Optimization of a Low Surface Energy Coating for Enhanced Water Resistance and Condensation Suppression
Abstract
1. Introduction
2. Materials and Methods
2.1. Experimental Materials
2.2. Preparation of Coating
2.3. Testing and Characterization
2.3.1. Surface Characterization
2.3.2. Water Resistance Performance
2.3.3. Anti-Condensation Performance
3. Results
3.1. Wettability and Surface Morphology
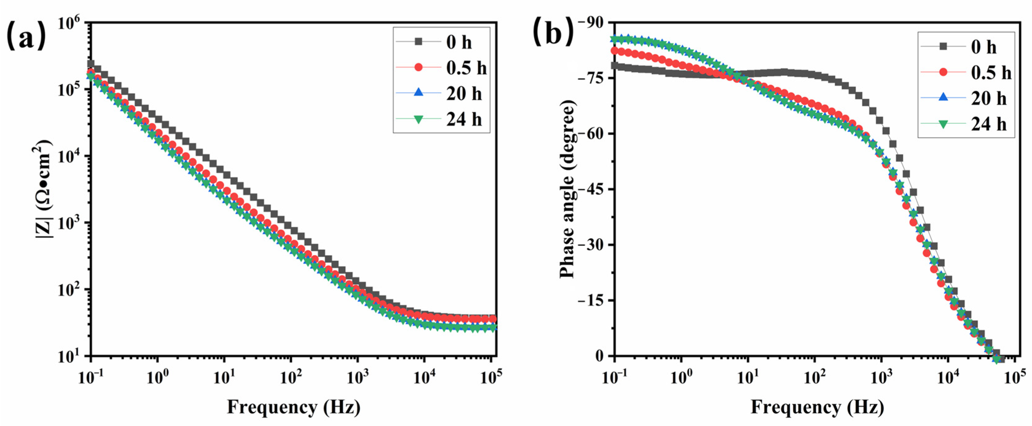
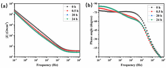
3.2. Water Repellent Performance
3.3. Condensation Performance
4. Conclusions
Author Contributions
Funding
Institutional Review Board Statement
Informed Consent Statement
Data Availability Statement
Conflicts of Interest
References
- Wu, X.; Wang, K.; Zhang, J.; Jie, X.; Chen, Z.; Lai, Y. A polyester-silica anti-condensation surface with anti-fouling property. Chem. Eng. J. 2022, 440, 135934. [Google Scholar] [CrossRef]
- Son, S.M.; Kim, M.; Yoo, J.J.; Kim, M.S.; Kim, B.-S.; Seong, D.G. Fabrication of carbon fiber/polyamide 6 composites with water resistance and anti-icing performance using a superhydrophobic fluorinated-polydopamine coating. Compos. Sci. Technol. 2023, 238, 110048. [Google Scholar] [CrossRef]
- Wu, X.; Pan, Y.; Han, Z.; Shen, Y. Does Anti-Condensation coatings guarantee Anti-Icing Properties? Appl. Surf. Sci. 2024, 649, 159101. [Google Scholar] [CrossRef]
- Zhou, Q.; Li, J. Research and application of anti-condensation control system for substation intelligent terminal box. Guangdong Electr. Power 2013, 026, 73–77. [Google Scholar]
- Zhou, J.; Wang, L.; Lin, T.; Liao, Y.; Han, F.; Du, Z.; Zhao, Y. Design and test of moisture proof scheme of prefacricated cabin substation based on thermoelectric refrigeration technology. Guangdong Electr. Power 2022, 35, 122–129. [Google Scholar]
- Wu, X.; Yang, F.; Lu, G.; Zhao, X.; Chen, Z.; Qian, S. A breathable and environmentally friendly superhydrophobic coating for anti-condensation applications. Chem. Eng. J. 2021, 412, 128725. [Google Scholar] [CrossRef]
- Meng, Y.; Xing, S.; Weng, Z.; Wang, S.; Yi, X.; Wu, N. Nonporous water-proof coatings with resistance to harsh water environments and spontaneous dewetting. Chem. Eng. J. 2023, 476, 146384. [Google Scholar] [CrossRef]
- Cheng, Y.-H.; Wu, C.-T.; Hu, L.-H. Dual functional low surface energy coating of anti-corrosion / fouling via crosslinking polysilazane preceramic precursor incorporated with fluorine. Prog. Org. Coat. 2023, 177, 107409. [Google Scholar] [CrossRef]
- Cui, X.; Yan, Y.; Huang, J.; Qiu, X.; Zhang, P.; Chen, Y.; Hu, Z.; Liang, X. A substrate-independent isocyanate-modified polydimethylsiloxane coating harvesting mechanical durability, self-healing ability and low surface energy with anti-corrosion/biofouling potential. Appl. Surf. Sci. 2022, 579, 152186. [Google Scholar] [CrossRef]
- Macdonald, B.; Wang, F.-W.; Tobelmann, B.; Wang, J.; Landini, J.; Gunaratne, N.; Kovac, J.; Miller, T.; Mosurkal, R.; Tuteja, A. Design of Abrasion-Resistant, Long-Lasting Antifog Coatings. ACS Appl. Mater. Interfaces 2024, 16, 13018–13028. [Google Scholar] [CrossRef]
- Li, Q.; Yan, Y.; Yu, M.; Song, B.; Shi, S.; Gong, Y. Synthesis of polymeric fluorinated sol–gel precursor for fabrication of superhydrophobic coating. Appl. Surf. Sci. 2016, 367, 101–108. [Google Scholar] [CrossRef]
- Singh, A.K.; Singh, J.K. Fabrication of durable super-repellent surfaces on cotton fabric with liquids of varying surface tension: Low surface energy and high roughness. Appl. Surf. Sci. 2017, 416, 639–648. [Google Scholar] [CrossRef]
- Fazle Rabbi, K.; Ho, J.Y.; Yan, X.; Ma, J.; Hoque, M.J.; Sett, S.; Miljkovic, N. Polydimethylsiloxane-Silane Synergy enables Dropwise Condensation of Low Surface Tension Liquids. Adv. Funct. Mater. 2022, 32, 2112837. [Google Scholar] [CrossRef]
- Peng, H. Synthesis and Application of Fluorine-Containing Polymers with Low Surface Energy. Polym. Rev. 2019, 59, 739–757. [Google Scholar] [CrossRef]
- Zhu, C.; Yang, H.; Liang, H.; Wang, Z.; Dong, J.; Xiong, L.; Zhou, J.; Ke, J.; Xu, X.; Xi, W. A Novel Synthetic UV-Curable Fluorinated Siloxane Resin for Low Surface Energy Coating. Polymers 2018, 10, 979. [Google Scholar] [CrossRef]
- Tan, Y.; Tang, J.; Zhao, N.; Qi, F.; Ouyang, X. Effect of Fluorocarbon Polymers on Hydrophobicity, Wear Resistance and Corrosion Resistance of Epoxy Resins. Coatings 2023, 13, 685. [Google Scholar] [CrossRef]
- Wang, Y.; Wu, M.; Wang, J.; Huang, J.; Yang, K.; Miao, X.; Zhang, L. The addition of SiO2-GO hybrid material enhanced the tribological properties of fluorocarbon resin in marine corrosive environments. Mater. Today Commun. 2024, 39, 108676. [Google Scholar] [CrossRef]
- Liu, Y.; Shao, Y.; Wang, Y.; Wang, J. An abrasion-resistant, photothermal, superhydrophobic anti-icing coating prepared by polysiloxane-modified carbon nanotubes and fluorine-silicone resin. Colloids Surf. A Physicochem. Eng. Asp. 2022, 648, 129335. [Google Scholar] [CrossRef]
- Wang, C.; Li, W.-D.; Jiang, Z.-H.; Yang, X.; Sun, G.-Y.; Zhang, G.-J. UV-cured nanocomposite coating for surface charging mitigation and breakdown strength enhancement: Exploring the combination of surface topographical structure and perfluorooctyl chain. RSC Adv. 2020, 10, 16422–16430. [Google Scholar] [CrossRef]
- Yang, B.; Li, X.; Lu, P.; Jiao, L.; An, Q. Design and synthesis of low surface energy anhydride-based polyacrylic resin. Prog. Org. Coat. 2023, 175, 107353. [Google Scholar] [CrossRef]
- Yao, M.; Gao, P.; Zhao, H.; Nie, J.; He, Y. Photo-patternable F-containing acrylic copolymers as passivation materials. Mater. Chem. Phys. 2020, 253, 123404. [Google Scholar] [CrossRef]
- Yuan, Y.; Zhang, C.; Jiang, B.; Lei, Y.; Li, Z.; Sun, K.; Zhang, Y. A robust photothermal superhydrophobic anti/de-icing composite coating fabricated from BP/SiO2 on a modified fluorocarbon coating base. Prog. Org. Coat. 2024, 196, 108725. [Google Scholar] [CrossRef]
- Hossain, M.S.; Panov, V.; Choi, S.; Kim, J.B.; Yun, K.K. Durability performance of cement mortar incorporating water-repellent admixtures. Constr. Build. Mater. 2024, 440, 137262. [Google Scholar] [CrossRef]
- Kalmoni, J.J.; Blackman, C.S.; Carmalt, C.J. Tuneable Wetting of Fluorine-Free Superhydrophobic Films via Titania Modification to Enhance Durability and Photocatalytic Activity. Adv. Mater. Interfaces 2024, 2400519. [Google Scholar] [CrossRef]
- Deschamps, C.; Simpson, N.; Dornbusch, M. Antistatic properties of clearcoats by the use of special additives. J. Coat. Technol. Res. 2020, 17, 693–710. [Google Scholar] [CrossRef]
- Oss, C.J.v.; Good, R.J.; Busscher, R.J. Estimation of the polar surface tension parameters of glycerol and formamide, for use in contact angle measurements on polar solids. J. Dispers. Sci. Technol. 1990, 11, 75–81. [Google Scholar] [CrossRef]
- Van Oss, C.J.; Chaudhury, M.K.; Good, R.J. The Mechanism of Partition in Aqueous Media. Sep. Sci. Technol. 1987, 22, 1515–1526. [Google Scholar] [CrossRef]
- Wang, W.; Chang, J.; Chen, L.; Weng, D.; Yu, Y.; Hou, Y.; Yu, G.; Wang, J.; Wang, X. A laser-processed micro/nanostructures surface and its photothermal de-icing and self-cleaning performance. J. Colloid Interface Sci. 2024, 655, 307–318. [Google Scholar] [CrossRef]
- Giacomello, A.; Meloni, S.; Chinappi, M.; Casciola, C.M. Cassie–Baxter and Wenzel States on a Nanostructured Surface: Phase Diagram, Metastabilities, and Transition Mechanism by Atomistic Free Energy Calculations. Langmuir 2012, 28, 10764–10772. [Google Scholar] [CrossRef]
- Wu, X.; Fu, Q.; Kumar, D.; Ho, J.W.C.; Kanhere, P.; Zhou, H.; Chen, Z. Mechanically robust superhydrophobic and superoleophobic coatings derived by sol–gel method. Mater. Des. 2016, 89, 1302–1309. [Google Scholar] [CrossRef]
- Wu, Y.; Wu, X.; Yang, F.; Ye, J. Preparation and Characterization of Waterborne UV Lacquer Product Modified by Zinc Oxide with Flower Shape. Polymers 2020, 12, 668. [Google Scholar] [CrossRef]
- Liu, C.; Luo, J.; Li, Q.; Gao, S.; Jin, Z.; Li, S.; Zhang, P.; Chen, S. Water-resistance properties of high-belite sulphoaluminate cement-based ultra-light foamed concrete treated with different water repellents. Constr. Build. Mater. 2019, 228, 116798. [Google Scholar] [CrossRef]
- Aktaev, N.E.; Fedorets, A.A.; Bormashenko, E.Y.; Nosonovsky, M. Langevin Approach to Modeling of Small Levitating Ordered Droplet Clusters. J. Phys. Chem. Lett. 2018, 9, 3834–3838. [Google Scholar] [CrossRef]
- Wang, Y.; Sun, Y.; Xue, Y.; Sui, X.; Wang, F.; Liang, W.; Dong, Q. Multifunctional electro-thermal superhydrophobic shape memory film with in situ reversible wettability and anti-icing/deicing properties. Colloids Surf. A Physicochem. Eng. Asp. 2022, 654, 129960. [Google Scholar] [CrossRef]
- Shao, Y.; Zhao, J.; Fan, Y.; Wan, Z.; Lu, L.; Zhang, Z.; Ming, W.; Ren, L. Shape memory superhydrophobic surface with switchable transition between “Lotus Effect” to “Rose Petal Effect”. Chem. Eng. J. 2020, 382, 122989. [Google Scholar] [CrossRef]
- Fevre, E.J.L.; Rose, J.W. A theory of heat transfer by dropwise condensation. In Proceedings of the International Heat Transfer Conference 3, Chicago, IL, USA, 7–12 August 1966. [Google Scholar]
- Xing, L.; Guan, S.; Jiang, M.; Zhao, L.; Li, X. Dynamic Behavior of Impacting Droplet on the Edges of Different Wettability Surface. Langmuir 2024, 40, 20995–21009. [Google Scholar] [CrossRef]









| Factor | A | B | C | D | E | F |
|---|---|---|---|---|---|---|
| Water-Repelling Reagent (g) | Nanofiller (g) | Antistatic Reagent (g) | Anti-Mold and Anti-Algae Reagent (g) | Levelling Reagent (g) | Wetting and Dispersing Reagent (g) | |
| 1 | 0.3 | 2 | 1 | 0.3 | 0.3 | 0.3 |
| 2 | 0.6 | 4 | 2 | 0.6 | 0.6 | 0.6 |
| 3 | 0.9 | 6 | 3 | 0.9 | 0.9 | 0.9 |
| Sample No. | A | B | C | D | E | F |
|---|---|---|---|---|---|---|
| Water-Repelling Reagent (g) | Nanofiller (g) | Antistatic Reagent (g) | Anti-Mold and Anti-Algae Reagent (g) | Levelling Reagent (g) | Wetting and Dispersing Reagent (g) | |
| 1 | 0.3 | 4 | 3 | 0.9 | 0.9 | 0.6 |
| 2 | 0.6 | 6 | 1 | 0.6 | 0.9 | 0.3 |
| 3 | 0.6 | 4 | 3 | 0.6 | 0.6 | 0.3 |
| 4 | 0.9 | 4 | 2 | 0.6 | 0.3 | 0.9 |
| 5 | 0.3 | 6 | 1 | 0.9 | 0.6 | 0.9 |
| 6 | 0.3 | 6 | 3 | 0.6 | 0.3 | 0.9 |
| 7 | 0.9 | 6 | 2 | 0.9 | 0.9 | 0.3 |
| 8 | 0.9 | 2 | 1 | 0.6 | 0.6 | 0.6 |
| 9 | 0.9 | 2 | 3 | 0.9 | 0.3 | 0.3 |
| 10 | 0.6 | 4 | 1 | 0.9 | 0.3 | 0.6 |
| 11 | 0.9 | 4 | 1 | 0.3 | 0.9 | 0.9 |
| 12 | 0.3 | 2 | 1 | 0.3 | 0.3 | 0.3 |
| 13 | 0.3 | 2 | 2 | 0.6 | 0.9 | 0.6 |
| 14 | 0.9 | 6 | 3 | 0.3 | 0.6 | 0.6 |
| 15 | 0.6 | 2 | 3 | 0.3 | 0.9 | 0.9 |
| 16 | 0.6 | 6 | 2 | 0.3 | 0.3 | 0.6 |
| 17 | 0.3 | 4 | 2 | 0.3 | 0.6 | 0.3 |
| 18 | 0.6 | 2 | 2 | 0.9 | 0.6 | 0.9 |
| Liquid | ||||
|---|---|---|---|---|
| Water | 72.8 | 21.8 | 25.5 | 25.5 |
| Formamide | 58.0 | 39.0 | 2.28 | 39.6 |
| Diiodomethane | 50.8 | 50.8 | ≈0 | ≈0 |
| Sample | Contact Angle (°) | Surface Energy (γ/mJ·m−2) | ||
|---|---|---|---|---|
| Water | Formamide | Diiodomethane | ||
| 1 | 110 | 94 | 67 | 26.40 |
| 2 | 121 | 87 | 73 | 22.88 |
| 3 | 117 | 90 | 73 | 21.36 |
| 4 | 122 | 93 | 77 | 19.51 |
| 5 | 105 | 84 | 69 | 23.59 |
| 6 | 101 | 82 | 68 | 24.24 |
| 7 | 124 | 97 | 78 | 18.59 |
| 8 | 118 | 90 | 70 | 22.88 |
| 9 | 118 | 90 | 74 | 20.98 |
| 10 | 112 | 88 | 70 | 22.87 |
| 11 | 100 | 85 | 70 | 23.33 |
| 12 | 95 | 80 | 65 | 26.10 |
| 13 | 102 | 93 | 71 | 26.01 |
| 14 | 125 | 97 | 79 | 19.83 |
| 15 | 114 | 91 | 72 | 21.78 |
| 16 | 116 | 91 | 72 | 21.78 |
| 17 | 105 | 94 | 70 | 26.12 |
| 18 | 108 | 95 | 73 | 23.23 |
| Horizontal Mean | A | B | C | D | E | F |
|---|---|---|---|---|---|---|
| Water-Repelling Reagent (g) | Nanofiller (g) | Antistatic Reagent (g) | Anti-Mold and Anti-Algae Reagent | Levelling Reagent | Wetting and Dispersing Reagent | |
| Mean 1 | 25.41036 | 23.49698 | 23.60835 | 23.1578 | 22.57994 | 22.67107 |
| Mean 2 | 22.31752 | 23.26494 | 22.54105 | 22.81377 | 22.83516 | 23.29596 |
| Mean 3 | 20.85295 | 21.81891 | 22.43144 | 22.60926 | 23.16573 | 22.61379 |
| Range | 4.557 | 1.678 | 1.177 | 0.549 | 0.586 | 0.682 |
| / | Contact Angle (°) | Surface Energy (γ/mJ·m−2) | |||||
|---|---|---|---|---|---|---|---|
| Water | Formamide | Diiodomethane | |||||
| OFAC | 136 | 102 | 85 | 15.01 | 0.06 | 3.22 | 15.86 |
Disclaimer/Publisher’s Note: The statements, opinions and data contained in all publications are solely those of the individual author(s) and contributor(s) and not of MDPI and/or the editor(s). MDPI and/or the editor(s) disclaim responsibility for any injury to people or property resulting from any ideas, methods, instructions or products referred to in the content. |
© 2024 by the authors. Licensee MDPI, Basel, Switzerland. This article is an open access article distributed under the terms and conditions of the Creative Commons Attribution (CC BY) license (https://creativecommons.org/licenses/by/4.0/).
Share and Cite
Pan, S.; Ouyang, Y.; Zhao, Y.; Wang, Q.; Qian, Y.; He, C. Optimization of a Low Surface Energy Coating for Enhanced Water Resistance and Condensation Suppression. Materials 2024, 17, 5238. https://doi.org/10.3390/ma17215238
Pan S, Ouyang Y, Zhao Y, Wang Q, Qian Y, He C. Optimization of a Low Surface Energy Coating for Enhanced Water Resistance and Condensation Suppression. Materials. 2024; 17(21):5238. https://doi.org/10.3390/ma17215238
Chicago/Turabian StylePan, Siwei, Yanwen Ouyang, Yaohong Zhao, Qing Wang, Yihua Qian, and Chunqing He. 2024. "Optimization of a Low Surface Energy Coating for Enhanced Water Resistance and Condensation Suppression" Materials 17, no. 21: 5238. https://doi.org/10.3390/ma17215238
APA StylePan, S., Ouyang, Y., Zhao, Y., Wang, Q., Qian, Y., & He, C. (2024). Optimization of a Low Surface Energy Coating for Enhanced Water Resistance and Condensation Suppression. Materials, 17(21), 5238. https://doi.org/10.3390/ma17215238

