Off-Stoichiometry Thiol-Ene Surface Functionalization: Example with Gold Nanoparticles
Abstract
1. Introduction
2. Materials and Methods
2.1. Mold Preparation
2.2. Fabrication of OSTE Samples
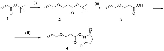
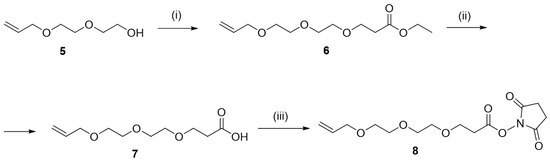
2.3. Synthesis of the Linker Compounds
2.3.1. Tert-Butyl 3-(Allyloxy)propanoate (2)
2.3.2. 3-(Allyloxy)propanoic Acid (3)
2.3.3. 2,5-Dioxopyrrolidin-1-yl 3-(Allyloxy)propanoate (4)
- 1H NMR (300 MHz, CDCl3) δ 5.97–5.83 (m, 1H), 5.33–5.16 (m, 2H), 4.02 (dt, J = 5.6, 1.4 Hz, 2H), 3.79 (t, J = 6.4 Hz, 2H), 2.89 (t, J = 6.4 Hz, 2H), 2.83 (s, 4H).
- 13C NMR (150 MHz, CDCl3) δ 169.1, 166.8, 134.4, 117.6, 72.3, 64.6, 32.3, 25.7.
- HRMS (ESI) [M + Na]+: m/z calcd for (C10H13NO5Na) 250.0691. Found 250.0699.
2.3.4. Ethyl 3-(2-(2-(Allyloxy)ethoxy)ethoxy)propanoate (6)
2.3.5. 3-(2-(2-(Allyloxy)ethoxy)ethoxy)propanoic acid (7)
2.3.6. 2,5-Dioxopyrrolidin-1-yl 3-(2-(2-(Allyloxy)ethoxy)ethoxy)propanoate (8)
- 1H NMR (400 MHz, CDCl3) δ 5.90 (ddt, J = 17.3, 10.4, 5.7 Hz, 1H), 5.26 (dq, J = 17.3, 1.6 Hz, 1H), 5.21–5.12 (m, 1H), 4.01 (dt, J = 5.7, 1.4 Hz, 2H), 3.84 (t, J = 6.5 Hz, 2H), 3.66–3.63 (m, 6H), 3.61–3.57 (m, 2H), 2.89 (t, J = 6.5 Hz, 2H), 2.82 (s, 4H).
- 13C NMR (101 MHz, CDCl3) δ 169.1, 166.8, 134.9, 117.2, 72.3, 70.8, 70.8, 70.7, 69.5, 65.8, 32.3, 25.7.
- HRMS (ESI) [M + Na]+: m/z calcd for (C14H21NO7Na) 338.1216. Found 338.1229.
2.4. Functionalization of OSTE Surface
2.5. Spectroscopic Measurements
3. Results and Discussion
3.1. Study of OSTE Polymerization Process
Binding of Gold Nanoparticles
4. Conclusions
- OSTE–SH and terminal C=C group ratio can be varied by changing the ratio of components A and B, used as precursors to OSTE. The higher the A reagent concentration, the higher the –SH group presence. On the other hand, a higher B reagent concentration leads to a higher C=C group presence. Changing the ratios can also affect the visual appearance (liquid or solid) of the resultant samples. Solid samples were produced in the A:B ratio range from 3:1 to 1:3.
- Unfunctionalized OSTE polymer samples have insufficient binding with gold nanoparticles. Nevertheless, the binding can be significantly improved by employing –NH2-reactive linkers. By treating the linker-functionalized samples with thioethanolamine, surface active –SH groups can be introduced to the OSTE polymer surface, thus enabling gold nanoparticle binding.
- Our reported linkers, in theory, could be used not only for the attachment of substances that react with –SH groups but also with –NH2 groups. This property could be employed in attaching various proteins to the OSTE surface as they all contain at least one terminal –NH2 group. By changing the terminal groups of our linkers, other molecule binding could theoretically also be achieved.
Author Contributions
Funding
Institutional Review Board Statement
Informed Consent Statement
Data Availability Statement
Conflicts of Interest
References
- Kitsara, M.; Ducrée, J. Integration of functional materials and surface modification for polymeric microfluidic system. J. Micromech. Microeng. 2013, 23, 033001. [Google Scholar] [CrossRef]
- Tsougeni, K.; Vourdas, N.; Tserepi, A.; Gogolides, E.; Cardinaud, C. Mechanisms of oxygen plasma nanotexturing of organic polymer surfaces: From stable super hydrophilic to super hydrophobic surfaces. Langmuir 2009, 25, 11748–11759. [Google Scholar] [CrossRef] [PubMed]
- Nagai, H.; Irie, T.; Takahashi, J.; Wakida, S.I. Flexible manipulation of microfluids using optically regulated adsorption/desorption of hydrophobic materials. Biosens. Bioelectron. 2007, 22, 1968–1973. [Google Scholar] [CrossRef] [PubMed]
- Sikanen, T.; Wiedmer, S.K.; Heikkilä, L.; Franssila, S.; Kostiainen, R.; Kotiaho, T. Dynamic coating of SU-8 microfluidic chips with phospholipid disks. Electrophoresis 2010, 31, 2566–2574. [Google Scholar] [CrossRef]
- Prakash, S.; Karacor, M.B.; Banerjee, S. Surface modification in microsystems and nanosystems. Surf. Sci. Rep. 2009, 64, 233–254. [Google Scholar] [CrossRef]
- Zhou, J.; Khodakov, D.A.; Ellis, A.V.; Voelcker, N.H. Surface modification for PDMS-based microfluidic devices. Electrophoresis 2012, 33, 89–104. [Google Scholar] [CrossRef] [PubMed]
- Banik, S.; Uchil, A.; Kalsang, T.; Chakrabarty, S.; Ali, M.A.; Srisungsitthisunti, P.; Mahato, K.K.; Surdo, S.; Mazumder, N. The revolution of PDMS microfluidics in cellular biology. Crit. Rev. Biotechnol. 2023, 43, 465–483. [Google Scholar] [CrossRef]
- Carlborg, C.F.; Haraldsson, T.; Öberg, K.; Malkoch, M.; van der Wijngaart, W. Beyond PDMS: Off-stoichiometry thiol–ene (OSTE) based soft lithography for rapid prototyping of microfluidic devices. Lab. Chip. 2011, 11, 3136–3147. [Google Scholar] [CrossRef]
- Vastesson, A.; Guo, M.; Haraldsson, T.; van der Wijngaart, W. Polymer nanoliter well arrays for liquid storage and rapid on-demand electrochemical release. Sens. Actuators B Chem. 2018, 267, 111–118. [Google Scholar] [CrossRef]
- Guo, W.; Vilaplana, L.; Hansson, J.; Marco, M.P.; van der Wijngaart, W. Immunoassays on thiol-ene synthetic paper generate a superior fluorescence signal. Biosens. Bioelectron. 2020, 163, 112279. [Google Scholar] [CrossRef] [PubMed]
- Xiao, Z.; Sun, L.; Yang, Y.; Feng, Z.; Dai, S.; Yang, H.; Zhang, X.; Sheu, C.L.; Guo, W. High-Performance Passive Plasma Separation on OSTE Pillar Forest. Biosensors 2021, 11, 355. [Google Scholar] [CrossRef]
- Bajo-Santos, C.; Priedols, M.; Kaukis, P.; Paidere, G.; Gerulis-Bergmanis, R.; Mozolevskis, G.; Abols, A.; Rimsa, R. Extracellular Vesicles Isolation from Large Volume Samples Using a Polydimethylsiloxane-Free Microfluidic Device. Int. J. Mol. Sci. 2023, 24, 7971. [Google Scholar] [CrossRef]
- Kharasch, M.S.; May, E.M.; Mayo, F.R. The Peroxide Effect in the Addition of Reagents to Unsaturated Compounds. XVIII. the Addition and Substitution of Bisulfite. J. Org. Chem. 1938, 3, 175–192. [Google Scholar] [CrossRef]
- Cramer, N.B.; Bowman, C.N. Kinetics of thiol–ene and thiol–acrylate photopolymerizations with real-time fourier transform infrared. J. Polym. Sci. A Polym. Chem. 2001, 39, 3311–3319. [Google Scholar] [CrossRef]
- Bou, S.J.M.C.; Ellis, A.V. Microfluidic devices using thiol-ene polymers. In Proceedings of the Spie Micro+Nano Materials, Devices, and Applications, Melbourne, VIC, Australia, 7 December 2013; Volume 8923. [Google Scholar] [CrossRef]
- Lafleur, J.P.; Kwapiszewski, R.; Jensen, T.G.; Kutter, J.P. Rapid photochemical surface patterning of proteins in thiol–ene based microfluidic devices. Analyst 2013, 138, 845–849. [Google Scholar] [CrossRef]
- Bourg, S.; d’Orlyé, F.; Griveau, S.; Bedioui, F.; da Silva, J.A.F.; Varenne, A. Multiple Zones Modification of Open Off-Stoichiometry Thiol-Ene Microchannel by Aptamers: A Methodological Study & A Proof of Concept. Chemosensors 2020, 8, 24. [Google Scholar] [CrossRef]
- Lafleur, J.P.; Senkbeil, S.; Novotny, J.; Nys, G.; Bøgelund, N.; Rand, K.D.; Foret, F.; Kutter, J.P. Rapid and simple preparation of thiol–ene emulsion-templated monoliths and their application as enzymatic microreactors. Lab Chip 2015, 15, 2162–2172. [Google Scholar] [CrossRef] [PubMed]
- Priedols, M.; Paidere, G.; Santos, C.B.; Miscenko, A.; Bergmanis, R.G.; Spule, A.; Bekere, B.; Mozolevskis, G.; Abols, A.; Rimsa, R. Bifurcated Asymmetric Field Flow Fractionation of Nanoparticles in PDMS-Free Microfluidic Devices for Applications in Label-Free Extracellular Vesicle Separation. Polymers 2023, 15, 789. [Google Scholar] [CrossRef] [PubMed]
- Thompson, M.; Sheikh, S.; Sheng, J.C.-C.; Blaszykowski, C. Avoidance of non-specific binding on an acoustic wave biosensor using linker and diluent molecules for device surface modification. U.S. Patent No. 8,491,958, 23 July 2013. [Google Scholar]
- Ellwood, J.A. Raman Band Intensities of Thioethers and Thiols. Available online: https://repository.royalholloway.ac.uk/items/c5538f6e-c19e-4780-a724-6bae6abecc72/1/ (accessed on 1 October 2024).
- De Luca, A.C.; Dholakia, K.; Riches, A.; Mazilu, M.; Herrington, C.S. Optimal algorithm for fluorescence suppression of modulated Raman spectroscopy. Opt. Express 2010, 18, 11382–11395. [Google Scholar] [CrossRef]
- Bagiyan, G.A.; Koroleva, I.K.; Soroka, N.V.; Ufimtsev, A.V. Oxidation of thiol compounds by molecular oxygen in aqueous solutions. Russ. Chem. Bull. 2003, 52, 1135–1141. [Google Scholar] [CrossRef]
- Inkpen, M.S.; Liu, Z.-F.; Li, H.; Campos, L.M.; Neaton, J.B.; Venkataraman, L. Non-chemisorbed gold–sulfur binding prevails in self-assembled monolayers. Nat. Chem. 2019, 11, 351–358. [Google Scholar] [CrossRef] [PubMed]







Disclaimer/Publisher’s Note: The statements, opinions and data contained in all publications are solely those of the individual author(s) and contributor(s) and not of MDPI and/or the editor(s). MDPI and/or the editor(s) disclaim responsibility for any injury to people or property resulting from any ideas, methods, instructions or products referred to in the content. |
© 2024 by the authors. Licensee MDPI, Basel, Switzerland. This article is an open access article distributed under the terms and conditions of the Creative Commons Attribution (CC BY) license (https://creativecommons.org/licenses/by/4.0/).
Share and Cite
Ruska, R.; Sarakovskis, A.; Zutis, E.; Paidere, G.; Vozny, I.; Cipa, J.; Gabrusenoks, J.; Freimanis, T.; Zalubovskis, R.; Anspoks, A. Off-Stoichiometry Thiol-Ene Surface Functionalization: Example with Gold Nanoparticles. Materials 2024, 17, 6135. https://doi.org/10.3390/ma17246135
Ruska R, Sarakovskis A, Zutis E, Paidere G, Vozny I, Cipa J, Gabrusenoks J, Freimanis T, Zalubovskis R, Anspoks A. Off-Stoichiometry Thiol-Ene Surface Functionalization: Example with Gold Nanoparticles. Materials. 2024; 17(24):6135. https://doi.org/10.3390/ma17246135
Chicago/Turabian StyleRuska, Rihards, Anatolijs Sarakovskis, Edmunds Zutis, Gunita Paidere, Igor Vozny, Janis Cipa, Jevgenijs Gabrusenoks, Toms Freimanis, Raivis Zalubovskis, and Andris Anspoks. 2024. "Off-Stoichiometry Thiol-Ene Surface Functionalization: Example with Gold Nanoparticles" Materials 17, no. 24: 6135. https://doi.org/10.3390/ma17246135
APA StyleRuska, R., Sarakovskis, A., Zutis, E., Paidere, G., Vozny, I., Cipa, J., Gabrusenoks, J., Freimanis, T., Zalubovskis, R., & Anspoks, A. (2024). Off-Stoichiometry Thiol-Ene Surface Functionalization: Example with Gold Nanoparticles. Materials, 17(24), 6135. https://doi.org/10.3390/ma17246135

