Experimental Analysis of Moisture-Dependent Thermal Conductivity, and Hygric Properties of Novel Hemp–shive Insulations with Numerical Assessment of Their In-Built Hygrothermal and Energy Performance
Abstract
1. Introduction
2. Materials and Methods
2.1. Material
2.2. Method
2.2.1. Determination of Adsorption Isotherm
2.2.2. Thermal Conductivity
2.2.3. Determination of Vapour Diffusion Resistance Factor
2.2.4. Determination of Water Absorption Coefficient
2.2.5. Calculation of Porosity
2.2.6. Comparison of Energy Use in a Simplified Building following Bestest Configuration
2.2.7. Sensors and Equipment
3. Results and Discussion
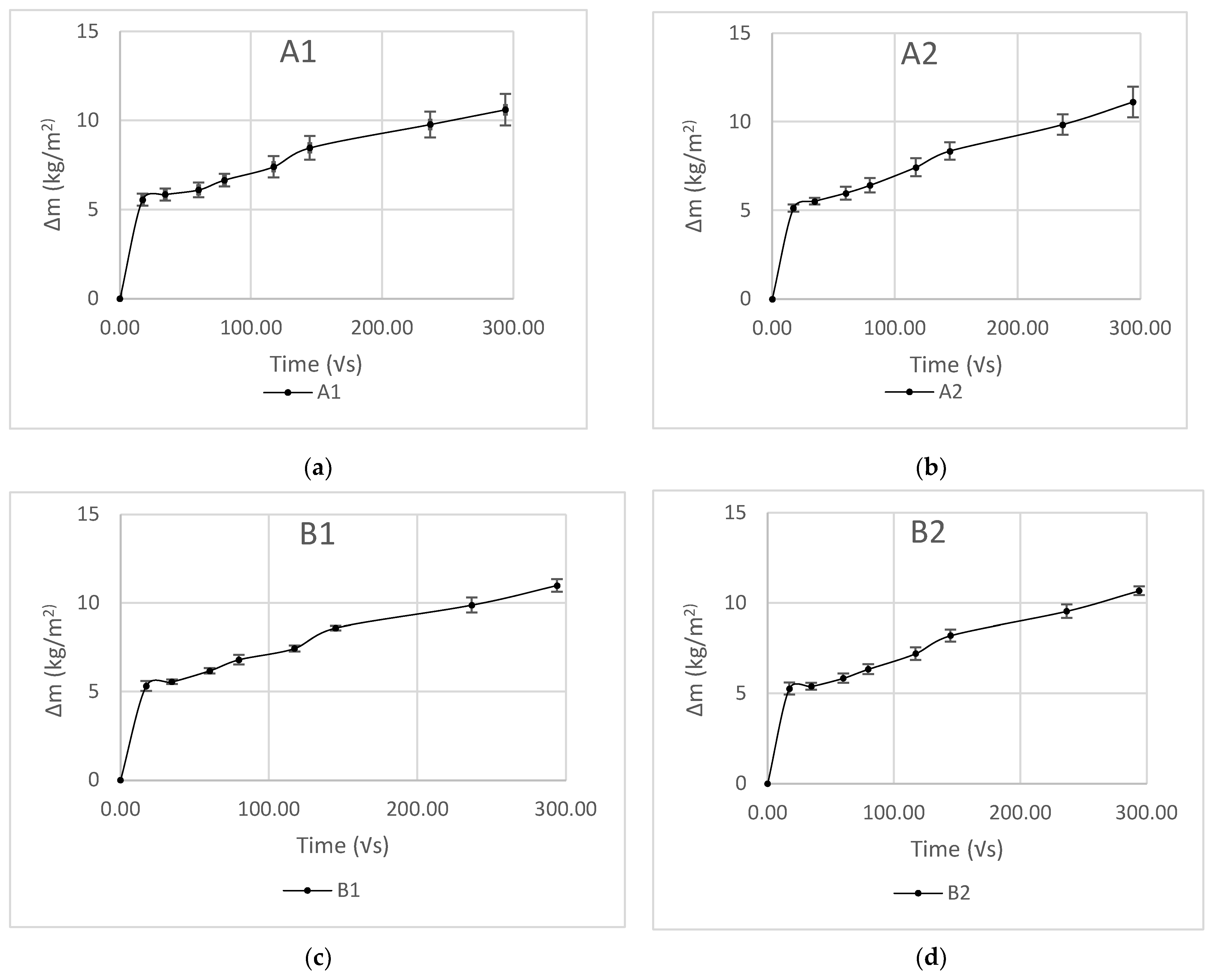
3.1. Adsorption Isotherm
3.2. Thermal Conductivity
3.3. Vapour Diffusion Resistance Factor
3.4. Water Absorption Coefficient
3.5. Porosity
3.6. Hygrothermal Whole-Building Simulation
4. Conclusions
Funding
Data Availability Statement
Conflicts of Interest
References
- Standard, UK Net Zero Carbon Building. “Uk Net Zero Carbon Building Standard. Technical Update & Consultation”. 14 June 2023. Available online: https://www.nzcbuildings.co.uk/ (accessed on 20 September 2023).
- Akhimien, N.G.; Latif, E.; Hou, S.S. Application of Circular Economy Principles in Buildings: A Systematic Review. J. Build. Eng. 2021, 38, 102041. [Google Scholar] [CrossRef]
- Khadim, N.; Agliata, R.; Thaheem, M.J.; Mollo, L. Whole Building Circularity Indicator: A Circular Economy Assessment Framework for Promoting Circularity and Sustainability in Buildings and Construction. J. Affect. Disord. 2023, 241, 110498. [Google Scholar] [CrossRef]
- European Commission. In Focus: Energy Efficiency in Buildings. European Commission. Available online: https://commission.europa.eu/news/focus-energy-efficiency-buildings-2020-02-17_en (accessed on 1 July 2023).
- Department for Business, Energy and Industrial Strategy (BEIS). UK Energy in Brief 2022; Department for Business, Energy and Industrial Strategy (BEIS): London, UK, 2022. [Google Scholar]
- Envoys, Energy. Energy Tutorial: Energy and Sustainability. What’s Energy Used For? Available online: http://www.energyenvoys.org.uk/ (accessed on 15 September 2023).
- Stefanowski, B.; Curling, S.; Ormondroyd, G. Assessment of Lignocellulosic Nut Wastes as an Absorbent for Gaseous Formaldehyde. Ind. Crops Prod. 2017, 98, 25–28. [Google Scholar] [CrossRef][Green Version]
- van der Werf, H.M.G. Agronomy and Crop Physiology of Fibre Hemp: A Literature Review; Center for Agrobiological Research (CABO-DLO): Wageningen, Netherlands, 1991. [Google Scholar]
- Reddy, B.V.; Jagadish, K.S. Embodied Energy of Common and Alternative Building Materials and Technologies. Energy Build. 2003, 35, 129–137. [Google Scholar] [CrossRef]
- Lecompte, T.; Levasseur, A.; Maxime, D. Lime and Hemp Concrete LCA: A Dynamic Approach of GHG Emissions and Capture. Acad. J. Civ. Eng. 2017, 35, 513–521. [Google Scholar]
- Latif, E.; Lawrence, M.; Shea, A.; Walker, P. Moisture Buffer Potential of Experimental Wall Assemblies Incorporating Formulated Hemp-Lime. J. Affect. Disord. 2015, 93, 199–209. [Google Scholar] [CrossRef]
- Moletti, C.; Aversa, P.; Losini, A.; Dotelli, G.; Woloszyn, M.; Luprano, V. Hygrothermal Behaviour of Hemp-Lime Walls: The Effect of Binder Carbonation over Time. J. Affect. Disord. 2023, 233, 110129. [Google Scholar] [CrossRef]
- Collet, F.; Pretot, S. Thermal Conductivity of Hemp Concretes: Variation with Formulation, Density and Water Content. Constr. Build. Mater. 2014, 65, 612–619. [Google Scholar] [CrossRef]
- Collet, F.; Pretot, S. Experimental Investigation of Moisture Buffering Capacity of Sprayed Hemp Concrete. Constr. Build. Mater. 2012, 36, 58–65. [Google Scholar] [CrossRef]
- Shea, A.; Lawrence, M.; Walker, P. Hygrothermal Performance of an Experimental Hemp–Lime Building. Constr. Build. Mater. 2012, 36, 270–275. [Google Scholar] [CrossRef]
- Rachel, B.; Woolley, T. Hemp Lime Construction: A Guide to Building with Hemp Lime Composites; IHS BRE Press: Bracknell, UK, 2008. [Google Scholar]
- Andy, S.; Black, D.; Walker, P. Hemp Lime: An Introduction to Low Impact Building Materials; Building Research Establishment, Ed.; IHS BRE Press: Garston, UK, 2011. [Google Scholar]
- Haik, R.; Bar-Nes, G.; Peled, A.; Meir, I. Alternative Unfired Binders as Lime Replacement in Hemp Concrete. Constr. Build. Mater. 2020, 241, 117981. [Google Scholar] [CrossRef]
- Gacoin, A.; Li, A. Optimal Composition of a Starch-Hemp Agro-Composite Materials. Constr. Build. Mater. 2023, 400, 132711. [Google Scholar] [CrossRef]
- Haik, R.; Peled, A.; Meir, I. The Thermal Performance of Lime Hemp Concrete (LHC) with Alternative Binders. Energy Build. 2020, 210, 109740. [Google Scholar] [CrossRef]
- Bragaglia, M.; Mariani, M.; Sergi, C.; Sarasini, F.; Tirillò, J.; Nanni, F. Polylactic Acid as Biobased Binder for the Production of 3D Printing Filaments for Ti6Al4V Alloy Manufacturing via Bound Metal Deposition. J. Mater. Res. Technol. 2023, 27, 168–181. [Google Scholar] [CrossRef]
- Wennman, M.; Hellberg, M.; Svagan, A.J.; Hedenqvist, M.S. A Biobased Binder of Emulsion Type That Provides Unique and Durable Wet Strength and Hydrophobicity to Paper and Nonwoven. Ind. Crops Prod. 2023, 193, 116126. [Google Scholar] [CrossRef]
- Wennman, M.; Pinon, A.C.; Svagan, A.J.; Hellberg, M.; Hedenqvist, M.S. A Biobased Binder of Carboxymethyl Cellulose, Citric Acid, Chitosan and Wheat Gluten for Nonwoven and Paper. Carbohydr. Polym. 2024, 323, 121430. [Google Scholar] [CrossRef] [PubMed]
- Odiyi, D.; Sharif, T.; Choudhry, R.; Mallik, S.; Shah, S. A Review of Advancements in Synthesis, Manufacturing and Properties of Environment Friendly Biobased Polyfurfuryl Alcohol Resin and Its Composites. Compos. Part B Eng. 2023, 267, 111034. [Google Scholar] [CrossRef]
- Laurichesse, S.; Avérous, L. Chemical Modification of Lignins: Towards Biobased Polymers. Prog. Polym. Sci. 2014, 39, 1266–1290. [Google Scholar] [CrossRef]
- Van Nieuwenhove, I.; Renders, T.; Lauwaert, J.; De Roo, T.; De Clercq, J.; Verberckmoes, A. Biobased Resins Using Lignin and Glyoxal. ACS Sustain. Chem. Eng. 2020, 8, 18789–18809. [Google Scholar] [CrossRef]
- Alsalman, A.; Assi, L.N.; Kareem, R.S.; Carter, K.; Ziehl, P. Energy and CO2 Emission Assessments of Alkali-Activated Concrete and Ordinary Portland Cement Concrete: A Comparative Analysis of Different Grades of Concrete. Clean. Environ. Syst. 2021, 3, 100047. [Google Scholar] [CrossRef]
- Fawer, M.; Concannon, M.; Rieber, W. Life Cycle Inventories for the Production of Sodium Silicates. Int. J. Life Cycle Assess. 1999, 4, 207–212. [Google Scholar] [CrossRef]
- Hanafi, M.; Ekinci, A.; Aydin, E. Triple-Binder-Stabilized Marine Deposit Clay for Better Sustainability. Sustainability 2020, 12, 4633. [Google Scholar] [CrossRef]
- UN-HABITAT. Energy for Building Improving Energy Efficiency in Construction and in the Production of Building Materials in Developing Countries; Journal United Nations Centre for Human Settlements: Nairobi, Kenya, 1991. [Google Scholar]
- Andreola, F.; Barbieri, L.; Lancellotti, I. The Environmental Friendly Route to Obtain Sodium Silicate Solution from Rice Husk Ash: A Comparative Study with Commercial Silicates Deflocculating Agents. Waste Biomass-Valorization 2019, 11, 6295–6305. [Google Scholar] [CrossRef]
- Handayani, L.; Aprilia, S.; Abdullah; Rahmawati, C.; Aulia, T.B.; Ludvig, P.; Ahmad, J. Sodium Silicate from Rice Husk Ash and Their Effects as Geopolymer Cement. Polymers 2022, 14, 2920. [Google Scholar] [CrossRef] [PubMed]
- European Commission. Market Development of a Bio-Based Pre-Fabricated Construction System Which Significantly Reduces Both Embodied Carbon and in-Use Energy Consumption (Hempsec). Available online: https://ec.europa.eu/info/funding-tenders/opportunities/portal/screen/how-to-participate/org-details/952866503/project/332972/program/31005240/details (accessed on 16 October 2023).
- Yu, Z.; Wan, Y.; Qin, Y.; Jiang, Q.; Guan, J.-P.; Cheng, X.-W.; Wang, X.; Ouyang, S.; Qu, X.; Zhu, Z.; et al. High Fire Safety Thermal Protective Composite Aerogel with Efficient Thermal Insulation and Reversible Fire Warning Performance for Firefighting Clothing. Chem. Eng. J. 2023, 477, 147187. [Google Scholar] [CrossRef]
- BS EN ISO 12571:2021; Hygrothermal Performance of Building Materials and Products—Determination of Hygroscopic Sorption Properties. BSI Standards Limited: London, UK, 2021.
- ASTM C518-15; Standard Test Method for Steady-State Thermal Transmission Properties by Means of the Heat Flow Meter Apparatus. ASTM International: West Conshohocken, PA, USA, 2015.
- ISO 8301:1991; Thermal Insulation. Determination of Steady-State Thermal Resistance and Related Properties Heat Flow Meter Apparatus. ISO: Geneva, Switzerland, 2019.
- ASTM D5334-08; Standard Test Method for Determination of Thermal Conductivity of Soil and Soft Rock by Thermal Needle Probe Procedure D-5334-08. ASTM International: West Conshohocken, PA, USA, 2008.
- BS EN ISO 12086:2013; Thermal Insulating Products for Building Applications. Determination of Water Vapour Transmission Properties. BSI Standards Limited: London, UK, 2013.
- BS EN ISO 15148:2002+A1:2016; Hygrothermal Performance of Building Materials and Products—Determination of Water Absorption Coefficient by Partial Immersion. BSI Standards Limited: London, UK, 2016.
- Steve, C. Petrophysics: A Practical Guide, 1st ed.; Wiley Blackwell: Chichester, UK, 2015. [Google Scholar]
- Ron, J.; Neymark, J. The Bestest Method for Evaluating and Diagnosing Building Energy Software; AIVC Publications: Ghent, Belgium, 1998. [Google Scholar]
- Latif, E.; Bevan, R.; Woolley, T. Thermal Insulation Materials for Building Applications; Thomas Telford Ltd.: London, UK, 2019; ISBN 0727763512. [Google Scholar]
- Latif, E.; Tucker, S.; Ciupala, M.A.; Wijeyesekera, D.C.; Newport, D. Hygric Properties of Hemp Bio-Insulations with Differing Compositions. Constr. Build. Mater. 2014, 66, 702–711. [Google Scholar] [CrossRef]
- Pundiene, I.; Vitola, L.; Pranckeviciene, J.; Bajare, D. Hemp Shive-Based Bio-Composites Bounded by Potato Starch Binder: The Roles of Aggregate Particle Size and Aspect Ratio. J. Ecol. Eng. 2022, 23, 220–234. [Google Scholar] [CrossRef]
- BS EN ISO 10456:2007; Building Materials and Products. Hygrothermal Properties. Tabulated Design Values and Procedures for Determining Declared and Design Thermal Value. BSI Standards Limited: London, UK, 2007.
- Ruus, A.; Koosapoeg, T.; Pau, M.; Kalamees, T.; Põldaru, M. Influence of Production on Hemp Concrete Hygrothermal Properties: Sorption, Water Vapour Permeability and Water Absorption. J. Phys. Conf. Ser. 2021, 2069, 012004. [Google Scholar] [CrossRef]
- Gradinaru, C.M.; Barbuta, M.; Ciocan, V.; Antohie, E.; Babor, D. The Effects of Sodium Silicate on Corn Cob Aggregates and on the Concrete Obtained with These Agricultural Waste. IOP Conf. Ser. Mater. Sci. Eng. 2018, 399, 012021. [Google Scholar] [CrossRef]
- Jiang, Y.; Lawrence, M.; Ansell, M.P.; Hussain, A. Cell Wall Microstructure, Pore Size Distribution and Absolute Density of Hemp Shiv. R. Soc. Open Sci. 2018, 5, 171945. [Google Scholar] [CrossRef]
- De Ligne, L.; Van Acker, J.; Baetens, J.M.; Omar, S.; De Baets, B.; Thygesen, L.G.; Bulcke, J.V.D.; Thybring, E.E. Moisture Dynamics of Wood-Based Panels and Wood Fibre Insulation Materials. Front. Plant Sci. 2022, 13, 951175. [Google Scholar] [CrossRef] [PubMed]


















| Name | Dimension (±2 mm) | Buk Density (kg/m3) | Constituents | Binder-to-Shive Ratio by Mass | Addition of Tributyl Ester |
|---|---|---|---|---|---|
| A1 (3 samples) | 150 × 150 × 50 | 202 | Hemp–shive, binder | 1.5:1 | N/A |
| A2 (3 samples) | 150 × 150 × 50 | 207 | Hemp–shive, binder | 1.5:1 | 10% by mass added to the binder |
| B1 (3 samples) | 150 × 150 × 50 | 229 | Hemp–shive, binder | 1.75:1 | N/A |
| B2 (3 samples) | 150 × 150 × 50 | 225 | Hemp–shive, binder | 1.75:1 | 10% by mass added to the binder |
| Layers | Material | Thermal Conductivity (W/m.K) | Thickness (mm) | U Value of the Assembly (W/m2.K) | |
|---|---|---|---|---|---|
| Hemp–lime wall assembly | Layer 1 (outside) | Hydraulic lime | 0.8 | 15 | 0.15 |
| Layer 2 | Hemp–lime | 0.07 | 450 | ||
| Layer 3 (inside) | Hydraulic lime | 0.8 | 15 | ||
| Hemp–shive wall assembly | Layer 1 (outside) | Hydraulic lime | 0.8 | 15 | 0.15 |
| Layer 2 | Hemp–shive | 0.063 | 408 | ||
| Layer 3 (inside) | Hydraulic lime | 0.8 | 15 | ||
| Roof assembly | Layer 1 (outside) | Wood fibre board | 0.044 | 400 | 0.11 |
| Layer 2 | Gypsum plaster | 0.2 | 10 | ||
| Floor assembly | Layer 1 (top) | Concrete screed | 1.6 | 150 | 0.15 |
| Layer 2 | Mineral wool | 0.035 | 224 | ||
| Layer 3 | Vapour retarder | 2.3 | 1 | ||
| Layer 4 | Concrete | 1.6 | 40 | ||
| Window (Solar transmission factor: 0.59) | Layer 1 (outside) | Glass | - | 4 | 0.8 |
| Layer 2 | Argon (90%) | - | 16 | ||
| Layer 3 | Glass | - | 4 | ||
| Layer 4 | Argon | - | 16 | ||
| Layer 5 (inside) | Glass (90%) | - | 4 |
| Temperature Setpoint (°C) | Relative Humidity Setpoint (%) | Ventilation Rate (1/h) | Infiltration Rate (1/h) | Initial CO2 Concentration (ppmv) |
|---|---|---|---|---|
| 20 | 40 | 0.5 | 0.6 | 3000 |
| Bulk Density at 23 °C and 0% RH (kg/m3) | Thermal Conductivity at 0% RH (W/m.K) | Thermal Conductivity at 23 °C and 95% RH (W/m.K) | Thermal Conductivity at 23 °C and 98% RH (W/m.K) | Specific Heat Capacity (J/kg.°C) | Porosity (-) | Vapour Diffusion Resistance Factor, Dry Cup (-) | Water Absorption Coefficient (kg/m2.√s) | |
|---|---|---|---|---|---|---|---|---|
| Hemp–shive | 185 | 0.063 | - | 0.13 | 1880 | 0.8 | 6.1 | 0.018 |
| Hemp–lime | 240 | 0.07 | 0.125 | - | 2000 | 0.85 | 2.9 | 0.08 |
| Sample | Fm | e | fu | u2 | u1 | λ2 |
|---|---|---|---|---|---|---|
| A1 | 2.37 | 2.718 | 0.865 | 1.00 | 0 | 0.130 |
| A2 | 1.80 | 2.718 | 0.69 | 0.85 | 0 | 0.106 |
| B1 | 2.79 | 2.718 | 1.415 | 0.73 | 0 | 0.155 |
| B2 | 2.16 | 2.718 | 1.06 | 0.73 | 0 | 0.133 |
| Sample | Fm | e | fψ | ψ2 | ψ1 | λ2 |
|---|---|---|---|---|---|---|
| A1 | 2.385 | 2.718 | 4.700 | 0.185 | 0 | 0.130 |
| A2 | 1.830 | 2.718 | 3.700 | 0.163 | 0 | 0.106 |
| B1 | 2.776 | 2.718 | 6.700 | 0.152 | 0 | 0.155 |
| B2 | 2.179 | 2.718 | 5.200 | 0.150 | 0 | 0.133 |
| Annual Heating and Cooling Demand (kWh) | Annual Heating Demand (kWh) | Annual Cooling Demand (kWh) | Humidification (Kg) | |
|---|---|---|---|---|
| Hemp–shive building | 2690.1 | 2239.6 | 450.5 | 194.4 |
| Hemp–lime building | 2577.4 | 2089.5 | 487.9 | 283.7 |
Disclaimer/Publisher’s Note: The statements, opinions and data contained in all publications are solely those of the individual author(s) and contributor(s) and not of MDPI and/or the editor(s). MDPI and/or the editor(s) disclaim responsibility for any injury to people or property resulting from any ideas, methods, instructions or products referred to in the content. |
© 2024 by the author. Licensee MDPI, Basel, Switzerland. This article is an open access article distributed under the terms and conditions of the Creative Commons Attribution (CC BY) license (https://creativecommons.org/licenses/by/4.0/).
Share and Cite
Latif, E. Experimental Analysis of Moisture-Dependent Thermal Conductivity, and Hygric Properties of Novel Hemp–shive Insulations with Numerical Assessment of Their In-Built Hygrothermal and Energy Performance. Materials 2024, 17, 486. https://doi.org/10.3390/ma17020486
Latif E. Experimental Analysis of Moisture-Dependent Thermal Conductivity, and Hygric Properties of Novel Hemp–shive Insulations with Numerical Assessment of Their In-Built Hygrothermal and Energy Performance. Materials. 2024; 17(2):486. https://doi.org/10.3390/ma17020486
Chicago/Turabian StyleLatif, Eshrar. 2024. "Experimental Analysis of Moisture-Dependent Thermal Conductivity, and Hygric Properties of Novel Hemp–shive Insulations with Numerical Assessment of Their In-Built Hygrothermal and Energy Performance" Materials 17, no. 2: 486. https://doi.org/10.3390/ma17020486
APA StyleLatif, E. (2024). Experimental Analysis of Moisture-Dependent Thermal Conductivity, and Hygric Properties of Novel Hemp–shive Insulations with Numerical Assessment of Their In-Built Hygrothermal and Energy Performance. Materials, 17(2), 486. https://doi.org/10.3390/ma17020486
