Materials Enabling Methane and Toluene Gas Treatment
Abstract
1. Introduction
2. Materials for Methane Handling
2.1. Methane Adsorption Materials
2.2. Catalytic Oxidizing Materials
2.3. Catalytic Materials for Dry Methane Conversion
2.4. Catalytic Materials for Hydrogen from Methane Decomposition
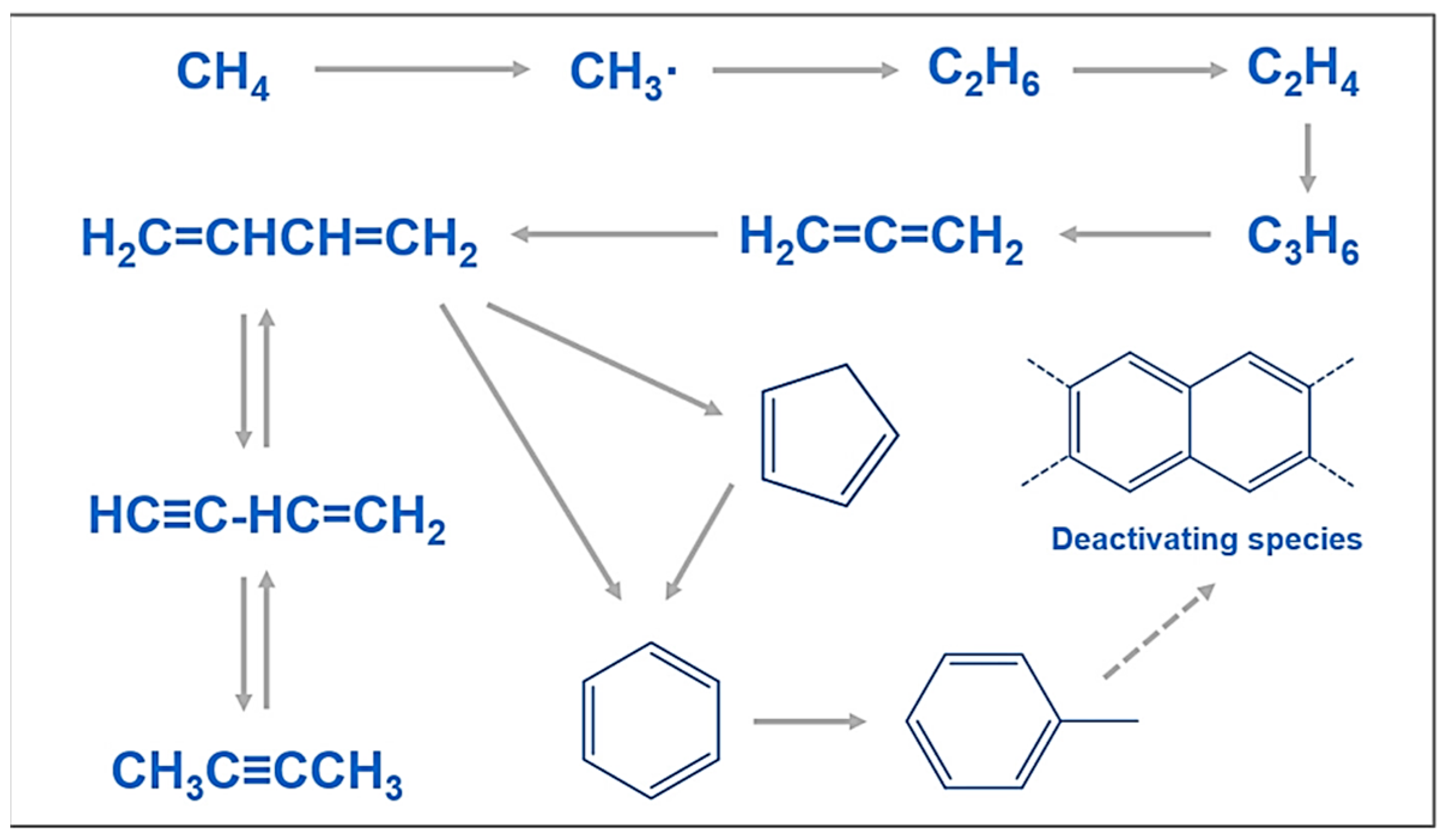
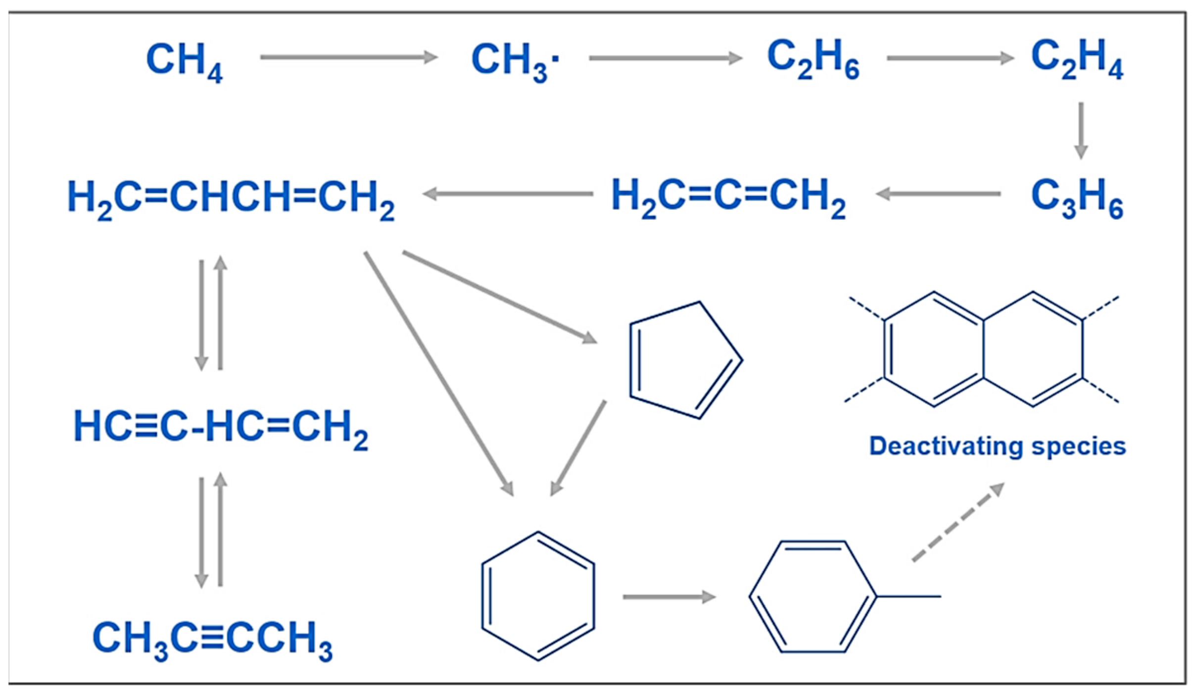
2.5. Non-Oxidatively Coupled Catalytic Materials
3. Toluene Handling Materials
3.1. Toluene Adsorption Materials
3.2. Catalytic Oxidizing Materials
3.3. Catalytic Materials for Chemical Cycle Reforming
3.4. Degradation of Catalytic Materials
4. Summary and Outlook
Author Contributions
Funding
Institutional Review Board Statement
Informed Consent Statement
Data Availability Statement
Conflicts of Interest
References
- Jackson, R.B.; Saunois, M.; Bousquet, P.; Canadell, J.G.; Poulter, B.; Stavert, A.R.; Bergamaschi, P.; Niwa, Y.; Segers, A.; Tsuruta, A. Increasing anthropogenic methane emissions arise equally from agricultural and fossil fuel sources. Environ. Res. Lett. 2020, 15, 071002. [Google Scholar] [CrossRef]
- Wu, Y.; Zhou, K. Evaluation of Metal-Organic Frameworks for Natural Gas Storage. In Proceedings of the International Conference on Optoelectronic Materials and Devices (ICOMD) 2022, Guangzhou, China, 10–12 December 2021. [Google Scholar]
- Zhu, L.-M.; Li, W.-L.; Li, T.-R.; Shi, L.-P.; Li, L.-T.; Yao, Z.-Q.; Huang, H.-L.; Zhao, J.-P.; Liu, F.-C. A dense 3d–4f metal–organic framework with “gas pockets” for highly efficient CH4/N2 separation. Inorg. Chem. Front. 2023, 10, 2438–2443. [Google Scholar] [CrossRef]
- Adlak, K.; Chandra, R.; Vijay, V.K.; Pant, K.K. Suitability analysis of sustainable nanoporous adsorbents for higher biomethane adsorption and storage applications. Int. J. Energy Res. 2022, 46, 14779–14793. [Google Scholar] [CrossRef]
- Zaini, M.S.M.; Arshad, M.; Syed-Hassan, S.S.A. Adsorption Isotherm and Kinetic Study of Methane on Palm Kernel Shell-Derived Activated Carbon. J. Bioresour. Bioprod. 2023, 8, 66–77. [Google Scholar] [CrossRef]
- Pribylov, A.A.; Fomkin, A.A.; Shkolin, A.V.; Men’shchikov, I.E. Adsorption of Methane onto Microporous Activated Carbon in a Volumetric Storage System. Prot. Met. Phys. Chem. Surf. 2023, 59, 14–18. [Google Scholar] [CrossRef]
- Algazlan, M.; Pinetown, K.; Saghafi, A.; Grigore, M.; Roshan, H. Role of Organic Matter and Pore Structure on CO2 Adsorption of Australian Organic-Rich Shales. Energy Fuels 2022, 36, 5695–5708. [Google Scholar] [CrossRef]
- Aji, A.Q.M.; Mohshim, D.F.; Maulianda, B.; Elraeis, K.A. Supercritical methane adsorption measurement on shale using the isotherm modelling aspect. RSC Adv. 2022, 12, 20530–20543. [Google Scholar] [CrossRef]
- Zuo, W.; Qi, M.; Liu, Y.; Li, H.; Han, H.; Wang, Y.; Long, L.; Wu, S. Study on Gas Adsorption-Desorption and Diffusion Behaviour in Coal Pores Modified by Nano Fracturing Fluid. Acs Omega 2023, 8, 29213–29224. [Google Scholar] [CrossRef]
- Ursueguia, D.; Diaz, E.; Ordonez, S. MOF-alumina composites for improved methane adsorption under wet conditions. Microporous Mesoporous Mater. 2023, 360, 112712. [Google Scholar] [CrossRef]
- Zhao, S.; Wang, Y.; Zhang, Y.; Bai, J.; Zhang, Y.; Wang, S.; Duan, E. Enhancement of the redox reactions of the La0.8Sr0.2MnO3 catalyst by surface acid etching: A simple synthesis strategy to high-performance catalysts for methane combustion. Fuel 2023, 345, 128258. [Google Scholar] [CrossRef]
- Khatun, R.; Pal, R.S.; Shoeb, M.A.; Khurana, D.; Singhl, S.; Siddiqui, N.; Poddar, M.K.; Khan, T.S.; Bal, R. Generation of active oxygen species by CO2 dissociation over defect-rich Ni-Pt/CeO2 catalyst for boosting methane activation in low-temperature dry reforming: Experimental and theoretical study. Appl. Catal. B 2024, 340, 123243. [Google Scholar] [CrossRef]
- Alvarez, M.; Marin, P.; Ordonez, S. Upgrading of methane emissions via chemical looping over copper-zeolites: Experiments and modelling. Chem. Eng. Sci. 2022, 259, 117818. [Google Scholar] [CrossRef]
- Vitillo, J.G.; Lu, C.C.; Bhan, A.; Gagliardi, L. Comparing the reaction profiles of single iron catalytic sites in enzymes and in reticular frameworks for methane-to-methanol oxidation. Cell Rep. Phys. Sci. 2023, 4, 101422. [Google Scholar] [CrossRef]
- Rungtaweevoranit, B.; Abdel-Mageed, A.M.M.; Khemthong, P.; Eaimsumang, S.; Chakarawet, K.; Butburee, T.; Kunkel, B.; Wohlrab, S.; Chainok, K.; Phanthasri, J.; et al. Structural Evolution of Iron-Loaded Metal-Organic Framework Catalysts for Continuous Gas-Phase Oxidation of Methane to Methanol. ACS Appl. Mater. Interfaces 2023, 15, 26700–26709. [Google Scholar] [CrossRef]
- Zhu, C.; Guo, G.; Li, W.; Wu, M.; Jiang, Y.; Wu, W.; Zhang, H. Direct Catalytic Oxidation of Low-Concentration Methane to Methanol in One on Ni-Promoted BiOCl. Acs Omega 2023, 8, 11220–11232. [Google Scholar] [CrossRef]
- Pereira, T.C.P.; Vieira, J.V.R.; da Cunha, C.H.F.; Mizuno, S.C.M.; Carvalho, Y.O.; Faheina, T.; Picinini, M.; Blanco, A.L.; Tello, A.C.M.; Urquieta-Gonzalez, E.A.; et al. Conversion of methane to methanol over Cu-MAZ (zeolite omega): An oxygen-free process using H2O and CO2 as oxidants. Appl. Catal. B Environ. Energy 2024, 342, 123370. [Google Scholar] [CrossRef]
- Zhou, L.; Su, Y.-Q.; Hu, T.-L. Theoretical insights into the selective oxidation of methane to methanol on single-atom alloy catalysts. Sci. China Mater. 2023, 66, 3189–3199. [Google Scholar] [CrossRef]
- Matsuda, A.; Obara, K.; Ishikawa, A.; Tsai, M.-H.; Wang, C.-H.; Lin, Y.-C.; Hara, M.; Kamata, K. Bismuth phosphate nanoparticle catalyst for direct oxidation of methane into formaldehyde. Catal. Sci. Technol. 2023, 13, 5180–5189. [Google Scholar] [CrossRef]
- Yasumura, S.; Saita, K.; Miyakage, T.; Nagai, K.; Kon, K.; Toyao, T.; Maeno, Z.; Taketsugu, T.; Shimizu, K.-i. Designing main-group catalysts for low-temperature methane combustion by ozone. Nat. Commun. 2023, 14, 3926. [Google Scholar] [CrossRef]
- Yamada, Y.; Morita, K.; Sugiura, T.; Toyoda, Y.; Mihara, N.; Nagasaka, M.; Takaya, H.; Tanaka, K.; Koitaya, T.; Nakatani, N.; et al. Stacking of a Cofacially Stacked Iron Phthalocyanine Dimer on Graphite Achieved High Catalytic CH4 Oxidation Activity Comparable to That of pMMO. JACS Au 2023, 3, 823–833. [Google Scholar] [CrossRef]
- Yamada, Y.; Miwa, Y.; Toyoda, Y.; Phung, Q.M.; Oyama, K.-I.; Tanaka, K. Evaluation of CH4 oxidation activity of high-valent iron-oxo species of a μ-nitrido-bridged heterodimer of iron porphycene and iron phthalocyanine. Catal. Sci. Technol. 2023, 13, 1725–1734. [Google Scholar] [CrossRef]
- Stoian, M.C.; Romanitan, C.; Craciun, G.; Culita, D.C.; Papa, F.; Badea, M.; Negrila, C.; Popescu, I.; Marcu, I.-C. Multicationic LDH-derived Co(x)CeMgAlO mixed oxide catalysts for the total oxidation of methane. Appl. Catal. A 2023, 650, 119001. [Google Scholar] [CrossRef]
- Maulidanti, E.G.; Awaji, M.; Asami, K. Low temperature oxidative coupling of methane over cerium oxide based catalyst. Gas Sci. Eng. 2023, 116, 205057. [Google Scholar] [CrossRef]
- Zhao, R.; Du, X.; Cao, K.; Gong, M.; Li, Y.; Ai, J.; Ye, R.; Chen, R.; Shan, B. Highly dispersed Fe-decorated Ni nanoparticles prepared by atomic layer deposition for dry reforming of methane. Int. J. Hydrogen Energy 2023, 48, 28780–28791. [Google Scholar] [CrossRef]
- Yadav, P.K.; Patrikar, K.; Mondal, A.; Sharma, S. Ni/Co in and on CeO2: A comparative study on the dry reforming reaction. Sustain. Energy Fuels 2023, 7, 3853–3870. [Google Scholar] [CrossRef]
- Bandurist, P.S.; Pichugina, D.A. Quantum-Chemical Study of C-H Bond Activation in Methane on Ni-Cu Oxide and Sulfide Clusters. Kinet. Catal. 2023, 64, 362–370. [Google Scholar] [CrossRef]
- Zou, Z.; Zhang, T.; Lv, L.; Tang, W.; Zhang, G.; Gupta, R.K.; Wang, Y.; Tang, S. Preparation adjacent Ni-Co bimetallic nano catalyst for dry reforming of methane. Fuel 2023, 343, 128013. [Google Scholar] [CrossRef]
- Zhang, Y.; Zhang, G.; Liu, J.; Li, T.; Zhang, X.; Wang, Y.; Zhao, Y.; Li, G.; Zhang, Y. Insight into the role of preparation method on the structure and size effect of Ni/MSS catalysts for dry reforming of methane. Fuel Process. Technol. 2023, 250, 107891. [Google Scholar] [CrossRef]
- Zhang, X.; Shen, Y.; Liu, Y.; Zheng, J.; Deng, J.; Yan, T.; Cheng, D.; Zhang, D. Unraveling the Unique Promotion Effects of a Triple Interface in Ni Catalysts for Methane Dry Reforming. Ind. Eng. Chem. Res. 2023, 62, 4965–4975. [Google Scholar] [CrossRef]
- Zheng, Y.; Sukma, M.S.; Scott, S.A. The exploration of NiO/Ca2Fe2O5/CaO in chemical looping methane conversion for syngas and H2 production. Chem. Eng. J. 2023, 465, 142779. [Google Scholar] [CrossRef]
- Zakrzewski, M.; Shtyka, O.; Rogowski, J.; Ciesielski, R.; Kedziora, A.; Maniecki, T. Influence of Lanthanum Precursor on the Activity of Nickel Catalysts in the Mixed-Methane Reforming Process. Int. J. Mol. Sci. 2023, 24, 975. [Google Scholar] [CrossRef] [PubMed]
- Yadavalli, S.S.; Jones, G.; Benson, R.L.; Stamatakis, M. Assessing the Impact of Adlayer Description Fidelity on Theoretical Predictions of Coking on Ni(111) at Steam Reforming Conditions. J. Phys. Chem. C 2023, 127, 8591–8606. [Google Scholar] [CrossRef] [PubMed]
- Hanifa, N.H.E.; Ismail, M.; Ideris, A. Utilization of palm oil fuel ash (POFA) as catalyst support for methane decomposition. In Proceedings of the International Symposium of Reaction Engineering, Catalysis and Sustainable Energy (RECaSE), Electr Network, 2022, Virtual, 6 April 2021; pp. 1136–1141. [Google Scholar]
- Wysocka, I.; Karczewski, J.; Golabiewska, A.; Lapinski, M.; Cieslik, B.M.; Maciejewski, M.; Koscielska, B.; Rogala, A. Nickel phase deposition on V2CTx/V2AlC as catalyst precursors for a dry methane reforming: The effect of the deposition method on the morphology and catalytic activity. Int. J. Hydrogen Energy 2023, 48, 10922–10940. [Google Scholar] [CrossRef]
- Pourghadiri, E.; Sari, A. Theoretical Investigation on Syngas Production by Catalytic Partial Oxidation of Methane in a Reverse-Flow Microchannel Monolithic Reactor. Ind. Eng. Chem. Res. 2023, 62, 9433–9452. [Google Scholar] [CrossRef]
- Zhou, Y.; Chu, R.; Fan, L.; Zhao, J.; Li, W.; Jiang, X.; Meng, X.; Li, Y.; Yu, S.; Wan, Y. Conversion mechanism of thermal plasma-enhanced CH4-CO2 reforming system to syngas under the non-catalytic conditions. Sci. Total Environ. 2023, 866, 161453. [Google Scholar] [CrossRef]
- Song, G.; Li, C.; Zhou, W.; Wu, L.; Lim, K.H.; Hu, F.; Wang, T.; Liu, S.; Ren, Z.; Kawi, S. Catalytic decomposition of methane for controllable production of carbon nanotubes and high purity H2 over LTA zeolite-derived Ni-based yolk-shell catalysts. Chem. Eng. J. 2023, 474, 145643. [Google Scholar] [CrossRef]
- Chudakova, M.V.; Popov, M.V.; Korovchenko, P.A.; Pentsak, E.O.; Latypova, A.R.; Kurmashov, P.B.; Pimenov, A.A.; Tsilimbaeva, E.A.; Levin, I.S.; Bannov, A.G.; et al. Effect of potassium in catalysts obtained by the solution combustion synthesis for co-production of hydrogen and carbon nanofibers by catalytic decomposition of methane. Chem. Eng. Sci. 2024, 284, 119408. [Google Scholar] [CrossRef]
- Yan, K.; Jie, X.; Li, X.; Horita, J.; Stephens, J.; Hu, J.; Yuan, Q. Microwave-enhanced methane cracking for clean hydrogen production in shale rocks. Int. J. Hydrogen Energy 2023, 48, 15421–15432. [Google Scholar] [CrossRef]
- Xavier Jr, N.F.F.; Payne, A.J.R.; Bauerfeldt, G.F.; Sacchi, M. Theoretical insights into the methane catalytic decomposition on graphene nanoribbons edges. Front. Chem. 2023, 11, 1172687. [Google Scholar] [CrossRef]
- Bae, D.; Kim, Y.; Ko, E.H.; Han, S.J.; Lee, J.W.; Kim, M.; Kang, D. Methane pyrolysis and carbon formation mechanisms in molten manganese chloride mixtures. Appl. Energy 2023, 336, 120810. [Google Scholar] [CrossRef]
- Zhang, S.B.X.Y.; Pessemesse, Q.; Latsch, L.; Engel, K.M.; Stark, W.J.; van Bavel, A.P.; Horton, A.D.; Payard, P.-A.; Coperet, C. Role and dynamics of transition metal carbides in methane coupling. Chem. Sci. 2023, 14, 5899–5905. [Google Scholar] [CrossRef]
- Zhang, H.; Bolshakov, A.; Meena, R.; Garcia, G.A.; Dugulan, A.I.; Parastaev, A.; Li, G.; Hensen, E.J.M.; Kosinov, N. Revealing Active Sites and Reaction Pathways in Methane Non-Oxidative Coupling over Iron-Containing Zeolites. Angew. Chem. Int. Ed. 2023, 62, e202306196. [Google Scholar] [CrossRef]
- Zhang, J.; Shen, J.; Li, D.; Long, J.; Gao, X.; Feng, W.; Zhang, S.; Zhang, Z.; Wang, X.; Yang, W. Efficiently Light-Driven Nonoxidative Coupling of Methane on Ag/NaTaO3: A Case for Molecular-Level Understanding of the Coupling Mechanism. ACS Catal. 2023, 13, 2094–2105. [Google Scholar] [CrossRef]
- Zhang, H.; Su, Y.; Kosinov, N.; Hensen, E.J.M. Non-oxidative coupling of methane over Mo-doped CeO2 catalysts: Understanding surface and gas-phase processes. Chin. J. Catal. 2023, 49, 68–80. [Google Scholar] [CrossRef]
- Ryu, H.W.; Nam, K.; Lim, Y.H.; Kim, D.H. Effect of the NiO particle size on the activity of Mo/HZSM-5 catalyst physically mixed with NiO in methane dehydroaromatization. Catal. Today 2023, 411, 113875. [Google Scholar] [CrossRef]
- Stepanov, A.A.; Korobitsyna, L.L.; Vosmerikov, A.V. Investigation of the Properties of Mo/ZSM-5 Catalysts Based on Zeolites with Microporous and Micro-Mesoporous Structures. Chemistry 2023, 5, 1256–1270. [Google Scholar] [CrossRef]
- Stepanov, A.A.; Korobitsyna, L.L.; Budaev, Z.B.; Vosmerikov, A.V.; Gerasimov, E.Y.; Ishkildina, A.K. Influence of the Secondary Mesoporous Structure of Zeolite on the Properties of Mo/ZSM-5 Catalysts for Non-Oxidative Methane Conversion. Izv. Vyss. Uchebnykh Zaved. Khimiya I Khimicheskaya Tekhnologiya 2023, 66, 58–66. [Google Scholar] [CrossRef]
- Zhang, J.; Shao, J.; Zhang, X.; Rao, G.; Li, G.; Yang, H.; Zhang, S.; Chen, H. Facile synthesis of Cu-BTC@biochar with controlled morphology for effective toluene adsorption at medium-high temperature. Chem. Eng. J. 2023, 452, 139003. [Google Scholar] [CrossRef]
- Wang, Y.; Zhu, W.; Zhao, G.; Ye, G.; Jiao, Y.; Wang, X.; Yao, F.; Peng, W.; Huang, H.; Ye, D. Precise preparation of biomass-based porous carbon with pore structure-dependent VOCs adsorption/desorption performance by bacterial pretreatment and its forming process. Environ. Pollut. 2023, 322, 121134. [Google Scholar] [CrossRef]
- Zhang, X.; Wang, Y.; Mi, J.; Jin, J.; Meng, H. Dual hydrophobic modification on MIL-101(Cr) with outstanding toluene removal under high relative humidity. Chem. Eng. J. 2023, 451, 139000. [Google Scholar] [CrossRef]
- Zhou, M.; Li, S.; Cao, M.; Wang, T.; Nie, L.; Li, W.; Zhao, F.; Chen, Y. Enhanced hydrophobic microporous Pt/silica with high adsorption and catalytic oxidation for trace toluene removal. J. Environ. Chem. Eng. 2023, 11, 110821. [Google Scholar] [CrossRef]
- Villarim, P.; Gui, C.; Genty, E.; Lei, Z.; Zemmouri, J.; Fourmentin, S. Toluene absorption from laboratory to industrial scale: An experimental and theoretical study. Sep. Purif. Technol. 2024, 328, 125070. [Google Scholar] [CrossRef]
- Zumbar, T.; Arccon, I.; Djinovic, P.; Aquilanti, G.; Zerjav, G.; Pintar, A.; Risticc, A.; Drazic, G.; Volavsek, J.; Mali, G.; et al. Winning Combination of Cu and Fe Oxide Clusters with an Alumina Support for Low-Temperature Catalytic Oxidation of Volatile Organic Compounds. ACS Appl. Mater. Interfaces 2023, 15, 28747–28762. [Google Scholar] [CrossRef] [PubMed]
- Zhao, X.; Liang, G.; Wang, H.; Qu, Z. New Insight toward Synergetic Effect for Platinum Recovery Coupling with Fe(III)-Oxalate Complexes Degradation through Photocatalysis. ACS Sustain. Chem. Eng. 2023, 11, 11580–11589. [Google Scholar] [CrossRef]
- Zhou, J.; Zheng, Y.; Zhang, G.; Zeng, X.; Xu, G.; Cui, Y. Toluene catalytic oxidation over gold catalysts supported on cerium-based high-entropy oxides. Environ. Technol. 2023. [Google Scholar] [CrossRef] [PubMed]
- Wang, W.; Huang, Y.; Rao, Y.; Li, R.; Lee, S.; Wang, C.; Cao, J. The role of cationic defects in boosted lattice oxygen activation during toluene total oxidation over nano-structured CoMnOxspinel. Environ. Sci. Nano 2023, 10, 812–823. [Google Scholar] [CrossRef]
- Jiang, Y.; Jiang, Y.; Su, C.; Sun, X.; Xu, Y.; Cheng, S.; Liu, Y.; Dou, X.; Yang, Z. Clarify the effect of different metals doping on α-MnO2 for toluene adsorption and deep oxidation. Fuel 2024, 355, 129402. [Google Scholar] [CrossRef]
- Zhou, B.; Ke, Q.; Chen, K.; Wen, M.; Cui, G.; Zhou, Y.; Gu, Z.; Weng, X.; Lu, H. Adsorption and catalytic ozonation of toluene on Mn/ZSM-5 at low temperature. Appl. Catal. A 2023, 657, 119146. [Google Scholar] [CrossRef]
- Zhou, W.; Li, H.; Song, B.; Ma, W.; Liu, Z.; Wang, Z.; Xu, Z.; Meng, L.; Wang, Y.; Qin, X.; et al. Catalytic Oxidation Mechanism of Toluene over CexMn1−xO2: The Role of Oxygen Vacancies in Adsorption and Activation of Toluene. Langmuir 2023, 39, 8503–8515. [Google Scholar] [CrossRef]
- Yu, J.; Wang, X.; Wang, Y.; Xie, X.; Xie, H.; Vorayos, N.; Sun, J. Heating-induced adsorption promoting the efficient removal of toluene by the metal-organic framework UiO-66 (Zr) under visible light. J. Colloid Interface Sci. 2024, 653, 1478–1487. [Google Scholar] [CrossRef]
- Xu, T.; Wang, X.; Xiao, B.; Zhao, H.; Liu, W. Optimisation of syngas production from a novel two-step chemical looping reforming process using Fe-dolomite as oxygen carriers. Fuel Process. Technol. 2022, 228, 107169. [Google Scholar] [CrossRef]
- Mao, X.; Liu, G.; Yang, B.; Shang, J.; Zhang, B.; Wu, Z. Chemical looping reforming of toluene via Fe2O3@SBA-15 based on controlling reaction microenvironments. Fuel 2022, 326, 125024. [Google Scholar] [CrossRef]
- Liu, G.; Sun, Z.; Zhao, H.; Mao, X.; Yang, B.; Shang, J.; Wu, Z. Chemical looping reforming of toluene as bio-oil model compound via NiFe2O4@SBA-15 for hydrogen-rich syngas production. Biomass Bioenergy 2023, 174, 106851. [Google Scholar] [CrossRef]
- Zhang, B.; Sun, Z.; Li, Y.; Yang, B.; Shang, J.; Wu, Z. Chemical looping reforming characteristics of methane and toluene from biomass pyrolysis volatiles based on decoupling strategy: Embedding NiFe2O4 in SBA-15 as an oxygen carrier. Chem. Eng. J. 2023, 466, 143228. [Google Scholar] [CrossRef]
- Sun, Z.; Zhang, B.; Zhang, R.; Mao, X.; Shang, J.; Yang, B.; Wu, Z. Chemical Looping Reforming of Toluene as Volatile Model Compound over LaFeXM1−XO3@SBA via Encapsulation Strategy. Ind. Eng. Chem. Res. 2023, 62, 7731–7743. [Google Scholar] [CrossRef]
- Luo, M.; Shen, R.; Qin, Y.; Liu, H.; He, Y.; Wang, Q.; Wang, J. Conversion and syngas production of toluene as a biomass tar model compound in chemical looping reforming. Fuel 2023, 345, 128203. [Google Scholar] [CrossRef]
- Rong, N.; Han, L.; Ma, K.; Liu, Q.; Wu, Y.; Xin, C.; Zhao, J.; Hu, Y. Enhanced multi-cycle CO2 capture and tar reforming via a hybrid CaO-based absorbent/ catalyst: Effects of preparation, reaction conditions and application for hydrogen production. Int. J. Hydrogen Energy 2023, 48, 9988–10001. [Google Scholar] [CrossRef]
- Yue, W.; Lei, W.; Dong, Y.; Shi, C.; Lu, Q.; Cui, X.; Wang, X.; Chen, Y.; Zhang, J. Toluene degradation in air/H2O DBD plasma: A reaction mechanism investigation based on detailed kinetic modeling and emission spectrum analysis. J. Hazard. Mater. 2023, 448, 130894. [Google Scholar] [CrossRef]
- Liu, G.; Han, L.; Wang, J.; Yang, Y.; Chen, Z.; Liu, B.; An, X. Continuous near-complete photocatalytic degradation of toluene by V/N-dope d TiO2 loade d on honeycomb ceramics under UV irradiation. J. Mater. Sci. Technol. 2024, 174, 188–194. [Google Scholar] [CrossRef]
- Zhong, Z.; Shen, Z.; Zhang, Y.; Li, J.; Lyu, J. Effect of bridging hydroxyl on the interfacial charge transfer for photocatalytic degradation of toluene. Appl. Surf. Sci. 2023, 628, 157306. [Google Scholar] [CrossRef]
- Zhao, J.; Li, C.; Yu, Q.; Zhu, Y.; Liu, X.; Li, S.; Liang, C.; Zhang, Y.; Huang, L.; Yang, K.; et al. Interface engineering of Mn3O4/Co3O4 S-scheme heterojunctions to enhance the photothermal catalytic degradation of toluene. J. Hazard. Mater. 2023, 452, 131249. [Google Scholar] [CrossRef] [PubMed]
- Zhang, X.; Zhu, Z.; Rao, R.; Chen, J.; Han, X.; Jiang, S.; Yang, Y.; Wang, Y.; Wang, L. Highly efficient visible-light-driven photocatalytic degradation of gaseous toluene by rutile-anatase TiO2@MIL-101 composite with two heterojunctions. J. Environ. Sci. 2023, 134, 21–33. [Google Scholar] [CrossRef]
- Bi, F.; Ma, S.; Gao, B.; Liu, B.; Huang, Y.; Qiao, R.; Zhang, X. Boosting toluene deep oxidation by tuning metal-support interaction in MOF-derived Pd@ZrO2 catalysts: The role of interfacial interaction between Pd and ZrO2. Fuel 2024, 357, 129833. [Google Scholar] [CrossRef]
- Zhu, Y.; Li, D.; Ji, C.; Si, P.; Liu, X.; Zhang, Y.; Liu, F.; Hua, L.; Han, F. Non-Thermal Plasma Incorporated with Cu-Mn/γ-Al2O3 for Mixed Benzene Series VOCs’ Degradation. Catalysts 2023, 13, 695. [Google Scholar] [CrossRef]
- Zhu, D.; Huang, Y.; Li, R.; Peng, S.; Wang, P.; Cao, J.-j. Constructing Active Cu2+-O-Fe3+ Sites at the CuO-Fe3O4 Interface to Promote Activation of Surface Lattice Oxygen. Environ. Sci. Technol. 2023, 57, 17598–17609. [Google Scholar] [CrossRef]
- Pineda, P.A.L.; Demeestere, K.; Gonzalez-Cortes, J.J.; Alvarado-Alvarado, A.A.; Boon, N.; Devlieghere, F.; Van Langenhove, H.; Walgraeve, C. Effect of inoculum type, packing material and operational conditions on the biofiltration of a mixture of hydrophobic volatile organic compounds in air. Sci. Total Environ. 2023, 904, 167326. [Google Scholar] [CrossRef]
- Barghoth, M.G.; Desouky, S.E.; Radwan, A.A.; Shah, M.P.; Salem, S.S. Characterizations of highly efficient moderately halophilic toluene degrading Exiguobacterium mexicanum M7 strain isolated from Egyptian saline sediments. Biotechnol. Genet. Eng. Rev. 2023. [Google Scholar] [CrossRef]















Disclaimer/Publisher’s Note: The statements, opinions and data contained in all publications are solely those of the individual author(s) and contributor(s) and not of MDPI and/or the editor(s). MDPI and/or the editor(s) disclaim responsibility for any injury to people or property resulting from any ideas, methods, instructions or products referred to in the content. |
© 2024 by the authors. Licensee MDPI, Basel, Switzerland. This article is an open access article distributed under the terms and conditions of the Creative Commons Attribution (CC BY) license (https://creativecommons.org/licenses/by/4.0/).
Share and Cite
Lv, T.; Wang, R. Materials Enabling Methane and Toluene Gas Treatment. Materials 2024, 17, 301. https://doi.org/10.3390/ma17020301
Lv T, Wang R. Materials Enabling Methane and Toluene Gas Treatment. Materials. 2024; 17(2):301. https://doi.org/10.3390/ma17020301
Chicago/Turabian StyleLv, Tong, and Rui Wang. 2024. "Materials Enabling Methane and Toluene Gas Treatment" Materials 17, no. 2: 301. https://doi.org/10.3390/ma17020301
APA StyleLv, T., & Wang, R. (2024). Materials Enabling Methane and Toluene Gas Treatment. Materials, 17(2), 301. https://doi.org/10.3390/ma17020301

