A Wide Passband Frequency-Selective Surface with a Sharp Roll-Off Band Using the Filtering Antenna-Filtering Antenna Method
Abstract
1. Introduction
2. Design and Analysis of FSS
2.1. Design Principle
2.2. The FA-FA-Based FSS
2.3. Design and Simulation of a Reconfigurable ACA FSS
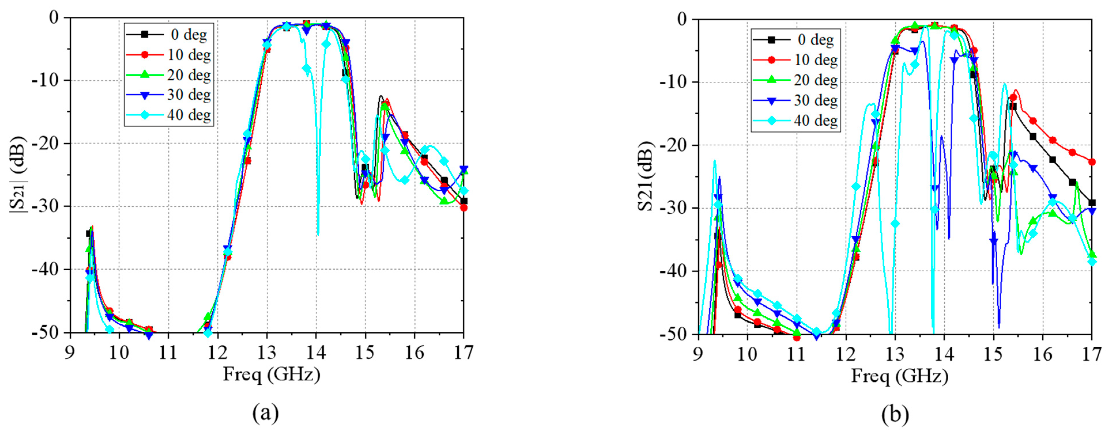
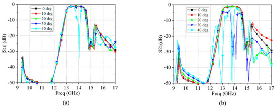
3. Fabrication and Measurement
4. Conclusions
Author Contributions
Funding
Institutional Review Board Statement
Informed Consent Statement
Data Availability Statement
Conflicts of Interest
References
- Hong, T.; Wang, M.; Peng, K.; Zhao, Q.; Gong, S. Compact Ultra-Wide Band Frequency Selective Surface with High Selectivity. IEEE Trans. Antennas Propagat. 2020, 68, 5724–5729. [Google Scholar] [CrossRef]
- Ni, J.; Zhao, W.; Pang, X.; Zhao, S.; Duan, K.; Wang, J.; Zhang, X.; Jiang, T.; Chen, K.; Zhao, J.; et al. A Fifth-Order X-Band Frequency-Selective Surface with High Selectivity and Angular Stability Based on 3-D Coupling Slot. IEEE Trans. Antennas Propagat. 2024, 72, 5743–5753. [Google Scholar] [CrossRef]
- Lin, H.; Li, Y.; Wong, S.-W.; Tam, K.W.; Liu, B.; Zhu, L. High-Selectivity FA-FA based Frequency Selective Surfaces Using Magnetoelectronic Dipole Antennas. IEEE Trans. Antennas Propagat. 2022, 70, 10669–10677. [Google Scholar] [CrossRef]
- Tao, K.; Li, B.; Tang, Y.; Zhang, M.; Bo, Y. Analysis and Implementation of 3D Bandpass Frequency Selective Structure with High Frequency Selectivity. Electron. Lett. 2017, 53, 324–326. [Google Scholar] [CrossRef]
- Hong, T.; Guo, S.; Jiang, W.; Gong, S. Highly Selective Frequency Selective Surface with Ultrawideband Rejection. IEEE Trans. Antennas Propagat. 2022, 70, 3459–3468. [Google Scholar] [CrossRef]
- Belmessaoud, D.; Rouabah, K.; Messaoudene, I.; Denidni, T.A. Broadband Planar Slot Antenna Using a Simple Single-layer FSS Stopband. IET Microw. Antennas Propag. 2020, 14, 203–210. [Google Scholar] [CrossRef]
- Zhang, C.; Liu, S.; Ni, H.; Tan, R.; Liu, C.; Yan, L. An Angle-Stable Ultra-Wideband Single-Layer Frequency Selective Surface Absorber. Electronics 2023, 12, 3776. [Google Scholar] [CrossRef]
- Hu, W.; Jia, M.; Dong, Y.; Qian, X.; Yang, Y.; He, X. 3D Ultra-Wideband High Selective Bandpass FSS. In Proceedings of the 2019 IEEE MTT-S International Wireless Symposium (IWS), Guangzhou, China, 19–22 May 2019. [Google Scholar]
- Wang, P.; Jiang, W.; Hong, T.; Li, Y.; Pedersen, G.; Shen, M. A 3-D Wide Passband Frequency Selective Surface with Sharp Roll-Off Sidebands and Angular Stability. Antennas Wirel. Propag. Lett. 2022, 21, 252–256. [Google Scholar] [CrossRef]
- Rashid, A.K.; Shen, Z. Three-dimensional frequency selective surfaces. In Proceedings of the 2010 International Conference on Communications, Circuits and Systems, Chengdu, China, 28–30 July 2010. [Google Scholar]
- Zeng, X.; Gao, M.; Zhang, L.; Wan, G.; Hu, B. Design of a Tuneable and Broadband Absorber Using a Switchable Transmissive/Reflective FSS. IET Microw. Antennas Propag. 2018, 12, 1211–1215. [Google Scholar] [CrossRef]
- Kumar, A.; Kongari, S.; Chandrakapure, Y.; Sarkar, D. Multi-Functional Metasurface as a Transmissive/Reflective FSS and an on-Air Frequency Mixer. Sci. Rep. 2024, 14, 13874. [Google Scholar] [CrossRef] [PubMed]
- Yu, D.; Hao, Z.-C.; Sun, L.; Yan, K.; Zhang, W.; Jiang, Y. Design of a Wideband Wide Scanning Phased Antenna Array with FSS Superstrates. PIER Lett. 2023, 112, 41–47. [Google Scholar] [CrossRef]
- Alwareth, H.; Ibrahim, I.M.; Zakaria, Z.; Al-Gburi, A.J.A.; Ahmed, S.; Nasser, Z.A. A Wideband High-Gain Microstrip Array Antenna Integrated with Frequency-Selective Surface for Sub-6 GHz 5G Applications. Micromachines 2022, 13, 1215. [Google Scholar] [CrossRef]
- Lin, H.; Wong, S.-W.; Tam, K.-W.; Li, Y.; Ngai, K.; Chio, C.-H.; He, Y. Filtenna-Filter-Filtenna-Based FSS with Simultaneous Wide Passband and Wide Out-of-Band Rejection Using Multiple-Mode Resonators. IEEE Trans. Antennas Propagat. 2023, 71, 5046–5056. [Google Scholar] [CrossRef]
- Bai, R.; Chen, J.; Wu, L.; Xu, K. Low-profile Frequency Selective Surface with Quasi-elliptical Bandpass Response Using Antenna-filter-antenna Approach. Microw. Opt. Technol. Lett. 2024, 66, e34183. [Google Scholar] [CrossRef]
- Abbaspour-Tamijani, A.; Sarabandi, K.; Rebeiz, G.M. Antenna-filter-antenna arrays as a class of bandpass frequency-selective surfaces. IEEE Trans. Microw. Theory Tech. 2004, 52, 1781–1789. [Google Scholar] [CrossRef]
- Abbaspour-Tamijani, A.; Rebeiz, G.M. Low-loss bandpass antenna-filter-antenna arrays for applications in quasi-optical systems. In Proceedings of the 2005 European Microwave Conference, Paris, France, 4–6 October 2005. [Google Scholar]
- Abbaspour-Tamijani, A.; Schoenlinner, B.; Sarabandi, K.; Rebeiz, G.M. A new class of bandpass frequency selective structures. In Proceedings of the IEEE Antennas and Propagation Society International Symposium, Columbus, OH, USA, 22–27 June 2003. [Google Scholar]
- Abbaspour-Tamijani, A.; Rizk, J.; Rebeiz, G. Integration of filters and microstrip antennas. IEEE APS Symp. 2002, 2, 874–877. [Google Scholar] [CrossRef]
- Lin, C.K.; Chung, S.J. A Compact Simple Structured Filtering Antenna Utilizing Filter Synthesis Technique. In Proceedings of the Asia Pacific Microwave Conference, Yokohama, Japan, 7–10 December 2010. [Google Scholar]
- Sun, X.; Ma, J.; Feng, Y.; Shi, J.; Xu, Z. Compact Substrate Integrated Waveguide Filtering Antennas: A Review. IEEE Access 2022, 10, 91906–91922. [Google Scholar] [CrossRef]
- Wang, J.; Zhang, Y.; Ye, L.; Liu, Q.H. A Wideband Circularly Polarized Filtering Antenna Based on Slot-Patch Structure. Antennas Wirel. Propag. Lett. 2023, 22, 1858–1862. [Google Scholar] [CrossRef]
- Li, Y.; Nie, X.; Yang, X.; Liu, C.; Lin, X.; Huang, K. An Aperture-Coupled-Cross-Resonator FSS Based Spatial Filtering Patch Antenna Array. IEEE Access 2024, 12, 5672–5683. [Google Scholar] [CrossRef]
- Liu, N.; Sheng, X.; Zhang, C.; Guo, D. Design and Synthesis of Band-Pass Frequency Selective Surface with Wideband Rejection and Fast Roll-Off Characteristics for Radome Applications. IEEE Trans. Antennas Propagat. 2020, 68, 2975–2983. [Google Scholar] [CrossRef]
- Huang, Z.; Sun, R.; Zhao, P.; Zhang, K.; Wang, Y.; Guan, Z.; Wang, G. A Modified High-Selective Frequency Selective Surface Designed by Multilevel Green’s Function Interpolation Method. Electronics 2024, 13, 2453. [Google Scholar] [CrossRef]
- Ji, L.-Y.; Zhang, Z.-Y.; Liu, N.-W. A Two-Dimensional Beam-Steering Partially Reflective Surface (PRS) Antenna Using a Reconfigurable FSS Structure. Antennas Wirel. Propag. Lett. 2019, 18, 1076–1080. [Google Scholar] [CrossRef]
- Liang, J.C.; Zhang, L.; Cheng, Z.W.; Zhang, P.; Cui, T.J. Flexible Beam Manipulations by Reconfigurable Intelligent Surface with Independent Control of Amplitude and Phase. Front. Mater. 2022, 9, 946163. [Google Scholar] [CrossRef]













| Parameter | a | b | L1 | L2 | L3 | L4 | W1 | W2 |
| Value/mm | 13.6 | 4.9 | 3.6 | 6.3 | 4.59 | 1.8 | 0.3 | 0.45 |
| Parameter | W3 | W4 | R1 | T1 | T2 | T3 | T4 | |
| Value/mm | 0.39 | 0.3 | 0.26 | 1.5 | 0.3 | 0.17 | 0.1 |
| Ref. | f0 (GHz) | −3 dB FBW | Profile Height (λ0) | Lower Roll-Off Bandwidth | Upper Roll-Off Bandwidth | Pol. |
|---|---|---|---|---|---|---|
| [1] | 2 | 155.7% | 0.029 | 1.8% f0 | 7.3% f0 | Dual |
| [2] | 10 | 35% | 0.31 | 3.89% f0 | 1.2% f0 | Dual |
| [4] | 25.6 | 20.2% | 0.276 | 4.25% f0 | 3.16% f0 | Single |
| [5] | 3.57 | 29% | 0.05 | 9.8% f0 | 8.7% f0 | Dual |
| [8] | 12 | 98.5% | 0.66 | 6.51% f0 | 1.3% f0 | Dual |
| [9] | 9.63 | 78.5% | 0.33 | 6.4% f0 | 4.7% f0 | Dual |
| [19] | 10 | 11.5% | 0.17 | 2.6% f0 | 6.0% f0 | Dual |
| This work | 14 | 62% | 0.21 | 1% f0 | 1.2% f0 | Dual |
Disclaimer/Publisher’s Note: The statements, opinions and data contained in all publications are solely those of the individual author(s) and contributor(s) and not of MDPI and/or the editor(s). MDPI and/or the editor(s) disclaim responsibility for any injury to people or property resulting from any ideas, methods, instructions or products referred to in the content. |
© 2024 by the authors. Licensee MDPI, Basel, Switzerland. This article is an open access article distributed under the terms and conditions of the Creative Commons Attribution (CC BY) license (https://creativecommons.org/licenses/by/4.0/).
Share and Cite
Ren, Y.; Xi, Z.; Liu, Q.; Gong, J.; Sun, Z.; Sima, B. A Wide Passband Frequency-Selective Surface with a Sharp Roll-Off Band Using the Filtering Antenna-Filtering Antenna Method. Materials 2024, 17, 6131. https://doi.org/10.3390/ma17246131
Ren Y, Xi Z, Liu Q, Gong J, Sun Z, Sima B. A Wide Passband Frequency-Selective Surface with a Sharp Roll-Off Band Using the Filtering Antenna-Filtering Antenna Method. Materials. 2024; 17(24):6131. https://doi.org/10.3390/ma17246131
Chicago/Turabian StyleRen, Yanfei, Zhenghu Xi, Qinqin Liu, Jiayi Gong, Zhiwei Sun, and Boyu Sima. 2024. "A Wide Passband Frequency-Selective Surface with a Sharp Roll-Off Band Using the Filtering Antenna-Filtering Antenna Method" Materials 17, no. 24: 6131. https://doi.org/10.3390/ma17246131
APA StyleRen, Y., Xi, Z., Liu, Q., Gong, J., Sun, Z., & Sima, B. (2024). A Wide Passband Frequency-Selective Surface with a Sharp Roll-Off Band Using the Filtering Antenna-Filtering Antenna Method. Materials, 17(24), 6131. https://doi.org/10.3390/ma17246131

