Dielectric, Electric, and Pyroelectric Properties of Ba1−xCaxTiO3 Ceramics
Abstract
1. Introduction
2. Materials and Methods
3. Results and Discussion
3.1. X-Ray Analysis
3.2. Scanning Electron Microscopy
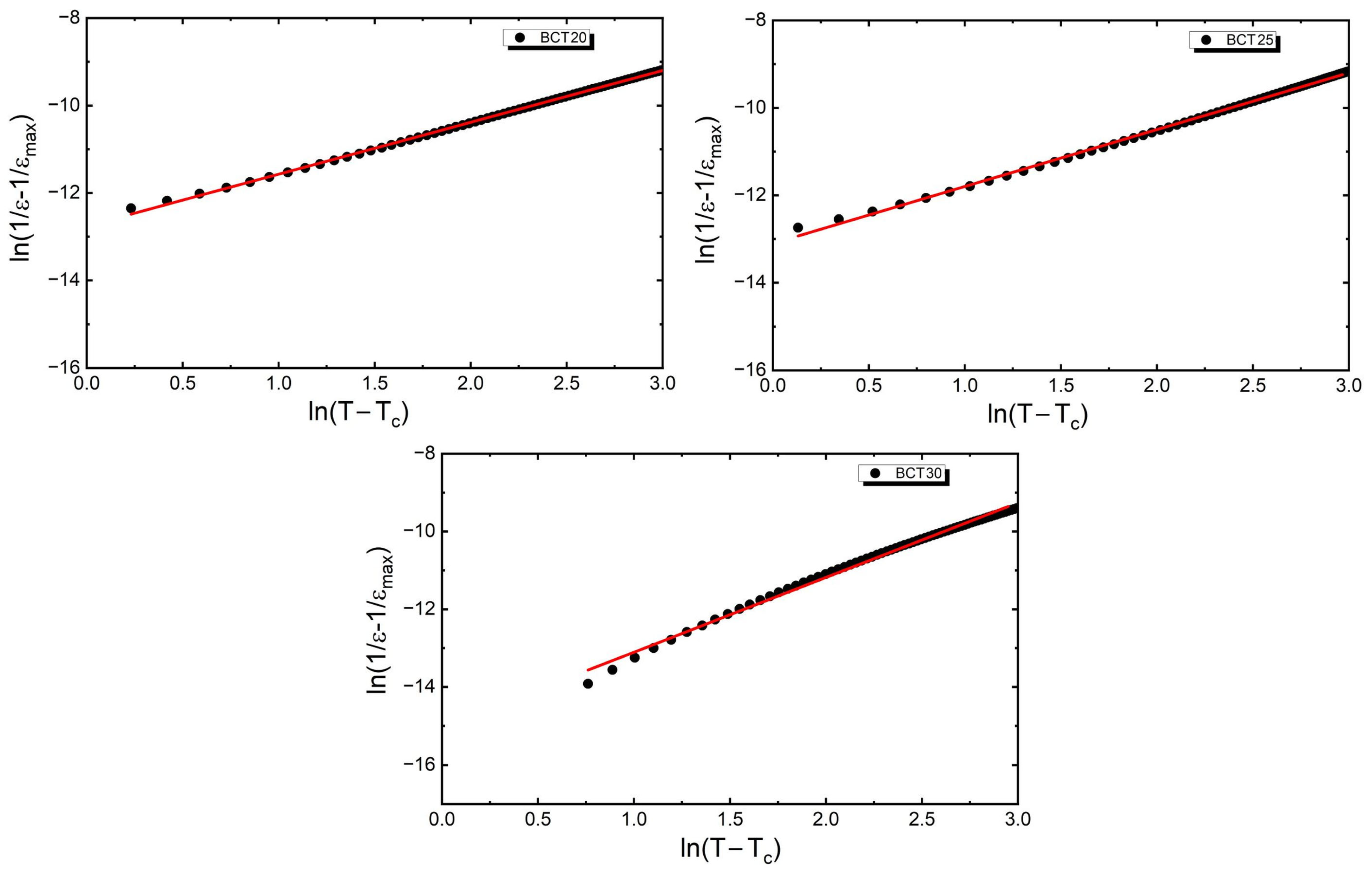
3.3. Dielectric Measurements
- εmax—maximum value of electric permittivity;
- δ—the Curie-like constant;
- γ—the diffuseness parameter.
3.4. Thermal Analysis
3.5. Pyroelectric and Thermally Stimulated Depolarization Currents
4. Conclusions
Author Contributions
Funding
Institutional Review Board Statement
Informed Consent Statement
Data Availability Statement
Conflicts of Interest
References
- Gromov, O.G.; Kuz’min, A.P.; Kunshina, G.B.; Lokshin, E.P.; Kalinnikov, V.T. Preparation of Powder Barium Titanate. Inorg. Mater. 2006, 42, 176–181. [Google Scholar] [CrossRef]
- Suchanicz, J. Ferroelektryczność Tytanianów; Wydawnictwo Naukowe Akademii Pedagogicznej Kraków: Kraków, Poland, 2008. [Google Scholar]
- Sharma, P.; Kumar, P.; Kundu, R.S.; Juneja, J.K.; Ahlawat, N.; Punia, R. Structural and dielectric properties of substituted barium titanate ceramics for capacitor applications. Ceram. Int. 2015, 41, 13425–13432. [Google Scholar] [CrossRef]
- Zheng, T.; Wu, J.; Xiao, D.; Zhu, J. Recent development in lead-free perovskite piezoelectric bulk materials. Prog. Mater. Sci. 2018, 98, 552–624. [Google Scholar] [CrossRef]
- Lin, J.N.; Sun, Z.; Wu, B.; Chen, C. The nonlinear optical characteristics of a LiB3O5 crystal. J. Appl. Phys. 1990, 67, 634–638. [Google Scholar] [CrossRef]
- Lee, N.Y.; Sekine, T.; Ito, Y.; Uchino, K. Deposition Profile of RF-Magnetron-Sputtered BaTiO3 Thin Films. Jap. J. Appl. Phys. 1994, 33, 1484. [Google Scholar] [CrossRef]
- Tiwari, V.S.; Tiwari, V.S.; Singh, N.; Pandey, D. Diffuse ferroelectric transition and relaxational dipolar freezing in (Ba,Sr)TiO3. J. Phys. Condens. Matter 1995, 7, 1441. [Google Scholar] [CrossRef]
- Raddaoui, Z.; Kokanyan, N.; Fontana, M.D.; Kossi, S.; Dhahri, J. Raman scattering and fluorescent behaviors in Ba0.96Nd0.0267Ti1₋xWxO3 (x = 0.00 and x = 0.05) ceramics. J. Mol. Struct. 2021, 1230, 129939. [Google Scholar] [CrossRef]
- Prabu, M.; Banu, I.S.; Gobalakrishnan, S.; Chavali, M. Electrical and ferroelectric properties of undoped and La-doped PZT(52/48) electroceramics synthesized by sol–gel method. J. Alloys Compd. 2013, 551, 200–207. [Google Scholar] [CrossRef]
- Hussain, A.; Ahn, C.; Lee, H.; Kim, I.; Lee, J.; Jeong, S.; Rout, S. Anisotropic electrical properties o fBi0.5(Na0.75K0.25)0.5 TiO3 ceramics fabricated by reactive templated grain growth (RTGG). Curr. Appl. Phys. 2010, 10, 305–310. [Google Scholar] [CrossRef]
- Barick, B.K.; Choudhary, R.; Pradhan, D.K. Phase transition and electrical properties of lanthanum-modified sodium bismuth titanate. Mater. Chem. Phys. 2012, 132, 1007–1014. [Google Scholar] [CrossRef]
- Trukhanov, A.V.; Astapovich, K.A.; Turchenko, V.A.; Almessiere, M.A.; Slimani, Y.; Baykal, A.; Sombra, A.S.B.; Zhou, D.; Jotania, R.B.; Singh, C.; et al. Influence of the dysprosium ions on structure, magnetic characteristics and origin of the reflection losses in the Ni–Co spinels. J. Alloys Compd. 2020, 841, 155667. [Google Scholar] [CrossRef]
- Aghayan, M.; Zak, A.K.; Behdani, M.; Hashim, A.M. Sol–gel combustion synthesis of Zr-doped BaTiO3 nanopowders and ceramics: Dielectric and ferroelectric studies. Ceram. Int. 2014, 40, 16141–16146. [Google Scholar] [CrossRef]
- Kaushal, A.; Olhero, S.; Singh, B.; Fagg, D.P.; Bdikin, I.; Ferreira, J. Impedance analysis of 0.5Ba(Zr0.2Ti0.8)O3–0.5 (Ba0.7Ca0.3)TiO3 ceramics consolidated from micro-granules. Ceram. Int. 2014, 40, 10593–10600. [Google Scholar] [CrossRef]
- Jain, A.; Saroha, R.; Pastor, M.; Jha, A.; Panwar, A. Effect of sintering duration on structural and electrical properties ofBa0.9Sr0.1Ti0.96Zr0.04O3 solid solution. Curr. Appl. Phys. 2016, 16, 859–866. [Google Scholar] [CrossRef]
- Aneesh Kumar, K.S.; Bhowmik, R.N. Micro-structural characterization and magnetic study of Ni1.5Fe1.5O4 ferrite synthesized through coprecipitation route at different pH values. Mater. Chem. Phys. 2014, 146, 159–169. [Google Scholar] [CrossRef]
- Das, S.K.; Mishra, R.; Roul, B. Magnetic and ferroelectric properties of Ni-doped BaTiO3. Solid State Commun. 2014, 191, 19–24. [Google Scholar] [CrossRef]
- Bhowmik, R.N. Dielectric and magnetic study of BaTi0.5Mn0.5O3 ceramics, synthesized by solid state sintering, mechanical alloying, and chemical routes. Ceram. Int. 2012, 38, 5069–5080. [Google Scholar] [CrossRef]
- Dhahri, A.; Belkahla, A.; Laifi, J.; Gouadria, S.; Elhadi, M.; Dhahri, J.; Dhahri, E. Crystal structure and dielectric properties of the Ca/Y co-substituted BaTiO3. Inorg. Chem. Commun. 2022, 141, 109570. [Google Scholar] [CrossRef]
- Dang, N.V.; Dung, N.; Phong, P.; Lee, I.-J. Effect of Fe3⁺ substitution on structural, optical and magnetic properties of barium titanate ceramics. Phys. B Condens. Matter. 2015, 457, 103–107. [Google Scholar] [CrossRef]
- Álvarez-Docio, C.M.; Reinosa, J.J.; Del Campo, A.; Fernández, J.F. 2D particles forming a nanostructured shell: A step forward cool NIR reflectivity for CoAl2O4 pigments. Dye. Pigment. 2017, 137, 1–11. [Google Scholar] [CrossRef]
- Ouyang, Z.; Wen, P.; Chen, Y.; Ye, L. Study on thermodynamic equilibrium and character in heritance of cobalt carbonate decomposition. Vacuum 2020, 179, 109559. [Google Scholar] [CrossRef]
- Murtaza, G.; Ahmad, R.; Rashid, M.; Hassan, M.; Hussnain, A.; Khan, M.A.; Haq, M.E.U.; Shafique, M.; Riaz, S. Structural and magnetic studies on Zr-doped ZnO diluted magnetic semiconductor. Curr. Appl. Phys. 2014, 14, 176–181. [Google Scholar] [CrossRef]
- Jaiban, P.; Tongtham, M.; Wannasut, P.; Pisitpipathsin, N.; Namsar, O.; Chanlek, N.; Pojprapai, S.; Yimnirun, R.; Guo, R.; Bhalla, A.S.; et al. Phase characteristics, microstructure, and electrical properties of (1-x)BaZr0.2Ti0.8O3-(x)(Ba0.7Ca0.3)0.985La0.01TiO3 ceramics. Ceram. Int. 2019, 45, 17502–17511. [Google Scholar] [CrossRef]
- Park, M.-B.; Kim, C.-D.; Cho, N.-H. Determination of diffusion coefficients and grain boundary potential barrier heights of semiconducting BaTiO3 ceramics. Mater. Sci. Eng. B 2003, 99, 15–19. [Google Scholar] [CrossRef]
- Ayouchi, R.; Leinen, D.; Martın, F.; Gabas, M.; Dalchiele, E.; Ramos-Barrado, J. Preparation and characterization of transparent ZnO thin films obtained by spray pyrolysis. Thin Solid Film. 2003, 426, 68–77. [Google Scholar] [CrossRef]
- Sindhu, M.; Ahlawat, N.; Sanghi, S.; Agarwal, A.; Dahiya, R.; Ahlawat, N. Rietveld refinement and impedance spectroscopy of calcium titanate. Curr. Appl. Phys. 2012, 12, 1429–1435. [Google Scholar] [CrossRef]
- Gupta, R.; Singh, D.; Singh, R.K.; Bamzai, K.K. Effect of Ni addition on PNZT tungsten bronzes tructure. J. Electroceram. 2018, 40, 235–246. [Google Scholar] [CrossRef]
- Meunier, B.; Largeau, L.; Regreny, P.; Penuelas, J.; Bachelet, R.; Vilquin, B.; Wague, B.; Saint-Girons, G. Chemical reactivity between sol-gel deposited Pb(Zr,Ti)O3 layers and their Ga Assubstrates. Cryst Eng Comm. 2016, 18, 7494–7500. [Google Scholar] [CrossRef]
- Trukhanov, S.V.; Trukhanov, A.V.; Kostishin, V.G.; Panina, L.V.; Kazakevich, I.S.; Turchenko, V.A.; Oleinik, V.V.; Yakovenko, E.S.; Matsui, L.Y. Magnetic and absorbing properties of M-type substituted hexaferrites BaFe12–x Ga x O19 (0.1 < x < 1.2). J. Exp. Theor. Phys. 2016, 123, 461–469. [Google Scholar]
- Trukhanov, S.V.; Trukhanov, A.V.; Salem, M.M.; Trukhanova, E.L.; Panina, L.V.; Kostishyn, V.G.; Darwish, M.A.; Trukhanov, A.V.; Zubar, T.I.; Tishkevich, D.I.; et al. Preparation and investigation of structure, magnetic and dielectric properties of (BaFe11.9Al0.1O19)1-x—(BaTiO3)x bicomponent ceramics. Ceram. Int. 2018, 44, 21295–21302. [Google Scholar] [CrossRef]
- Basumatary, R.K.; Singha, K.K.; Sen, S.; Arida, B.N.; Ganesh, M.D.; Pamu, D.; Srivastava, S.K.; Brahma, R. Effect of Co doped BCT on structural, microstructural, dielectric, and multiferroic properties. Ceram. Int. 2024, 50, 36306–36319. [Google Scholar] [CrossRef]
- Brindha, A.; Sivakumar, T. Visible active N, S co-doped TiO2/ graphene photocatalysts for the degradation of hazardous dyes. J. Photochem. Photobiol. A Chem. 2017, 340, 146–156. [Google Scholar] [CrossRef]
- Bhushan, B.; Basumallick, A.; Vasanthacharya, N.Y.; Kumar, S.; Das, D. Sr induced modification of structural, optical, and magnetic properties in Bi1₋xSrxFeO3 (x = 0,0.01,0.03,0.05,0.07) multiferroic nanoparticles. Solid State Sci. 2010, 12, 1063–1069. [Google Scholar] [CrossRef]
- Taibi, A.; Chaguetmi, S.; Louaer, A.; Layachi, A.; Satha, H. Barium calcium titanate solid solution: Non-isothermal kinetic analysis of Ca²⁺ incorporation into BaTiO3. Thermochim. Acta. 2019, 680, 178356. [Google Scholar] [CrossRef]
- Wodecka-Duś, B. Właściwości Perowskitowej Ceramiki Ferroelektrycznej na Bazie Tytanianu Baru; Wydawnictwo Uniwersytetu Śląskiego: Katowice, Poland, 2017; pp. 11–20. [Google Scholar]
- Brown, F.; Todt, W.H. Floating-Zone BaTiO3: Preparation and Properties. J. Appl. Phys. 1964, 35, 1594–1598. [Google Scholar] [CrossRef]
- Wang, D.A.; Guo, Z.G.; Chen, Y.M.; Hao, J.C.; Liu, W.M. In situ hydrothermal synthesis of nanolamellate CaTiO3 with controllable structures and wettability. Inorg. Chem. 2007, 46, 7707–7709. [Google Scholar] [CrossRef]
- Maglione, M.; Belkaoumi, M. Electron–relaxation-mode interaction in BaTiO3:Nb. Phys. Rev. B 1992, 45, 2029. [Google Scholar] [CrossRef]
- Smolenskii, G.A.; Agranovskaya, A.I. Development of spontaneous polarization in lead Stannate and lead Tantalate. Dokl. Akad. Nauk SSSR 1954, 97, 237. [Google Scholar]
- Chen, X.M.; Chen, X.M.; Wang, T.; Li, J. Dielectric characteristics and their field dependence of (Ba,Ca)TiO3 ceramics. Mater. Sci. Eng. B 2004, 113, 117–120. [Google Scholar] [CrossRef]
- Panigrahi, M.R.; Panigrahi, S. Synthesis and microstructure of Ca-doped BaTiO3 ceramics prepared by high-energy ball-milling. Phys. B Condens. Matter. 2009, 404, 4267–4272. [Google Scholar] [CrossRef]
- Zhang, X.W.; Han, Y.H.; Lal, M.; Smyth, D.M. Defect chemistry of BaTiO3 with additions of CaTiO3. J. Am. Ceram. Soc. 1987, 70, 100–103. [Google Scholar] [CrossRef]
- Jaffe, B.; Cook, W.; Jaffe, H. Piezoelectric Ceramics; Nature: London, UK, 1972. [Google Scholar]
- Fu, D.; Itoh, M.; Koshihara, S. Crystal growth and piezoelectricity of BaTiO3–CaTiO3 solid solution. Appl. Phys. Lett. 2008, 93, 012904. [Google Scholar] [CrossRef]
- Fu, D.; Itoh, M.; Koshihara, S. In variant lattice strain and polarization in BaTiO3–CaTiO3 ferroelectric alloys. J. Phys. Condens. Matter. 2010, 22, 052204. [Google Scholar] [CrossRef]
- Wang, W.; Wang, L.D.; Li, W.L.; Xu, D.; Hou, Y.F.; Cao, W.P.; Feng, Y.; Fei, W.D. Piezoelectric properties of BaTiO3–CaTiO3–BaZrO3 ceramics with compositions near the morphotropic phase boundary. Ceram. Int. 2014, 40, 14907–14912. [Google Scholar] [CrossRef]
- Fu, D.; Itoh, M.; Koshihara, S.; Kosugi, T.; Tsuneyuki, S. Anomalous phase diagram of ferroelectric (Ba,Ca)TiO3 single crystals. Phys. Rev. Lett. 2008, 100, 227601. [Google Scholar] [CrossRef]
- Fu, D.; Endo, M.; Taniguchi, H.; Taniyama, T.; Itoh, M. AgMbO3: A lead-free material with large polarization and electromechanical response. Appl. Phys. Lett. 2007, 90, 252907. [Google Scholar] [CrossRef]
- Fu, D.; Endo, M.; Taniguchi, H.; Taniyama, T.; Koshihara, S.; Itoh, M. Piezoelectric properties of lithium-modified silver niobat perovskite single crystals. Appl. Phys. Lett. 2008, 92, 172905. [Google Scholar] [CrossRef]
- Fu, D.; Itoh, M.; Koshihara, S. Dielectric, ferroelectric, and piezoelectric behaviors of AgNbO3–KNbO3 solid solution. J. Appl. Phys. 2009, 106, 104104. [Google Scholar] [CrossRef]
- Tazaki, R.; Fu, D.; Itoh, M.; Daimon, M.; Koshihara, S. Lattice distortion under an electric field in BaTiO3 piezoelectric single crystal. J. Phys. Condens. Matter 2009, 21, 215903. [Google Scholar] [CrossRef]
- Cross, E. Lead-freeatlast. Nature 2004, 432, 24–25. [Google Scholar] [CrossRef]
- Mahmood, N.B.; Al-Shakarchi, E.K. Three Techniques Used to Produce BaTiO3 Fine Powder. J. Mod. Phys. 2011, 2, 1420–1428. [Google Scholar]
- Shannon, R.D. Revised effective ionic radii and systematic studies of interatomic distances in halides and chalcogenides. Acta Cryst. 1976, A32, 751. [Google Scholar] [CrossRef]
- Wodecka-Duś, B.; Płońska, M.; Czekaj, D. Synthesis, microstructure, and the crystalline structure of barium titanate ceramics doped with lanthanum. Arch. Metall. Mater. 2013, 58, 59. [Google Scholar] [CrossRef]
- Pullar, R.C.; Zhang, Y.; Chen, L.; Yang, S.; Evans, J.R.G.; Salak, A.N.; Kiselev, D.A.; Kholkin, A.L.; Ferreira, V.M.; Alford, N.M.N. Dielectric measurements on a novel Ba1−xCaxTiO3 (BCT) bulk ceramic combinatorial library. J. Electroceram. 2009, 22, 245–251. [Google Scholar] [CrossRef]
- Breeze, J.D.; Perkins, J.M.; Mc Comb, D.W.; Alford, N.M. Do grain boundaries affect microwave dielectric loss in oxides? J. Am. Ceram. Soc. 2009, 92, 671–674. [Google Scholar] [CrossRef]
- Sareecha, N.; Shah, W.A.; Anis-ur-Rehman, M.; Mirza, M.L.; Awan, M.S. Electrical investigations of BaTiO3 ceramics with Ba/Ti contents under influence of temperature. Solid State Ion. 2017, 303, 16–23. [Google Scholar] [CrossRef]
- Wodecka-Dus, B.; Adamczyk-Habrajska, M.; Osinska, K.; Płonska, M.; Czekaj, D. Dielectric properties o Ba1₋xLaxTi10x ceramics with different La3⁺ content. Adv. Sci. Technol. 2013, 77, 35–40. [Google Scholar]
- Borkar, S.N.; Aggarwal, P.; Deshpande, V.K. Effect of calcium substitution on structural, dielectric, ferroelectric, piezoelectric, and energy storage properties of BaTiO3. Curr. Appl. Phys. 2022, 39, 205–213. [Google Scholar] [CrossRef]
- Lee, S.J.; Park, I.J.; Han, Y.H. Relaxation behavior of oxygen vacancy complexes in Ba(Ti1−xCax)O3−x. Mater. Chem. Phys. 2010, 121, 161–164. [Google Scholar] [CrossRef]
- Rajan, S.; Mohammed Gazzali, P.M.; Chandrasekaran, G. Electrical and magnetic phase transition studies of Fe and Mn co-dope dBaTiO3_33. J. Alloys Compd. 2016, 656, 98–109. [Google Scholar] [CrossRef]
- Smoleński, G.A.; Agranovskaya, A.J. Synthesis and Piezoelectric Properties of Pb0.98Sm0.02[(Zry,Ti1–y)0.98(Fe1/23+,Nb1/25+)0.02]O3 Ceramics. Sov. Phys. Solid State 1959, 1, 1429–1437. [Google Scholar]
- Shimakawa, Y.; Kubo, Y.; Nakagawa, Y.; Goto, S.; Kamiyama, T.; Asano, H.; Izumi, F. Crystal Structure and Ferroelectric Properties of ABi2Ta2O9(A=Ca,Sr, and Ba). Phys. Rev. B 2000, 61, 6559. [Google Scholar] [CrossRef]
- Karthik, C.; Ravishankar, N.; Varma, K.B.R.; Maglione, M.; von Der Mühll, R.; Etourneau, J. Relaxor Behavior of K0.5La0.5Bi2Nb2O9 Ceramics. Appl. Phys. Lett. 2006, 89, 042905. [Google Scholar] [CrossRef]
- Kwon, S.W.; Yoon, D.H. Tetragonality of Nano-sized Barium Titanate Powder Prepared with Growth Inhibitors Upon Heat Treatment. J. Eur. Ceram. Soc. 2007, 27, 247–252. [Google Scholar] [CrossRef]
- Zhao, Z.; Buscaglia, V.; Viviani, M.; Buscaglia, M.T.; Mitoseriu, L.; Testino, A.; Nygren, M.; Johnsson, M.; Nanni, P. Grain-size effects on the ferroelectric behavior of densenano crystalline BaTiO3 ceramics. Phys. Rev. B Condens. Matter Mater. Phys. 2004, 70, 024107. [Google Scholar] [CrossRef]
- Buscaglia, V.; Buscaglia, M.; Viviani, M.; Mitoseriu, L.; Nanni, P.; Trefiletti, V.; Piaggio, P.; Gregora, I.; Ostapchuk, T.; Pokorný, J.; et al. Grain size and grain boundary-related effects on the properties of nanocrystalline barium titanate ceramics. J. Eur. Ceram. Soc. 2006, 26, 2889–2898. [Google Scholar] [CrossRef]
- Köferstein, R.; Jäger, L.; Zenkner, M.; Ebbinghaus, S.G. Phase transition and dielectric properties of BaTiO3 ceramics containing 10 mol% BaGeO3. Mater. Chem. Phys. 2010, 119, 118–122. [Google Scholar] [CrossRef][Green Version]
- Vittayakorn, N.; Charoonsuk, P.; Kasiansin, P.; Wirunchit, S.; Boonchom, B. Dielectric properties and phase transition behaviors in (1−x)PbZrO3–xPb(Mg1/2W1/2)O3 ceramics. J. Appl. Phys. 2009, 106, 064104. [Google Scholar] [CrossRef]
- Yoon, S.-H.; Randall, C.A.; Hur, K.-H. Correlation between resistance degradation and thermally stimulated depolarization current in acceptor (Mg)-doped BaTiO3 submicrometer fine-grain ceramics. J. Am. Ceram. Soc. 2010, 93, 1950–1956. [Google Scholar] [CrossRef]
- Zhang, Q.; Zhang, Y.; Liu, X.; Song, X.; Zhu, J.; Baturin, I. Charge Carrier Relaxation Study in Glass-Added Barium Titanate Ceramics Using Thermally Stimulated Depolarization Current. J. Electron. Mater. 2016, 45, 11. [Google Scholar] [CrossRef]
- Lau, S.T.; Cheng, C.H.; Choy, S.H.; Lin, D.M.; Kwok, K.W.; Chan, H.L.W. Lead-free ceramics for pyroelectric applications. J. Appl. Phys. 2008, 103, 104105. [Google Scholar] [CrossRef]
- Srikanth, K.S.; Singh, V.P.; Vaish, R. Enhanced pyroelectric figure of merits of porous BaSn0.05Ti0.95O3 ceramics. J. Eur. Ceram. Soc. 2017, 37, 3943–3950. [Google Scholar] [CrossRef]
- Yu, P.; Ji, Y.D.; Neumann, N.; Lee, S.G.; Luo, H.; Es-Souni, M. Application of single-Crystalline PMN-PT and PIN-PMN-PT in high-Performance pyroelectric detectors. IEEE T. Ultrason. Ferr. 2012, 59, 1983–1989. [Google Scholar] [CrossRef] [PubMed]
- Tang, Y.X.; Luo, H.S. Investigation of the electrical properties of (1-x)Pb(Mg1/3Nb2/3)O3-xPbTiO3 single crystals with special reference to pyroelectric detection. J. Phys. D Appl. Phys. 2009, 42, 075406. [Google Scholar] [CrossRef]
- Bowen, C.R.; Taylor, J.; Le Boulbar, E.; Zabek, D.; Chauhan, A.; Vaish, R. Pyroelectric materials and device for energy harvesting applications. Energy Environ. Sci. 2014, 7, 3836–3856. [Google Scholar] [CrossRef]
- Sun, R.; Wang, J.; Wang, F.; Feng, T.; Li, Y.; Chi, Z.; Zhao, X.; Luo, H. Pyroelectric properties of Mn-doped 94.6Na0.5Bi0.5TiO3-5.4BaTiO3 lead-free single crystals. J. Appl. Phys. 2014, 115, 074101. [Google Scholar] [CrossRef]
- Liu, X.; Chen, Z.; Wu, D.; Fang, B.; Ding, J.; Zhao, X.; Xu, H.; Luo, H. Enhancing pyroelectric properties of Li-doped (Ba0.85Ca0.15)(Zr0.1Ti0.9)O3 lead-free ceramics by optimizing calcination temperature. Jpn. J. Appl. Phys. 2015, 54, 071501. [Google Scholar] [CrossRef]







| Sample | Crystal System | Space Group | Lattice Param. [A] | Volume [A3] | Tetragonality [%] | Microstrain [%] | Contribution [wt. %] |
|---|---|---|---|---|---|---|---|
| BaTiO3 [54] | Tetragonal | P4mm | a = 3.9999 c = 4.0085 | 64.13 | 2.15 | --- | --- |
| BCT20 | Tetragonal | P4mm | a = 3.9638 c = 4.0085 | 62.98 | 1.13 | 0.030 | 100 |
| BCT25 | Tetragonal | P4mm | a = 3.9585 c = 3.9995 | 62.67 | 1.04 | 0.099 | 100 |
| BCT30 | Tetragonal | P4mm | a = 3.9558 c = 3.9966 | 62.54 | 1.03 | 0.144 | 94.1 |
| Orthorhombic | Pbam | a = 5.4153 b = 5.4640 c = 7.7074 | 228.06 | --- | --- | 5.9 |
| x | Theoretical Substrate Content [%] | Content of Substrates from EDS [%] | ||||
|---|---|---|---|---|---|---|
| BaO | TiO2 | CaO | BaO | TiO2 | CaO | |
| BCT20 | 57.38 | 37.365 | 5.247 | 57.74 | 36.83 | 5.43 |
| BCT25 | 55.053 | 38.235 | 6.712 | 55.40 | 37.57 | 7.03 |
| BCT30 | 52.608 | 39.147 | 8.246 | 52.51 | 39.44 | 8.05 |
| Ceramic Material | TC [K] | εRT | εmax | tgδRT | tgδTC | T0 [K] | C[K] | Tdev [K] |
|---|---|---|---|---|---|---|---|---|
| BCT20 | 395.8 | 845 | 6302 | 0.017 | 0.018 | 371.8 | 1.3 × 105 | 417.2 |
| BCT25 | 387.4 | 658 | 6772 | 0.007 | 0.017 | 364.1 | 1.1 × 105 | 406.6 |
| BCT30 | 384.0 | 867 | 4064 | 0.017 | 0.022 | 362.4 | 1.2 × 105 | 407.2 |
| Ceramic Material | ΔH [J/g] | Ton [K] | Tend [K] | Tmax [K] |
|---|---|---|---|---|
| BCT20 | 0.52 | 382.3 | 402.1 | 392.4 |
| BCT25 | 0.26 | 362.5 | 404.7 | 384.3 |
| BCT30 | 0.40 | 361.6 | 401.3 | 383.5 |
| Fi [×10−12 m/V] | Fv [m2/C] | Fd [μPa1/2] |
|---|---|---|
| 0.9 | 1.49 × 10−4 | 1.36 |
Disclaimer/Publisher’s Note: The statements, opinions and data contained in all publications are solely those of the individual author(s) and contributor(s) and not of MDPI and/or the editor(s). MDPI and/or the editor(s) disclaim responsibility for any injury to people or property resulting from any ideas, methods, instructions or products referred to in the content. |
© 2024 by the authors. Licensee MDPI, Basel, Switzerland. This article is an open access article distributed under the terms and conditions of the Creative Commons Attribution (CC BY) license (https://creativecommons.org/licenses/by/4.0/).
Share and Cite
Feliksik, K.; Makowska, J.; Bartkowska, J.A.; Pikula, T.; Panek, R.; Starczewska, O.; Adamczyk-Habrajska, M. Dielectric, Electric, and Pyroelectric Properties of Ba1−xCaxTiO3 Ceramics. Materials 2024, 17, 6040. https://doi.org/10.3390/ma17246040
Feliksik K, Makowska J, Bartkowska JA, Pikula T, Panek R, Starczewska O, Adamczyk-Habrajska M. Dielectric, Electric, and Pyroelectric Properties of Ba1−xCaxTiO3 Ceramics. Materials. 2024; 17(24):6040. https://doi.org/10.3390/ma17246040
Chicago/Turabian StyleFeliksik, Kamil, Jolanta Makowska, Joanna A. Bartkowska, Tomasz Pikula, Rafał Panek, Oliwia Starczewska, and Małgorzata Adamczyk-Habrajska. 2024. "Dielectric, Electric, and Pyroelectric Properties of Ba1−xCaxTiO3 Ceramics" Materials 17, no. 24: 6040. https://doi.org/10.3390/ma17246040
APA StyleFeliksik, K., Makowska, J., Bartkowska, J. A., Pikula, T., Panek, R., Starczewska, O., & Adamczyk-Habrajska, M. (2024). Dielectric, Electric, and Pyroelectric Properties of Ba1−xCaxTiO3 Ceramics. Materials, 17(24), 6040. https://doi.org/10.3390/ma17246040

