Anti-Corrosion Performance of Magnesium Potassium Phosphate Cement Coating on Steel Reinforcement: The Effect of Boric Acid
Abstract
1. Introduction
2. Experiment Details
2.1. Materials
2.2. Preparation of Coatings and Samples
2.2.1. Preparation of Coating Groups and 3.5 wt.% NaCl Corrosion Solution
2.2.2. Preparation of Electrochemical Specimens
2.3. Test Method
2.3.1. Characterization of Coating Layer
2.3.2. Electrochemical Measurements
2.3.3. Further Analyzing the Corrosion Rate and Degree
3. Results and Discussions
3.1. Microstructure of Coating Layer
3.1.1. Early Age Hydration Behavior
3.1.2. Reaction Products
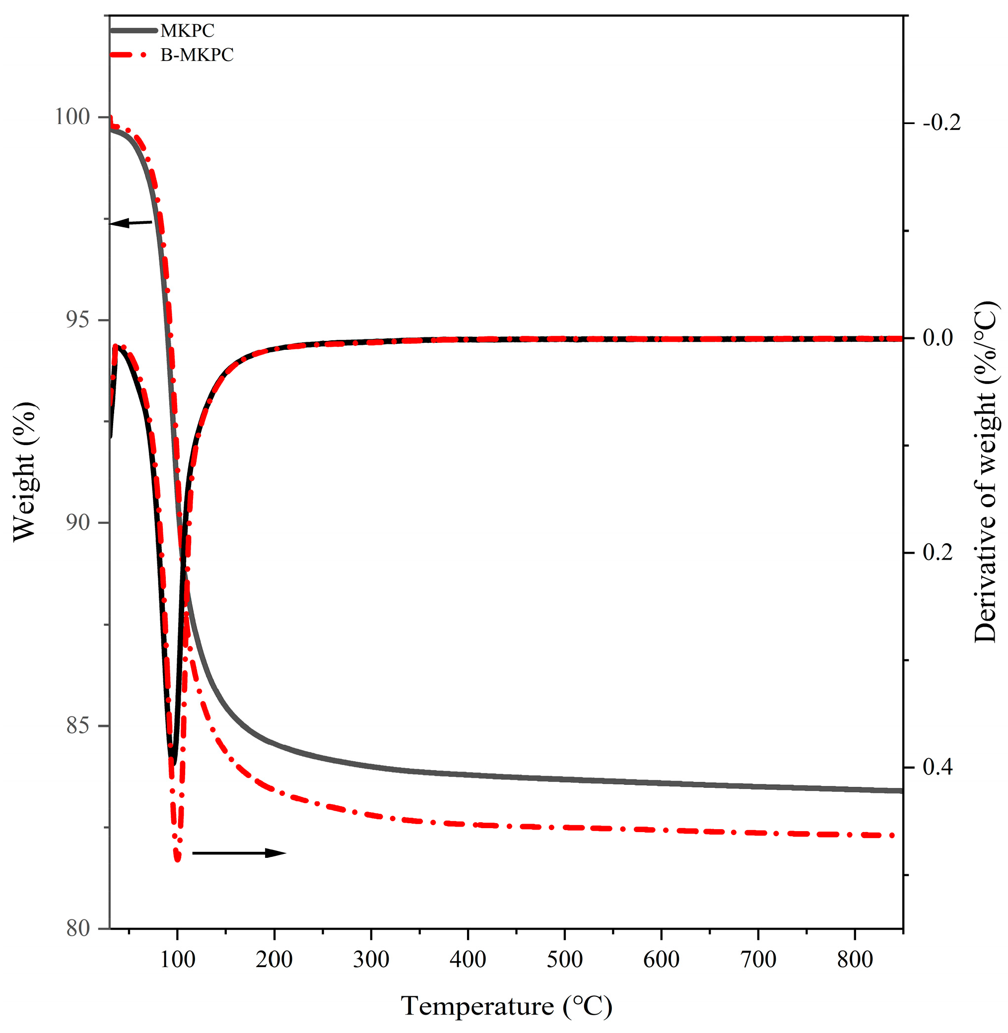
3.1.3. Porosity
3.2. Corrosion Resistance Performance
3.2.1. Open-Circuit Potential
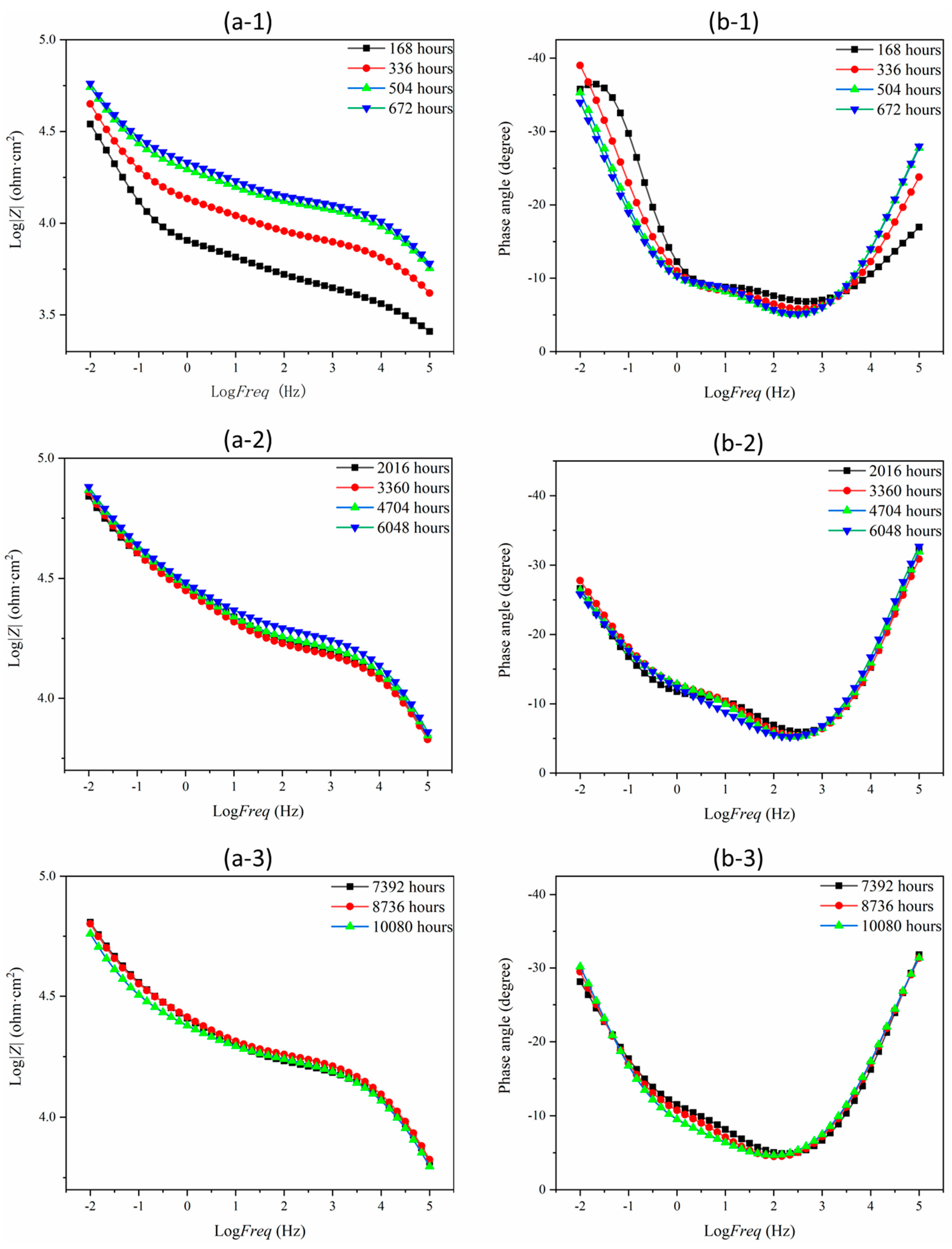
3.2.2. Electrochemical Impedance Spectroscopy (EIS) Results
3.3. Analysis of the Corrosion Rate and Degree
3.3.1. Potentiodynamic Polarization
3.3.2. Visual Inspection
4. Conclusions
Author Contributions
Funding
Institutional Review Board Statement
Informed Consent Statement
Data Availability Statement
Conflicts of Interest
References
- Shi, C.; Yang, J.; Yang, N.; Chang, Y. Effect of waterglass on water stability of potassium magnesium phosphate cement paste. Cem. Concr. Compos. 2014, 53, 83–87. [Google Scholar] [CrossRef]
- Qiao, F.; Chau, C.K.; Li, Z. Property evaluation of magnesium phosphate cement mortar as patch repair material. Constr. Build. Mater. 2010, 24, 695–700. [Google Scholar] [CrossRef]
- Ma, H.; Xu, B. Potential to design magnesium potassium phosphate cement paste based on an optimal magnesia-to-phosphate ratio. Mater. Des. 2017, 118, 81–88. [Google Scholar] [CrossRef]
- Ma, H.; Xu, B.; Liu, J.; Pei, H.; Li, Z. Effects of water content, magnesia-to-phosphate molar ratio and age on pore structure, strength and permeability of magnesium potassium phosphate cement paste. Mater. Des. 2014, 64, 497–502. [Google Scholar] [CrossRef]
- Ma, H.; Xu, B.; Li, Z. Magnesium potassium phosphate cement paste: Degree of reaction, porosity and pore structure. Cem. Concr. Res. 2014, 65, 96–104. [Google Scholar] [CrossRef]
- Abdelrazig, B.; Sharp, J.; El-Jazairi, B. The chemical composition of mortars made from magnesia-phosphate cement. Cem. Concr. Res. 1988, 18, 415–425. [Google Scholar] [CrossRef]
- Lahalle, H.; Cau Dit Coumes, C.; Mesbah, A.; Lambertin, D.; Cannes, C.; Delpech, S.; Gauffine, S. Investigation of magnesium phosphate cement hydration in diluted suspension and its retardation by boric acid. Cem. Concr. Res. 2016, 87, 77–86. [Google Scholar] [CrossRef]
- Yang, N.; Shi, C.; Yang, J.; Chang, Y. Research progresses in magnesium phosphate cement–based materials. J. Mater. Civ. Eng. 2014, 26, 04014071. [Google Scholar] [CrossRef]
- Wagh, A.S.; Singh, D.; Jeong, S.Y. Stabilization of Hazardous Ash Waste With Newberyite-Rich Chemically Bonded Magnesium Phosphate Ceramic; Technical Report for USDOE Office of Environmental Restoration and Waste Management; Argonne National Laboratory: Lemont, IL, USA, 1995. [Google Scholar]
- Sen Gupta, P.K.; Swihart, G.H.; Dimitrijevic, R.; Hossain, M.B. The crystal structure of lüeneburgite, Mg3(H2O)6[B2(OH)6(PO4)2]. Am. Mineral. 1991, 76, 1400–1407. [Google Scholar]
- Sugama, T.; Kukacka, L. Characteristics of magnesium polyphosphate cements derived from ammonium polyphosphate solutions. Cem. Concr. Res. 1983, 13, 499–506. [Google Scholar] [CrossRef]
- Sugama, T.; Kukacka, L. Magnesium monophosphate cements derived from diammonium phosphate solutions. Cem. Concr. Res. 1983, 13, 407–416. [Google Scholar] [CrossRef]
- Tang, H.; Qian, J.; Ji, Z.; Dai, X.; Li, Z. The protective effect of magnesium phosphate cement on steel corrosion. Constr. Build. Mater. 2020, 255, 119422. [Google Scholar] [CrossRef]
- Tang, H.; Qian, J.; Qin, J.; Li, Z.; Jia, X.; Yue, Y.; Dai, F. Electrochemical behavior of steel bars in magnesium phosphate cement. Cem. Concr. Res. 2023, 169, 107167. [Google Scholar] [CrossRef]
- Wang, D.; Yue, Y.; Mi, T.; Yang, S.; McCague, C.; Qian, J.; Bai, Y. Effect of magnesia-to-phosphate ratio on the passivation of mild steel in magnesium potassium phosphate cement. Corros. Sci. 2020, 174, 108848. [Google Scholar] [CrossRef]
- Qin, Z.; Zhou, S.; Ma, C.; Long, G.; Xie, Y.; Chen, B. Roles of metakaolin in magnesium phosphate cement: Effect of the replacement ratio of magnesia by metakaolin with different particle sizes. Constr. Build. Mater. 2019, 227, 116675. [Google Scholar] [CrossRef]
- Talakokula, V.; Bhalla, S.; Ball, R.J.; Bowen, C.R.; Pesce, G.L.; Kurchania, R.; Bhattacharjee, B.; Gupta, A.; Paine, K. Diagnosis of carbonation induced corrosion initiation and progression in reinforced concrete structures using piezo-impedance transducers. Sensor. Actuators A Phys. 2016, 242, 79–91. [Google Scholar] [CrossRef]
- Ahmad, S. Reinforcement corrosion in concrete structures, its monitoring and service life prediction—A review. Cem. Concr. Compos. 2003, 25, 459–471. [Google Scholar] [CrossRef]
- ASTM C191-21; Standard Test Methods for Time of Setting of Hydraulic Cement by Vicat Needle. ASTM International: West Conshohocken, PA, USA, 2021.
- ASTM C1679-17; Standard Practice for Measuring Hydration Kinetics of Hydraulic Cementitious Mixtures Using Isothermal Calorimetry. ASTM International: West Conshohocken, PA, USA, 2018.
- ASTM G59-97; Standard Test Method for Conducting Potentiodynamic Polarization Resistance Measurements. ASTM International: West Conshohocken, PA, USA, 2020.
- ASTM G106-89; Standard Practice for Verification of Algorithm and Equipment for Electrochemical Impedance Measurements. ASTM International: West Conshohocken, PA, USA, 2016.
- ASTM G61-86; Standard Test Method for Conducting Cyclic Potentiodynamic Polarization Measurements for Localized Corrosion Susceptibility of Iron−, Nickel−, or Cobalt-Based Alloys. ASTM International: West Conshohocken, PA, USA, 2018.
- Gardner, L.J.; Corkhill, C.L.; Walling, S.A.; Vigor, J.E.; Murray, C.A.; Tang, C.C.; Provis, J.L.; Hyatt, N.C. Early age hydration and application of blended magnesium potassium phosphate cements for reduced corrosion of reactive metals. Cem. Concr. Res. 2021, 143, 106375. [Google Scholar] [CrossRef]
- ASTM C876-15; Standard Test Method for Corrosion Potentials of Uncoated Reinforcing Steel in Concrete. ASTM International: West Conshohocken, PA, USA, 2016.
- Choudhary, S.; Garg, A.; Mondal, K. Relation between open circuit potential and polarization resistance with rust and corrosion monitoring of mild steel. J. Mater. Eng. Perform. 2016, 25, 2969–2976. [Google Scholar] [CrossRef]
- Tang, F.; Chen, G.; Brow, R.K. Chloride-induced corrosion mechanism and rate of enamel- and epoxy-coated deformed steel bars embedded in mortar. Cem. Concr. Res. 2016, 82, 58–73. [Google Scholar] [CrossRef]
- Tang, F.; Chen, G.; Volz, J.S.; Brow, R.K.; Koenigstein, M.L. Cement-modified enamel coating for enhanced corrosion resistance of steel reinforcing bars. Cem. Concr. Compos. 2013, 35, 171–180. [Google Scholar] [CrossRef]
- Córdoba-Torres, P.; Mesquita, T.J.; Devos, O.; Tribollet, B.; Roche, V.; Nogueira, R.P. On the intrinsic coupling between constant-phase element parameters α and Q in electrochemical impedance spectroscopy. Electrochim. Acta 2012, 72, 172–178. [Google Scholar] [CrossRef]
- Wu, Y.; Koch, W. Absolute determination of electrolytic conductivity for primary standard KCl solutions from 0 to 50 °C. J. Solut. Chem. 1991, 20, 391–401. [Google Scholar] [CrossRef]
- Hassan, H.H.; Abdelghani, E.; Amin, M.A. Inhibition of mild steel corrosion in hydrochloric acid solution by triazole derivatives: Part I. Polarization and EIS studies. Electrochim. Acta 2007, 52, 6359–6366. [Google Scholar] [CrossRef]
- Monticelli, C.; Criado, M.; Fajardo, S.; Bastidas, J.M.; Abbottoni, M.; Balbo, A. Corrosion behaviour of a Low Ni austenitic stainless steel in carbonated chloride-polluted alkali-activated fly ash mortar. Cem. Concr. Res. 2014, 55, 49–58. [Google Scholar] [CrossRef]
- Montemor, M.; Simoes, A.; Ferreira, M. Chloride-induced corrosion on reinforcing steel: From the fundamentals to the monitoring techniques. Cem. Concr. Compos. 2003, 25, 491–502. [Google Scholar] [CrossRef]
- Cusson, D.; Qian, S.; Chagnon, N.; Baldoc, B. Corrosion-inhibiting systems for durable concrete bridges. I: Five-year field performance evaluation. J. Mater. Civ. Eng. 2008, 20, 20–28. [Google Scholar]
- Melchers, R.E. Corrosion uncertainty modelling for steel structures. J. Constr. Steel Res. 1999, 52, 3–19. [Google Scholar] [CrossRef]
- Gabrielli, C.; Keddam, M. Review of applications of impedance and noise analysis to uniform and localized corrosion. Corrosion 1992, 48, 794–811. [Google Scholar] [CrossRef]
- Zhang, F.; Myers, J.J.; Liao, W.; Hui, C.; Ma, H. Investigation of corrosion mechanism of ribbed mild steel bars coated with magnesium potassium phosphate cement paste. Constr. Build. Mater. 2023, 371, 130639. [Google Scholar] [CrossRef]
- Xu, B.; Winnefeld, F.; Kaufmann, J.; Lothenbach, B. Influence of magnesium-to-phosphate ratio and water-to-cement ratio on hydration and properties of magnesium potassium phosphate cements. Cem. Concr. Res. 2019, 123, 105781. [Google Scholar] [CrossRef]
















| Compound | MgO | SiO2 | CaO | Al2O3 | Na2O | K2O | Fe2O3 | SO3 | P2O5 | TiO2 | Other |
|---|---|---|---|---|---|---|---|---|---|---|---|
| Magnesia | 91.90 | 4.70 | 1.16 | 1.07 | 0.65 | - | 0.23 | 0.13 | 0.11 | - | 0.05 |
| KH2PO4 | - | 2.51 | 0.17 | 0.63 | 0.84 | 41.98 | - | 0.21 | 53.61 | - | 0.06 |
| Metakaolin | 0.27 | 52.93 | - | 44.31 | - | 0.15 | 0.52 | 0.16 | - | 1.47 | 0.19 |
| Time (hours) | OCP (VSCE) | Ecorr (mVSCE) | Icorr (µA/cm2) | Corrosion Rate (mm/year) | ||||
|---|---|---|---|---|---|---|---|---|
| MKPC | B-MKPC | MKPC | B-MKPC | MKPC | B-MKPC | MKPC | B-MKPC | |
| 840 | −0.854 | −0.878 | −968.427 | −979.896 | 0.419 | 0.854 | 4.860 × 10−3 | 9.904 × 10−3 |
| 5376 | −0.828 | −0.858 | −983.061 | −977.837 | 0.478 | 1.364 | 5.550 × 10−3 | 15.819 × 10−3 |
| 10,080 | −0.808 | −0.833 | −946.563 | −942.542 | 0.618 | 1.488 | 7.175 × 10−3 | 17.267 × 10−3 |
Disclaimer/Publisher’s Note: The statements, opinions and data contained in all publications are solely those of the individual author(s) and contributor(s) and not of MDPI and/or the editor(s). MDPI and/or the editor(s) disclaim responsibility for any injury to people or property resulting from any ideas, methods, instructions or products referred to in the content. |
© 2024 by the authors. Licensee MDPI, Basel, Switzerland. This article is an open access article distributed under the terms and conditions of the Creative Commons Attribution (CC BY) license (https://creativecommons.org/licenses/by/4.0/).
Share and Cite
Zhang, F.; Qin, J.; Cai, K.; Myers, J.J.; Ma, H. Anti-Corrosion Performance of Magnesium Potassium Phosphate Cement Coating on Steel Reinforcement: The Effect of Boric Acid. Materials 2024, 17, 5310. https://doi.org/10.3390/ma17215310
Zhang F, Qin J, Cai K, Myers JJ, Ma H. Anti-Corrosion Performance of Magnesium Potassium Phosphate Cement Coating on Steel Reinforcement: The Effect of Boric Acid. Materials. 2024; 17(21):5310. https://doi.org/10.3390/ma17215310
Chicago/Turabian StyleZhang, Fan, Jihui Qin, Kangyi Cai, John J. Myers, and Hongyan Ma. 2024. "Anti-Corrosion Performance of Magnesium Potassium Phosphate Cement Coating on Steel Reinforcement: The Effect of Boric Acid" Materials 17, no. 21: 5310. https://doi.org/10.3390/ma17215310
APA StyleZhang, F., Qin, J., Cai, K., Myers, J. J., & Ma, H. (2024). Anti-Corrosion Performance of Magnesium Potassium Phosphate Cement Coating on Steel Reinforcement: The Effect of Boric Acid. Materials, 17(21), 5310. https://doi.org/10.3390/ma17215310

