Photo-Excited Carrier Dynamics in Ammonothermal Mn-Compensated GaN Semiconductor
Abstract
1. Introduction
2. Materials and Methods
3. Results
3.1. Absorption and Photoluminescence Spectra
3.2. Photoluminescence Decay Characterization
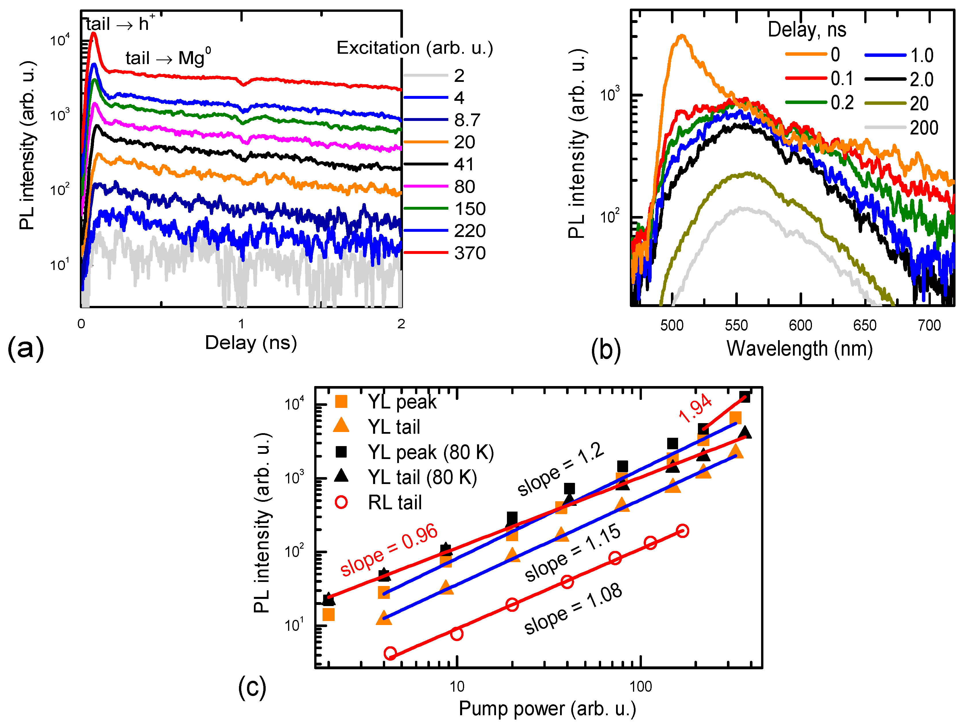
3.3. Pump Probe Decay Characterization
4. Discussion
5. Conclusions
Author Contributions
Funding
Data Availability Statement
Conflicts of Interest
References
- Anderson, T.J.; Chowdhury, S.; Aktas, O.; Bockowski, M.; Hite, J.K. GaN Power Devices—Current Status and Future Directions. Electrochem. Soc. Interface 2018, 27, 43. [Google Scholar] [CrossRef]
- Halidou, I.; Benzarti, Z.; Fitouri, H.; Fathallah, W.; Jani, B.E. GaN property evolution at all stages of MOVPE Si/N treatment growth. Phys. Status Solidi C 2007, 4, 129–132. [Google Scholar] [CrossRef]
- Utsumi, W.; Saitoh, H.; Kaneko, H.; Watanuki, T.; Aoki, K.; Shimomura, O. Congruent melting of gallium nitride at 6 GPa and its application to single-crystal growth. Nat. Mater. 2003, 2, 735. [Google Scholar] [CrossRef] [PubMed]
- Porowski, S.; Sadovyi, B.; Gierlotka, S.; Rzoska, S.J.; Grzegory, I.; Petrusha, I.; Turkevich, V.; Stratiichuk, D. The challenge of decomposition and melting of gallium nitride under high pressure and high temperature. J. Phys. Chem. Solids 2015, 85, 138. [Google Scholar] [CrossRef]
- Schimmel, S.; Tomida, D.; Ishiguro, T.; Honda, Y.; Chichibu, S.; Amano, H. Numerical Simulation of Ammonothermal Crystal Growth of GaN—Current State, Challenges, and Prospects. Crystals 2021, 11, 356. [Google Scholar] [CrossRef]
- Kucharski, R.; Sochacki, T.; Lucznik, B.; Bockowski, M. Growth of bulk GaN crystals. J. Appl. Phys. 2020, 128, 050902. [Google Scholar] [CrossRef]
- Suproniuk, M.; Piwowarski, K.; Perka, B.; Kaminski, P.; Kozlowski, R.; Teodorczyk, M. Blocking Characteristics of Photoconductive Switches Based on Semi-Insulating GaP and GaN. Elektron. ir Elektrotechnika 2019, 25, 36–39. [Google Scholar] [CrossRef]
- Ščajev, P.; Subačius, L.; Prystawko, P.; Kucharski, R.; Kašalynas, I. Sub-Bandgap Photoconductive High Voltage Switch of Mn:GaN Semiconductor. IEEE Trans. Electron Devices 2024, 71, 5245–5250. [Google Scholar] [CrossRef]
- Lee, M.-L.; Huang, F.-W.; Chen, P.-C.; Sheu, J.-K. GaN intermediate band solar cells with Mn-doped absorption layer. Sci. Rep. 2018, 8, 8641. [Google Scholar] [CrossRef]
- Liu, S.-Y.; Sheu, J.K.; Lin, Y.-C.; Tu, S.J.; Huang, F.W.; Lee, M.L.; Lai, W.C. Mn-doped GaN as photoelectrodes for the photoelectrolysis of water under visible light. Opt. Express 2012, 20, A678. [Google Scholar] [CrossRef]
- Simonaitis, J.W.; Slayton, B.; Yang-Keathley, Y.; Keathley, P.D.; Berggren, K.K. Precise, subnanosecond, and high-voltage switching enabled by gallium nitride electronics integrated into complex loads. Rev. Sci. Instrum. 2021, 92, 074704. [Google Scholar] [CrossRef] [PubMed]
- Kheirodin, N.; Nevou, L.; Machhadani, H.; Crozat, P.; Vivien, L.; Tchernycheva, M. Electrooptical Modulator at Telecommunication Wavelengths Based on GaN–AlN Coupled Quantum Wells. IEEE Photonics Technol. Lett. 2008, 20, 724–726. [Google Scholar] [CrossRef]
- Mukherjee, M.; Mazumder, N.; Roy, S.K.; Goswami, K. GaN IMPATT diode: A photo-sensitive high power terahertz source. Semicond. Sci. Technol. 2007, 22, 1258–1267. [Google Scholar] [CrossRef]
- Dai, Y.; Dang, J.; Lei, X.; Zhang, Y.; Yan, J.; Zhao, W. Study on Schottky AlxGa1- xN/GaN IMPATT Diodes for Millimeter-Wave Application. IEEE Trans. Electron Devices 2022, 69, 4853–4858. [Google Scholar] [CrossRef]
- Chen, Y.-T.; Yang, C.-Y.; Chen, P.-C.; Sheu, J.-K.; Lin, K.-H. Carrier dynamics of Mn-induced states in GaN thin films. Sci. Rep. 2017, 7, 5788. [Google Scholar] [CrossRef]
- Zajac, M.; Kucharski, R.; Grabianska, K.; Gwardys-Bak, A.; Puchalski, A.; Wasik, D.; Litwin-Staszewska, E.; Piotrzkowski, R.; Domagala, J.Z.; Bockowski, M. Basic ammonothermal growth of Gallium Nitride—State of the art, challenges, perspectives. Prog. Cryst. Growth Charact. Mater. 2018, 64, 63–74. [Google Scholar] [CrossRef]
- Balagula, R.M.; Subačius, L.; Prystawko, P.; Kašalynas, I. Space-charge domains in n -type GaN epilayers under pulsed electric field. Appl. Phys. Lett. 2022, 121, 102101. [Google Scholar] [CrossRef]
- Ščajev, P.; Nardone, M.; Reich, C.; Farshchi, R.; McReynolds, K.; Krasikov, D.; Kuciauskas, D. As-Doped Polycrystalline CdSeTe: Localized Defects, Carrier Mobility and Lifetimes, and Impact on High-Efficiency Solar Cells. Adv. Energ. Mater. 2024, 2403902. [Google Scholar] [CrossRef]
- Graf, T.; Gjukic, M.; Brandt, M.S.; Stutzmann, M.; Ambacher, O. The Mn3+/2+ acceptor level in group III nitrides. Appl. Phys. Lett. 2002, 81, 5159–5161. [Google Scholar] [CrossRef]
- Popovic, Z.S.; Satpathy, S.; Mitchel, W.C. Electronic structure of the substitutional versus interstitial manganese in GaN. Phys. Rev. B Condens. Matter 2004, 70, 161308. [Google Scholar] [CrossRef]
- Grigelionis, I.; Jorudas, J.; Jakštas, V.; Janonis, V.; Kašalynas, I.; Prystawko, P.; Kruszewski, P.; Leszczyński, M. Terahertz electroluminescence of shallow impurities in AlGaN/GaN heterostructures at 20 K and 110 K temperature. Mater. Sci. Semicond. Process. 2019, 93, 280–283. [Google Scholar] [CrossRef]
- Lyons, J.L.; Van de Walle, C.G. Computationally predicted energies and properties of defects in GaN. npj Comput. Mater 2017, 3, 12. [Google Scholar] [CrossRef]
- Lankinen, A. X-ray excited optical luminescence of Mg-doped GaN. J. X-ray Sci. Technol. 2008, 16, 215–220. [Google Scholar] [CrossRef]
- Reshchikov, M.A.; Ghimire, P.; Demchenko, D.O. Magnesium acceptor in gallium nitride. I. Photoluminescence from Mg-doped GaN. Phys. Rev. B 2018, 97, 205204. [Google Scholar] [CrossRef]
- Zimmermann, F.; Beyer, J.; Röder, C.; Beyer, F.C.; Richter, E.; Irmscher, K.; Heitmann, J. Current status of carbon-related defect luminescence in GaN. Phys. Status Solidi A 2021, 218, 2100235. [Google Scholar] [CrossRef]
- Kato, M.; Asada, T.; Maeda, T.; Ito, K.; Tomita, K.; Narita, T.; Kachi, T. Contribution of the carbon-originated hole trap to slow decays of photoluminescence and photoconductivity in homoepitaxial n-type GaN layers. J. Appl. Phys. 2021, 129, 115701. [Google Scholar] [CrossRef]
- Amilusik, M.; Zajac, M.; Sochacki, T.; Lucznik, B.; Fijalkowski, M.; Iwinska, M.; Wlodarczyk, D.; Somakumar, A.K.; Suchocki, A.; Bockowski, M. Carbon and Manganese in Semi-Insulating Bulk GaN Crystals. Materials 2022, 15, 2379. [Google Scholar] [CrossRef]
- Janicki, L.; Kunert, G.; Sawicki, M.; Piskorska-Hommel, E.; Gas, K.; Jakiela, R.; Hommel, D.; Kudrawiec, R. Fermi level and bands offsets determination in insulating (Ga,Mn)N/GaN structures. Sci. Rep. 2017, 7, 41877. [Google Scholar] [CrossRef]
- Fang, Y.; Yang, J.Y.; Xiao, Z.G.; Wu, X.Z.; Jia, J.D.; Chen, Y.Q.; Wu, Q.Y.; Song, Y.L. Ultrafast bulk carrier dynamics in various GaN crystals at near-infrared wavelengths under one- and two-photon absorption. Appl. Phys. Lett. 2019, 114, 112108. [Google Scholar] [CrossRef]
- Malinauskas, T.; Jarašiūnas, K.; Aleksiejunas, R.; Gogova, D.; Monemar, B.; Beaumont, B.; Gibart, P. Contribution of dislocations to carrier recombination and transport in highly excited ELO and HVPE GaN layers. Phys. Status Solidi B 2006, 243, 1426–1430. [Google Scholar] [CrossRef]
- Kucharski, R.; Janicki, Ł.; Zajac, M.; Welna, M.; Motyka, M.; Skierbiszewski, C.; Kudrawiec, R. Transparency of semi-insulating, n-type, and p-type ammonothermal GaN substrates in the near-infrared, mid-infrared, and THz spectral range. Crystals 2017, 7, 187. [Google Scholar] [CrossRef]
- Kioupakis, E.; Rinke, P.; Schleife, A.; Bechstedt, F.; Van de Walle, C.G. Free-carrier absorption in nitrides from first principles. Phys. Rev. B 2010, 81, 241201. [Google Scholar] [CrossRef]
- Fang, Y.; Wu, X.; Yang, J.; Wang, J.; Wu, Q.; Song, Y. Carrier trapping and recombination at carbon defects in bulk GaN crystals grown by HVPE. Appl. Phys. Lett. 2021, 118, 112105. [Google Scholar] [CrossRef]
- Gu, Y.; Wang, Y.; Chen, J.; Chen, B.; Wang, M.; Zou, X. Temperature-Dependent Dynamic Degradation of Carbon-Doped GaN HEMTs. IEEE Trans. Electron Devices 2021, 68, 3290–3295. [Google Scholar] [CrossRef]
- Reshchikov, M.A.; Vorobiov, M.; Demchenko, D.O.; Özgür, Ü.; Morkoç, H.; Lesnik, A.; Hoffmann, M.P.; Hörich, F.; Dadgar, A.; Strittmatter, A. Two charge states of the CN acceptor in GaN: Evidence from photoluminescence. Phys. Rev. B 2018, 98, 125207. [Google Scholar] [CrossRef]
- Kato, M.; Maeda, T.; Ito, K.; Tomita, K.; Narita, T.; Kachi, T. Relationship of carbon concentration and slow decays of photoluminescence in homoepitaxial n-type GaN layers. Jpn. J. Appl. Phys. 2022, 61, 078004. [Google Scholar] [CrossRef]
- Schreck, M.; Ščajev, P.; Träger, M.; Mayr, M.; Grünwald, T.; Fischer, M.; Gsell, S. Charge carrier trapping by dislocations in single crystal diamond. J. Appl. Phys. 2020, 127, 125102. [Google Scholar] [CrossRef]
- Wang, Q.-J.; Zhang, H.-S.; Shi, L.; Gong, J. Origin of Ga vacancy-related YL center in n-type GaN: A first-principles study. J. Lumin. 2023, 255, 119561. [Google Scholar] [CrossRef]
- Yang, S.; Han, S.; Sheng, K. Vertical GaN power rectifiers: Interface effects and switching performance. Semicond. Sci. Technol. 2021, 36, 024005. [Google Scholar] [CrossRef]








Disclaimer/Publisher’s Note: The statements, opinions and data contained in all publications are solely those of the individual author(s) and contributor(s) and not of MDPI and/or the editor(s). MDPI and/or the editor(s) disclaim responsibility for any injury to people or property resulting from any ideas, methods, instructions or products referred to in the content. |
© 2024 by the authors. Licensee MDPI, Basel, Switzerland. This article is an open access article distributed under the terms and conditions of the Creative Commons Attribution (CC BY) license (https://creativecommons.org/licenses/by/4.0/).
Share and Cite
Ščajev, P.; Prystawko, P.; Kucharski, R.; Kašalynas, I. Photo-Excited Carrier Dynamics in Ammonothermal Mn-Compensated GaN Semiconductor. Materials 2024, 17, 5995. https://doi.org/10.3390/ma17235995
Ščajev P, Prystawko P, Kucharski R, Kašalynas I. Photo-Excited Carrier Dynamics in Ammonothermal Mn-Compensated GaN Semiconductor. Materials. 2024; 17(23):5995. https://doi.org/10.3390/ma17235995
Chicago/Turabian StyleŠčajev, Patrik, Paweł Prystawko, Robert Kucharski, and Irmantas Kašalynas. 2024. "Photo-Excited Carrier Dynamics in Ammonothermal Mn-Compensated GaN Semiconductor" Materials 17, no. 23: 5995. https://doi.org/10.3390/ma17235995
APA StyleŠčajev, P., Prystawko, P., Kucharski, R., & Kašalynas, I. (2024). Photo-Excited Carrier Dynamics in Ammonothermal Mn-Compensated GaN Semiconductor. Materials, 17(23), 5995. https://doi.org/10.3390/ma17235995

