Abstract
Phenothiazine-based photosensitizers bear the intrinsic potential to substitute various expensive organometallic dyes owing to the strong electron-donating nature of the former. If coupled with a strong acceptor unit and the length of N-alkyl chain is appropriately chosen, they can easily produce high efficiency levels in dye-sensitized solar cells. Here, three novel D-A dyes containing 1H-tetrazole-5-acrylic acid as an acceptor were synthesized by varying the N-alkyl chain length at its phenothiazine core and were exploited in dye-sensitized solar cells. Differential scanning calorimetry showed that the synthesized phenothiazine derivatives exhibited behavior characteristic of molecular glasses, with glass transition and melting temperatures in the range of 42–91 and 165–198 °C, respectively. Based on cyclic and differential pulse voltammetry measurements, it was evident that their lowest unoccupied molecular orbital (LUMO) (−3.01–−3.14 eV) and highest occupied molecular orbital (HOMO) (−5.28–−5.33 eV) values were fitted to the TiO2 conduction band and the redox energy of I−/I3− in electrolyte, respectively. The experimental results were supported by density functional theory, which was also utilized for estimation of the adsorption energy of the dyes on the TiO2 and its size. Finally, the compounds were tested in dye-sensitized solar cells, which were characterized based on current–voltage measurements. Additionally, for the compound giving the best photovoltaic response, the efficiency of the DSSCs was optimized by a photoanode modification involving the use of cosensitization and coadsorption approaches and the introduction of a blocking layer. Subsequently, two types of tandem dye-sensitized solar cells were constructed, which resulted in an increase in photovoltaic efficiency to 6.37%, as compared to DSSCs before modifications, with a power conversion value of 2.50%.
1. Introduction
Improvements to the performance and stability of dye-sensitized solar cells (DSSCs) are the two crucial issues to address before DSSCs are commercialized. Until now, various organic donors such as triphenylamine, carbazole, coumarin, pyrrolidine, tetrahydroquinolines, and phenothiazine (PTZ) have been investigated [1,2,3,4,5]. Among them, phenothiazine holds a superior place because of its excellent donor ability due to the presence of electron-rich sulfur and nitrogen atoms in its heterocyclic structure [6].
Studies of the literature have unveiled that the substitution of the N-alkyl chain attached to the nitrogen atom of phenothiazine moiety not only increases the solubility of PTZ dyes, but also helps to improve the charge separation at the solution–dye interface [7]. In addition to this, the introduction of the alkyl chain greatly helps to reduce the dye aggregation at the titanium dioxide surface and increase the electron lifetime due to surface protection [8,9,10].
In addition to this, the anchoring unit has its own critical role in deciding the optical, electrochemical, and photovoltaic properties of the dyes [11]. The carboxylic acid group is the most widely used anchoring unit due to its highly electronegative nature [12]. In most cases, the cano-group is added with the carboxylic acid group, as seen in many dyes; however, its floppy structure has proved in many cases to decrease the photovoltaic parameters of the dyes [13,14,15,16]. Therefore, recently, the cyano group in the cyanoacrylic acid anchoring unit has been replaced by the tetrazole ring; this was accomplished by Chermahini, Z.J. et al. in triphenylamine-based dyes [17]. The dye bearing such an anchoring unit showed maximum absorption coefficient values and was anchored effectively on the TiO2 surface. This type of anchoring mode was also confirmed by Massin J et al. [18]. Recently, da Silva, L. et al. also used a tetrazole anchoring unit in some dyes, and achieved PCE values of 7.49% and 9.21% with coadsorbent, with 0.34% and 0.37%, respectively, without coadsorbent [19]. Therefore, it would be better to combine the tetrazole ring with the carboxylic acid group in an anchoring unit and test it in phenothiazine-based dyes. Various studies prove that, due to the porous nature of the TiO2 layer, some of the injected electrons from the FTO surface recombine with the redox ions present in the electrolyte solution, thereby decreasing current density [20]. To prevent this backflow of the electrons, a compact layer, also called a blocking layer, is applied between the FTO surface and the TiO2 layer [21]. It can sometimes be observed that the blocking layer increases the amount of dye on the titanium dioxide layer, thereby increasing the performance of the DSSCs [22]. Materials such as TiO2, ZnO, Al2O3, SiO2, or ZrO2, among others, are used as blocking layers. Much attention is being paid to the use of TiO2, as it is often with this material that high efficiencies of DSSC devices have been achieved. Moreover, a TiO2 blocking layer has been extensively used due to its promising properties like conductivity, abundancy, ease of fabrication, and film-forming capabilities [23].
Another possible reason for the low efficiency of DSSCs is dye aggregation, which is caused when the dye molecules adsorbed at the TiO2 become tightly packed and form intermolecular aggregates [24]. To prevent this, a coadsorbent like chenodeoxycholic acid (CDCA) is usually added, which helps not only to form a single uniform layer of the dye molecules on the TiO2 surface, but also fills the empty spaces present between the dye molecules [25]. Despite the high molar-absorption coefficient of PTZ dyes, the absorption window is not wide enough to capture the photons of all wavelengths in the visible region [26]. To introduce panchromatic behavior in the dyes, either the dye cocktail method or the use of tandem architecture for DSSCs are adopted [5,27]. Keeping in view the insights from the literature, in the presented work, three novel PTZ dyes bearing 1H-tetrazole-5-yl-acrylic acid as an anchoring unit and with varying lengths of alkyl chain at the phenothiazine core were synthesized, characterized, and, finally, tested in DSSCs. The effects of the N-alkyl chain length, anchoring unit, and applied modifications, including the use of a blocking layer, coadsorbent, and cosensitizer, on the performance of the DSSCs were demonstrated.
2. Materials and Methods
2.1. Materials
Phenothiazine, n-bromoalkane (alkane = ethane, butane, octane), phosphorous oxychloride, diethylamine (DEA), NaOH, tetrabutylammonium iodide (TBAI), 1H-Tetrazole-5-acetic acid, solvents (including n-hexane, methanol, acetonitrile (ACN), acetone, N-dimethylformamide (DMF) and THF), EL-HSE electrolyte, and fluorine-doped tin oxide (FTO) substrates were all purchased from Sigma Aldrich as commercial-grade products. Dimethylformamide was always freshly distilled before use. Isopropyl alcohol, chloroform, and dichloromethane were obtained from Stanlab. For the fabrication of photoelectrodes, titanium dioxide (TiO2) paste was bought from Great Cell Solar Materials, Queanbeyan, Australia.
2.2. Measurements
Nuclear magnetic resonance (NMR) spectra were always recorded using an Avance II 600 MHz Ultra Shield Plus (Bruker) Spectrometer (Karlsruhe, Germany). Infrared spectra (FTIR) of the dyes were measured using a JASCO FT/IR-6700 (JASCO Co., Ltd., Tokyo, Japan) spectrometer. UV–Vis absorption spectra of the dyes were recorded both in solution and in solid form, using a V-570 UV–Vis–NIR spectrophotometer (Jasco Inc., Tokyo, Japan). The emission spectra were recorded on a Hitachi F-2500 spectrometer (Tokyo, Japan). Heating/cooling rates of 20 °C min−1 were used to obtain differential scanning calorimetry (DSC) thermograms under nitrogen, using TA-DSC 2010 apparatus (TA Instruments, New Castle, DE, USA). The electrochemical studies (the cyclic voltammetry and the differential pulse voltammetry) were carried out using an Eco ChemieAutolab PGSTAT128n potentiostat (Utrecht, Netherlands) with the solution concentration equal 5 × 10−4 mol dm−3 in DMF solvent with 0.1 M concentration of an electrolyte Bu4NPF6 (99%, Sigma-Aldrich, St. Louis, MO, USA). Measurements were performed at 22 ± 1 °C. DSSC and T-DSSC devices were tested on a PV Solutions solar simulator and a Keithley 2400 SourceMeter (Tektronix, Inc., Beaverton, OR, USA) under AM 1.5 G illumination (100 mW cm–2).
2.3. Fabrication of Solar Cells
2.3.1. Fabrication of DSSCs
After cleaning the substrates by ultrasonicating them in a Hellamanex detergent, distilled water, and isopropyl alcohol for 15 min each at 40 °C, TiO2 layers were screen-printed onto them. The substrates were then heated to 125 °C for 10 minafter the application of each layer. Subsequently, the FTO substrates were heated to 500 °C for 30 min in a furnace. Counter electrodes containing platinum metal were prepared in a similar manner. These substrates (glass/FTO/TiO2) were then dipped into a 3 × 10−4 M dye solution in acetonitrile:tert-butanol (ACN:t-BuOH) for 24 h. Afterward, the prepared photoanodes were cleaned with methanol to remove any excess dye before being used in device preparation. The photoanodes were then clamped with the counter electrode, and the liquid electrolyte was injected between the two electrodes. To assess the effect of coadsorbent on the photovoltaic parameters, chenodeoxycholic acid (CDCA) was added to the dye solution at a concentration of 10 mM. Additionally, to apply the blocking layer, a 2 M aqueous solution of TiCl4 was prepared using commercially available concentrated titanium(IV) tetrachloride. Cleaned FTO substrates were then immersed in the TiCl4 solution (0.05 M) and heated for 30 min at 70 °C. After this, the substrates were removed from the solution, rinsed gently with deionized water, and heated in an oven at 500 °C for 30 min.
2.3.2. Fabrication of Tandem Dye-Sensitized Solar Cells
The tandem DSSCs were fabricated by overlapping two single dye-sensitized solar cell devices and connecting them in series.
2.3.3. Dye Loading Analysis
The number of dye molecules adsorbed on the TiO2 surface was measured using dye desorption studies, performed in several steps. First of all, various solutions of each dye were prepared in NaOH:THF (1:1) mixture with the concentration ranging from 1 × 10−4 to 8 × 10−6 M. Following this, the UV–Vis absorption spectrum of each solution was recorded. From the obtained absorption spectra, calibration curves were prepared for each dye. To determine the amount of dye loaded on the TiO2 surface, the sensitized substrates were immersed in 1 M NaOH:THF solution for 2 h, followed by UV–Vis measurement and calculation of the amount of dye using a calibration curve.
3. Experimental
For the synthesis of prospective high-performing novel dyes for DSSCs, phenothiazine was chosen as the donor part while 1H-tetrazole-5-acetic acid acted as the acceptor part. Three simple donor–acceptor dyes, differing in the length of the N-alkyl chain, were synthesized using a multistep organic synthesis process. The motivation for this work stemmed from previous studies that demonstrated the significant effect of varying N-alkyl chain lengths on the photophysical properties and photovoltaic (PV) performance of DSSCs [28]. The results in the cited literature showed that the dye bearing octyl chain showed a wide absorption window and maximum PCE of 4.79%, as compared to the methyl or dodecyl chain moieties. Similarly, the role of the long alkyl chain in the formation of J-aggregates by certain dyes have also been reported [29]. Moreover, the incorporation of a tetrazole-ring-based anchoring unit has been shown to increase the PCE of DSSCs to 7.49% and 9.21% [19]. Also, the facile condensation reaction of such commercially available anchoring units with that of aldehyde derivates of phenothiazie was also a motivation for carrying out this experimental work.
Our previous work includes the synthesis of N-alkylated derivatives of commercially available phenothiazine with ethyl, butyl, and octyl chain followed by their respective formylation [30]. For introducing anchoring units to the dyes, a condensation reaction was employed, the details of which are given as follows.
3.1. General Synthesis of (E)-3-(10-Alkyl-10H-phenothiazin-3-yl)-2-(1H-tetrazol-5-yl)acrylic Acid
In a two-necked round-bottomed flask, we added aldehyde (1 equivalent) and 1H-tetrazole-5-acetic acid (1.5 equivalents) in acetonitrile and refluxed in the presence of 20 equivalents of diethyl amine for 24 h. The reaction was then quenched with the addition of a 5 M HCl solution, resulting in the formation of dark red precipitates. The precipitates were washed thoroughly with distilled water until neutral and dried in air. The pure product was obtained by repeated solvent washing (ethyl acetate: n-Hexane 10:1 for PETA and PBTA, and dichloromethane: n-Hexane 1:4 for POTA). The synthesis was confirmed by the complete structural characterization of the dyes using proton nuclear magnetic resonance (1H NMR), carbon nuclear magnetic resonance (13C NMR), and infrared (IR) spectroscopies.
3.1.1. (E)-3-(10-Ethyl-10H-phenothiazin-3-yl)-2-(1H-tetrazol-5-yl)acrylic Acid (PETA)
PETA was prepared using the general procedure from 10-ethyl-10H-phenothiazine-3-carbaldehyde (PEF) (1.17 mmol), 1H-tetrazole-5-acetic acid (1.76 mmol), and diethylamine (25 mmol) in acetonitrile (6 mL). Yield was 73% (red solid).
Characterization: 1H NMR (600 MHz, DMSO) δ 8.02 (s, 1H), 7.21–7.16 (m, 1H), 7.10 (dd, J = 7.6, 1.4 Hz, 1H), 7.01 (d, J = 8.0 Hz, 1H), 6.97–6.90 (m, 2H), 6.86 (dd, J = 8.7, 2.0 Hz, 1H), 6.76 (d, J = 2.0 Hz, 1H), 3.89 (q, J = 6.9 Hz, 2H), 1.25 (t, J = 6.9 Hz, 3H).
13C NMR (151 MHz, DMSO) δ 166.57, 146.88, 145.71, 143.25, 130.88, 128.81, 128.37, 127.53, 127.02, 123.61, 122.87, 122.03, 116.20, 115.54, 41.85, 12.86.
FTIR (cm−1): O–H stretch 2954, C–H aliphatic 2917, 2848, C=O carboxylic group 1736, C=C stretch 1591, C–N stretch 1567, N-N stretch 1058.
3.1.2. (E)-3-(10-Butyl-10H-phenothiazin-3-yl)-2-(1H-tetrazol-5-yl)acrylic acid (PBTA)
PBTA was synthesized following the general procedure described above by refluxing 10-butyl-10H-phenothiazine-3-carbaldehyde (PBF) (0.5 mmol), 1H-tetrazole-5-acetic acid (0.75 mmol), and diethylamine (10 mmol) in acetonitrile (2.5 mL). The yield was 58% (red solid).
Characterization: 1H NMR (600 MHz, DMSO) δ 8.01 (s, 1H), 7.17 (t, J = 7.7 Hz, 1H), 7.10–7.08 (m, 1H), 7.00 (d, J = 8.2 Hz, 1H), 6.93 (dd, J = 15.4, 8.0 Hz, 2H), 6.84 (dd, J = 8.7, 1.7 Hz, 1H), 6.76 (d, J = 1.7 Hz, 1H), 3.83 (t, J = 7.0 Hz, 2H), 1.63–1.54 (m, 2H), 1.39–1.28 (m, 2H), 0.84 (t, J = 7.4 Hz, 3H).
13C NMR (151 MHz, DMSO) δ 166.58, 147.43, 145.71, 143.70, 130.83, 129.00, 128.34, 127.66, 127.08, 123.67, 123.58, 122.77, 116.64, 115.97, 115.06, 46.81, 28.68, 19.74, 14.02.
FTIR (cm−1): O–H stretch 2993, C–H aliphatic 2926, 2854, C=O carboxylic group 1677, C=C stretch 1595, C–N stretch 1568, N-N stretch 1046.
3.1.3. (E)-3-(10-Octyl-10H-phenothiazin-3-yl)-2-(1H-tetrazol-5-yl)acrylic acid (POTA)
POTA was synthesized from 10-octyl-10H-phenothiazine-3-carbaldehyde (POF), 1H-tetrazole-5-acetic acid, and diethylamine in acetonitrile. The yield was 68% (red solid). Characterization: 1H NMR (600 MHz, DMSO) δ 8.02 (s, 1H), 7.21–7.18 (m, 2H), 7.11 (dd, J = 7.6, 1.4 Hz, 1H), 7.01 (d, J = 7.9 Hz, 1H), 6.97–6.92 (m, 1H), 6.86 (d, J = 8.7 Hz, 1H), 6.77 (s, 1H), 3.84 (t, J = 7.0 Hz, 2H), 1.65–1.59 (m, 2H), 1.34 (m, J = 14.9, 7.3 Hz, 2H), 1.26–1.17 (m, 8H), 0.82 (t, J = 7.0 Hz, 3H).
13C NMR: (151 MHz, DMSO) δ 166.54, 143.68, 130.82, 128.98, 128.34, 127.65, 123.68, 122.80, 116.68, 116.00, 47.06, 31.51, 29.00, 28.86, 26.48, 26.37, 22.44, 14.37.
FTIR (cm−1): O–H stretch 2955, C–H aliphatic 2924, 2851, C=O carboxylic group 1694, C=C stretch 1595, C–N stretch 1571, N-N stretch 1055.
The 1H NMR spectra of PETA, PBTA, and POTA are shown in Figure 1.

Figure 1.
1H NMR spectra of (a) PETA, (b) PBTA, and (c) POTA.
4. Results and Discussion
4.1. Synthesis and Structural Characterization
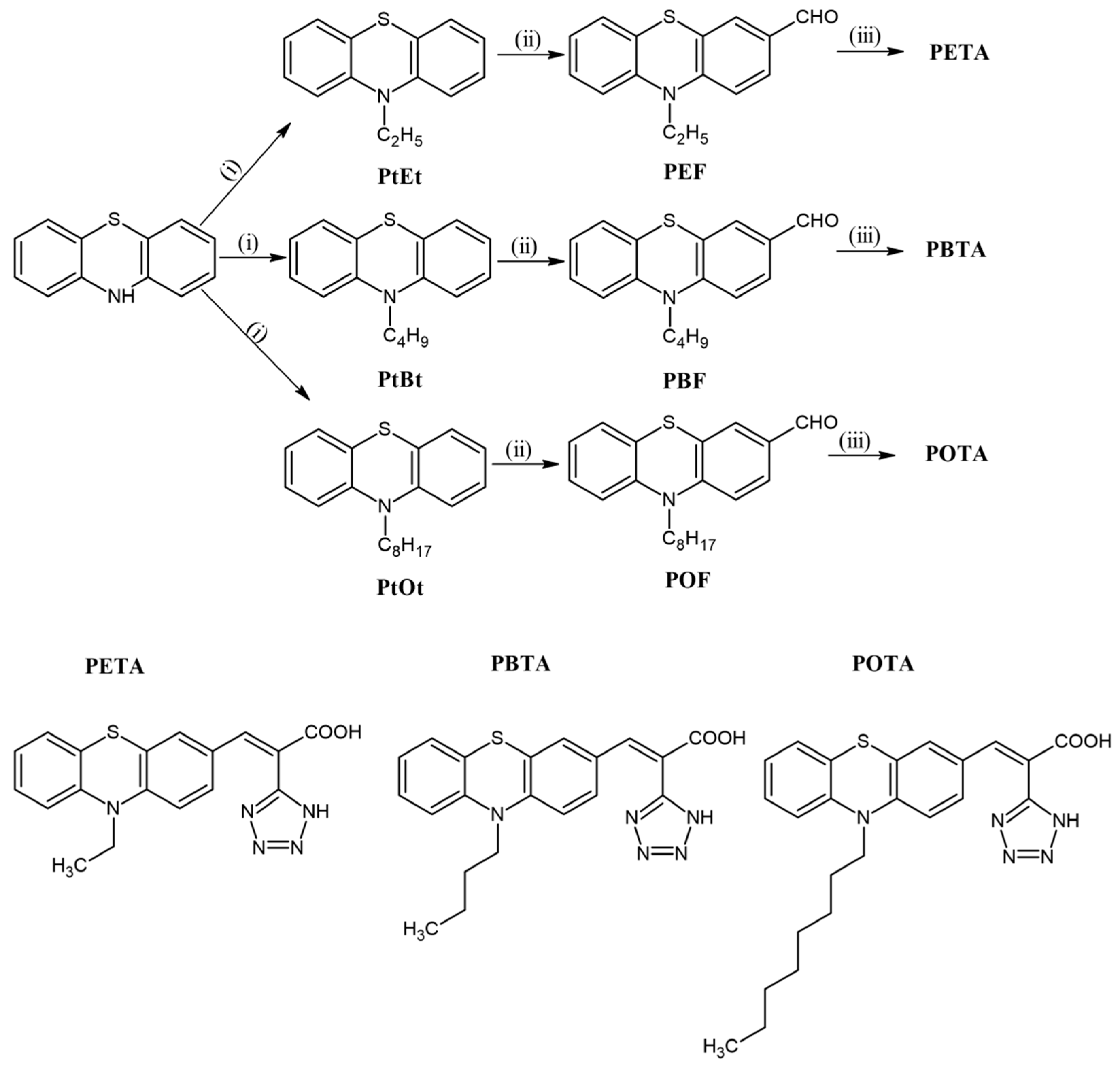
The three new phenothiazine derivatives (E)-3-(10-ethyl-10H-phenothiazin-3-yl)-2-(1H-tetrazol-5-yl) acrylic acid (PETA), (E)-3-(10-butyl-10H-phenothiazin-3-yl)-2-(1H-tetrazol-5-yl) acrylic acid (PBTA), and (E)-3-(10-octyl-10H-phenothiazin-3-yl)-2-(1H-tetrazol-5-yl) acrylic acid (POTA) were prepared following a straightforward synthetic route (cf. Scheme 1) [17]. Initially, commercially available phenothiazine was alkylated at the N10 position with the ethyl, butyl, and octyl chains to obtain 10-ethyl-10H-phenothiazine (PtEt), 10-butyl-10H-phenothiazine (PtBt), and 10-octyl-10H-phenothiazine (PtOt), respectively, in high yields using tetrabutylammonium iodide (TBAI) as a catalyst. In the second step, Vilsmeir–Haack formylation was carried out to formylate these compounds at the C3 position of alkylated PTZ derivatives. The detailed synthesis of these derivatives has been previously reported by our group [30]. Lastly, the aldehyde group was converted to the tetrazole anchoring unit using the Knoevenagel condensation reaction to obtain the final compounds.
Scheme 1.
Scheme of the designed dyes synthesis. (i) Acetone, TBAI, reflux 24 h. (ii) DMF, POCl3, 1,2-dichloroethane, reflux 24 h. (iii) Diethylamine, 1H-tetrazole-5-acetic acid, CH3CN, reflux 24 h.
1H NMR, 13C NMR, and IR spectroscopies served the purpose of confirming the synthesis of all compounds. N-alkylation of phenothiazine in the first step was confirmed by the appearance of new peaks in the aliphatic region of the 1H NMR spectra of the alkylated phenothiazine derivatives. A quartet appeared around 3.9 ppm in the case of PtEt, while a triplet appeared around 3.5–4.0 ppm in the case of PtBu and PtOt, which confirms the linkage of the aliphatic chain to the nitrogen of the phenothiazine molecule (cf. Figures S1–S3) [31,32]. The aldehyde peak around 9–10 ppm confirms the introduction of the formyl group in the next step, while the integration values of this peak confirm the synthesis of monoformylated products (cf. Figures S4–S6) [33]. The successful condensation of the anchoring unit with the formylated phenothiazine was confirmed by the disappearance of the aldehyde peak in the formylated derivatives and the appearance of a singlet around 8 ppm for a proton attached to the sp2 hybridized carbon (cf. Figures S7–S9) [34]. 13C NMR of all these compounds confirmed the number of carbon atoms as indicated by their molecular formulae (cf. Figures S10–S18). Further confirmation of the chemical structures of the synthesized compounds was carried out using infrared spectroscopy (cf. Figures S19–S21). The N-H stretching vibration that appeared at 3336 cm−1 in the IR spectrum of phenothiazine was absent in the case of all alkylated compounds, which confirms the N-alkylation of phenothiazine. Aliphatic C-H stretching vibrations around 2850–2950 cm−1 were also a confirmation of aliphatic part in the aromatic phenothiazine molecule [35]. The C-H stretching band between 2707 and 2737 cm−1 in the spectra of all formylated compounds showed the presence of the aldehyde group. Moreover, the characteristic peaks for the carbonyl group that appeared around 1666–1685 cm−1 in all the aldehydes were absent in their respective parent compounds [32]. The structure of the final dyes was confirmed by the presence of the respective characteristics peaks in them. The disappearance of the C-H stretching band for the aldehyde and the appearance of a characteristic band for the -COOH group around 1700 cm−1 confirmed the successful conversion of formyl group to the anchoring group. A stretching vibration around 1560–1580 cm−1 justifies the presence of the C-N bond, while absorption around 1050 cm−1 corresponds to the N-N stretching vibration, which confirms the presence of a tetrazole ring in the structure.
4.2. Thermal Properties
The effect of alkyl chain length on the melting point (Tm) and glass transition temperature (Tg) of the PTZ dyes was studied with the help of differential scanning calorimetry (DSC). The thermal data of all derivatives starting from phenothiazine and an exemplary DSC thermogram are depicted in Figure 2.
Figure 2.
(a) DSC thermogram of PETA. (b) Thermal investigation data of compounds starting from phenothiazine.
Phenothiazine, being a solid crystalline compound at room temperature, exhibited an endothermic peak during the first heating run, corresponding to its melting point at 192 °C. The absence of the Tg curve during the second heating run and crystallization exotherms depicts the highly crystalline nature of phenothiazine. The substitution of the ethyl chain at the nitrogen atom of the phenothiazine core resulted in another crystalline compound (PtEt) with a lower melting point of 105 °C, and Tg was not observed during the second heating (cf. Figures S22–S25). Phenothiazines with butyl chain (PtBu) and octyl chain (PtOt) were dense liquids at room temperature. The introduction of the stiff tetrazole ring as an acceptor moiety to the phenothiazine derivatives resulted in increasing Tm, as compared to the alkylated phenothiazine derivatives, and resulted in the possibility of obtaining the compounds in an amorphous state with Tg in the range of 42–91 °C. The high Tm of these dyes (PETA, PBTA, and POTA) are attributed to the presence of nitrogen containing a tetrazole ring and π-conjugation in the structure of the dyes and the aromaticity of the tetrazole ring [36]. Regarding the impact of N-alkyl chain length on the Tm and Tg of these dyes, it can be noted from Figure 2b that glass transition temperature follows an order while melting point does not. The glass transition of the dyes decreased as the length of alkyl chain increased on the phenothiaizne core. This is in accordance with the already reported data showing that the glass transition temperature decreases with the increase in methylene groups in N-alkyl chain length [37,38]. This characteristic enables these dyes to function efficiently at temperatures higher than room temperature without decomposition, thereby extending their operational temperature range [39].
4.3. Electrochemical Investigations
The redox properties of the dyes and the energy levels of the frontier molecular orbitals, i.e., the highest occupied molecular orbital (HOMO) and the lowest unoccupied molecular orbital (LUMO), were calculated using cyclic voltammetry (CV) and differential pulse voltammetry (DPV). The measurements were conducted in N,N-dimethylformamide (DMF) with a glassy carbon electrode (GC) as the working electrode, and tetrabutylammonium hexafluorophosphate (Bu4NPF6) electrolyte (c = 0.1 mol dm−3). The ionization potentials (IPs) and electron affinities (EAs) were calculated from the first oxidation and reduction onsets, and the energy band gap (Eg) was calculated as the difference between them. The electrochemical data are gathered in Table 1 and voltammograms are shown in Figure 3.
Table 1.
The redox potentials (vs. Fc/Fc+) of the reduction and oxidation processes of the PETA, PBTA, and POTA compounds with ionization potentials (IPs), electron affinities (EAs), and the energy band gap (Eg).
Figure 3.
The voltammograms of the (a) reduction and oxidation process measured in the cyclic voltammetry method and (b) voltammograms of the oxidation process measured in the differential pulse voltammetry method (GC, 0.1 mol/dm3 Bu4NPF6 in DMF, 100 mV/s; the dashed lines mean reduction, and the solid lines mean oxidation).
The irreversible reduction process was observed in the range of Ered1 = −2.23–−2.34 V vs. Fc/Fc+, which can be assigned to the tetrazole ring [41,42]. The difference between the anodic and the cathodic peak potentials indicates the quasi-reversible oxidation process of the phenothiazine in the range of Eox1 = 0.27–0.36 V vs. Fc/Fc+ (cf. Figure 3) [40,43]. During the electrochemical measurements, the effect of changing the aliphatic chain length was also considered. There were no significant differences in the position of the oxidation or reduction potentials (ΔEox–red ≈ 0.11 V vs. Fc/Fc+). Based on the literature, it can be concluded that for the compounds with phenothiazine and tetrazole, the oxidation process of phenothiazine occurs more easily. At the same time, the reduction process at more negative potential is recorded [40,44,45]. Moreover, the anodic oxidation and cathodic reduction peaks of the chemical compounds presented in this paper are similar to the N719 ones [40]. Higher up (0.6 V) in the positive potential, the second and third oxidation peak was registered (cf. Figure 3b). The second peak can be considered as the reaction PH•+ → PH2+ + e−, as was described in [46]. The third oxidation peak, about 0.9 V, can be attributed to the subsequent reactions in phenothiazine.
As mentioned above, the ionization potentials and electron affinities were calculated for the onset potentials. The ionization potentials fluctuate within the range of −5.28 to−5.33 eV, while the electron affinities vary in the range from −3.01 to −3.14 eV. Additionally, the energy band gap ranges from 2.13 to −3.14 eV (cf. Table 1). The obtained IP and EA (energy levels) may allow us to estimate the transfer probability from the electrolyte redox couple to the compounds, and, subsequently, to the conduction band of titanium(IV) oxide [47]. The EA levels of the POTA, PBTA, and PETA exceed 4.00 eV (the conduction-band of TiO2 anatase form), and the IP is lower than −4.8 eV (the redox energy level of I−/I3−), ensuring the dye regeneration in the DSSC [33,48].
4.4. Theoretical Calculations
The theoretical calculations were conducted using density functional theory and were carried out using the Gaussian 16, Revision C.01 program [49] at the M06L/def2-tzvp [50] level of theory in the gas phase. To improve the accuracy of calculations, Grimme’s dispersion correction [51] (D3BJ) was applied. Furthermore, solvent effect in adsorption energy was taken into account using the polarizable continuum model (PCM) with acetonitrile as the solvent. The molecular geometry of the singlet ground state of the dye and anatase cluster molecules was optimized in the gas phase as well as in the acetonitrile solvent. The cluster Ti30H12O66, constructed by cutting from the experimental anatase structure and closed by hydrogen atoms (with optimized positions) forming terminal hydroxyl groups, was chosen as the model of the surface [52]. Density of states diagrams were generated using the GaussSum program [53].
The optimized dye molecules are presented in Figure S26 of the Supplementary Materials. When comparing the energies of HOMOs and LUMOs determined from electrochemical data (Table 2) with the theoretically calculated values, it can be noticed that the calculated energies are in line with experimental values. For a more detailed description of the molecular orbitals of the dyes, the contribution of molecule parts, i.e., phenothiazine, acrylic acid, tetrazole, and aliphatic chain fragments, to a molecular orbital was calculated. The HOMO and LUMO contours, as well as the obtained DOS diagrams, are shown in Figures S27 and S28 in Supplementary Materials, and a composition of selected molecular orbitals in ground state are provided in Table S1.
The electronic structures of the dyes are similar, with HOMO localized on the phenothiazine and LUMO localized mainly on the acrylic acid with an admixture from the phenothiazine phenyl ring, respectively. Thus, the HOMO→LUMO excitation induced by light irradiation could shift the electron distribution from the phenothiazine moiety to the anchoring groups, and in excited state, electrons could be easily injected from dye to the TiO2 surface. The DOS diagrams of the dye@Ti30O66H12 system (cf. Figure S28) reveal that the HOMO is located entirely on the dye and the LUMO is located on the titanium oxide.
Two types of the dye adsorption were analyzed, respectively, via the carboxyl group and the tetrazole nitrogen atoms, both in the bidentate bridged form. The charge density on the carboxyl group is higher than on the tetrazole nitrogen atoms, as shown in Figure 4; however, adsorption by tetrazole −N-N− has been considered. The phenothiazine moiety of the dyes showed a nonplanar structure with butterfly conformations (Table S2), which could suppress aggregation. However, the adsorbed dye molecules through the anchoring carboxyl group additionally interact with the TiO2 surface by the tetrazole nitrogen and phenothiazine sulfur atoms (cf. Figure 5). This process increases the planarity of the dye molecule and promotes the formation of aggregates. In contrast, anchoring via the tetrazole nitrogen atoms has practically no effect on the planarity of the phenothiazine fragment. In the excited state, the phenothiazine moiety is more planar, which allows greater overlap of the phenothiazine and acrylic acid fragment orbitals and increases charge transport to the anchoring groups (Table S1). Excitation of the dye molecules, apart from increasing the planarity of the phenothiazine fragment, also influences the geometry of the molecule related to the mutual arrangement of the anchoring carboxyl group and the phenothiazine ring. The COO– group of the PETA dye in the excited state is twisted almost at a right angle (85.85°) to the phenothiazine plane, which makes the excitation process of the adsorbed PETA molecule difficult.
Figure 4.
Molecular electrostatic potential surfaces on the molecules of the dyes (scale range −7.03 × 10−2 (red) to 7.03 × 10−2 (blue) neural and −0.19 a.u. (red) to 0.19 a.u (blue) anionic form).

Figure 5.
Adsorption of the dyes on Ti30O66H12 cluster calculated in acetonitrile solutions (values calculated in the gas phase are given in brackets).
Adsorption energies were calculated using the counterpoise method, and the BSSE was calculated by reperforming all the calculations using mixed basis sets. The error was then subtracted a posteriori from the uncorrected energy. The changes in Gibbs free energy were calculated according to the expression ∆Gads = Gdye@TiO2 − (Gdye + GTiO2), where Gdye, GTiO2, and ∆Gdye@TiO2 are the free energies of dye, Ti30O66H12, and the total system (dye@Ti30O66H12), respectively. The obtained energies and the geometries of the adsorbed dye molecules are shown in Figure 5.
The adsorption energies by the carboxylate anchor increase in the series PETA < PBTA < POTA. However, in the case of adsorption by the tetrazole nitrogen atoms, the adsorption energy values are lower by about 40 kcal/mol, indicating that this type of adsorption is not preferred. In addition, the adsorption process of dyes in their neutral form was analyzed, and in this case, the adsorption energies, either via the COOH group or the tetrazole nitrogen atoms, are much lower than in the case of the adsorption of dyes in anionic form. The fact that adsorption via the carboxyl group is the preferred form is shown by the values of the Gibbs free enthalpy change. The largest negative ∆Gads changes were calculated for the interaction of carboxyl anions with the anatase surface. In the case of POTA dye, the changes in Gibbs free enthalpy during adsorption by the COO– or N=N tetrazole group are similar. For the other two dyes, the differences between adsorption by the carboxyl group and the tetrazole nitrogens are significant (cf. Figure 5). Photovoltaic properties are affected by the amounts of the dyes adsorbed to the TiO2 surface, and the amounts of dyes adsorbed will be limited by their bulky structures. In Table S2, some geometrical parameters of the free dye molecules are given. There is a large difference in the dipole moments in acetonitrile solvent between PETA (4.44 D) and PBTA and POTA, for which the values are 7.94 and 7.92 D, respectively. The calculated molar areas increase with the number of carbon atoms in the aliphatic chain. However, the differences in the surface area of the molecules are maximally about 30 Å2 (PETA vs. POTA); therefore, this factor can be treated as secondary when analyzing the interaction of these dyes with the TiO2 surface. On the other hand, the dyes in the anionic form tend to align parallel to the anatase surface, which results from the formation of Ti-O...H hydrogen bonds or specific interactions of the Ti...S type of phenothiazine or Ti...N tetrazole. Therefore, taking into account the adsorption energies and values of ∆Gads, it can be concluded that the POTA dye has best properties suitable as photosensitizers.
4.5. Photophysical Properties
The optical (UV–Vis) and photoluminescence (PL) properties of a solution of PTZ dyes, in a solvent mixture of acetonitrile and tertiary butanol (ACN:t-BuOH) (1:1 v/v) with a concentration of 2 × 10−5 mol dm−3, were investigated. Moreover, the UV–Vis spectra of the dyes adsorbed on the TiO2 surface were also measured using photoanodes obtained from the dye solution prepared in the same solvent but with a concentration of 3 × 10−4 mol dm−3. The spectroscopic data are summarized in Table 2, and the UV–Vis and PL spectra are presented in Figure 6.
Figure 6.
UV–Vis absorption spectra of the dyes (a) in solution form (c = 2 × 10−5 mol dm−3), (b) adsorbed on TiO2 surface, and (c) PL spectra of the dyes in solution form.
Table 2.
Photophysical data of the investigated compounds.
Table 2.
Photophysical data of the investigated compounds.
| a Dye | UV–Vis | PL | ||
|---|---|---|---|---|
| λmax (nm), (b ε × 103) | c TiO2 | λem (nm) | Stokes Shifts ∆ (cm−1) | |
| N719 | 311 (70), 382 (25), 532 (20) | 402, 534 | 570 | 8634 |
| PETA | 300 (24), 398 (12) | 408 | 535 | 6434 |
| PBTA | 300 (20), 396 (10) | 410 | 535 | 6560 |
| POTA | 300 (7), 400 (13) | 434 | 463 | 3401 |
a ACN:t-Bu conc. = 2 × 10−5 mol dm−3; b molar absorption coefficient [dm3 mol−1 cm−1]; c dye adsorbed on TiO2 (ACN:tBu c = 3 × 10−4 mol dm−3, 24 h immersion time); ∆ =
In the solution, all PTZ dyes showed two absorption bands in the range of 290 to 800 nm. The first high-energy intense band corresponds to the π–π* transition in the phenothiazine moiety, while the low-energy band is ascribed to the intramolecular charge transfer (ICT) between the donor and acceptor moiety. No ICT band appeared in the absorption spectra of phenothiazine or its derivatives without anchoring units (cf. Figure S29). The absorption maxima of all the dyes lay roughly in a similar range. However, the λmax of the compound with the longer N-aliphatic chain (POTA) was slightly red-shifted as compared to the PETA and PBTA, probably due to better stabilization of the complex formed between the dye and the solvent [54]. Moreover, the molar absorption coefficient of POTA was higher than that of PETA and PBTA, confirming that POTA dye is the best for light harvesting. Considering the PL spectra of the dyes, the emission maxima in the range of 463–570 nm were observed when the dyes were excited at their respective absorption maxima wavelengths. The PTZ derivatives emitted light with low intensity, and N719 was practically nonemissive.
Phenothiazine dyes, when anchored on the TiO2 surface, showed one broad absorption band with their absorption maxima, and the absorption range was bathochromically shifted by 10–34 nm compared to the solution. The highest shift of 34 nm was observed for TiO2@POTA, which indicates the formation of J-aggregates after binding to the TiO2 surface [55]. The intensity of the absorption of the TiO2@dyes decreased with the increase in N-alkyl chain length in the molecule, due to the lowering of the dye content adsorbed on the substrate (cf. Table 3). To confirm this, the dyes were desorbed from TiO2 electrodes using an aqueous solution of NaOH:THF (1 M), and the amounts of dye loading were calculated using UV–Vis spectroscopy, as described in Section 2.3. The results showed that the bulkier POTA molecules were less occupied on TiO2 as compared to the smaller PBTA and PETA, respectively. However, the UV–Vis absorption range of TiO2@POTA was broader by about 50 nm as compared to the other dyes, suggesting its better light-harvesting efficiency, which should allow an increase in the short-circuit current density of DSSCs employing POTA.
4.6. Photovoltaic Studies
Following their rationale through optoelectronic and electrochemical characterization, the synthesized phenothiazine derivatives were tested as photosensitizers in dye-sensitized solar cells with simple and tandem (T-DSSCs) architecture. The fabricated DSSCs (FTO/TiO2@dye/EL-HSE/Pt/FTO) were characterized using the current density–voltage (J–V) measurements carried out under an irradiance of 100 mW cm−2 simulated AM 1.5 G light. The block diagram of the ongoing research on DSSCs is shown in Figure 7. Based on J–V characteristics, the photovoltaic parameters, including open-circuit voltage (VOC), short-circuit current density (JSC), fill factor (FF), and power conversion efficiency (PCE), were calculated and are shown in Table 3.
Figure 7.
Block diagram of ongoing research on DSSCs.
Firstly, a comparison between the PV parameters of DSSC devices sensitized with PTZ dyes and those of N719 was carried out. Considering the energy of the frontier molecular orbitals (HOMO and LUMO) of PTZ derivatives, it can be predicted that the dyes should permit efficient charge injection as well as dye regeneration (cf. Figure 8) [56]. However, the dyes showed rather low PV parameters, and the reason can be attributed to the fact that there is a significant energy gap of 1 eV lying between the LUMO of dyes and the TiO2 conduction band (CB), whereas, ideally, only 100–150 mV potential is required for efficient electron injection from the LUMO of dye to CB TiO2 [55]. Moreover, the ability of the dyes to absorb incident photons is also limited to 408, 410, and 434 nm for PETA, PBTA, and POTA, respectively (cf. Table 2). It can be noted that the band gap of POTA was similar to the phenothiazine dye with ethyl chain and cyanoacrylic acid (PEC), and, therefore, showed the highest PV parameters among all the PTZ dyes [30]. Thus, DSSCs exhibited rather low efficiency in the range of 1.18–2.50%. The results obtained by these dyes were even higher as compared to the triphenylamine-based dye with a similar anchoring unit [17]. When the effect of increasing the length of the N-alkyl chain was considered, it was found that the cells’ PCE was increased by increasing the N-alkyl chain length in the PTZ derivatives. This effect was contradictory to what was expected from dye loading analysis (cf. Table 3). The molecules bearing shorter chain lengths, and therefore having small molecular size and volume, were adsorbed more on titanium dioxide surface and therefore should have produced higher PV parameters. However, it can be seen from Table 3 that DSSCs sensitized with POTA exhibited the highest efficiency due to the best open-circuit voltage and short-circuit current density values. A similar effect was seen when ethyl 2-(1H-tetrazol-5-yl) acetate was used as an anchoring unit with phenothiaizne [30]. This unexpected increase in the PV parameters with increasing N-alkyl chain length can be explained by considering the fact that the longer alkyl chains have been known to block the passage of the electrolyte before it percolates through the pores of TiO2 and reaches the surface of FTO, where its oxidized species can swallow up the injected electrons [7]. Here, phenothiaizne dye with hexyl and octyl chain also showed much higher PV parameters as compared to dye with ethyl chain [7]. The decrease in charge recombination between the electrons present in the conduction band of TiO2 and electrolyte species, using longer N-alkyl chain lengths, can decrease the production of dark current and, thus, improve the VOC of the devices [57]. The increase in the electron lifetime by increasing N-alkyl chain length is also evidenced from the studies by Miyashita, M., et al. [58]. From these results, it can be concluded that, in the case of PTZ with 1H-tetrazole-5-acrylic acid as anchoring unit, the longer N-aliphatic chain raises the PCE of the device, contrary to phenothiazine derivatives with cyanoacrylic acid units [30,40]. A similar structure to the phenothiazine derivative (PETA) described in this work was presented by the dye described in [31], which, however, contained a cyanoacrylic acid anchoring group. For such a dye, an efficiency of 0.81% was obtained, but the cell was prepared with DMF. As is well known, the influence of the solvent used for the preparation of the solution also plays a huge role in the final efficiency of the DSSC, which was presented, among others, in [59].
Figure 8.
(a) J–V curves for DSSCs sensitized with PTZ dyes and N719 with and without BL. (b) Schematic energy level diagram of dyes under vacuum in terms of eV.
To further optimize the efficiency of DSSCs, POTA was selected, and the effect of using TiO2 blocking layer (BL) and coadsorbent (chenodeoxycholic acid—CDCA) on the PV parameters of DSSCs was evaluated. The BL should help in preventing the charge recombination phenomena by blocking the backflow of electrons from the FTO surface to electrolyte species [60]. DFT studies and analysis of the literature reveal that the dyes can anchor on the TiO2 surface with certain tilt angles [61]. This results in certain void spaces in the TiO2 surface that allow the percolation of the dye molecules through the metal oxide surface to the FTO surface, thus causing the charge recombination [61]. Although the long octyl chain in POTA showed a blocking effect, as indicated by the PV parameters in Table 3, it will still be beneficial to block the charge recombination up to the maximum extent. Figure 8a represents the J–V curves of the DSSCs with and without BL, while Figure 8b shows the HOMO–LUMO levels of the dyes with respect to the conduction band of TiO2 and the redox potential of I−/I3−.
It can be noted from Table 3 that when the BL was used, both VOC and JSC increased due to the suppression of the dark current in DSSCs without the blocking layer, and an increase in PCE was observed. Gnida, P., et al. also reported the impact of the blocking layer thickness on the efficiency of DSSCs, observing that PV parameters were higher when a blocking layer was used [60]. Therefore, in our study, a rise in cell efficiency of about 26% was observed, as compared to the DSSCs without BL (cf. Table 3). In the next step of investigation, CDCA was added to the mixture of the dyes. The addition of CDCA raised Voc and FF, but on the other hand it lowered Jsc; the overall PCE was 5.17%, which was 100% higher than PCE shown by only POTA, i.e., 2.50%, while 30% higher as compared to simple POTA:N719.
Table 3.
Photovoltaic parameters of the constructed DSSCs.
Table 3.
Photovoltaic parameters of the constructed DSSCs.
| Photoanode | VOC [mV] | JSC [mA cm−2] | FF | PCE [%] | Dye Loading [10−7 mol cm−2] |
|---|---|---|---|---|---|
| FTO/TiO2@N719 | 720 ± 8.50 | 13.9 ± 0.17 | 0.53 ± 0.03 | 5.30 ± 0.40 | 0.86 |
| FTO/TiO2@PETA | 615 ± 8.08 | 3.66 ± 0.98 | 0.54 ± 0.01 | 1.18 ± 0.09 | 5.4 |
| FTO/TiO2@PBTA | 654 ± 1.53 | 3.92 ± 0.30 | 0.55 ± 0.03 | 1.34 ± 0.03 | 4.1 |
| FTO/TiO2@POTA | 654 ± 3.51 | 7.37 ± 0.63 | 0.52 ± 0.03 | 2.50 ± 0.09 | 3.2 |
| FTO/BL/TiO2@POTA | 679 ± 8.19 | 10.59 ± 0.36 | 0.42 ± 0.02 | 3.03 ± 0.25 | 3.2 |
| FTO/BL/TiO2@POTA:CDCA | 708 ± 5.03 | 7.42 ± 0.66 | 0.59 ± 0.03 | 3.10 ± 0.15 | 2.9 |
| FTO/TiO2@N719:POTA | 723 ± 8.62 | 15.04 ± 0.74 | 0.37 ± 0.02 | 4.00 ± 0.06 | - |
| FTO/BL/TiO2@N719:POTA | 734 ± 8.96 | 16.93 ± 1.54 | 0.37 ± 0.03 | 4.56 ± 0.01 | - |
| FTO/BL/TiO2@N719:POTA:CDCA | 758 ± 5.03 | 13.13 ± 2.39 | 0.52 ± 0.05 | 5.17 ± 0.78 | - |
Taking into account the reference device with the commercial N719, it can be seen that DSSCs sensitized with PTZ dyes exhibited weaker PV performance due to their limited light-harvesting efficiency at the lower energy range. Thus, the idea of using a dye mixture, that is, N719 and POTA (N719:POTA in weight 50:50%), was realized. As shown in Table 3, an improvement in PCE of about 60% was observed for the device sensitized with POTA:N719, as compared to DSSC with POTA alone, and the current density in the former case of the dye cocktail was almost doubled, as compared to the simple POTA device. This is in accordance with the results already reported, where cosensitizing phenothiazine dyes with N719 widen the absorption range of the TiO2@dye and, therefore, greatly improve the photovoltaic parameters [59]. Further improvement in PV parameters after the introduction of the BL to the devices was clearly seen.
In the last step of cell modifications, tandem DSSCs were fabricated. Considering the large difference between the molar absorptivity and absorption range of commercial N719 and synthesized POTA, they were selected as complimentary dyes to each other. Two types of T-DSSCs, viz. T-DSSC1 and T-DSSC2, were fabricated using POTA in compliment with N719. In T-DSSC1, a half-cell sensitized with POTA was kept at the top toward the light source while a half-cell containing N719 was placed at the bottom. Figure 9 shows the J–V characteristics for T-DSSCs, while Table 4 compiles the photovoltaic parameters.
Figure 9.
J–V characteristics of tandem DSSCs with (a) FTO/BL/TiO2@POTA photoanode in top cell, (b) FTO/BL/TiO2@POTA photoanode in bottom cell.
Table 4.
Photovoltaic parameters of fabricated T-DSSCs.
As can be seen from Table 4, the PV parameters of these tandem solar cells were higher than the simple DSSC with photoanode FTO/BL/TiO2 sensitized with N719:POTA (cf. Table 3 and Table 4). The fill factor was significantly improved when using tandem architecture. When the configuration of T-DSSC1 was inverted to make T-DSSC2, the PV performance was further improved, and PCE was increased to 6.37%. Therefore, it can be concluded that the structural or architectural modifications that lead to the decrease in charge recombination phenomena and increase in the photon absorption ultimately improve the photovoltaic conversion efficiency of DSSCs by many folds. Improving the performance of dye-sensitized solar cells could lead humanity to a renewable and cheap source of energy.
5. Conclusions
Three novel simple phenothiazine derivatives bearing N-ethyl (PETA), N-butyl (PBTA), and N-octyl chain (POTA) at phenothiazine core and 1H-tetrazole-5-acrylic acid as anchoring unit were synthesized, characterized, and tested as sensitizers in DSSCs. The optoelectronic, electrochemical, and theoretical studies favored the dye bearing the longer alkyl chain for its exploitation as a photosensitizer in dye-sensitized solar cells. As expected, POTA showed the highest PCE of 2.50% among all phenothiazine derivatives, and, therefore, was selected for further optimization studies. A 24% increase in the original value was observed when DSSCs incorporating a blocking layer and co-adsorbent were prepared with POTA. When a DSSC containing POTA was coupled with an N719-sensitized solar cell in a tandem architecture, the highest power conversion efficiency of 6.37% was achieved.
Supplementary Materials
The following supporting information can be downloaded at: https://www.mdpi.com/article/10.3390/ma17246116/s1. Figures S1–S9: 1H NMR of phenothiazine derivatives; Figures S10–S18: 13C NMR of phenothiazine derivatives; Figures S19–S21: Infrared spectra of phenothiazine dyes; Figures S22–S25: Differential scanning thermograms of phenothiazine and its derivatives; Figure S26: Optimized geometries and physical properties of the dyes; Figure S27: HOMO and LUMO contours of the dyes; Figure S28: Density-of-states diagrams for the free and adsorbed on TiO2 dyes; Figure S29: Absorption spectrum of phenothiazine and its alkylated derivatives; Table S1: Composition of selected MO; Table S2: Geometrical parameters of the dyes in ground and S1 excited states; Section 1: Materials and Methods.
Author Contributions
Conceptualization, P.G. and E.S.-B.; methodology, M.F.A., P.G., J.G.M. and S.K.; formal analysis, M.F.A., P.G., J.G.M. and S.K.; investigation, M.F.A., J.G.M. and S.K.; data curation, M.F.A., J.G.M. and S.K.; writing—original draft, M.F.A., J.G.M. and S.K.; writing—review and editing, P.G. and E.S.-B.; visualization, M.F.A., J.G.M. and S.K.; supervision, E.S.-B. All authors have read and agreed to the published version of the manuscript.
Funding
This research received no external funding.
Institutional Review Board Statement
Not applicable.
Informed Consent Statement
Not applicable.
Data Availability Statement
The original contributions presented in the study are included in the article/Supplementary Material, further inquiries can be directed to the corresponding authors.
Acknowledgments
The GAUSSIAN-16 calculations were carried out in the Wrocław Centre for Networking and Supercomputing, WCSS, Wrocław, Poland, http://www.wcss.wroc.pl (accessed on 25 October 2024) (grant number 18).
Conflicts of Interest
The authors declare no conflicts of interest.
References
- Abdel-Wahed, H.M.; Fadda, A.A.; Abdel-Latif, E.; Abdelmageed, S.M.; Elmorsy, M.R. Novel triphenylamine-based porphyrins: Synthesis, structural characterization, and theoretical investigation for dye-sensitized solar cell applications. J. Mol. Struct. 2023, 1281, 135147. [Google Scholar] [CrossRef]
- Elmorsy, M.R.; Badawy, S.A.; Abdel-Latif, E.; Assiri, M.A.; Ali, T.E. Significant improvement of dye-sensitized solar cell performance using low-band-gap chromophores based on triphenylamine and carbazole as strong donors. Dyes Pigments 2023, 214, 111206. [Google Scholar] [CrossRef]
- Souilah, M.; Hachi, M.; Fitri, A.; Benjelloun, A.; Benzakour, M.; Mcharfi, M.; Zgou, H. Efficient tuning of various coumarin based donor dyes with diketopyrrolopyrrole by forming DA′-π-A structure for high-efficiency solar cells: A DFT/TD-DFT study. Chem. Data Collect. 2023, 45, 101017. [Google Scholar] [CrossRef]
- Ammasi, A.; Munusamy, A.P.; Shkir, M. Computational investigations on acceptor substituent influence of metal-free efficient chromophores for optoelectronic properties. J. Mol. Model. 2022, 28, 349. [Google Scholar] [CrossRef] [PubMed]
- Shi, S.; Huang, S.; Shao, W.; Kong, X.; Liu, B.; Hu, Z.; Wu, W.; Tan, H. The application of a novel D−A−π−A phenothiazine-based organic dye with N719 in efficient parallel tandem dye-sensitized solar cells. Synth. Met. 2023, 295, 117344. [Google Scholar] [CrossRef]
- Tian, H.; Yang, X.; Chen, R.; Pan, Y.; Li, L.; Hagfeldt, A.; Sun, L. Phenothiazine derivatives for efficient organic dye-sensitized solar cells. Chem. Commun. 2007, 3741–3743. [Google Scholar] [CrossRef]
- Hua, Y.; Chang, S.; Huang, D.; Zhou, X.; Zhu, X.; Zhao, J.; Chen, T.; Wong, W.-Y.; Wong, W.-K. Significant improvement of dye-sensitized solar cell performance using simple phenothiazine-based dyes. Chem. Mater. 2013, 25, 2146–2153. [Google Scholar] [CrossRef]
- Choi, H.; Baik, C.; Kang, S.O.; Ko, J.; Kang, M.S.; Nazeeruddin, M.K.; Grätzel, M. Highly efficient and thermally stable organic sensitizers for solvent-free dye-sensitized solar cells. Angew. Chem. Int. Ed. 2008, 47, 327–330. [Google Scholar] [CrossRef]
- Ito, S.; Zakeeruddin, S.M.; Humphry-Baker, R.; Liska, P.; Charvet, R.; Comte, P.; Nazeeruddin, M.K.; Péchy, P.; Takata, M.; Miura, H. High-efficiency organic-dye-sensitized solar cells controlled by nanocrystalline-TiO2 electrode thickness. Adv. Mater. 2006, 18, 1202–1205. [Google Scholar] [CrossRef]
- Wang, Z.-S.; Koumura, N.; Cui, Y.; Takahashi, M.; Sekiguchi, H.; Mori, A.; Kubo, T.; Furube, A.; Hara, K. Hexylthiophene-functionalized carbazole dyes for efficient molecular photovoltaics: Tuning of solar-cell performance by structural modification. Chem. Mater. 2008, 20, 3993–4003. [Google Scholar] [CrossRef]
- Zhang, L.; Cole, J.M. Anchoring groups for dye-sensitized solar cells. ACS Appl. Mater. Interfaces 2015, 7, 3427–3455. [Google Scholar] [CrossRef]
- Urbani, M.; Grätzel, M.; Nazeeruddin, M.K.; Torres, T. Meso-substituted porphyrins for dye-sensitized solar cells. Chem. Rev. 2014, 114, 12330–12396. [Google Scholar] [CrossRef]
- Lu, J.; Xu, X.; Cao, K.; Cui, J.; Zhang, Y.; Shen, Y.; Shi, X.; Liao, L.; Cheng, Y.; Wang, M. D–π–A structured porphyrins for efficient dye-sensitized solar cells. J. Mater. Chem. A 2013, 1, 10008–10015. [Google Scholar] [CrossRef]
- Costa, J.C.; Santos, L.M. Hole transport materials based thin films: Topographic structures and phase transition thermodynamics of triphenylamine derivatives. J. Phys. Chem. C 2013, 117, 10919–10928. [Google Scholar] [CrossRef]
- Wang, Y.; Xu, L.; Wei, X.; Li, X.; Ågren, H.; Wu, W.; Xie, Y. 2-Diphenylaminothiophene as the donor of porphyrin sensitizers for dye-sensitized solar cells. New J. Chem. 2014, 38, 3227–3235. [Google Scholar] [CrossRef]
- Ripolles-Sanchis, T.; Guo, B.-C.; Wu, H.-P.; Pan, T.-Y.; Lee, H.-W.; Raga, S.R.; Fabregat-Santiago, F.; Bisquert, J.; Yeh, C.-Y.; Diau, E.W.-G. Design and characterization of alkoxy-wrapped push–pull porphyrins for dye-sensitized solar cells. Chem. Commun. 2012, 48, 4368–4370. [Google Scholar] [CrossRef] [PubMed]
- Chermahini, Z.J.; Chermahini, A.N.; Dabbagh, H.A.; Teimouri, A. New tetrazole-based organic dyes for dye-sensitized solar cells. J. Energy Chem. 2015, 24, 770–778. [Google Scholar] [CrossRef]
- Massin, J.; Ducasse, L.; Toupance, T.; Olivier, C.l. Tetrazole as a new anchoring group for the functionalization of TiO2 nanoparticles: A joint experimental and theoretical study. J. Phys. Chem. C 2014, 118, 10677–10685. [Google Scholar] [CrossRef]
- da Silva, L.; Sanchez, M.; Freeman, H.S. New tetrazole based dyes as efficient co-sensitizers for dsscs: Structure-properties relationship. Org. Electron. 2020, 87, 105964. [Google Scholar] [CrossRef]
- Huang, S.; Schlichthörl, G.; Nozik, A.; Grätzel, M.; Frank, A. Charge recombination in dye-sensitized nanocrystalline TiO2 solar cells. J. Phys. Chem. B 1997, 101, 2576–2582. [Google Scholar] [CrossRef]
- Palomares, E.; Clifford, J.N.; Haque, S.A.; Lutz, T.; Durrant, J.R. Control of charge recombination dynamics in dye sensitized solar cells by the use of conformally deposited metal oxide blocking layers. J. Am. Chem. Soc. 2003, 125, 475–482. [Google Scholar] [CrossRef] [PubMed]
- Park, N.-G.; Kang, M.; Kim, K.; Ryu, K.; Chang, S.; Kim, D.-K.; Van de Lagemaat, J.; Benkstein, K.; Frank, A. Morphological and photoelectrochemical characterization of core− shell nanoparticle films for dye-sensitized solar cells: Zn−O type shell on SnO2 and TiO2 cores. Langmuir 2004, 20, 4246–4253. [Google Scholar] [CrossRef]
- Wu, M.-S.; Yang, R.-S. Post-treatment of porous titanium dioxide film with plasmonic compact layer as a photoanode for enhanced dye-sensitized solar cells. J. Alloys Compd. 2018, 740, 695–702. [Google Scholar] [CrossRef]
- Xu, F.; Testoff, T.T.; Wang, L.; Zhou, X. Cause, regulation and utilization of dye aggregation in dye-sensitized solar cells. Molecules 2020, 25, 4478. [Google Scholar] [CrossRef] [PubMed]
- Yum, J.-H.; Jang, S.-R.; Humphry-Baker, R.; Grätzel, M.; Cid, J.-J.; Torres, T.; Nazeeruddin, M.K. Effect of coadsorbent on the photovoltaic performance of zinc pthalocyanine-sensitized solar cells. Langmuir 2008, 24, 5636–5640. [Google Scholar] [CrossRef] [PubMed]
- Singh, M.; Kurchania, R.; Pockett, A.; Ball, R.; Koukaras, E.; Cameron, P.; Sharma, G. Characterization of metal-free D-(π-A)2 organic dye and its application as cosensitizer along with N719 dye for efficient dye-sensitized solar cells. Indian J. Phys. 2015, 89, 1041–1050. [Google Scholar] [CrossRef]
- Althagafi, I.; El-Metwaly, N. Enhancement of dye-sensitized solar cell efficiency through co-sensitization of thiophene-based organic compounds and metal-based N-719. Arab. J. Chem. 2021, 14, 103080. [Google Scholar] [CrossRef]
- Iqbal, Z.; Wu, W.-Q.; Kuang, D.-B.; Wang, L.; Meier, H.; Cao, D. Phenothiazine-based dyes with bilateral extension of π-conjugation for efficient dye-sensitized solar cells. Dyes Pigments 2013, 96, 722–731. [Google Scholar] [CrossRef]
- De Rossi, U.; Moll, J.; Kriwanek, J.; Daehne, S. Influence of the N-alkyl chain length on the J-aggregation behavior of a cyanine dye. J. Fluoresc. 1994, 4, 53–55. [Google Scholar] [CrossRef] [PubMed]
- Amin, M.F.; Gnida, P.; Małecki, J.G.; Kotowicz, S.; Pająk, A.K.; Siwy, M.; Schab-Balcerzak, E. Effect of Anchoring Unit, N-Alkyl Chain Length, and Thickness of Titanium Dioxide Layer on the Efficiency of Dye-Sensitized Solar Cells (DSSCs) and Tandem DSSCs. Ind. Eng. Chem. Res. 2024, 63, 19994–20008. [Google Scholar] [CrossRef]
- Fabiańczyk, A.; Gnida, P.; Chulkin, P.; Kula, S.; Filapek, M.; Szlapa-Kula, A.; Janeczek, H.; Schab-Balcerzak, E. Effect of heterocycle donor in 2-cyanoacrylic acid conjugated derivatives for DSSC applications. Sol. Energy 2021, 220, 1109–1119. [Google Scholar] [CrossRef]
- Kim, S.H.; Sakong, C.; Chang, J.B.; Kim, B.; Ko, M.J.; Kim, D.H.; Hong, K.S.; Kim, J.P. The effect of N-substitution and ethylthio substitution on the performance of phenothiazine donors in dye-sensitized solar cells. Dyes Pigments 2013, 97, 262–271. [Google Scholar] [CrossRef]
- Nagarajan, B.; Kushwaha, S.; Elumalai, R.; Mandal, S.; Ramanujam, K.; Raghavachari, D. Novel ethynyl-pyrene substituted phenothiazine based metal free organic dyes in DSSC with 12% conversion efficiency. J. Mater. Chem. A 2017, 5, 10289–10300. [Google Scholar] [CrossRef]
- Slodek, A.; Zych, D.; Szafraniec-Gorol, G.; Gnida, P.; Vasylieva, M.; Schab-Balcerzak, E. Investigations of new phenothiazine-based compounds for dye-sensitized solar cells with theoretical insight. Materials 2020, 13, 2292. [Google Scholar] [CrossRef]
- Nhari, L.M.; El-Shishtawy, R.M.; Bouzzine, S.M.; Hamidi, M.; Asiri, A.M. Phenothiazine-based dyes containing imidazole with π-linkers of benzene, furan and thiophene: Synthesis, photophysical, electrochemical and computational investigation. J. Mol. Struct. 2022, 1251, 131959. [Google Scholar] [CrossRef]
- Joo, Y.H.; Shreeve, J.M. Energetic Mono-, Di-, and Trisubstituted Nitroiminotetrazoles. Angew. Chem. Int. Ed. 2009, 48, 564–567. [Google Scholar] [CrossRef]
- Rams-Baron, M.; Jędrzejowska, A.; Jurkiewicz, K.; Matussek, M.; Musiał, M.; Paluch, M. The dielectric response of phenothiazine-based glass-formers with different molecular complexity. Sci. Rep. 2021, 11, 15816. [Google Scholar] [CrossRef] [PubMed]
- Drzewicz, A.; Juszyńska-Gałązka, E.; Deptuch, A.; Kula, P. Effect of alkyl chain length on the phase situation of glass-forming liquid crystals. Crystals 2022, 12, 1401. [Google Scholar] [CrossRef]
- Xu, K. Silicon MOS optoelectronic micro-nano structure based on reverse-biased PN junction. Phys. Status Solidi (A) 2019, 216, 1800868. [Google Scholar] [CrossRef]
- Gnida, P.; Zimosz, S.; Glinka, A.; Ziółek, M.; Zych, D.; Kotowicz, S.; Amin, M.F.; Chulkin, P.; Kulesza-Matlak, G.Y.; Slodek, A. Unexpected Impact of N-Alkyl Chain Length in Bis-2-cyanoacrylic Acid Substituted Phenothiazines on the Photovoltaic Response of DSSCs. Ind. Eng. Chem. Res. 2024, 63, 7133–7153. [Google Scholar] [CrossRef]
- Allab, Y.; Chikhi, S.; Zaater, S.; Brahimi, M.; Djebbar, S. Impact of the functionalized tetrazole ring on the electrochemical behavior and biological activities of novel nickel (II) complexes with a series of tetrazole derivatives. Inorg. Chim. Acta 2020, 504, 119436. [Google Scholar] [CrossRef]
- Leal, J.G.; Sauer, A.C.; Mayer, J.C.; Stefanello, S.T.; Gonçalves, D.F.; Soares, F.A.; Iglesias, B.A.; Back, D.F.; Rodrigues, O.E.; Dornelles, L. Synthesis and electrochemical and antioxidant properties of chalcogenocyanate oxadiazole and 5-heteroarylchalcogenomethyl-1 H-tetrazole derivatives. New J. Chem. 2017, 41, 5875–5883. [Google Scholar] [CrossRef]
- Al-Ghamdi, S.N.; Al-Ghamdi, H.A.; El-Shishtawy, R.M.; Asiri, A.M. Advances in phenothiazine and phenoxazine-based electron donors for organic dye-sensitized solar cells. Dyes Pigments 2021, 194, 109638. [Google Scholar] [CrossRef]
- Słodek, A.; Zych, D.; Kotowicz, S.; Szafraniec-Gorol, G.K.; Zimosz, S.K.; Schab-Balcerzak, E.; Siwy, M.; Grzelak, J.; Maćkowski, S. “Small in size but mighty in force”—The first principle study of the impact of A/D units in A/D-phenyl-π-phenothiazine-π-dicyanovinyl systems on photophysical and optoelectronic properties. Dyes Pigments 2021, 189, 109248. [Google Scholar] [CrossRef]
- Zimosz, S.; Zych, D.; Szafraniec-Gorol, G.; Kotowicz, S.; Malarz, K.; Musioł, R.; Slodek, A. Does the change in the length of the alkyl chain bring us closer to the compounds with the expected photophysical and biological properties?—Studies based on D-π-DA imidazole-phenothiazine system. J. Mol. Liq. 2022, 365, 120076. [Google Scholar] [CrossRef]
- Data, P.; Zassowski, P.; Lapkowski, M.; Grazulevicius, J.; Kukhta, N.; Reghu, R. Electrochromic behaviour of triazine based ambipolar compounds. Electrochim. Acta 2016, 192, 283–295. [Google Scholar] [CrossRef]
- Nagarajan, B.; Athrey, C.; Elumalai, R.; Chandran, S.; Raghavachari, D. Naphthalimide-phenothiazine based A’-π-D-π-A featured organic dyes for dye sensitized solar cell applications. J. Photochem. Photobiol. A Chem. 2021, 404, 112820. [Google Scholar] [CrossRef]
- Fujisawa, J.-I.; Eda, T.; Hanaya, M. Comparative study of conduction-band and valence-band edges of TiO2, SrTiO3, and BaTiO3 by ionization potential measurements. Chem. Phys. Lett. 2017, 685, 23–26. [Google Scholar] [CrossRef]
- Frisch, M.; Trucks, G.; Schlegel, H.; Scuseria, G.; Robb, M.; Cheeseman, J.; Scalmani, G.; Barone, V.; Petersson, G.; Nakatsuji, H. Gaussian 16 Revision C. 01, 2016; Gaussian Inc.: Wallingford, CT, USA, 2016; Volume 1, p. 572. [Google Scholar]
- Eichkorn, K.; Weigend, F.; Treutler, O.; Ahlrichs, R. Auxiliary basis sets for main row atoms and transition metals and their use to approximate Coulomb potentials. Theor. Chem. Acc. 1997, 97, 119–124. [Google Scholar] [CrossRef]
- Grimme, S.; Antony, J.; Ehrlich, S.; Krieg, H. A consistent and accurate ab initio parametrization of density functional dispersion correction (DFT-D) for the 94 elements H-Pu. J. Chem. Phys. 2010, 132, 154104. [Google Scholar] [CrossRef] [PubMed]
- Barone, V.; Cossi, M. Quantum calculation of molecular energies and energy gradients in solution by a conductor solvent model. J. Phys. Chem. A 1998, 102, 1995–2001. [Google Scholar] [CrossRef]
- O’boyle, N.M.; Tenderholt, A.L.; Langner, K.M. Cclib: A library for package-independent computational chemistry algorithms. J. Comput. Chem. 2008, 29, 839–845. [Google Scholar] [CrossRef] [PubMed]
- Law, K.Y. Squaraine chemistry: Effects of structural changes on the absorption and multiple fluorescence emission of bis [4-(dimethylamino) phenyl] squaraine and its derivatives. J. Phys. Chem. 1987, 91, 5184–5193. [Google Scholar] [CrossRef]
- Sil, M.C.; Chen, L.-S.; Lai, C.-W.; Chang, C.-C.; Chen, C.-M. Enhancement in the solar efficiency of a dye-sensitized solar cell by molecular engineering of an organic dye incorporating N-alkyl-attached 1, 8-naphthalamide derivative. J. Mater. Chem. C 2020, 8, 11407–11416. [Google Scholar] [CrossRef]
- Planells, M.; Pellejà, L.; Clifford, J.N.; Pastore, M.; De Angelis, F.; López, N.; Marder, S.R.; Palomares, E. Energy levels, charge injection, charge recombination and dye regeneration dynamics for donor–acceptor π-conjugated organic dyes in mesoscopic TiO2 sensitized solar cells. Energy Environ. Sci. 2011, 4, 1820–1829. [Google Scholar] [CrossRef]
- Pandey, S.S.; Inoue, T.; Fujikawa, N.; Yamaguchi, Y.; Hayase, S. Substituent effect in direct ring functionalized squaraine dyes on near infra-red sensitization of nanocrystalline TiO2 for molecular photovoltaics. J. Photochem. Photobiol. A Chem. 2010, 214, 269–275. [Google Scholar] [CrossRef]
- Miyashita, M.; Sunahara, K.; Nishikawa, T.; Uemura, Y.; Koumura, N.; Hara, K.; Mori, A.; Abe, T.; Suzuki, E.; Mori, S. Interfacial electron-transfer kinetics in metal-free organic dye-sensitized solar cells: Combined effects of molecular structure of dyes and electrolytes. J. Am. Chem. Soc. 2008, 130, 17874–17881. [Google Scholar] [CrossRef]
- Gnida, P.; Slodek, A.; Schab-Balcerzak, E. Effect of photoanode structure and sensitization conditions on the photovoltaic response of dye-sensitized solar cells. Opto-Electron. Rev. 2022, e140739. [Google Scholar] [CrossRef]
- Gnida, P.; Slodek, A.; Chulkin, P.; Vasylieva, M.; Pająk, A.K.; Seweryn, A.; Godlewski, M.; Witkowski, B.S.; Szafraniec-Gorol, G.; Schab-Balcerzak, E. Impact of blocking layer on DSSC performance based on new dye-indolo [3,2,1-jk] carbazole derivative and N719. Dyes Pigments 2022, 200, 110166. [Google Scholar] [CrossRef]
- Zhang, J.; Zhong, A.; Huang, G.; Yang, M.; Li, D.; Teng, M.; Han, D. Enhanced efficiency with CDCA co-adsorption for dye-sensitized solar cells based on metallosalophen complexes. Sol. Energy 2020, 209, 316–324. [Google Scholar] [CrossRef]
Disclaimer/Publisher’s Note: The statements, opinions and data contained in all publications are solely those of the individual author(s) and contributor(s) and not of MDPI and/or the editor(s). MDPI and/or the editor(s) disclaim responsibility for any injury to people or property resulting from any ideas, methods, instructions or products referred to in the content. |
© 2024 by the authors. Licensee MDPI, Basel, Switzerland. This article is an open access article distributed under the terms and conditions of the Creative Commons Attribution (CC BY) license (https://creativecommons.org/licenses/by/4.0/).











