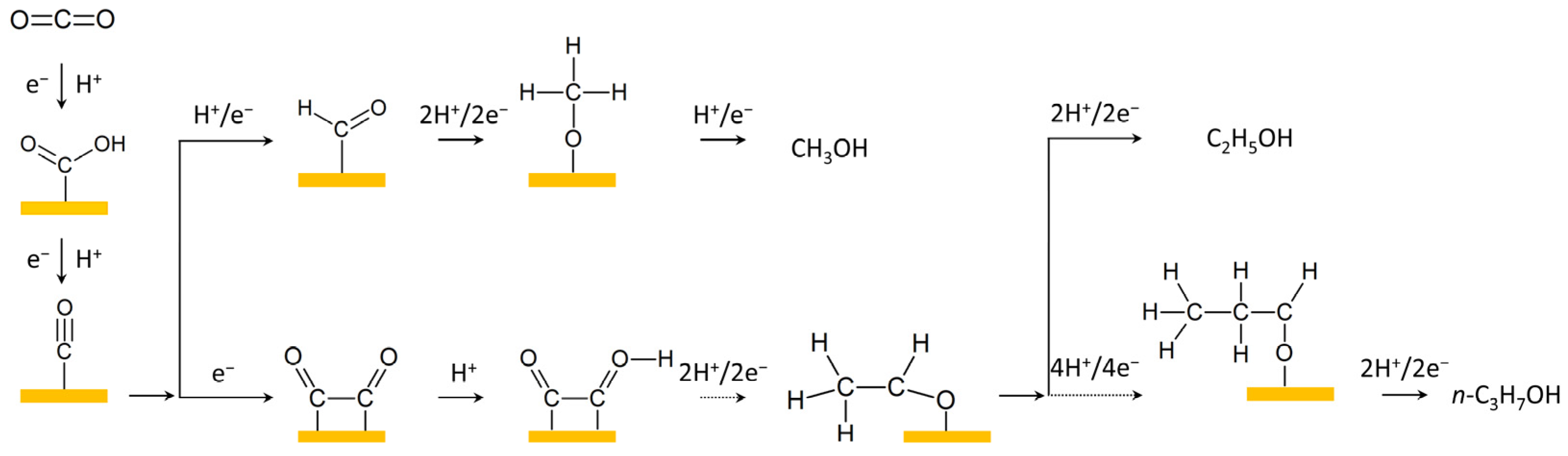
2. Fundamentals for CO2 Reduction to Alcohols
3. Strategies to Improve Alcohol Production
3.1. Crystal Facet Regulation
3.2. Oxide-Derived Cu
3.3. Alloying
3.4. Tandem Catalysis

3.5. Single-Atom Catalysts
3.6. Interface Engineering
3.7. Non-Metal Sites
4. Advanced Spectroelectrochemical Analysis for Mechanism Understanding
4.1. Methanol
4.2. Ethanol
4.3. Propanol
5. Summary and Perspectives
- It is important to conduct more research on constructing model systems to study the structure–activity relationship of catalysts in ECR alcohol production more rigorously and clearly. Additionally, the development of more advanced in situ/operando techniques with higher spatiotemporal resolution is necessary to obtain more localized information about the catalytic system (e.g., AFM-IR and tip-enhanced Raman spectroscopy [104,105,106,107]). Traditional spectroelectrochemical techniques often lack spatial resolution, which limits our detailed understanding of different catalyst components.
- It is crucial to pay more attention to propanol and alcohols with longer carbon chains due to their high value and relatively limited understanding. The stability of the catalysts should also be taken into consideration for their practical application, in addition to their catalytic activity.
- The integration of artificial intelligence (AI) and density functional theory (DFT) simulations can be utilized to predict and identify the best catalysts for alcohol production through CO2 reduction [110,111]. This approach will aid in the development of more efficient electrocatalytic ECR processes.
- The literature has primarily focused on electrocatalyst design, but it has become evident that the same electrocatalysts can yield different products and selectivity depending on whether they are in contact with the bulk electrolyte. For example, “gas-phase” operations (also known as electrolyte-less conditions or zero gap) favor the formation of ethanol compared to “liquid-phase” operations with copper-based (CuxO) gas diffusion electrodes [112,113,114]. The exact reason for this difference in terms of the working state during electrocatalytic operations is still unclear. In future research, mechanistic studies on C2+ formation, especially alcohols, should account for the effects of the electrolyte, CO2 diffusion to the electrocatalyst, the concentration of adspecies on the electrode surface, and how these aspects are influenced by the application of an electrical potential.
Funding
Institutional Review Board Statement
Informed Consent Statement
Data Availability Statement
Conflicts of Interest
References
- Ross, M.B.; De Luna, P.; Li, Y.; Dinh, C.-T.; Kim, D.; Yang, P.; Sargent, E.H. Designing materials for electrochemical carbon dioxide recycling. Nat. Catal. 2019, 2, 648–658. [Google Scholar] [CrossRef]
- Appel, A.M.; Bercaw, J.E.; Bocarsly, A.B.; Dobbek, H.; DuBois, D.L.; Dupuis, M.; Ferry, J.G.; Fujita, E.; Hille, R.; Kenis, P.J.A.; et al. Frontiers, Opportunities, and Challenges in Biochemical and Chemical Catalysis of CO2 Fixation. Chem. Rev. 2013, 113, 6621–6658. [Google Scholar] [CrossRef] [PubMed]
- Komarala, E.P.; Alkhoori, A.A.; Zhang, X.L.; Cheng, H.M.; Polychronopoulou, K. Design and synthesis of thermally stable single atom catalysts for thermochemical CO2 reduction. J. Energy Chem. 2023, 86, 246–262. [Google Scholar] [CrossRef]
- Rawat, K.S.; Mahata, A.; Pathak, B. Thermochemical and electrochemical CO2 reduction on octahedral Cu nanocluster: Role of solvent towards product selectivity. J. Catal. 2017, 349, 118–127. [Google Scholar] [CrossRef]
- Kovačič, Ž.; Likozar, B.; Huš, M. Photocatalytic CO2 Reduction: A Review of Ab Initio Mechanism, Kinetics, and Multiscale Modeling Simulations. ACS Catal. 2020, 10, 14984–15007. [Google Scholar] [CrossRef]
- Scholten, F.; Nguyen, K.C.; Bruce, J.P.; Heyde, M.; Roldan Cuenya, B. Identifying Structure-Selectivity Correlations in the Electrochemical Reduction of CO2: A Comparison of Well-Ordered Atomically Clean and Chemically Etched Copper Single-Crystal Surfaces. Angew. Chem. Int. Ed. 2021, 60, 19169–19175. [Google Scholar] [CrossRef]
- Nitopi, S.; Bertheussen, E.; Scott, S.B.; Liu, X.; Engstfeld, A.K.; Horch, S.; Seger, B.; Stephens, I.E.L.; Chan, K.; Hahn, C.; et al. Progress and Perspectives of Electrochemical CO2 Reduction on Copper in Aqueous Electrolyte. Chem. Rev. 2019, 119, 7610–7672. [Google Scholar] [CrossRef]
- Tabassum, H.; Yang, X.; Zou, R.; Wu, G. Surface engineering of Cu catalysts for electrochemical reduction of CO2 to value-added multi-carbon products. Chem Catal. 2022, 2, 1561–1593. [Google Scholar] [CrossRef]
- Bui, J.C.; Kim, C.; King, A.J.; Romiluyi, O.; Kusoglu, A.; Weber, A.Z.; Bell, A.T. Engineering Catalyst-Electrolyte Microenvironments to Optimize the Activity and Selectivity for the Electrochemical Reduction of CO2 on Cu and Ag. Acc. Chem. Res. 2022, 55, 484–494. [Google Scholar] [CrossRef]
- Kim, C.; Bui, J.C.; Luo, X.; Cooper, J.K.; Kusoglu, A.; Weber, A.Z.; Bell, A.T. Tailored catalyst microenvironments for CO2 electroreduction to multicarbon products on copper using bilayer ionomer coatings. Nat. Energy 2021, 6, 1026–1034. [Google Scholar] [CrossRef]
- Handoko, A.D.; Wei, F.; Jenndy; Yeo, B.S.; Seh, Z.W. Understanding heterogeneous electrocatalytic carbon dioxide reduction through operando techniques. Nat. Catal. 2018, 1, 922–934. [Google Scholar] [CrossRef]
- Wang, J.; Tan, H.Y.; Qi, M.Y.; Li, J.Y.; Tang, Z.R.; Suen, N.T.; Xu, Y.J.; Chen, H.M. Spatially and temporally understanding dynamic solid-electrolyte interfaces in carbon dioxide electroreduction. Chem. Soc. Rev. 2023, 52, 5013–5050. [Google Scholar] [CrossRef]
- Fan, L.; Xia, C.; Yang, F.; Wang, J.; Wang, H.; Lu, Y. Strategies in catalysts and electrolyzer design for electrochemical CO2 reduction toward C2+ products. Sci. Adv. 2020, 6, eaay3111. [Google Scholar] [CrossRef]
- Zhu, W.; Michalsky, R.; Metin, O.; Lv, H.; Guo, S.; Wright, C.J.; Sun, X.; Peterson, A.A.; Sun, S. Monodisperse Au nanoparticles for selective electrocatalytic reduction of CO2 to CO. J. Am. Chem. Soc. 2013, 135, 16833–16836. [Google Scholar] [CrossRef]
- Zheng, Y.; Vasileff, A.; Zhou, X.; Jiao, Y.; Jaroniec, M.; Qiao, S.Z. Understanding the Roadmap for Electrochemical Reduction of CO2 to Multi-Carbon Oxygenates and Hydrocarbons on Copper-Based Catalysts. J. Am. Chem. Soc. 2019, 141, 7646–7659. [Google Scholar] [CrossRef]
- Spurgeon, J.M.; Kumar, B. A comparative technoeconomic analysis of pathways for commercial electrochemical CO2 reduction to liquid products. Energy Environ. Sci. 2018, 11, 1536–1551. [Google Scholar] [CrossRef]
- Kim, Y.; Park, S.; Shin, S.-J.; Choi, W.; Min, B.K.; Kim, H.; Kim, W.; Hwang, Y.J. Time-resolved observation of C-C coupling intermediates on Cu electrodes for selective electrochemical CO2 reduction. Energy Environ. Sci. 2020, 13, 4301–4311. [Google Scholar] [CrossRef]
- Saha, P.; Amanullah, S.; Dey, A. Selectivity in Electrochemical CO2 Reduction. Acc. Chem. Res. 2022, 55, 134–144. [Google Scholar] [CrossRef]
- Peng, H.J.; Tang, M.T.; Halldin Stenlid, J.; Liu, X.; Abild-Pedersen, F. Trends in oxygenate/hydrocarbon selectivity for electrochemical CO2 reduction to C2 products. Nat. Commun. 2022, 13, 1399. [Google Scholar] [CrossRef]
- Herzog, A.; Bergmann, A.; Jeon, H.S.; Timoshenko, J.; Kuehl, S.; Rettenmaier, C.; Lopez Luna, M.; Haase, F.T.; Roldan Cuenya, B. Operando Investigation of Ag-Decorated Cu2O Nanocube Catalysts with Enhanced CO2 Electroreduction toward Liquid Products. Angew. Chem. Int. Ed. 2021, 60, 7426–7435. [Google Scholar] [CrossRef]
- Chou, T.C.; Chang, C.C.; Yu, H.L.; Yu, W.Y.; Dong, C.L.; Velasco-Velez, J.J.; Chuang, C.H.; Chen, L.C.; Lee, J.F.; Chen, J.M.; et al. Controlling the Oxidation State of the Cu Electrode and Reaction Intermediates for Electrochemical CO2 Reduction to Ethylene. J. Am. Chem. Soc. 2020, 142, 2857–2867. [Google Scholar] [CrossRef]
- Wang, X.; Ou, P.; Ozden, A.; Hung, S.-F.; Tam, J.; Gabardo, C.M.; Howe, J.Y.; Sisler, J.; Bertens, K.; de Arquer, F.P.G.; et al. Efficient electrosynthesis of n-propanol from carbon monoxide using a Ag-Ru-Cu catalyst. Nat. Energy 2022, 7, 170–176. [Google Scholar] [CrossRef]
- Rahaman, M.; Kiran, K.; Montiel, I.Z.; Grozovski, V.; Dutta, A.; Broekmann, P. Selective n-propanol formation from CO2 over degradation-resistant activated PdCu alloy foam electrocatalysts. Green Chem. 2020, 22, 6497–6509. [Google Scholar] [CrossRef]
- Xiao, H.; Cheng, T.; Goddard, W.A., III. Atomistic Mechanisms Underlying Selectivities in C1 and C2 Products from Electrochemical Reduction of CO on Cu(111). J. Am. Chem. Soc. 2017, 139, 130–136. [Google Scholar] [CrossRef]
- Varandili, S.B.; Stoian, D.; Vavra, J.; Rossi, K.; Pankhurst, J.R.; Guntern, Y.T.; López, N.; Buonsanti, R. Elucidating the structure-dependent selectivity of CuZn towards methane and ethanol in CO2 electroreduction using tailored Cu/ZnO precatalysts. Chem. Sci. 2021, 12, 14484–14493. [Google Scholar] [CrossRef]
- Iyengar, P.; Kolb, M.J.; Pankhurst, J.R.; Calle-Vallejo, F.; Buonsanti, R. Elucidating the Facet-Dependent Selectivity for CO2 Electroreduction to Ethanol of Cu–Ag Tandem Catalysts. ACS Catal. 2021, 11, 4456–4463. [Google Scholar] [CrossRef]
- Strasser, P.; Gliech, M.; Kuehl, S.; Moeller, T. Electrochemical processes on solid shaped nanoparticles with defined facets. Chem. Soc. Rev. 2018, 47, 715–735. [Google Scholar] [CrossRef]
- Woldu, A.R. From low to high-index facets of noble metal nanocrystals: A way forward to enhance the performance of electrochemical CO2 reduction. Nanoscale 2020, 12, 8626–8635. [Google Scholar] [CrossRef]
- Frese, K.W. Chapter 6—Electrochemical Reduction of CO2 at Solid Electrodes. In Electrochemical and Electrocatalytic Reactions of Carbon Dioxide; Sullivan, B.P., Ed.; Elsevier: Amsterdam, the Netherlands, 1993; pp. 145–216. [Google Scholar]
- Hori, Y.; Takahashi, I.; Koga, O.; Hoshi, N. Selective Formation of C2 Compounds from Electrochemical Reduction of CO2 at a Series of Copper Single Crystal Electrodes. J. Phys. Chem. B 2002, 106, 15–17. [Google Scholar] [CrossRef]
- Huang, Y.; Handoko, A.D.; Hirunsit, P.; Yeo, B.S. Electrochemical Reduction of CO2 Using Copper Single-Crystal Surfaces: Effects of CO* Coverage on the Selective Formation of Ethylene. ACS Catal. 2017, 7, 1749–1756. [Google Scholar] [CrossRef]
- Zhao, Y.; Zhang, X.-G.; Bodappa, N.; Yang, W.-M.; Liang, Q.; Radjenovica, P.M.; Wang, Y.-H.; Zhang, Y.-J.; Dong, J.-C.; Tian, Z.-Q.; et al. Elucidating electrochemical CO2 reduction reaction processes on Cu(hkl) single-crystal surfaces by in situ Raman spectroscopy. Energy Environ. Sci. 2022, 15, 3968–3977. [Google Scholar] [CrossRef]
- Zhu, C.Y.; Zhang, Z.B.; Zhong, L.X.; Hsu, C.S.; Xu, X.Z.; Li, Y.Z.; Zhao, S.W.; Chen, S.H.; Yu, J.Y.; Chen, S.L.; et al. Product-Specific Active Site Motifs of Cu for Electrochemical CO2 Reduction. Chem 2021, 7, 406–420. [Google Scholar] [CrossRef]
- Kim, J.Y.; Kim, G.; Won, H.; Gereige, I.; Jung, W.B.; Jung, H.T. Synergistic Effect of Cu2O Mesh Pattern on High-Facet Cu Surface for Selective CO2 Electroreduction to Ethanol. Adv. Mater. 2022, 34, e2106028. [Google Scholar] [CrossRef] [PubMed]
- Fu, W.; Liu, Z.; Wang, T.; Liang, J.; Duan, S.; Xie, L.; Han, J.; Li, Q. Promoting C2+ Production from Electrochemical CO2 Reduction on Shape-Controlled Cuprous Oxide Nanocrystals with High-Index Facets. ACS Sustain. Chem. Eng. 2020, 8, 15223–15229. [Google Scholar] [CrossRef]
- Kim, J.Y.; Park, W.; Choi, C.; Kim, G.; Cho, K.M.; Lim, J.; Kim, S.J.; Al-Saggaf, A.; Gereige, I.; Lee, H.; et al. High Facets on Nanowrinkled Cu via Chemical Vapor Deposition Graphene Growth for Efficient CO2 Reduction into Ethanol. ACS Catal. 2021, 11, 5658–5665. [Google Scholar] [CrossRef]
- Zhang, F.Y.; Sheng, T.; Tian, N.; Liu, L.; Xiao, C.; Lu, B.A.; Xu, B.B.; Zhou, Z.Y.; Sun, S.G. Cu overlayers on tetrahexahedral Pd nanocrystals with high-index facets for CO2 electroreduction to alcohols. Chem Commun 2017, 53, 8085–8088. [Google Scholar] [CrossRef]
- Peng, J.; Chen, B.; Wang, Z.; Guo, J.; Wu, B.; Hao, S.; Zhang, Q.; Gu, L.; Zhou, Q.; Liu, Z.; et al. Surface coordination layer passivates oxidation of copper. Nature 2020, 586, 390–394. [Google Scholar] [CrossRef]
- Frese, K.W. Electrochemical Reduction of CO2 at Intentionally Oxidized Copper Electrodes. J. Electrochem. Soc. 1991, 138, 3338. [Google Scholar] [CrossRef]
- Li, C.W.; Kanan, M.W. CO2 Reduction at Low Overpotential on Cu Electrodes Resulting from the Reduction of Thick Cu2O Films. J. Am. Chem. Soc. 2012, 134, 7231–7234. [Google Scholar] [CrossRef]
- Li, C.W.; Ciston, J.; Kanan, M.W. Electroreduction of carbon monoxide to liquid fuel on oxide-derived nanocrystalline copper. Nature 2014, 508, 504–507. [Google Scholar] [CrossRef]
- Lee, S.Y.; Jung, H.; Kim, N.K.; Oh, H.S.; Min, B.K.; Hwang, Y.J. Mixed Copper States in Anodized Cu Electrocatalyst for Stable and Selective Ethylene Production from CO2 Reduction. J. Am. Chem. Soc. 2018, 140, 8681–8689. [Google Scholar] [CrossRef]
- Moller, T.; Scholten, F.; Thanh, T.N.; Sinev, I.; Timoshenko, J.; Wang, X.; Jovanov, Z.; Gliech, M.; Roldan Cuenya, B.; Varela, A.S.; et al. Electrocatalytic CO2 Reduction on CuOx Nanocubes: Tracking the Evolution of Chemical State, Geometric Structure, and Catalytic Selectivity using Operando Spectroscopy. Angew. Chem. Int. Ed. 2020, 59, 17974–17983. [Google Scholar] [CrossRef]
- Mistry, H.; Varela, A.S.; Bonifacio, C.S.; Zegkinoglou, I.; Sinev, I.; Choi, Y.W.; Kisslinger, K.; Stach, E.A.; Yang, J.C.; Strasser, P.; et al. Highly selective plasma-activated copper catalysts for carbon dioxide reduction to ethylene. Nat. Commun. 2016, 7, 12123. [Google Scholar] [CrossRef]
- Wu, Q.; Du, R.; Wang, P.; Waterhouse, G.I.N.; Li, J.; Qiu, Y.; Yan, K.; Zhao, Y.; Zhao, W.-W.; Tsai, H.-J.; et al. Nanograin-Boundary-Abundant Cu2O-Cu Nanocubes with High C2+ Selectivity and Good Stability during Electrochemical CO2 Reduction at a Current Density of 500 mA/cm2. ACS Nano 2023, 17, 12884–12894. [Google Scholar] [CrossRef]
- Zhou, X.; Shan, J.; Chen, L.; Xia, B.Y.; Ling, T.; Duan, J.; Jiao, Y.; Zheng, Y.; Qiao, S.Z. Stabilizing Cu2+ Ions by Solid Solutions to Promote CO2 Electroreduction to Methane. J. Am. Chem. Soc. 2022, 144, 2079–2084. [Google Scholar] [CrossRef]
- Zhou, Y.; Yao, Y.; Zhao, R.; Wang, X.; Fu, Z.; Wang, D.; Wang, H.; Zhao, L.; Ni, W.; Yang, Z.; et al. Stabilization of Cu+ via Strong Electronic Interaction for Selective and Stable CO2 Electroreduction. Angew. Chem. Int. Ed. 2022, 134, e202205832. [Google Scholar] [CrossRef]
- Patra, K.K.; Park, S.; Song, H.; Kim, B.; Kim, W.; Oh, J. Operando Spectroscopic Investigation of a Boron-Doped CuO Catalyst and Its Role in Selective Electrochemical C–C Coupling. ACS Appl. Energy Mater. 2020, 3, 11343–11349. [Google Scholar] [CrossRef]
- Ai, P.; Tan, M.-H.; Yamane, N.; Liu, G.; Fan, R.; Yang, G.; Yoneyama, Y.; Yang, R.; Tsubaki, N. Synergistic Effect of a Boron-Doped Carbon-Nanotube-Supported Cu Catalyst for Selective Hydrogenation of Dimethyl Oxalate to Ethanol. Chem. Eur. J. 2017, 23, 8252–8261. [Google Scholar] [CrossRef]
- Zhou, Y.; Che, F.; Liu, M.; Zou, C.; Liang, Z.; De Luna, P.; Yuan, H.; Li, J.; Wang, Z.; Xie, H.; et al. Dopant-induced electron localization drives CO2 reduction to C2 hydrocarbons. Nat. Chem. 2018, 10, 974–980. [Google Scholar] [CrossRef]
- Arán-Ais, R.M.; Scholten, F.; Kunze, S.; Rizo, R.; Roldan Cuenya, B. The role of in situ generated morphological motifs and Cu(i) species in C2+ product selectivity during CO2 pulsed electroreduction. Nat. Energy 2020, 5, 317–325. [Google Scholar] [CrossRef]
- Lin, S.C.; Chang, C.C.; Chiu, S.Y.; Pai, H.T.; Liao, T.Y.; Hsu, C.S.; Chiang, W.H.; Tsai, M.K.; Chen, H.M. Operando time-resolved X-ray absorption spectroscopy reveals the chemical nature enabling highly selective CO2 reduction. Nat. Commun. 2020, 11, 3525. [Google Scholar] [CrossRef]
- Xiao, H.; Goddard, W.A., Ⅲ; Cheng, T.; Liu, Y. Cu metal embedded in oxidized matrix catalyst to promote CO2 activation and CO dimerization for electrochemical reduction of CO2. Proc. Natl. Acad. Sci. USA 2017, 114, 6685–6688. [Google Scholar] [CrossRef]
- Garza, A.J.; Bell, A.T.; Head-Gordon, M. Is Subsurface Oxygen Necessary for the Electrochemical Reduction of CO2 on Copper? J. Phys. Chem. Lett. 2018, 9, 601–606. [Google Scholar] [CrossRef]
- Lei, Q.; Zhu, H.; Song, K.; Wei, N.; Liu, L.; Zhang, D.; Yin, J.; Dong, X.; Yao, K.; Wang, N.; et al. Investigating the Origin of Enhanced C2+ Selectivity in Oxide-/Hydroxide-Derived Copper Electrodes during CO2 Electroreduction. J. Am. Chem. Soc. 2020, 142, 4213–4222. [Google Scholar] [CrossRef]
- Lee, S.H.; Lin, J.C.; Farmand, M.; Landers, A.T.; Feaster, J.T.; Aviles Acosta, J.E.; Beeman, J.W.; Ye, Y.; Yano, J.; Mehta, A.; et al. Oxidation State and Surface Reconstruction of Cu under CO2 Reduction Conditions from In Situ X-ray Characterization. J. Am. Chem. Soc. 2021, 143, 588–592. [Google Scholar] [CrossRef]
- Shen, S.; Peng, X.; Song, L.; Qiu, Y.; Li, C.; Zhuo, L.; He, J.; Ren, J.; Liu, X.; Luo, J. AuCu Alloy Nanoparticle Embedded Cu Submicrocone Arrays for Selective Conversion of CO2 to Ethanol. Small 2019, 15, e1902229. [Google Scholar] [CrossRef]
- Li, H.; Huang, H.; Chen, Y.; Lai, F.; Fu, H.; Zhang, L.; Zhang, N.; Bai, S.; Liu, T. High-Entropy Alloy Aerogels: A New Platform for Carbon Dioxide Reduction. Adv. Mater. 2022, 35, 2209242. [Google Scholar] [CrossRef]
- Han, N.; Sun, M.; Zhou, Y.; Xu, J.; Cheng, C.; Zhou, R.; Zhang, L.; Luo, J.; Huang, B.; Li, Y. Alloyed Palladium-Silver Nanowires Enabling Ultrastable Carbon Dioxide Reduction to Formate. Adv. Mater. 2020, 33, 2005821. [Google Scholar] [CrossRef]
- Lu, L.; Sun, X.; Ma, J.; Yang, D.; Wu, H.; Zhang, B.; Zhang, J.; Han, B. Highly Efficient Electroreduction of CO2 to Methanol on Palladium-Copper Bimetallic Aerogels. Angew. Chem. Int. Ed. 2018, 57, 14149–14153. [Google Scholar] [CrossRef]
- Qi, K.; Zhang, Y.; Onofrio, N.; Petit, E.; Cui, X.; Ma, J.; Fan, J.; Wu, H.; Wang, W.; Li, J.; et al. Unlocking direct CO2 electrolysis to C3 products via electrolyte supersaturation. Nat. Catal. 2023, 6, 319–331. [Google Scholar] [CrossRef]
- Zhu, Y.; Cui, X.; Liu, H.; Guo, Z.; Dang, Y.; Fan, Z.; Zhang, Z.; Hu, W. Tandem catalysis in electrochemical CO2 reduction reaction. Nano Res. 2021, 14, 4471–4486. [Google Scholar] [CrossRef]
- Ren, D.; Ang, B.S.-H.; Yeo, B.S. Tuning the Selectivity of Carbon Dioxide Electroreduction toward Ethanol on Oxide-Derived CuxZn Catalysts. ACS Catal. 2016, 6, 8239–8247. [Google Scholar] [CrossRef]
- Morales-Guio, C.G.; Cave, E.R.; Nitopi, S.A.; Feaster, J.T.; Wang, L.; Kuhl, K.P.; Jackson, A.; Johnson, N.C.; Abram, D.N.; Hatsukade, T.; et al. Improved CO2 reduction activity towards C2+ alcohols on a tandem gold on copper electrocatalyst. Nat. Catal. 2018, 1, 764–771. [Google Scholar] [CrossRef]
- Zhang, S.; Zhao, S.; Qu, D.; Liu, X.; Wu, Y.; Chen, Y.; Huang, W. Electrochemical Reduction of CO2 Toward C2 Valuables on Cu@Ag Core-Shell Tandem Catalyst with Tunable Shell Thickness. Small 2021, 17, 2102293. [Google Scholar] [CrossRef]
- Zhang, T.; Bui, J.C.; Li, Z.; Bell, A.T.; Weber, A.Z.; Wu, J. Highly selective and productive reduction of carbon dioxide to multicarbon products via in situ CO management using segmented tandem electrodes. Nat. Catal. 2022, 5, 202–211. [Google Scholar] [CrossRef]
- Zhu, C.; Zhou, L.; Zhang, Z.; Yang, C.; Shi, G.; Zhao, S.; Gu, H.; Wu, J.; Gao, X.; Li, Y.; et al. Dynamic restructuring of epitaxial Au–Cu biphasic interface for tandem CO2-to-C2+ alcohol conversion. Chem 2022, 8, 3288–3301. [Google Scholar] [CrossRef]
- Kuang, S.; Su, Y.; Li, M.; Liu, H.; Chuai, H.; Chen, X.; Hensen, E.J.M.; Meyer, T.J.; Zhang, S.; Ma, X. Asymmetrical electrohydrogenation of CO2 to ethanol with copper-gold heterojunctions. Proc. Natl. Acad. Sci. USA 2023, 120, e2214175120. [Google Scholar] [CrossRef]
- Wang, Y.; Su, H.; He, Y.; Li, L.; Zhu, S.; Shen, H.; Xie, P.; Fu, X.; Zhou, G.; Feng, C.; et al. Advanced Electrocatalysts with Single-Metal-Atom Active Sites. Chem. Rev. 2020, 120, 12217–12314. [Google Scholar] [CrossRef] [PubMed]
- Wu, Y.; Jiang, Z.; Lu, X.; Liang, Y.; Wang, H. Domino electroreduction of CO2 to methanol on a molecular catalyst. Nature 2019, 575, 639–642. [Google Scholar] [CrossRef]
- Su, J.; Musgrave, C.B.; Song, Y.; Huang, L.; Liu, Y.; Li, G.; Xin, Y.; Xiong, P.; Li, M.M.-J.; Wu, H.; et al. Strain enhances the activity of molecular electrocatalysts via carbon nanotube supports. Nat. Catal. 2023, 6, 818–828. [Google Scholar] [CrossRef]
- Yang, H.; Wu, Y.; Li, G.; Lin, Q.; Hu, Q.; Zhang, Q.; Liu, J.; He, C. Scalable Production of Efficient Single-Atom Copper Decorated Carbon Membranes for CO2 Electroreduction to Methanol. J. Am. Chem. Soc. 2019, 141, 12717–12723. [Google Scholar] [CrossRef]
- Karapinar, D.; Huan, N.T.; Ranjbar Sahraie, N.; Li, J.; Wakerley, D.; Touati, N.; Zanna, S.; Taverna, D.; Galvão Tizei, L.H.; Zitolo, A.; et al. Electroreduction of CO2 on Single-Site Copper-Nitrogen-Doped Carbon Material: Selective Formation of Ethanol and Reversible Restructuration of the Metal Sites. Angew. Chem. Int. Ed. 2019, 58, 15098–15103. [Google Scholar] [CrossRef]
- Xu, H.; Rebollar, D.; He, H.; Chong, L.; Liu, Y.; Liu, C.; Sun, C.-J.; Li, T.; Muntean, J.V.; Winans, R.E.; et al. Highly selective electrocatalytic CO2 reduction to ethanol by metallic clusters dynamically formed from atomically dispersed copper. Nat. Energy 2020, 5, 623–632. [Google Scholar] [CrossRef]
- Weng, Z.; Wu, Y.; Wang, M.; Jiang, J.; Yang, K.; Huo, S.; Wang, X.F.; Ma, Q.; Brudvig, G.W.; Batista, V.S.; et al. Active sites of copper-complex catalytic materials for electrochemical carbon dioxide reduction. Nat. Commun. 2018, 9, 415. [Google Scholar] [CrossRef]
- Sun, H.; Chen, L.; Xiong, L.; Feng, K.; Chen, Y.; Zhang, X.; Yuan, X.; Yang, B.; Deng, Z.; Liu, Y.; et al. Promoting ethylene production over a wide potential window on Cu crystallites induced and stabilized via current shock and charge delocalization. Nat. Commun. 2021, 12, 6823. [Google Scholar] [CrossRef]
- Yang, B.; Chen, L.; Xue, S.; Sun, H.; Feng, K.; Chen, Y.; Zhang, X.; Xiao, L.; Qin, Y.; Zhong, J.; et al. Electrocatalytic CO2 reduction to alcohols by modulating the molecular geometry and Cu coordination in bicentric copper complexes. Nat. Commun. 2022, 13, 5122. [Google Scholar] [CrossRef] [PubMed]
- Zhang, J.; My Pham, T.H.; Gao, Z.; Li, M.; Ko, Y.; Lombardo, L.; Zhao, W.; Luo, W.; Züttel, A. Electrochemical CO2 Reduction over Copper Phthalocyanine Derived Catalysts with Enhanced Selectivity for Multicarbon Products. ACS Catal. 2023, 13, 9326–9335. [Google Scholar] [CrossRef]
- Bai, X.; Zhao, X.; Zhang, Y.; Ling, C.; Zhou, Y.; Wang, J.; Liu, Y. Dynamic Stability of Copper Single-Atom Catalysts under Working Conditions. J. Am. Chem. Soc. 2022, 144, 17140–17148. [Google Scholar] [CrossRef] [PubMed]
- Xia, W.; Xie, Y.; Jia, S.; Han, S.; Qi, R.; Chen, T.; Xing, X.; Yao, T.; Zhou, D.; Dong, X.; et al. Adjacent Copper Single Atoms Promote C-C Coupling in Electrochemical CO2 Reduction for the Efficient Conversion of Ethanol. J. Am. Chem. Soc. 2023, 145, 17253–17264. [Google Scholar] [CrossRef] [PubMed]
- Zhang, J.; Ding, J.; Liu, Y.; Su, C.; Yang, H.; Huang, Y.; Liu, B. Molecular tuning for electrochemical CO2 reduction. Joule 2023, 7, 1700–1744. [Google Scholar] [CrossRef]
- Zhu, Q.; Murphy, C.J.; Baker, L.R. Opportunities for Electrocatalytic CO2 Reduction Enabled by Surface Ligands. J. Am. Chem. Soc. 2022, 144, 2829–2840. [Google Scholar] [CrossRef] [PubMed]
- An, P.; Wei, L.; Li, H.; Yang, B.; Liu, K.; Fu, J.; Li, H.; Liu, H.; Hu, J.; Lu, Y.-R.; et al. Enhancing CO2 reduction by suppressing hydrogen evolution with polytetrafluoroethylene protected copper nanoneedles. J. Mater. Chem. A 2020, 8, 15936–15941. [Google Scholar] [CrossRef]
- Lin, Y.; Wang, T.; Zhang, L.; Zhang, G.; Li, L.; Chang, Q.; Pang, Z.; Gao, H.; Huang, K.; Zhang, P.; et al. Tunable CO2 electroreduction to ethanol and ethylene with controllable interfacial wettability. Nat. Commun. 2023, 14, 3575. [Google Scholar] [CrossRef] [PubMed]
- Chen, S.; Zhu, C.; Gu, H.; Wang, L.; Qi, J.; Zhong, L.; Zhang, Z.; Yang, C.; Shi, G.; Zhao, S.; et al. Enhanced Electrochemical Methanation of Carbon Dioxide at the Single-Layer Hexagonal Boron Nitride/Cu Interfacial Perimeter. Nano Lett. 2021, 21, 4469–4476. [Google Scholar] [CrossRef] [PubMed]
- Li, Y.; Cui, F.; Ross, M.B.; Kim, D.; Sun, Y.; Yang, P. Structure-Sensitive CO2 Electroreduction to Hydrocarbons on Ultrathin 5-fold Twinned Copper Nanowires. Nano Lett. 2017, 17, 1312–1317. [Google Scholar] [CrossRef] [PubMed]
- Zhu, Y.; Yang, X.; Peng, C.; Priest, C.; Mei, Y.; Wu, G. Carbon-Supported Single Metal Site Catalysts for Electrochemical CO2 Reduction to CO and Beyond. Small 2021, 17, 2005148. [Google Scholar] [CrossRef] [PubMed]
- Chen, J.; Wang, T.; Li, Z.; Yang, B.; Zhang, Q.; Lei, L.; Feng, P.; Hou, Y. Recent progress and perspective of electrochemical CO2 reduction towards C2-C5 products over non-precious metal heterogeneous electrocatalysts. Nano Res. 2021, 14, 3188–3207. [Google Scholar] [CrossRef]
- Wu, J.; Ma, S.; Sun, J.; Gold, J.I.; Tiwary, C.; Kim, B.; Zhu, L.; Chopra, N.; Odeh, I.N.; Vajtai, R.; et al. A metal-free electrocatalyst for carbon dioxide reduction to multi-carbon hydrocarbons and oxygenates. Nat. Commun. 2016, 7, 13869. [Google Scholar] [CrossRef]
- Song, Y.; Chen, W.; Zhao, C.; Li, S.; Wei, W.; Sun, Y. Metal-Free Nitrogen-Doped Mesoporous Carbon for Electroreduction of CO2 to Ethanol. Angew. Chem. Int. Ed. 2017, 56, 10840–10844. [Google Scholar] [CrossRef]
- Chai, G.L.; Guo, Z.X. Highly effective sites and selectivity of nitrogen-doped graphene/CNT catalysts for CO2 electrochemical reduction. Chem. Sci. 2016, 7, 1268–1275. [Google Scholar] [CrossRef]
- Jiwanti, P.K.; Natsui, K.; Nakata, K.; Einaga, Y. Selective production of methanol by the electrochemical reduction of CO2 on boron-doped diamond electrodes in aqueous ammonia solution. RSC Adv. 2016, 6, 102214–102217. [Google Scholar] [CrossRef]
- Liu, Y.; Zhang, Y.; Cheng, K.; Quan, X.; Fan, X.; Su, Y.; Chen, S.; Zhao, H.; Zhang, Y.; Yu, H.; et al. Selective Electrochemical Reduction of Carbon Dioxide to Ethanol on a Boron- and Nitrogen-Co-doped Nanodiamond. Angew. Chem. Int. Ed. 2017, 56, 15607–15611. [Google Scholar] [CrossRef]
- Yang, Y.; Xiong, Y.; Zeng, R.; Lu, X.; Krumov, M.; Huang, X.; Xu, W.; Wang, H.; DiSalvo, F.J.; Brock, J.D.; et al. Operando Methods in Electrocatalysis. ACS Catal. 2021, 11, 1136–1178. [Google Scholar] [CrossRef]
- Chen, C.; Yu, S.; Yang, Y.; Louisia, S.; Roh, I.; Jin, J.; Chen, S.; Chen, P.-C.; Shan, Y.; Yang, P. Exploration of the bio-analogous asymmetric C–C coupling mechanism in tandem CO2 electroreduction. Nat. Catal. 2022, 5, 878–887. [Google Scholar] [CrossRef]
- Amirbeigiarab, R.; Tian, J.; Herzog, A.; Qiu, C.; Bergmann, A.; Roldan Cuenya, B.; Magnussen, O.M. Atomic-scale surface restructuring of copper electrodes under CO2 electroreduction conditions. Nat. Catal. 2023, 6, 837–846. [Google Scholar] [CrossRef]
- Li, P.; Bi, J.; Liu, J.; Zhu, Q.; Chen, C.; Sun, X.; Zhang, J.; Han, B. In situ dual doping for constructing efficient CO2-to-methanol electrocatalysts. Nat. Commun. 2022, 13, 1965. [Google Scholar] [CrossRef]
- Kong, S.; Lv, X.; Wang, X.; Liu, Z.; Li, Z.; Jia, B.; Sun, D.; Yang, C.; Liu, L.; Guan, A.; et al. Delocalization state-induced selective bond breaking for efficient methanol electrosynthesis from CO2. Nat. Catal. 2022, 6, 6–15. [Google Scholar] [CrossRef]
- Su, X.; Jiang, Z.; Zhou, J.; Liu, H.; Zhou, D.; Shang, H.; Ni, X.; Peng, Z.; Yang, F.; Chen, W.; et al. Complementary Operando Spectroscopy identification of in-situ generated metastable charge-asymmetry Cu2-CuN3 clusters for CO2 reduction to ethanol. Nat. Commun. 2022, 13, 1322. [Google Scholar] [CrossRef] [PubMed]
- Ding, L.; Zhu, N.; Hu, Y.; Chen, Z.; Song, P.; Sheng, T.; Wu, Z.; Xiong, Y. Over 70 % Faradaic Efficiency for CO2 Electroreduction to Ethanol Enabled by Potassium Dopant-Tuned Interaction between Copper Sites and Intermediates. Angew. Chem. Int. Ed. 2022, 61, e202209268. [Google Scholar] [CrossRef] [PubMed]
- Wang, P.; Yang, H.; Tang, C.; Wu, Y.; Zheng, Y.; Cheng, T.; Davey, K.; Huang, X.; Qiao, S.-Z. Boosting electrocatalytic CO2-to-ethanol production via asymmetric C-C coupling. Nat. Commun. 2022, 13, 3754. [Google Scholar] [CrossRef] [PubMed]
- Fang, M.; Wang, M.; Wang, Z.; Zhang, Z.; Zhou, H.; Dai, L.; Zhu, Y.; Jiang, L. Hydrophobic, Ultrastable Cuδ+ for Robust CO2 Electroreduction to C2 Products at Ampere-Current Levels. J. Am. Chem. Soc. 2023, 145, 11323–11332. [Google Scholar] [CrossRef]
- Peng, C.; Luo, G.; Zhang, J.; Chen, M.; Wang, Z.; Sham, T.-K.; Zhang, L.; Li, Y.; Zheng, G. Double sulfur vacancies by lithium tuning enhance CO2 electroreduction to n-propanol. Nat. Commun. 2021, 12, 1580. [Google Scholar] [CrossRef]
- Kurouski, D.; Dazzi, A.; Zenobi, R.; Centrone, A. Infrared and Raman chemical imaging and spectroscopy at the nanoscale. Chem. Soc. Rev. 2020, 49, 3315–3347. [Google Scholar] [CrossRef] [PubMed]
- Dazzi, A.; Prater, C.B. AFM-IR: Technology and Applications in Nanoscale Infrared Spectroscopy and Chemical Imaging. Chem. Rev. 2017, 117, 5146–5173. [Google Scholar] [CrossRef] [PubMed]
- Verma, P. Tip-Enhanced Raman Spectroscopy: Technique and Recent Advances. Chem. Rev. 2017, 117, 6447–6466. [Google Scholar] [CrossRef]
- Itoh, T.; Prochazka, M.; Dong, Z.C.; Ji, W.; Yamamoto, Y.S.; Zhang, Y.; Ozaki, Y. Toward a New Era of SERS and TERS at the Nanometer Scale: From Fundamentals to Innovative Applications. Chem. Rev. 2023, 123, 1552–1634. [Google Scholar] [CrossRef]
- Gabardo, C.M.; O’Brien, C.P.; Edwards, J.P.; McCallum, C.; Xu, Y.; Dinh, C.-T.; Li, J.; Sargent, E.H.; Sinton, D. Continuous Carbon Dioxide Electroreduction to Concentrated Multi-carbon Products Using a Membrane Electrode Assembly. Joule 2019, 3, 2777–2791. [Google Scholar] [CrossRef]
- Senthilkumar, P.; Mohapatra, M.; Basu, S. The inchoate horizon of electrolyzer designs, membranes and catalysts towards highly efficient electrochemical reduction of CO2 to formic acid. RSC Adv. 2022, 12, 1287–1309. [Google Scholar] [CrossRef]
- Mok, D.H.; Li, H.; Zhang, G.; Lee, C.; Jiang, K.; Back, S. Data-driven discovery of electrocatalysts for CO2 reduction using active motifs-based machine learning. Nat. Commun. 2023, 14, 7303. [Google Scholar] [CrossRef] [PubMed]
- Qi, R.; Zhu, B.; Han, Z.; Gao, Y. High-Throughput Screening of Stable Single-Atom Catalysts in CO2 Reduction Reactions. ACS Catal. 2022, 12, 8269–8278. [Google Scholar] [CrossRef]
- Ampelli, C.; Genovese, C.; Marepally, B.C.; Papanikolaou, G.; Perathoner, S.; Centi, G. Electrocatalytic conversion of CO2 to produce solar fuels in electrolyte or electrolyte-less configurations of PEC cells. Faraday Discuss. 2015, 183, 125–145. [Google Scholar] [CrossRef] [PubMed]
- Giusi, D.; Miceli, M.; Genovese, C.; Centi, G.; Perathoner, S.; Ampelli, C. In situ electrochemical characterization of CuxO-based gas-diffusion electrodes (GDEs) for CO2 electrocatalytic reduction in presence and absence of liquid electrolyte and relationship with C2+ products formation. Appl. Catal. B Environ. 2022, 318, 121845. [Google Scholar] [CrossRef]
- Lv, J.-J.; Jouny, M.; Luc, W.; Zhu, W.; Zhu, J.J.; Jiao, F. A Highly Porous Copper Electrocatalyst for Carbon Dioxide Reduction. Adv. Mater. 2018, 30, 1803111. [Google Scholar] [CrossRef] [PubMed]





| Product | Reaction | Potential |
|---|---|---|
| Methanol | CO2(g) + 6H+ + 6e− → CH3OH (l) + H2O (l) | 0.03 |
| Ethanol | 2CO2(g) + 12H+ + 12e− → C2H5OH (l) + 3H2O (l) | 0.09 |
| Propanol | 3CO2(g) + 18H+ + 18e− → CH3CH2CH2OH (l) + 5H2O (l) | 0.1 |
| Product | Catalysts | Electrolyte | Cell | Active Sites | Performance | Ref. |
|---|---|---|---|---|---|---|
| Methanol | Ag, S-Cu2O/Cu | 1-butyl-3-methylimidazolium tetrafluoroborate/H2O | H cell | Dual-doped porous Cu2O/Cu | −1.18 V vs. RHE, FE 67.4%, −122.7 mA cm−2 | [97] |
| Pd83Cu17 | 25 mol% [Bmim]BF4 + 75 mol% water | H cell | Pd/Cu grain boundaries with high Pd0 /PdII and CuI + Cu0 /CuII ratios | −2.1 V vs. Ag/Ag+, FE 80%, 31.8 mA cm−2 | [60] | |
| CuSAs/TCNFs | 0.1 M KHCO3 | H cell | Cu single atoms with high binding energy for *CO intermediate | −0.9 V vs. RHE, FE 44%, −92 mA cm−2 | [72] | |
| Ethanol | TWN-Cux-600- SACs | 0.5 M CsHCO3 | H cell | Adjacent Cu−N3 sites | −1.1 V vs. RHE, FE 81.9%, 35.6 mA cm–2 | [80] |
| Alkanethiol-modified sputtered copper | 1 M KOH | Flow cell | Cu with tailored interfacial wettability | −1.2 V vs. RHE, FE 53.7% | [84] | |
| Cu-Li | 0.1 M KHCO3 | RDE cell | In situ formed Cun clusters | −0.7 V vs. RHE, FE 91% | [74] | |
| Cu/N0.14C | 0.1 M KHCO3 | H cell | Charge-asymmetry Cu2-CuN3 clusters | −1.1 V vs. RHE, FE 51%, −14.4 mA cm−2 | [99] | |
| K-doped Cu2Se | 0.1 M KHCO3 | H cell | Stabilized CuI species | −0.8 V vs. RHE, FE 70.3%, −35.8 mA cm−2 | [100] | |
| Propanol | CuAg alloy | 1 M CsHCO3 | High-pressure reactor | Cu with dispersed Ag atoms | −0.7 V vs. RHE, FE 59.3%, 56.7 mA cm−2 | [61] |
| CuSx | 0.1 M KHCO3 | H cell | CuSx with double sulfur vacancies | −1.05 V vs. RHE, FE 15.4%, 3.1 mA cm−2 | [103] |
Disclaimer/Publisher’s Note: The statements, opinions and data contained in all publications are solely those of the individual author(s) and contributor(s) and not of MDPI and/or the editor(s). MDPI and/or the editor(s) disclaim responsibility for any injury to people or property resulting from any ideas, methods, instructions or products referred to in the content. |
© 2024 by the authors. Licensee MDPI, Basel, Switzerland. This article is an open access article distributed under the terms and conditions of the Creative Commons Attribution (CC BY) license (https://creativecommons.org/licenses/by/4.0/).
Share and Cite
Hua, Y.; Zhu, C.; Zhang, L.; Dong, F. Designing Surface and Interface Structures of Copper-Based Catalysts for Enhanced Electrochemical Reduction of CO2 to Alcohols. Materials 2024, 17, 600. https://doi.org/10.3390/ma17030600
Hua Y, Zhu C, Zhang L, Dong F. Designing Surface and Interface Structures of Copper-Based Catalysts for Enhanced Electrochemical Reduction of CO2 to Alcohols. Materials. 2024; 17(3):600. https://doi.org/10.3390/ma17030600
Chicago/Turabian StyleHua, Yanbo, Chenyuan Zhu, Liming Zhang, and Fan Dong. 2024. "Designing Surface and Interface Structures of Copper-Based Catalysts for Enhanced Electrochemical Reduction of CO2 to Alcohols" Materials 17, no. 3: 600. https://doi.org/10.3390/ma17030600
APA StyleHua, Y., Zhu, C., Zhang, L., & Dong, F. (2024). Designing Surface and Interface Structures of Copper-Based Catalysts for Enhanced Electrochemical Reduction of CO2 to Alcohols. Materials, 17(3), 600. https://doi.org/10.3390/ma17030600

