Negative Thermal Quenching of Photoluminescence: An Evaluation from the Macroscopic Viewpoint
Abstract
1. Introduction
2. Assessment of the Selected Literature Results
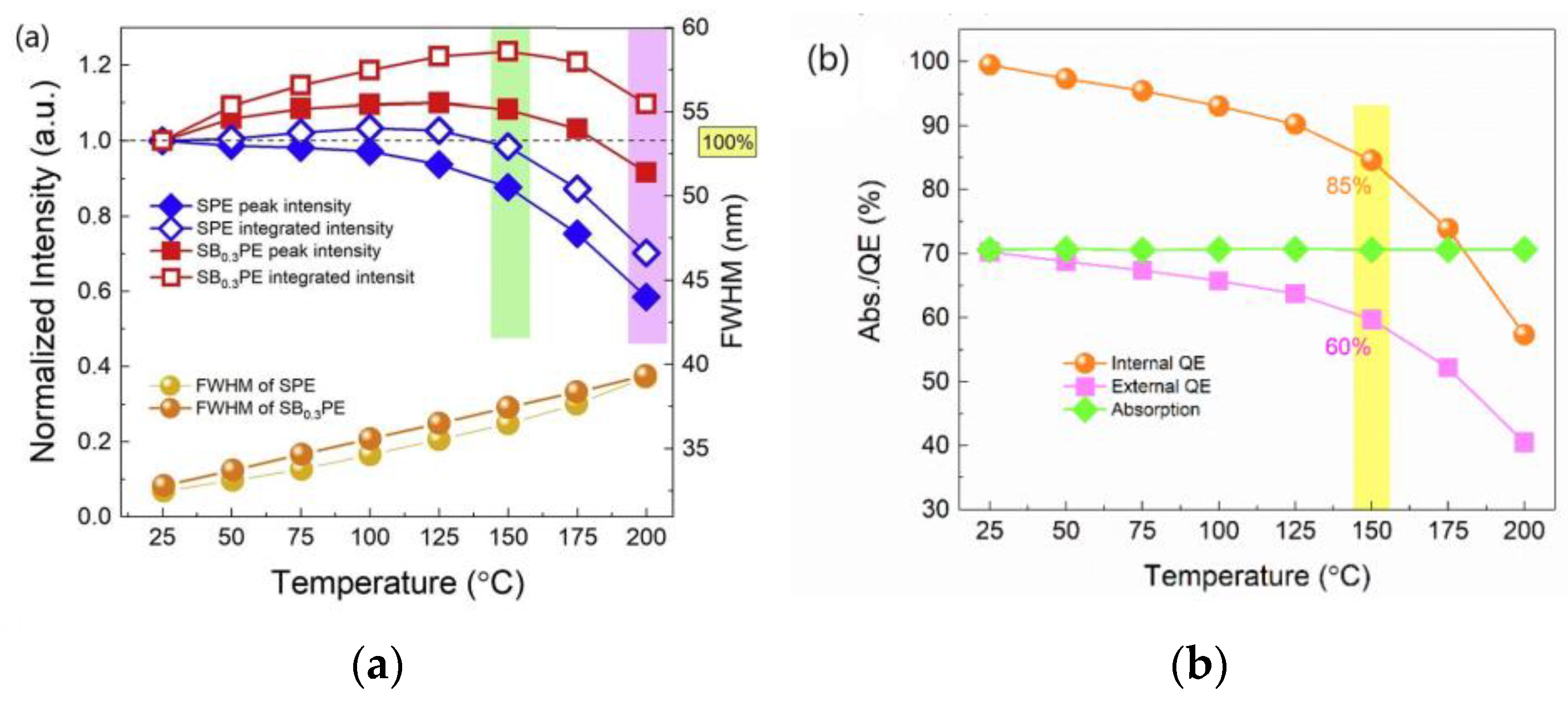
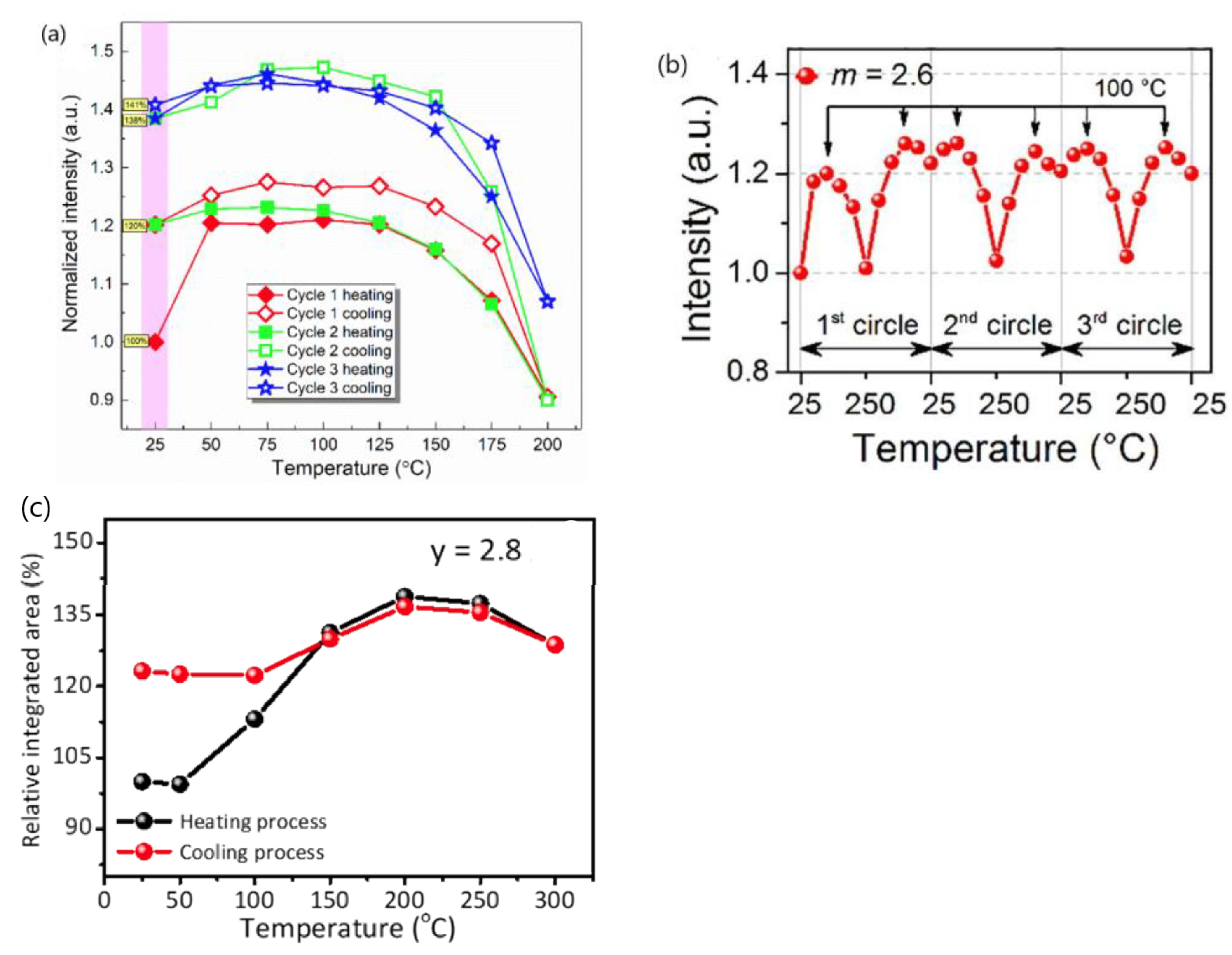
2.1. Could NTQ of a Given Phosphor Be Well Reproducible?
2.2. Could the Associated Data of a Specific NTQ Phosphor Be in Line with the Law of Conservation of Energy?
2.3. Could NTQ of a Given Phosphor Be Demonstrated in Prototype WLED Device?
3. Discussion
- (1)
- The measurement of temperature-variable emission spectra from room temperature to a specific higher temperature (e.g., 200 °C) involves multiple sample temperature-raising and temperature-holding steps, and, hence, is a time-consuming process. Maintaining the stability of the excitation source power, detector sensitivity, and other measurement conditions without any fluctuation throughout the whole process is a challenge.
- (2)
- In the majority of cases, the phosphor expands with increasing temperature, since an increase in energy results in an increase in the equilibrium spacing of the atomic bonds. The optical quartz lid of the sample holder (or sample chamber) for masking phosphor samples is an elastic material that could hardly prohibit the phosphor sample from expanding upon heating at ambient pressure. Given the fact that the homogeneity in chemical composition and/or uniformity in particle size of phosphor samples prepared by laboratory-scale solid-state reactions could hardly be ensured, along with that the phosphor powders are randomly packed in the sample holder, the thermal expansion (volume change) of the phosphor undoubtedly leads to changes in the state of the sample in directions parallel to and perpendicular to the sample surface. On the one hand, the volume change in the sample in the direction parallel to the surface may cause a change in the state of the sample (packing density and flatness) within the cross-sectional area of the incident beam, leading to a change in the reflection/absorption ratio of the phosphor sample. Consequently, a change in the emission spectral intensity is expected. On the other hand, the volume change in the direction perpendicular to the sample surface could affect the distances from the excitation source to the sample surface and from the sample surface to the detector, even though the excitation source, sample holder, and detector of the spectrofluorometer remain static at fixed positions at elevated temperatures. As a consequence, the incident excitation intensity on the phosphor and the emission intensity received by the detector will be biased due to the inverse square law. The magnitude of these changes is associated with the thermal expansion coefficient (lattice rigidity) of a given phosphor, the volume of the sample chamber, the particle size, and packing density of the phosphor could hardly be quantified [51]. Either a change in sample state and surface flatness within the cross-sectional area of the incident excitation light or a change in geometrical configurations of the spectrofluorometer means that the measuring conditions at elevated temperatures have been changed considerably from those at low temperature. Hence, the emission spectral intensity obtained is unable to accurately characterize the variation in phosphor performance any more. Regardless of the volume change in the phosphor being caused by thermal expansion, negative thermal expansion, or phase transformation [1,2,6], the change in crystal cell volume of a phosphor at elevated temperatures makes it difficult to maintain the consistency and stability of the measuring conditions in temperature-variable emission spectral measurements.
- (3)
- Given that the homogeneity in chemical composition and/or uniformity in particle size of phosphor samples prepared by laboratory-scale solid-state reactions could not always be ensured [88], the surface of the phosphor sample for spectral measurement is generally not an ideal Lambertian surface. That is, an isotropic radiance in all directions of the hemisphere above the sample surface could not always be ensured. A change in the surface state originating from the volume change due to thermal expansion or negative thermal expansion of the phosphor may result in a change in the scattering of the emission in different directions at elevated temperatures. As a result, the spectral intensity, which records the emitted energy in the specified direction of the spectrofluorometer, may change with the temperature dependence of anisotropic scattering of the phosphor sample, irrespective of whether or not the emitted intensity changes with temperature.
- (4)
- Due to thermal expansion or negative thermal expansion of the phosphor sample, the length of the atomic bonds between the activator ion and the ligands will change accordingly. For some phosphors, the energetic positions of the transitions from the ground state to the excited states are extremely sensitive to the coordination field of the activator ion (e.g., 4fn5d0 → 4fn−15d1 transition of Ce3+ and Eu2+ ions, 4A2 → 4T2 transition of Mn4+, charge transfer from the ligand to Eu3+, etc.). The change in the length of the atomic bonds between the activator ion and the ligands may lead to a shift in the excitation band at high temperatures from that at low temperature, resulting in a change in the absorption of monochromatic excitation light [51,52].
4. Summary
Funding
Institutional Review Board Statement
Informed Consent Statement
Data Availability Statement
Conflicts of Interest
References
- Viswanath, N.S.M.; Fang, M.-H.; Huu, H.T.; Han, J.H.; Liu, R.-S.; Im, W.B. Correlated Na+ ion migration invokes zero thermal quenching in a sodium superionic conductor-type phosphor. Chem. Mater. 2022, 34, 107–115. [Google Scholar] [CrossRef]
- Kim, Y.H.; Arunkumar, P.; Kim, B.Y.; Unithrattil, S.; Kim, E.; Moon, S.-H.; Hyun, J.Y.; Kim, K.H.; Lee, D.; Lee, J.-S.; et al. A zero-thermal-quenching phosphor. Nat. Mater. 2017, 16, 543–551. [Google Scholar] [CrossRef]
- Li, N.; Zhang, S.; Zhao, J.; Pan, Q.; Du, Y.; Xing, B.; Li, J.; Qu, W. Red shifts, intensity enhancements and abnormally thermal quenching of Ba9Lu2Si6O24:Ce3+ emission by nitridation. J. Lumin. 2019, 214, 116587. [Google Scholar] [CrossRef]
- Shi, X.; Xue, Y.; Mao, Q.; Pei, L.; Li, X.; Liu, M.; Zhang, Q.; Zhong, J. Eu3+ single-doped phosphor with antithermal quenching behavior and multicolor-tunable properties for luminescence thermometry. Inorg. Chem. 2023, 62, 893–903. [Google Scholar] [CrossRef] [PubMed]
- Wang, X.; Zhao, Z.; Wu, Q.; Wang, C.; Wang, Q.; Yanyan, L.; Wang, Y. Structure, photoluminescence and abnormal thermal quenching behavior of Eu2+-doped Na3Sc2(PO4)3: A novel blue-emitting phosphor for n-UV LEDs. J. Mater. Chem. C 2016, 4, 8795–8801. [Google Scholar] [CrossRef]
- Liu, Z.; Zhou, T.; Yang, C.; Chen, J.; Agrawal, D.K.; Mao, Z.; Wang, D. Tunable thermal quenching properties of Na3Sc2(PO4)3:Eu2+ phosphors tailored by phase transformation details. Dalton Trans. 2020, 49, 3615–3621. [Google Scholar] [CrossRef]
- Yan, J.; Zhang, Z.; Milićevića, B.; Li, J.; Liang, Q.; Zhou, J.; Wang, Y.; Shi, J.; Wu, M. The enhancement of emission intensity and enlargement of color gamut by a simple local structure substitution with highly thermal stability preserved. Opt. Mater. 2019, 95, 109201. [Google Scholar] [CrossRef]
- Xian, Y.; Li, J.; Wen, D.; Xie, F.; Xu, Y.; Xu, P.; Zhang, Q.; Chen, Z.; Yan, J. Cation sites modification enhanced luminescence and thermal quenching characteristic in the blue light-emitting Na3Sc2-xZnx(PO4)3:0.03Eu2+ phosphors. J. Lumin. 2020, 228, 117615. [Google Scholar]
- Qiao, J.; Ning, L.; Molokeev, M.S.; Chuang, Y.-C.; Liu, Q.; Xia, Z. Eu2+ site preferences in the mixed cation K2BaCa(PO4)2 and thermally stable luminescence. J. Am. Chem. Soc. 2018, 140, 9730–9736. [Google Scholar] [CrossRef]
- Tang, J.; Si, J.; Li, G.; Zhou, T.; Zhang, Z.; Cai, G. Excellent enhancement of thermal stability and quantum efficiency for Na2BaCa(PO4)2:Eu2+ phosphor based on Sr doping into Ca. J. Alloys Compd. 2022, 911, 165092. [Google Scholar] [CrossRef]
- Zhong, Y.; Xia, M.; Chen, Z.; Gao, P.; Hintzen, H.T.; Wong, W.-Y.; Wang, J.; Zhou, Z. Pyrophosphate phosphor solid solution with high quantum efficiency and thermal stability for efficient LED lighting. iScience 2020, 23, 100892. [Google Scholar] [CrossRef]
- Wei, Y.; Gao, Z.; Liu, S.; Chen, S.; Xing, G.; Wang, W.; Dang, P.; Kheraif, A.A.A.; Li, G.; Lin, J. Highly efficient green-to-yellowish-orange emitting Eu2+-doped pyrophosphate phosphors with superior thermal quenching resistance for w-LEDs. Adv. Optical Mater. 2020, 8, 1901859. [Google Scholar] [CrossRef]
- Zhuo, Y.; Hariyani, S.; Zhong, J.; Brgoch, J. Creating a green-emitting phosphor through selective rare-earth site preference in NaBaB9O15:Eu2+. Chem. Mater. 2021, 33, 3304–3311. [Google Scholar] [CrossRef]
- Wu, X.; Shi, R.; Zhang, J.; Wen, D.; Qiu, Z.; Zhang, X.; Zhou, W.; Yu, L.; Lian, S. Highly efficient and zero-thermal-quenching blue-emitting Eu2+-activated K-beta-alumina phosphors. Chem. Eng. J. 2022, 429, 132225. [Google Scholar] [CrossRef]
- Piao, S.; Wang, Y.; Zhou, X.; Geng, W.; Zhang, J.; Zhang, X.; Wu, D.; Cao, Y.; Li, X.; Chen, B. Defect engineering in a Eu2+-doped β-Al2O3 structure blue phosphor and its controllable zero-thermal quenching luminescence. ACS Sustain. Chem. Eng. 2021, 9, 7882–7890. [Google Scholar] [CrossRef]
- Tu, Y.-Y.; Yang, Z.-H.; Wang, C.-H.; Wang, T.-W.; Lu, F.-C. Synthesis, crystal structure, and anti-thermal quenching performance of Lu2Sr(1−x)Al4SiO12:xEu2+ phosphors. J. Am. Ceram. Soc. 2022, 105, 5240–5251. [Google Scholar]
- Hariyani, S.; Brgoch, J. Advancing human-centric LED lighting using Na2MgPO4F:Eu2+. ACS Appl. Mater. Interfaces 2021, 13, 16669–16676. [Google Scholar] [CrossRef]
- Chen, Y.; Yu, B.; Gou, J.; Liu, S.F. Zero-thermal-quenching and photoluminescence tuning with the assistance of carriers from defect cluster traps. J. Mater. Chem. C 2018, 6, 10687–10692. [Google Scholar] [CrossRef]
- Viswanath, N.S.M.; Grandhi, G.K.; Huu, H.T.; Choi, H.; Kim, H.J.; Kim, S.M.; Kim, H.Y.; Park, C.-J.; Im, W.B. Zero-thermal-quenching and improved chemical stability of a UCr4C4-type phosphor via crystal site engineering. Chem. Eng. J. 2021, 420, 127664. [Google Scholar] [CrossRef]
- Jana, S.; Mukherjee, S.; Ghorai, A.; Bhaktha, S.B.N.; Ray, S.K. Negative thermal quenching and size-dependent optical characteristics of highly luminescent phosphorene nanocrystals. Adv. Opt. Mater. 2020, 8, 2000180. [Google Scholar] [CrossRef]
- Roh, J.Y.D.; Milstein, T.J.; Gamelin, D.R. Negative thermal quenching in quantum-cutting Yb3+-doped CsPb(Cl1–xBrx)3 perovskite nanocrystals. ACS Nano 2023, 17, 17190–17198. [Google Scholar] [CrossRef] [PubMed]
- Qian, Y.; Zhu, D.; Pu, Y. A zero-thermal-quenching phosphor Sr3La(AlO)3(BO3)4: Dy3+ for near ultraviolet excitation white-LEDs. J. Lumin. 2022, 243, 118610. [Google Scholar] [CrossRef]
- Han, J.H.; Viswanath, N.S.M.; Park, Y.M.; Cho, H.B.; Jang, S.; Woo, J.; Min, W.; Im, W.B. Zero-thermal-quenching layered metal halide perovskite. Chem. Mater. 2022, 34, 5690–5697. [Google Scholar] [CrossRef]
- Huang, D.; Ouyang, Q.; Kong, Y.; Wang, B.; Cheng, Z.; Kheraif, A.A.A.; Lian, H.; Lin, J. Highly efficient yellow emission and abnormal thermal quenching in Mn2+-doped Rb4CdCl6. Dalton Trans. 2023, 52, 5715–5723. [Google Scholar] [CrossRef]
- Beers, W.W.; Cohen, W.E.; Srivastava, A.M. Temperature dependence of Mn4+ emission intensity and lifetime in TriGain® phosphor (K2SiF6:Mn4+). ECS J. Solid State Sci. Technol. 2023, 12, 116002. [Google Scholar] [CrossRef]
- Senden, T.; Dijk-Moes, R.J.A.; Meijerink, A. Quenching of the red Mn4+ luminescence in Mn4+-doped fluoride LED phosphors. Light-Sci. Appl. 2018, 7, 8. [Google Scholar] [CrossRef]
- Shao, Q.; Wang, L.; Song, L.; Dong, Y.; Liang, C.; He, J.; Jiang, J. Temperature dependence of photoluminescence spectra and dynamics of the red-emitting K2SiF6:Mn4+ phosphor. J. Alloys Compd. 2017, 695, 221–226. [Google Scholar] [CrossRef]
- Tang, F.; Su, Z.; Ye, H.; Gao, W.; Pan, X.; Xu, S. Large negative-thermal-quenching effect in phonon-induced light emissions in Mn4+-activated fluoride phosphor for warm-white light-emitting diodes. ACS Omega 2018, 3, 13704–13710. [Google Scholar] [CrossRef]
- Zhu, H.; Lin, C.C.; Luo, W.; Shu, S.; Liu, Z.; Liu, Y.; Kong, J.; Ma, E.; Cao, Y.; Liu, R.-S.; et al. Highly efficient non-rare-earth red emitting phosphor for warm white light-emitting diodes. Nat. Commun. 2014, 5, 4312. [Google Scholar] [CrossRef]
- Zhou, Q.; Zhou, Y.; Wang, Z.; Liu, Y.; Chen, G.; Peng, J.; Yan, J.; Wu, M. Fabrication and application of non-rare earth red phosphors for warm white-light-emitting diodes. RSC Adv. 2015, 5, 84821–84826. [Google Scholar] [CrossRef]
- Adachi, S.; Takahashi, T. Direct synthesis of K2SiF6:Mn4+ red phosphor from crushed quartz schist by wet chemical etching. Electrochem. Solid-State Lett. 2009, 12, J20–J23. [Google Scholar] [CrossRef]
- Adachi, S. Negative thermal quenching of Mn4+ luminescence in fluoride phosphors: Effects of the 4A2g → 4T2g excitation transitions and normal thermal quenching. ECS J. Solid State Sci. Technol. 2022, 11, 036001. [Google Scholar] [CrossRef]
- Kate, O.M.; Zhao, Y.; Jansen, K.M.B.; Ommen, J.R.; Hintzen, H.T. Effects of surface modification on optical properties and thermal stability of K2SiF6:Mn4+ red phosphors by deposition of an ultrathin Al2O3 layer using gas-phase deposition in a fluidized bed reactor. ECS J. Solid State Sci. Technol. 2019, 8, R88–R96. [Google Scholar] [CrossRef]
- Böhnisch, D.; Jansen, T.; Pöttgen, R.; Jüstel, T. Temperature dependent optical properties of red emitting Na3GaF6:Mn4+ as a color converter for warm white LEDs. Z. Kristallogr. 2018, 233, 489–499. [Google Scholar] [CrossRef]
- Jansen, T.; Baur, F.; Jüstel, T. Red emitting K2NbF7:Mn4+ and K2TaF7:Mn4+ for warm-white LED applications. J. Lumin. 2017, 192, 644–652. [Google Scholar] [CrossRef]
- Osborne, R.A.; Cherepy, N.J.; Seeley, Z.M.; Payne, S.A.; Drobshoff, A.D.; Srivastava, A.M.; Beers, W.W.; Cohen, W.W.; Schlagel, D.L. New red phosphor ceramic K2SiF6:Mn4+. Opt. Mater. 2020, 107, 110140. [Google Scholar] [CrossRef]
- Wei, Y.; Yang, H.; Gao, Z.; Yun, X.; Xing, G.; Zhou, C.; Li, G. Anti-thermal-quenching Bi3+ luminescence in a cyan-emitting Ba2ZnGe2O7:Bi phosphor based on zinc vacancy. Laser Photonics Rev. 2021, 5, 2000048. [Google Scholar] [CrossRef]
- Shi, R.; Ning, L.; Wang, Z.; Chen, J.; Sham, T.-K.; Huang, Y.; Qi, Z.; Li, C.; Tang, Q.; Liang, H. Zero-thermal quenching of Mn2+ red luminescence via efficient energy transfer from Eu2+ in BaMgP2O7. Adv. Optical Mater. 2019, 7, 1901187. [Google Scholar] [CrossRef]
- Zhong, J.; Zhou, Y.; Hariyani, S.; Zhao, W.; Zhuang, W.; Brgoch, J. Thermally robust and color-tunable blue-green-emitting BaMgSi4O10:Eu2+,Mn2+ phosphor for warm-white LEDs. Inorg. Chem. 2020, 59, 13427–13434. [Google Scholar] [CrossRef]
- Jahanbazi, F.; Dimakis, N.; Mao, Y. Interplay of consecutive energy transfer and negative thermal expansion property for achieving superior anti-thermal quenching luminescence. Adv. Opt. Mater. 2023, 12, 2301219. [Google Scholar] [CrossRef]
- Liu, D.; Wang, T.; Liu, Y.; Wang, C.; Liu, Z.; Zhu, X.; Liu, Y.; Zhang, J.; Teng, Z.; Zhong, Y.; et al. Zero-thermal-quenching of LiAl5O8: Eu2+, Mn2+ phosphors by energy transfer and defects engineering. Ceram. Inter. 2023, 49, 10273–10279. [Google Scholar] [CrossRef]
- Liu, D.; Jin, Y.; Lv, Y.; Ju, G.; Wang, C.; Chen, L.; Luo, W.; Hu, Y. A single-phase full-color emitting phosphor Na3Sc2(PO4)3:Eu2+/Tb3+/Mn2+ with near-zero thermal quenching and high quantum yield for near-UV converted warm w-LEDs. J. Am. Ceram. Soc. 2018, 101, 5627–5639. [Google Scholar] [CrossRef]
- Sami, H.; Younis, O.; Maruoka, Y.; Yamaguchi, K.; Siddhant, K.; Hisano, K.; Tsutsum, O. Negative thermal quenching of photoluminescence from liquid-crystalline molecules in condensed phases. Crystals 2021, 11, 1555. [Google Scholar] [CrossRef]
- Kahmann, S.; Nazarenko, O.; Shao, S.; Hordiichuk, O.; Kepenekian, M.; Even, J.; Kovalenko, M.V.; Blake, G.R.; Loi, M.A. Negative thermal quenching in FASnI3 perovskite single crystals and thin films. ACS Energy Lett. 2020, 5, 2512–2519. [Google Scholar] [CrossRef]
- Wang, Z.; Christiansen, J.; Wezendonk, D.; Xie, X.; Huisd, M.A.; Meijerink, A. Thermal enhancement and quenching of upconversion emission in nanocrystals. Nanoscale 2019, 11, 12188–12197. [Google Scholar] [CrossRef] [PubMed]
- Shi, R.; Martinez, E.D.; Brites, C.D.S.; Carlos, L.D. Thermal enhancement of upconversion emission in nanocrystals: A comprehensive summary. Phys. Chem. Chem. Phys. 2021, 23, 20–42. [Google Scholar] [CrossRef] [PubMed]
- Wei, Y.; Yang, H.; Gao, Z.; Liu, Y.; Xing, G.; Dang, P.; Kheraif, A.A.A.; Li, G.; Lin, J.; Liu, R.-S. Strategies for designing antithermal-quenching red phosphors. Adv. Sci. 2020, 7, 1903060. [Google Scholar] [CrossRef]
- Xiao, Y.; Hao, Z. Comment on “Zero-thermal-quenching and photoluminescence tuning with assistance of carriers from defect cluster traps” by Chen et al. J. Mater. Chem. C 2018, 6, 10687–10692. J. Mater. Chem. C 2020, 8, 1151–1152. [Google Scholar]
- Yan, S. Comment on “Tunable thermal quenching properties of Na3Sc2(PO4)3:Eu2+ phosphors tailored by phase transformation details” by Liu et al., Dalton Trans. 2020, 49, 3915. Dalton Trans. 2020, 49, 11772–11774. [Google Scholar] [CrossRef] [PubMed]
- Yan, S. Comment on “Investigation on anomalous thermal quenching of Mn4+ luminescence in A2XF6:Mn4+” [ECS J. Solid State Sci. Technol. 2021, 10, 076007]. ECS J. Solid State Sci. Technol. 2021, 10, 120001. [Google Scholar] [CrossRef]
- Yan, S. On the anomalous thermal quenching of Mn4+ luminescence in A2XF6:Mn4+ (A = K, Na, Rb or Cs; X = Si, Ti, Ge, Sn, Zr or Hf). ECS J. Solid State Sci. Technol. 2020, 9, 106004. [Google Scholar] [CrossRef]
- Yan, S. On the validity of the defect-induced negative thermal quenching of Eu2+-doped phosphors. ECS J. Solid State Sci. Technol. 2023, 12, 016001. [Google Scholar] [CrossRef]
- Wang, L.; Wand, X.; Kohsei, T.; Yoshimura, K.-i.; Izumi, M.; Hirosaki, N.; Xie, R.-J. Highly efficient narrow-band green and red phosphors enabling wider color-gamut LED backlight for more brilliant displays. Opt. Express 2015, 23, 28707–28717. [Google Scholar] [CrossRef]
- Senden, T.; Geitenbeek, R.G.; Meijerink, A. Co-precipitation synthesis and optical properties of Mn4+-doped hexafluoroaluminate w-LED phosphors. Materials 2017, 10, 1322. [Google Scholar] [CrossRef]
- Setlur, A.A.; Radkov, E.V.; Henderson, C.S.; Her, J.-H.; Srivastava, A.M.; Karkada, N.; Kishore, M.S.; Kumar, N.P.; Aesram, D.; Deshpande, A.; et al. Energy-efficient, high-color-rendering LED lamps using oxyfluoride and fluoride phosphors. Chem. Mater. 2010, 22, 4076–4082. [Google Scholar] [CrossRef]
- Moon, J.W.; Min, B.G.; Kim, J.S.; Jang, M.S.; Ok, K.M.; Han, K.-Y.; Yoo, J.S. Optical characteristics and longevity of the line-emitting K2SiF6:Mn4+ phosphor for LED application. Opt. Mater. Express 2014, 4, 2174–2181. [Google Scholar] [CrossRef]
- Setlur, A.A.; Murphy, J.E.; Sista, S.P. Quenching in Mn4+-complex fluoride phosphors: Initial relationships based upon NaKSiF6:Mn4+. ECS J. Solid State Sci. Technol. 2020, 9, 016018. [Google Scholar] [CrossRef]
- Sijbom, H.F.; Joos, J.J.; Martin, L.I.D.J.; Eeckhout, K.V.; Poelman, D.; Smet, P.F. Luminescent behavior of the K2SiF6:Mn4+ red phosphor at high fluxes and at the microscopic level. ECS J. Solid State Sci. Technol. 2016, 5, R3040–R3048. [Google Scholar] [CrossRef]
- Beers, W.W.; Smith, D.; Cohen, W.E.; Srivastava, A.M. Temperature dependence (13–600 K) of Mn4+ lifetime in commercial Mg28Ge7.55O32F15.04 and K2SiF6 phosphors. Opt. Mater. 2018, 84, 614–617. [Google Scholar] [CrossRef]
- Solé, J.G.; Bausá, L.E.; Jaque, D. An Introduction to the Optical Spectroscopy of Inorganic Solids; John Wiley & Sons, Ltd.: Hoboken, NJ, USA, 2005; pp. 161–170. [Google Scholar]
- Paschotta, R. Encyclopedia of Laser Physics and Technology, Vol. 1 & 2; Wiley Online Library: Hoboken, NJ, USA, 2008; p. 856. [Google Scholar]
- Blasse, G.; Grabmeier, B.C. Luminescent Materials, 1st ed.; Springer: Berlin, Germany, 1994. [Google Scholar]
- Ronda, C. Luminescence; Wiley-VCH Verlag GmbH &, Co. KGaA: Weinheim, Germany, 2008. [Google Scholar]
- Smet, P.F.; Parmentier, A.B.; Poelman, D. Selecting conversion phosphors for white light-emitting diodes. J. Electrochem. Soc. 2011, 158, R37–R54. [Google Scholar] [CrossRef]
- Yan, S. On the origin of temperature dependence of the emission maxima of Eu2+ and Ce3+- activated phosphors. Opt. Mater. 2018, 79, 172–185. [Google Scholar] [CrossRef]
- Bispo, A.G., Jr.; Saraiva, L.F.; Lima, S.A.M.; Pires, A.M.; Davolos, M.R. Recent prospects on phosphor-converted LEDs for lighting, displays, phototherapy, and indoor farming. J. Lumin. 2021, 237, 118167. [Google Scholar] [CrossRef]
- Li, Y.; Deng, D.; Wang, T.; Yu, Y.; Zhong, X.; Wu, D.; Liao, S.; Huang, Y. Negative thermal quenching of K3AlF6:Mn4+@GQDs phosphors caused by enhancement of the conversion of heat energy into light energy. J. Mater. Sci. Mater. Electron. 2021, 32, 26384–26396. [Google Scholar] [CrossRef]
- Song, E.; Wang, J.; Shi, J.; Deng, T.; Ye, S.; Peng, M.; Wang, J.; Wondraczek, L.; Zhang, Q. Highly efficient and thermally stable K3AlF6:Mn4+ as a red phosphor for ultra-high performance warm-white LEDs. ACS Appl. Mater. Interfaces 2017, 9, 8805–8812. [Google Scholar] [CrossRef]
- Dat, L.Q.; Lan, N.T.; Lien, N.T.K.; Quang, N.V.; Anh, C.V.; Tinh, N.H.; Duyen, N.T.; Thoa, V.T.K.; Hanh, N.T.; Huong, P.T.L.; et al. Excellent hydrophobic property of K3AlF6:Mn4+ phosphor by coating with reduction graphene oxide on the surface of materials. Opt. Mater. 2022, 129, 112552. [Google Scholar] [CrossRef]
- McCamy, C.S. Correlated color temperature as an explicit function of chromaticity coordinates. Color Res. Appl. 1992, 17, 142–144, Erratum in Color Res. Appl. 1993, 18, 150. [Google Scholar] [CrossRef]
- Shchekin, O.B.; Schmidt, J.; Jin, F.; Lawrence, N.; Vampola, K.J.; Bechtel, H.; Chamberlin, D.R.; Mueller-Mach, R.; Mueller, G.O. Excitation dependent quenching of luminescence in LED phosphors. Phys. Status Solidi RRL 2016, 10, 310–314. [Google Scholar] [CrossRef]
- Jansen, T.; Bohnisch, D.; Justel, T. On the photoluminescence linearity of Eu2+ based LED phosphors upon high excitation density. ECS J. Solid State Sci. Technol. 2016, 5, R91–R97. [Google Scholar] [CrossRef]
- Yan, S. On the origin of diminishing radiative lifetime of Mn4+ in complex fluoride phosphors with temperature. ECS J. Solid State Sci. Technol. 2021, 10, 086005. [Google Scholar] [CrossRef]
- Haar, M.A.; Tachikirt, M.; Berends, A.C.; Krames, M.R.; Meijerink, A.; Rabouw, F.T. Saturation mechanisms in common LED phosphors. ACS Photonics 2021, 8, 1784–1793. [Google Scholar] [CrossRef] [PubMed]
- Bicanic, K.T.; Li, X.; Sabatini, R.P.; Hossain, N.; Wang, C.-F.; Fan, F.; Liang, H.; Hoogland, S.; Sargent, E.H. Design of phosphor white light systems for high-power applications. ACS Photonics 2016, 3, 2243–2248. [Google Scholar] [CrossRef]
- Piquette, A.; Bergbauer, W.; Galler, B.; Mishra, K.C. On choosing phosphors for near-UV and blue LEDs for white light. ECS J. Solid State Sci. Technol. 2016, 5, R3146–R3159. [Google Scholar] [CrossRef]
- George, N.C.; Birkel, A.; Brgoch, J.; Hong, B.-C.; Mikhailovsky, A.A.; Page, K.; Llobet, A.; Seshadri, R. Average and local structural origins of the optical properties of the nitride phosphor La3−xCexSi6N11 (0 < x ≤ 3). Inorg. Chem. 2013, 52, 13730–13741. [Google Scholar]
- Ueda, J.; Tanabe, S.; Takahashi, K.; Takeda, T.; Hirosaki, N. Thermal quenching mechanism of CaAlSiN3:Eu2+ red phosphor. Bull. Chem. Soc. Jpn. 2018, 91, 173–177. [Google Scholar] [CrossRef]
- Tsai, Y.-T.; Chiang, C.-Y.; Zhou, W.; Lee, J.-F.; Sheu, H.-S.; Liu, R.-S. Structural ordering and charge variation induced by cation substitution in (Sr,Ca)AlSiN3:Eu phosphor. J. Am. Chem. Soc. 2015, 137, 8936–8939. [Google Scholar] [CrossRef]
- Arjoca, S.; Villora, E.G.; Inomata, D.; Aoki, K.; Sugahara, Y.; Shimamura, K. Temperature dependence of Ce:YAG single-crystal phosphors for high-brightness white LEDs/LDs. Mater. Res. Express 2015, 2, 055503. [Google Scholar] [CrossRef]
- Robbin, D.J. The effects of crystal field and temperature on the photoluminescence excitation efficiency of Ce3+ in YAG. J. Electrochem. Soc. 1979, 126, 1550–1555. [Google Scholar] [CrossRef]
- Rejman, M.; Babin, V.; Kucerková, R.; Nikl, M. Temperature dependence of CIE-x,y color coordinates in YAG:Ce single crystal phosphor. J. Lumin. 2017, 187, 20–25. [Google Scholar] [CrossRef]
- Wittlin, A.; Przybylińska, H.; Berkowski, M.; Kamińska, A.; Nowakowski, P.; Sybilski, P.; Ma, C.-G.; Brik, M.G.; Suchocki, A. Ambient and high pressure spectroscopy of Ce3+ doped yttrium gallium garnet. Opt. Mater. Exp. 2015, 5, 1868–1880. [Google Scholar] [CrossRef]
- Seto, T.; Kijima, N.; Hirosaki, N. A new yellow phosphor La3Si6N11:Ce3+ for white LEDs. ECS Trans. 2009, 25, 247–252. [Google Scholar]
- Chen, L.; Fei, M.; Zhang, Z.; Jiang, Y.; Chen, S.; Dong, Y.; Sun, Z.; Zhao, Z.; Fu, Y.; He, J.; et al. Understanding the local and electronic structures toward enhanced thermal stable luminescence of CaAlSiN3:Eu2+. Chem. Mater. 2016, 28, 5505–5515. [Google Scholar] [CrossRef]
- Song, Z.; Zu, R.; Liu, X.; He, L.; Liu, Q. Analysis on stability and consistency of intensity measurement of white light emitting diode phosphors. Optik 2016, 127, 2798–2801. [Google Scholar] [CrossRef]
- Würth, C.; Grabolle, M.; Pauli, J.; Spieles, M.; Resch-Genger, U. Relative and absolute determination of fluorescence quantum yields of transparent samples. Nat. Protoc. 2013, 8, 1535–1550. [Google Scholar] [CrossRef]
- Kumar, A.; Couto, H.; Silva, J.C.G.E. Upconversion emission studies in Er3+/Yb3+ doped/co-doped NaGdF4 phosphor particles for intense cathodoluminescence and wide temperature-sensing applications. Materials 2022, 15, 6563. [Google Scholar] [CrossRef]
- Tsai, Y.-T.; Huang, Y.S.; Majewsk, N.; Mahlik, S.; Muchlis, A.M.G.; Huang, Y.-K.; Huang, Y.L.; Lin, B.-H.; Su, C.; Lin, C.C. Shielding effect and compensation defect study on Na3Sc2(PO4)y:Eu2+,3+ (y = 2.6–3.0) phosphor by anion-group-induced phase transition. J. Mater. Chem. C 2022, 10, 15044–15050. [Google Scholar] [CrossRef]
- Rohwer, L.S.; Martin, J.E. Measuring the absolute quantum efficiency of luminescent materials. J. Lumin. 2005, 115, 77–90. [Google Scholar] [CrossRef]
- Leyre, F.S.; Coutino-Gonzalez, E.; Joos, J.J.; Ryckaert, J.; Meuret, Y.; Poelman, D.; Smet, P.F.; Durinck, G.; Hofkens, J.; Deconinck, G.; et al. Absolute determination of photoluminescence quantum efficiency using an integrating sphere setup. Rev. Sci. Instrum. 2014, 85, 123115. [Google Scholar] [CrossRef]
- Würth, C.; Grabolle, M.; Pauli, J.; Spieles, M.; Resch-Genger, U. Comparison of methods and achievable uncertainties for the relative and absolute measurement of photoluminescence quantum yields. Anal. Chem. 2011, 83, 3431–3439. [Google Scholar] [CrossRef]
- Heggen, D.V.; Joos, J.J.; Smet, P.F. Importance of evaluating the intensity dependency of the quantum efficiency: Impact on LEDs and persistent phosphors. ACS Photonics 2018, 5, 4529–4537. [Google Scholar] [CrossRef]
- Laverdant, J.; Marcillac, W.D.; Barthou, C.; Chinh, V.D.; Schwob, C.; Coolen, L.; Benalloul, P.; Nga, P.T.; Maitre, A. Experimental determination of the fluorescence quantum yield of semiconductor nanocrystals. Materials 2011, 4, 1182–1193. [Google Scholar] [CrossRef]









| No | Composition of WLED | Drive Current/mA | Chromaticity Coordinate | CCT/K | Ref. | |
|---|---|---|---|---|---|---|
| x | y | |||||
| 1 | Blue chip (λ = 455 nm) + YAG 04 + K2TiF6:Mn4+ | 20 | 0.4575 | 0.4124 | 2748 | [29] |
| 40 | 0.4588 | 0.4160 | 2757 | |||
| 60 | 0.4569 | 0.4158 | 2783 | |||
| 80 | 0.4539 | 0.4152 | 2821 | |||
| 100 | 0.4550 | 0.4172 | 2820 | |||
| 120 | 0.4534 | 0.4158 | 2833 | |||
| 2 | Blue chip + YAG:Ce3+ (0.1 g) + K3AlF6:Mn4+ (0.4 g) | 40 | 0.4208 | 0.4014 | 3270 | [68] |
| 120 | 0.4178 | 0.3951 | 3275 | |||
| 240 | 0.4142 | 0.3874 | 3284 | |||
| 300 | 0.4127 | 0.3832 | 3278 | |||
| 3 | UV chip (λ = 365 nm) + Na3Sc2(PO4)3:0.03Eu2+ + La3Si6N11:Ce3+ + (Sr,Ca)AlSiN3:Eu2+ | 100 | 0.2989 | 0.3502 | 7041 b | [2] |
| 200 | 0.2968 | 0.3531 | 7116 | |||
| 300 | 0.2958 | 0.3574 | 7121 | |||
| 400 | 0.2952 | 0.3602 | 7121 | |||
| 500 | 0.2953 | 0.3617 | 7101 | |||
| 600 | 0.2957 | 0.3625 | 7075 | |||
| 700 | 0.2963 | 0.3632 | 7040 | |||
| 800 | 0.2970 | 0.3633 | 7006 | |||
| 900 | 0.2975 | 0.3639 | 6978 | |||
| 1000 | 0.2982 | 0.3639 | 6945 | |||
| 4 | UV chip (λ = 365 nm) + Sr1.38Ba0.6P2O7:0.02Eu2+ + (SrBa)2SiO4:Eu2+ + (Sr,Ca)AlSiN3:Eu2+ | 25 | 0.3958 | 0.4065 | 3831 | [11] |
| 50 | 0.3957 | 0.4050 | 3823 | |||
| 75 | 0.3957 | 0.4036 | 3814 | |||
| 100 | 0.3956 | 0.4028 | 3811 | |||
| 125 | 0.3955 | 0.4019 | 3807 | |||
| 150 | 0.3955 | 0.4008 | 3799 | |||
| 175 | 0.3956 | 0.3997 | 3789 | |||
| 200 | 0.3958 | 0.3984 | 3775 | |||
Disclaimer/Publisher’s Note: The statements, opinions and data contained in all publications are solely those of the individual author(s) and contributor(s) and not of MDPI and/or the editor(s). MDPI and/or the editor(s) disclaim responsibility for any injury to people or property resulting from any ideas, methods, instructions or products referred to in the content. |
© 2024 by the author. Licensee MDPI, Basel, Switzerland. This article is an open access article distributed under the terms and conditions of the Creative Commons Attribution (CC BY) license (https://creativecommons.org/licenses/by/4.0/).
Share and Cite
Yan, S. Negative Thermal Quenching of Photoluminescence: An Evaluation from the Macroscopic Viewpoint. Materials 2024, 17, 586. https://doi.org/10.3390/ma17030586
Yan S. Negative Thermal Quenching of Photoluminescence: An Evaluation from the Macroscopic Viewpoint. Materials. 2024; 17(3):586. https://doi.org/10.3390/ma17030586
Chicago/Turabian StyleYan, Shirun. 2024. "Negative Thermal Quenching of Photoluminescence: An Evaluation from the Macroscopic Viewpoint" Materials 17, no. 3: 586. https://doi.org/10.3390/ma17030586
APA StyleYan, S. (2024). Negative Thermal Quenching of Photoluminescence: An Evaluation from the Macroscopic Viewpoint. Materials, 17(3), 586. https://doi.org/10.3390/ma17030586

