Al Alloy Melting Behavior and Interfacial Reactions with Steel Under Natural Convection
Abstract
1. Introduction
2. Experiments
3. Results and Discussion
3.1. Heat Transfer Mechanism of Al Alloy during Melting Process
3.1.1. Morphological Change in Al Bars
3.1.2. Heat Transfer Mechanism in Different Aluminum Alloy Melting Processes
3.1.3. Melting Boundary Condition of Al Bars
3.2. Mass Transfer Mechanism of Al Alloy during Melting Process
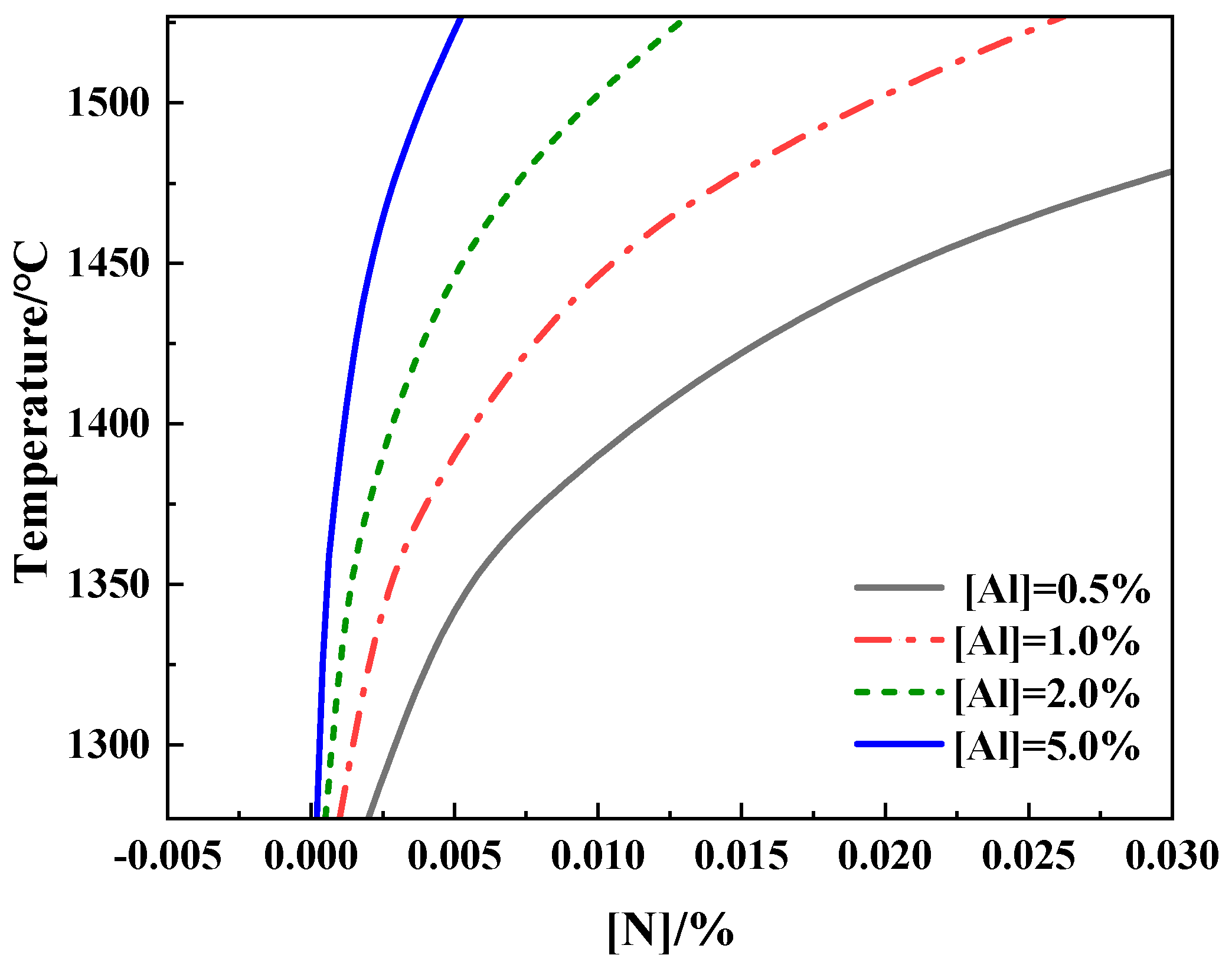
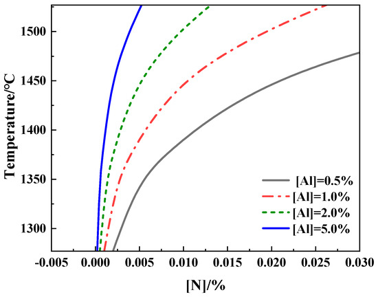
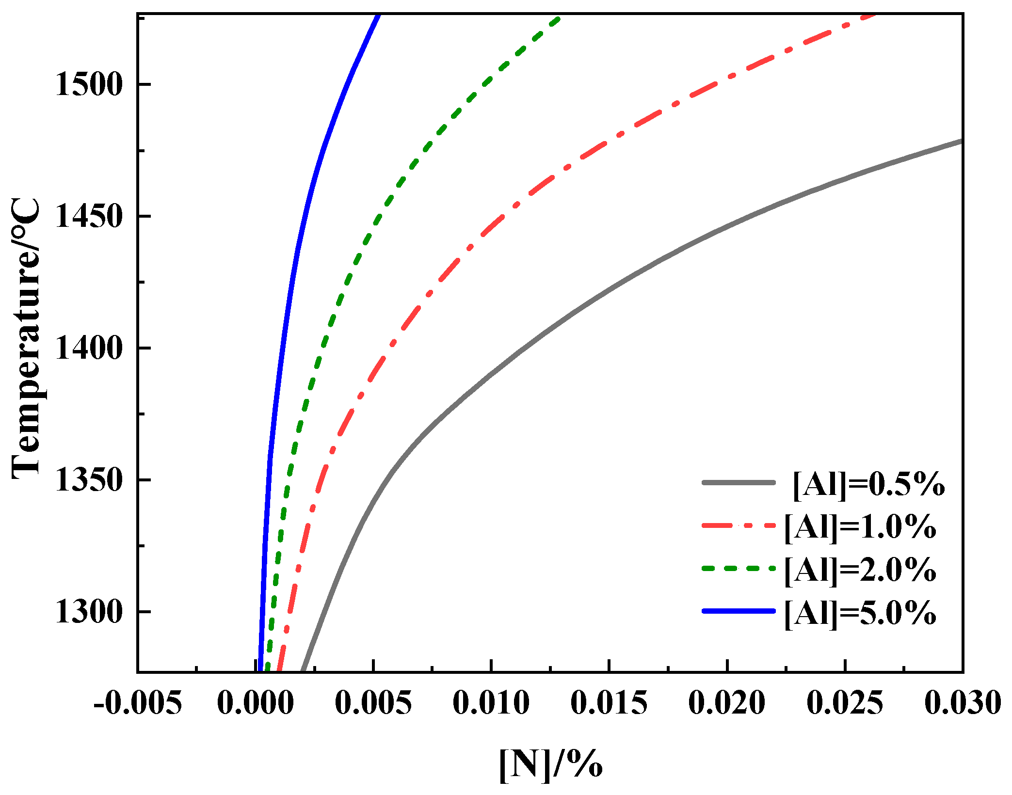
3.3. Formation of Unstable AlN Inclusions in Melting Process
4. Conclusions
- There are two routes through which the Al alloy melting process can occur. The first one has three steps: the formation of a solidified layer, the latter’s rapid melting, and Al alloy normal melting. Due to the large temperature difference and low melting point of Al, Al alloy is to be preferred for melting to occur in the inward direction. The surrounding liquid Fe cannot provide enough heat to the solid Al bar in transient time, so it turns into solid phase to release latent heat. In the second route, a solidified layer forms, the Al bar partly melts, the solidified steel layer further increases in thickness to release latent heat, and the Al bar and the solidified steel layer finally dissolve at the same time.
- Mass transfer was investigated in this study. A thin carburized layer formed at the Fe–Al interface due to the mass transfer of carbon, which diffused from molten steel to the Al bar surface even though only 0.129% [C] was contained in the molten steel. An FeAl layer was found at the Al–Fe contact interface, and the diffusion layer was composed of Fe (Al)-FeAl-FeAl2-Fe2Al5-Al along the direction of the Al-rich matrix.
- Different kinds of inclusions of various sizes could also be seen in the Al–Fe interaction area. Some FexO inclusions were generated in the solidified steel layer at the initial contact time. Afterwards, due to local turbulence, molten steel, which contained dissolved O and N, came into contact with the Al bar; hence, small-sized Al2O3-type and AlN-type inclusions were generated in the Al-rich zone. Some large-sized Al2O3 inclusions formed at the interface between Fe and Fe-Al because newly melted [Al] reacted with the previously formed (FexO) inclusions. Finally, the unstable AlN inclusions disappeared because the [Al] and [N] contents did not meet the equilibrium condition with the constant increase in the inner temperature of the Al bar.
Author Contributions
Funding
Institutional Review Board Statement
Informed Consent Statement
Data Availability Statement
Conflicts of Interest
References
- Lee, Y.K.; Han, J. Current opinion in medium manganese steel. Mater. Sci. Technol. MST Publ. Inst. Met. 2015, 31, 843–856. [Google Scholar] [CrossRef]
- Hu, B.; Luo, H.; Yang, F.; Dong, H. Recent progress in medium-Mn steels made with new designing strategies, a review. J. Mater. Sci. Technol. 2017, 33, 1457–1464. [Google Scholar] [CrossRef]
- Cai, Z.H.; Cai, B.; Ding, H.; Chen, Y.; Misra, R.D. Microstructure and deformation behavior of the hot-rolled medium manganese steels with varying aluminum content. Mater. Sci. Eng. A. Struct. Mater. Prop. Microstruct. Process. 2016, 676, 263. [Google Scholar] [CrossRef]
- Kawakami, M.; Takatani, K.; Brabie, L. Heat and mass transfer analysis of scrap melting in steel bath. Tetsu-to-Hagane 1999, 85, 658–665. [Google Scholar] [CrossRef] [PubMed]
- Sun, H.; Liu, Y.; Lin, C. Experimental Observation of Spherical Scrap Melting in Hot Metal; International Congress on the Science &Technology of Steelmaking, Beijing International Convention Center: Beijing, China, 2015; pp. 136–139. [Google Scholar]
- Kim, Y.; Pehlke, R. Mass transfer during dissolution of a solid into liquid in the iron–carbon system. Metall. Trans. 1974, 5, 2527–2532. [Google Scholar] [CrossRef]
- Kosaka, M.; Minowa, S. Dissolution of steel cylinder into liquid Fe–C alloy. Tetsu-to-Hagane 1967, 53, 983–997. [Google Scholar] [CrossRef]
- Gao, M.; Yang, S.; Zhang, Y. Experimental study on mass transfer during scrap melting in the steelmaking process. Ironmak. Steelmak. 2020, 47, 1006–1014. [Google Scholar] [CrossRef]
- Yan, K.; Cheng, S.; Zhang, P. Motion and melting of Al block during the RH deoxidation process. Chin. J. Eng. 2016, 68, 20–26. [Google Scholar]
- Sanyal, S.; JK, S.; Chandra, S.; Bhanu, C. Model based optimization of aluminum wire injection in steel melts. ISIJ Int. 2006, 46, 779–781. [Google Scholar] [CrossRef][Green Version]
- Van Ende, M.; Guo, M.; Proost, J.; Blanpain, B.; Wollants, P. Formation and Morphology of Al2O3 Inclusions at the Onset of Liquid Fe Deoxidation by Al Addition. ISIJ Int. 2011, 51, 27–34. [Google Scholar] [CrossRef]
- Alba, M.; Nabeel, M.; Dogan, N. Effect of aluminium content on the formation of inclusions in Fe–5Mn–xAl steels. Ironmak. Steelmak. 2020, 48, 379–386. [Google Scholar] [CrossRef]
- Jang, J.; Paek, M.; Pak, J. Thermodynamics of Nitrogen Solubility and AlN Formation in Multi-Component High Mn Steel Melts. ISIJ Int. 2017, 57, 1821–1830. [Google Scholar] [CrossRef]
- Sismanis, P.; Argyropoulos, S. Modelling of exothermic dissolution. Can. Metall. Q. 1988, 27, 123. [Google Scholar] [CrossRef]
- Goudie, N.; Argyropoulos, S. Technique for the estimation of thermal resistance at solid metal interfaces formed during solidification and melting. Can. Metall. Q. 1995, 34, 73–84. [Google Scholar] [CrossRef]
- Yang, W.; Jiang, X.; Li, L.; Peng, X.; Wang, M.; Shi, X. Thermal simulation experiments on scrap melting. Iron Steel 2017, 52, 27–35. [Google Scholar]
- Shukla, A.; Brahma, D.; Robertson, D. Scrap dissolution in molten iron containing carbon for the case of coupled heat and mass transfer control. Metall. Mater. Trans. B 2013, 44, 1407–1427. [Google Scholar] [CrossRef]
- Penz, F.; Schenk, J.; Ammer, R. Diffusive Steel Scrap Melting in Carbon-Saturated Hot Metal—Phenomenological Investigation at the Solid—Liquid Interface. Materials 2019, 12, 1358. [Google Scholar] [CrossRef]
- Dakre, V.; Peshwe, D.R.; Pathak, S.U.; Likhite, A. Effect of austenitization temperature on microstructure and mechanical properties of low carbon equivalent carbidic austempered ductile iron. Int. J. Miner. Metall. Mater. 2018, 25, 770–778. [Google Scholar] [CrossRef]
- Gao, M.; Gao, J.; Zhang, Y.; Yang, S. Simulation on scrap melting behavior and carbon diffusion under natural convection. Int. J. Miner. Metall. Mater. 2021, 28, 380–389. [Google Scholar] [CrossRef]
- Van Ende, M.; Guo, M.; Peoost, J. Interfacial Reactions between Oxygen Containing Fe and Al at the Onset of Liquid Fe Deoxidation by Al Addition. ISIJ Int. 2010, 50, 1552–1559. [Google Scholar] [CrossRef][Green Version]
- Paek, M.K.; Jang, J.M.; Kang, H.J.; Pak, J.J. Reassessment of AlN (s) = Al + N equilibration in liquid iron. ISIJ Int. 2013, 53, 535–537. [Google Scholar] [CrossRef]
- Paek, M.K.; Jang, J.M.; Jiang, M.; Pak, J.J. Thermodynamics of AlN formation in high manganese-aluminum alloyed liquid steel. ISIJ Int. 2013, 53, 973. [Google Scholar] [CrossRef]
- Paek, M.K.; Jang, J.M.; Do, K.H.; Pak, J.J. Nitrogen solubility in high manganese-aluminum alloyed liquid steels. Metall. Mater. Int. 2013, 19, 1077. [Google Scholar] [CrossRef]
- Kim, D.H.; Jung, M.S.; Nam, H.; Paek, M.K.; Pak, J.J. Thermodynamic relation between silicon and aluminum in liquid iron. Metall. Mater. Trans. B 2012, 43, 1106–1112. [Google Scholar] [CrossRef]
- Shin, J.H.; Lee, J.; Min, D.J.; Park, J.H. Solubility of nitrogen in high manganese steel (HMnS) melts: Interaction parameter between Mn and N. Metall. Mater. Trans. B 2011, 42, 1081–1085. [Google Scholar] [CrossRef]
- Jang, J.M.; Seo, S.H.; Kim, Y.D.; An, H.J.; Pak, J.J. Effect of carbon on nitrogen solubility and AlN formation in high Al alloyed liquid steels. ISIJ Int. 2014, 54, 1578–1583. [Google Scholar] [CrossRef]
- Jang, J.M.; Seo, S.H.; Jiang, M.; Paek, M.K.; Wang, X.; Pak, J.J. Nitrogen solubility in liquid Fe- C alloys. ISIJ Int. 2014, 54, 32–36. [Google Scholar] [CrossRef]
- Liu, H.B.; Liu, J.H.; Shen, S.B.; Wu, B.; Ding, H.; Su, X. Influence of Al content on the characteristics of non-metallic inclusions and precipitation behaviors of Al N inclusions in TWIP steel. Chin. J. Eng. 2017, 39, 1008–1019. [Google Scholar]












| C | Mn | Si | P | S | Al | Fe | Ca | Mg | O | N | |
|---|---|---|---|---|---|---|---|---|---|---|---|
| Steel | 0.129 | 1.59 | 0.35 | 0.0043 | 0.0030 | 0.018 | 97.7 | <0.0005 | <0.0005 | 0.0012 | 0.0029 |
| Al | -- | -- | 0.1 | -- | -- | 99.7 | 0.2 | -- | -- | -- | -- |
Disclaimer/Publisher’s Note: The statements, opinions and data contained in all publications are solely those of the individual author(s) and contributor(s) and not of MDPI and/or the editor(s). MDPI and/or the editor(s) disclaim responsibility for any injury to people or property resulting from any ideas, methods, instructions or products referred to in the content. |
© 2024 by the authors. Licensee MDPI, Basel, Switzerland. This article is an open access article distributed under the terms and conditions of the Creative Commons Attribution (CC BY) license (https://creativecommons.org/licenses/by/4.0/).
Share and Cite
Song, S.-y.; Li, J. Al Alloy Melting Behavior and Interfacial Reactions with Steel Under Natural Convection. Materials 2024, 17, 5140. https://doi.org/10.3390/ma17215140
Song S-y, Li J. Al Alloy Melting Behavior and Interfacial Reactions with Steel Under Natural Convection. Materials. 2024; 17(21):5140. https://doi.org/10.3390/ma17215140
Chicago/Turabian StyleSong, Shen-yang, and Jing Li. 2024. "Al Alloy Melting Behavior and Interfacial Reactions with Steel Under Natural Convection" Materials 17, no. 21: 5140. https://doi.org/10.3390/ma17215140
APA StyleSong, S.-y., & Li, J. (2024). Al Alloy Melting Behavior and Interfacial Reactions with Steel Under Natural Convection. Materials, 17(21), 5140. https://doi.org/10.3390/ma17215140
